A Non-Linear Suction-Dependent Model for Predicting Unsaturated Shear Strength
Abstract
1. Introduction
2. Materials and Methods
2.1. Materials
2.2. Testing Methods
2.2.1. Conventional Direct Shear Test
2.2.2. Characterization of Unsaturated Hydraulic Behavior
3. Results
3.1. Saturated Shear Strength Response
3.1.1. CL-ML Soil


3.1.2. CH Soil
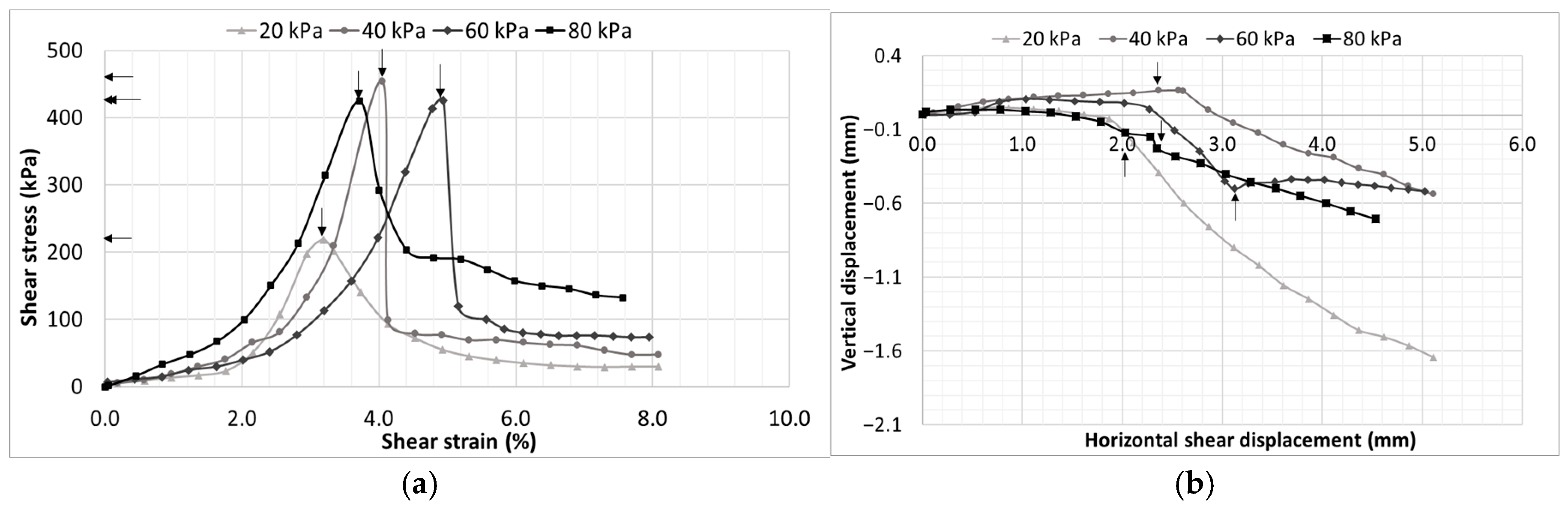
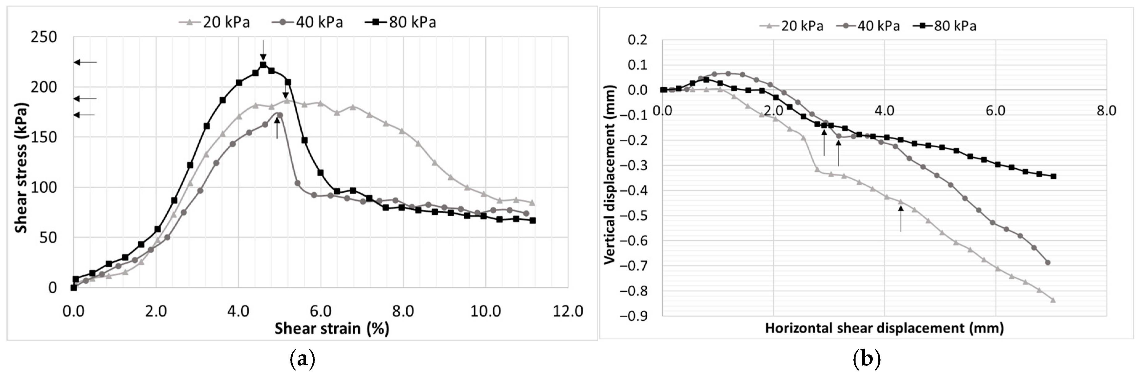
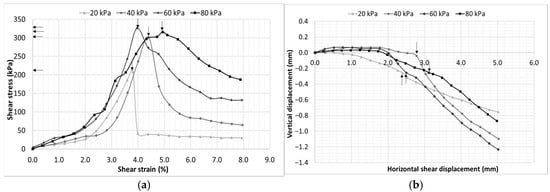
3.2. Unsaturated Shear Strength Response
3.2.1. CL-ML Soil





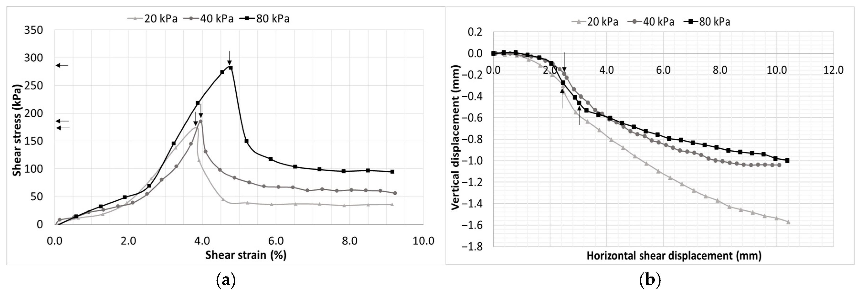
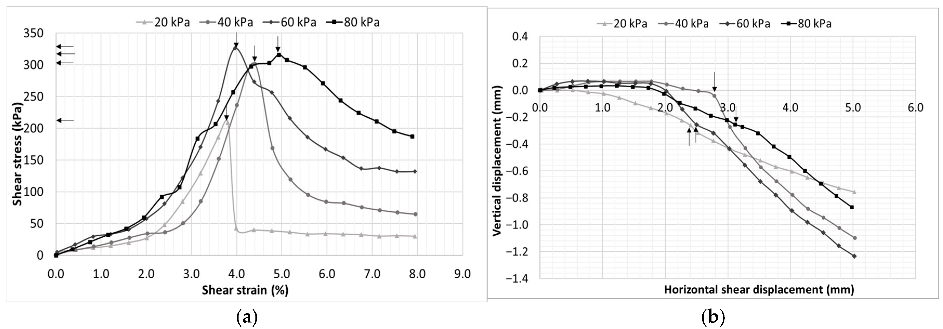
3.2.2. CH Clay




3.3. Soil–Water Characteristic Curve
3.4. Influence of Soil Suction on Mohr-Coulomb Shear Strength Response
3.4.1. CL-ML Soil

3.4.2. CH Soil

3.5. Evaluation of Unsaturated Shear Strength with Suction
3.5.1. CL-ML Soil

3.5.2. CH Soil

4. Discussion
4.1. Effect of Net Normal Stress Variation on the Shear Strength of Unsaturated Soils
4.2. Influence of Soil Suction Variation on Unsaturated Shear Strength Behavior over a Broad Suction Range
4.3. Development and Calibraton of a Nonlinear Equation for Predicting Unsaturated Shear Strength over Extended Suction Range
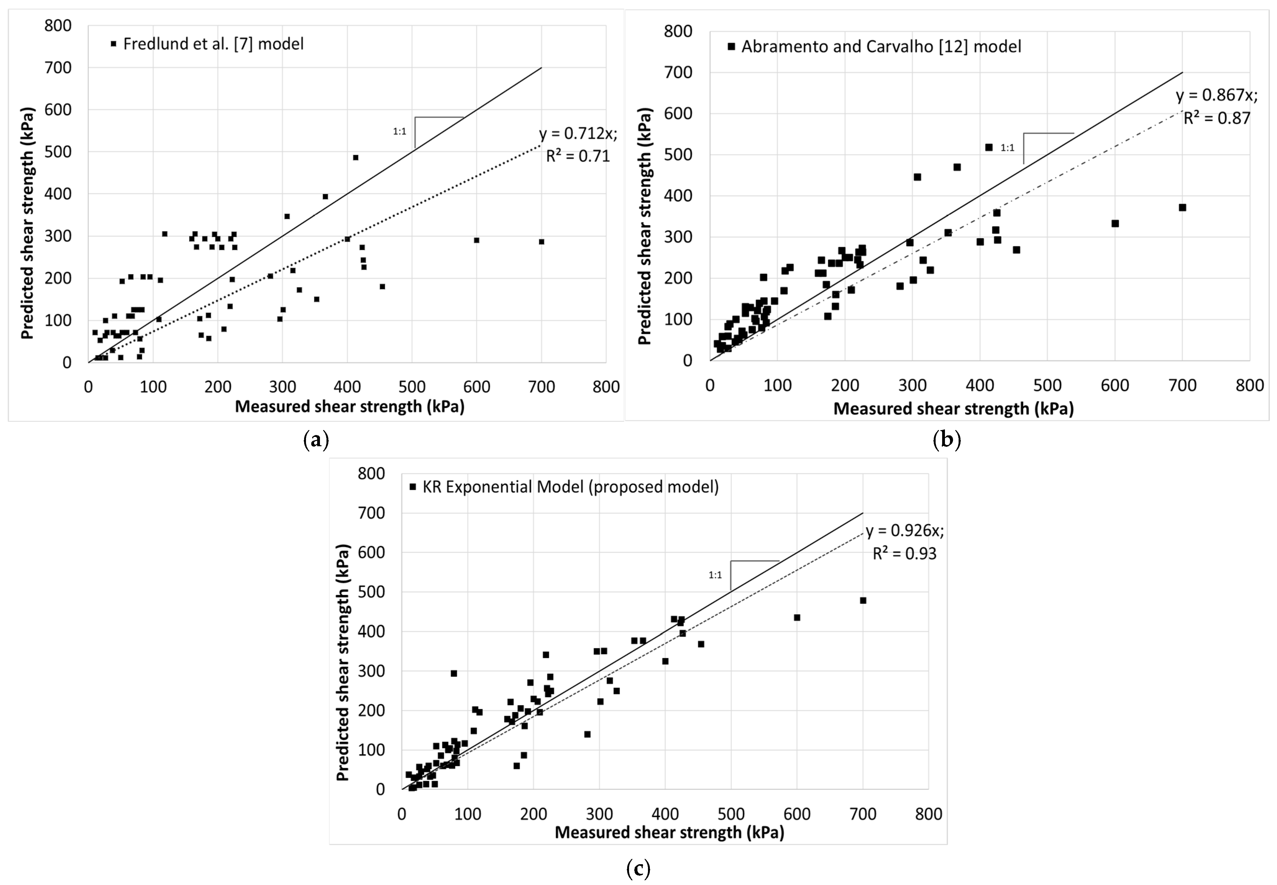
4.4. Validation of Proposed Nonlinear Shear Strength Model with Independet Data from the Literature
5. Conclusions
- 1.
- Nonlinearity of Unsaturated Shear Strength: The experimental results confirm that the shear strength of unsaturated soils varies nonlinearly with matric suction. Under high-suction conditions, the CL-ML soil exhibited an increasing rate of shear strength gain, whereas the CH soil showed a decreasing rate of strength enhancement. This contrasting response highlights the governing influence of soil plasticity and microstructural fabric on suction-dependent shear strength behavior. These findings reinforce the importance of incorporating suction-driven nonlinearity when evaluating the shear strength of unsaturated soils across a broad range of suction conditions.
- 2.
- Influence of Net Normal Stress on Unsaturated Shear Strength: Increasing net normal stress enhances shear resistance and stiffness while progressively suppressing dilation. However, at high suction levels and elevated confining pressures, the influence of net normal stress on shear strength becomes negligible. This reduction is likely associated with particle crushing and reorientation of soil fabric, leading to a decrease in the effective friction angle (ϕ), as reported by Mitchell and Soga [43]. Further, under higher net normal stress, the predicted shear strength was found to be underestimated relative to the lower net normal stress, consistent with the findings of Vanapalli et al. [15].
- 3.
- Influence of Matric Suction on Unsaturated Shear Strength: In the low-suction range where the soil remains nearly saturated, the suction strength parameter (ϕᵇ) approximates the effective friction angle (ϕ′), indicating a strong coupling between suction and effective stress. This behavior has been widely reported in the literature [2,3,14,25]. As matric suction exceeds the OMC, the contribution of suction to shear strength increases. For the low-plastic clay, the contribution increases, but for the plastic soil, the contribution reduces at high suction values. This variability reflects the complex interplay between soil plasticity, fine content, and microstructural rearrangement under changing suction conditions.
- 4.
- Validation of the Proposed Nonlinear Equation:The developed exponential model successfully integrates stress and suction-dependent mechanisms within a continuous, physically consistent framework. Regression-derived parameters, with an independent database collected from literature review, yielded an excellent fit (R2 = 0.93), demonstrating enhanced predictive capability across diverse soil types. The model accurately reproduces the nonlinear strength evolution and outperforms existing linear and power-law formulations.
Author Contributions
Funding
Data Availability Statement
Acknowledgments
Conflicts of Interest
Abbreviations
| MnDOT | Minnesota Department of Transportation |
| TxDOT | Texas Department of Transportation |
| USCS | Unified Soil Classification System |
| AEV | Air Entry Value |
| OMC | Optimum Moisture Content |
| SWCC | Soil–Water Characteristic Curve |
| KR | Kalani Rajamanthri |
References
- Gulhati, S.K. Shear Strength of Partially Saturated Soils. Doctoral Dissertation, Massachusetts Institute of Technology, Cambridge, MA, USA, 1962. [Google Scholar]
- Fredlund, D.G. Unsaturated soil mechanics in engineering practice. J. Geotech. Geoenviron. Eng. 2006, 132, 286–321. [Google Scholar] [CrossRef]
- Lu, N.; Likos, W.J. Unsaturated Soil Mechanics; John Wiley & Sons, Inc.: Hoboken, NJ, USA, 2004. [Google Scholar]
- Mohr, O. Abhandlungen aus dem Gebiete der Technischen Mechanic, 3rd ed.; Welhelm Ernst and Sohn: Berlin, Germany, 1914. [Google Scholar]
- Tresca, H.E. Memoire sur L’ecoulement des corps solids, Dans Memoires Present’ee par Divers Savants; Comptes Rendus Academy of Science: Paris, France, 1868; Volume 18, pp. 733–799. [Google Scholar]
- Mises, R.V. Mechanik der festen Körper im plastisch-deformablen Zustand. In Nachrichten von der Gesellschaft der Wissenschaften zu Göttingen; Mathematisch Physikalische Klasse; Weidmannsche Buchh: Hildesheim, Germany, 1913; pp. 582–592. [Google Scholar]
- Fredlund, D.G.; Morgenstern, N.R.; Widger, R.A. The shear strength of unsaturated soils. Can. Geotech. J. 1978, 15, 313–321. [Google Scholar] [CrossRef]
- Bishop, A.W.; Alpan, I.; Blight, G.E.; Donald, I.B. Factors Controlling the Strength of Partly Saturated Cohesive Soils. In Proceedings of ASCE Research Conference on Shear Strength of Cohesive Soils, Boulder, CO, USA, 13–17 June 1960; pp. 503–532. [Google Scholar]
- Sridharan, A. Some Studies on the Strength of Partly Saturated Clays. Ph.D. Thesis, Purdue University, West Lafayette, IN, USA, 1968. [Google Scholar]
- Lamborn, M.J. A Micromechanical Approach to Modelling Partly Saturated Soils. Master’s Thesis, Texas A & M University, College Station, TX, USA, 1986. [Google Scholar]
- Peterson, R.W. Interpretation of triaxial compression test results on partially saturated soils. In Advanced Triaxial Testing of Soil and Rock; ASTM International: West Conshohocken, PA, USA, 1988; pp. 512–538. [Google Scholar]
- Abramento, M.; Carvalho, C.S. Geotechnical Parameters for the Study of Natural Slope Instabilization at Serra do Mar-Brazilian Southeast. In Proceedings of the 12th International Conference on Soil Mechanics and Foundation Engineering, Rio de Janeiro, Brazil, 13–18 August 1989; Volume 3, pp. 1599–1602. [Google Scholar]
- Escario, V.; Juca, J. Strength and deformation of partly saturated soils. In Proceedings of the 12th International Conference on Soil Mechanics and Foundation Engineering, Rio de Janeiro, Brazil, 13–18 August 1989; Volume 1, pp. 43–46. [Google Scholar]
- Vanapalli, S.K.; Fredlund, D.G.; Pufahl, D.E.; Clifton, A.W. Model for the prediction of shear strength with respect to soil suction. Can. Geotech. J. 1996, 33, 379–392392. [Google Scholar] [CrossRef]
- Vanapalli, S.K.; Fredlund, D.G.; Pufahl, D.E. The relationship between the soil-water characteristic curve and the unsaturated shear strength of a compacted glacial till. Geotech. Test. J. 1996, 19, 259–268. [Google Scholar] [CrossRef]
- Miao, L.; Liu, S.; Lai, Y. Research of soil–water characteristics and shear strength features of Nanyang expansive soil. Eng. Geol. 2002, 65, 261–267. [Google Scholar] [CrossRef]
- Matsushi, Y.; Matsukura, Y. Cohesion of unsaturated residual soils as a function of volumetric water content. Bull. Eng. Geol. Environ. 2006, 65, 449–455. [Google Scholar] [CrossRef]
- Kayadelen, C.; Sivrikaya, O.S.M.A.N.; Taşkıran, T.; Güneyli, H. Critical-state parameters of an unsaturated residual clayey soil from Turkey. Eng. Geol. 2007, 94, 1–9. [Google Scholar] [CrossRef]
- Guan, G.S.; Rahardjo, H.; Choon, L.E. Shear strength equations for unsaturated soil under drying and wetting. J. Geotech. Geoenviron. Eng. 2010, 136, 594–606. [Google Scholar] [CrossRef]
- Satyanaga, A.; Rahardjo, H. Unsaturated shear strength of soil with bimodal soil-water characteristic curve. Géotechnique 2019, 69, 828–832. [Google Scholar] [CrossRef]
- Gao, Y.; Sun, D.A.; Zhou, A.; Li, J. Predicting shear strength of unsaturated soils over wide suction range. Int. J. Geomech. 2020, 20, 04019175. [Google Scholar] [CrossRef]
- Naghadeh, R.A.; Toker, N.B. Exponential equation for predicting shear strength envelope of unsaturated soils. Int. J. Geomech. 2019, 19, 04019061. [Google Scholar] [CrossRef]
- Vilar, O.M. A simplified procedure to estimate the shear strength envelope of unsaturated soils. Can. Geotech. J. 2006, 43, 1088–1095. [Google Scholar] [CrossRef]
- Escario, V.; Saez, J. The strength of partly saturated soils. Geotechnique 1986, 36, 453–456. [Google Scholar] [CrossRef]
- Gan, K.J.; Fredlund, D.G. Multistage direct shear testing of unsaturated soils. Geotech. Test. J. 1988, 11, 132–138138. [Google Scholar] [CrossRef]
- Khalili, N.; Khabbaz, M.H. A unique relationship for the determination of the shear strength of unsaturated soils. Géotechnique 1998, 48, 681–687. [Google Scholar] [CrossRef]
- Gallipoli, D.; Gens, A.; Sharma, R.; Vaunat, J. An elasto-plastic model for unsaturated soils including the effect of suction hysteresis. Géotechnique 2003, 53, 123–135. [Google Scholar] [CrossRef]
- Alonso, E.E.; Gens, A.; Josa, A. A constitutive model for partially saturated soils. Géotechnique 1990, 40, 405–430. [Google Scholar] [CrossRef]
- Tarantino, A.; Mongiovì, L.; Bosco, G. An experimental investigation on the shear strength of unsaturated soils. Can. Geotech. J. 2000, 37, 584–598. [Google Scholar]
- ASTM D7928-21e1; Standard Test Method for Particle-Size Distribution (Gradation) of Fine-Grained Soils Using the Sedimentation (Hydrometer) Analysis. ASTM International: West Conshohocken, PA, USA, 2021.
- ASTM D4318-17e1; Standard Test Methods for Liquid Limit, Plastic Limit, and Plasticity Index of Soils. ASTM International: West Conshohocken, PA, USA, 2017.
- Zapata, C.E. Uncertainty in Soil-Water-Characteristic Curve and Impacts on Unsaturated Shear Strength Predictions. Ph.D. Thesis, Arizona State University, Tempe, AZ, USA, 1999. [Google Scholar]
- Gan, J.K.M.; Fredlund, D.G. Shear strength behavior of two saprolitic soils. In Unsaturated Soils, Proceedings of the First International Conference on Arid Solids, Paris, France, 6–8 September 1995; Alonso, E., Delage, P., Eds.; A.A. Balkema: Rotterdam, The Netherlands, 1995; pp. 71–76. [Google Scholar]
- ASTM D3080/D3080M-23; Standard Test Method For Direct Shear Test of Soils Under Consolidated Drained Conditions. ASTM International: West Conshohocken, PA, USA, 2023. Available online: https://www.astm.org/d3080_d3080m-23.html (accessed on 21 September 2023).
- Padilla, J.M.; Perera, Y.Y.; Houston, W.N.; Fredlund, D.G.; Tarantino, A.; Romero, E.; Cui, Y.J. A new soil-water characteristic curve device. In Proceedings of the Advanced Experimental Unsaturated Soil Mechanics, EXPERUS, Trento, Italy, 27–29 June 2005; pp. 15–22. [Google Scholar]
- ASTM D5298-16; Standard Test Method for Measurement of Soil Potential (Suction) Using Filter Paper. ASTM International: West Conshohocken, PA, USA, 2016.
- Holtz, R.D.; Kovacs, W.D.; Sheahan, T.C. An Introduction to Geotechnical Engineering; Prentice Hall: Hoboken, NJ, USA, 1981; Volume 733. [Google Scholar]
- Fredlund, D.G.; Xing, A.; Huang, S. Predicting the permeability function for unsaturated soils using the soil-water characteristic curve. Can. Geotech. J. 1994, 31, 533–546546. [Google Scholar] [CrossRef]
- Lu, N.; Likos, W.J. Suction stress characteristic curve for unsaturated soil. J. Geotech. Geoenviron. Eng. 2006, 132, 131–142. [Google Scholar] [CrossRef]
- Rahardjo, H.; Heng, O.B.; Leong, E.C. Shear strength of a compacted residual soil from consolidated drained and constant water content triaxial tests. Can. Geotech. J. 2004, 41, 421–436. [Google Scholar] [CrossRef]
- Sheahan, T.C.; Ladd, C.C.; Germaine, J.T. Rate-dependent undrained shear behavior of saturated clay. J. Geotech. Eng. 1996, 122, 99–108. [Google Scholar] [CrossRef]
- Pham, T.A.; Sutman, M.; Medero, G.M. Validation, reliability, and performance of shear strength models for unsaturated soils. Geotech. Geol. Eng. 2023, 41, 4271–4309. [Google Scholar] [CrossRef]
- Mitchell, J.K.; Soga, K.; O’Sullivan, C. Fundamentals of Soil Behavior; John Wiley & Sons: Hoboken, NJ, USA, 2025. [Google Scholar]



| Author | Proposed Equation | Equation No. |
|---|---|---|
| Fredlund et al. [7] | (1) | |
| Bishop [8] | variable which is related to the degree of saturation | (2) |
| Sridharan [9] | net repulsive pressure net attractive pressure | (3) |
| Lamborn [10] | variable which is related to the degree of saturation volumetric water content | (4) |
| Peterson [11] | Apparent cohesion due to suction | (5) |
| Abramento and Carvalho [12] | curve fitting parameters | (6) |
| Escario and Juca [13] | shear strength when suction = 0 kPa maximum value : maximum shear strength the difference between the maximum shear, and the total height of the ellipse, b, that has been fit to experimental points | (7) |
| Vanapalli et al. [14] | volumetric water content : volumetric water content at residual suction : volumetric water content at saturation | (8) |
| Vanapalli et al. [15] | : normalized volumetric water content defined by the ratio between volumetric water content and saturated volumetric water content () | (9) |
| Miao et al. [16] | : atmospheric pressure (101.3 kPa) fitting parameter | (10) |
| Matsushi and Matsukara [17] | void ratio hypothetical maximum value of cohesion at θ = 0, and coefficient related to susceptibility of strength reduction | (11) |
| Kayadelen et al. [18] | angle of shear strength at peak state atmospheric pressure | (12) |
| Guan et al. [19] | constant controlling parameters | (13) |
| Satyanaga and Rahardjo [20] | : first air entry value : second air entry value in the macro transition in the micro transition | (14) |
| Gao et al. [21] | : shear stress corresponding to maximum average skeleton stress : suction corresponding to maximum average skeleton stress : suction | (15) |
| Ahmadi Naghadeh and Toker [22] | matric suction transition suction | (16) |
| Soil Type | Grain Size Distribution (%) [30] | Atterberg Limits (%) [31] | ||||
|---|---|---|---|---|---|---|
| Gravel | Sand | Silt | Clay | Liquid Limit (LL) | Plasticity Index (PI) | |
| CL-ML soil | 2 | 43 | 39 | 16 | 25 | 6 |
| CH soil | - | 4 | 27 | 69 | 59 | 32 |
| Soil Type | Dry Density (kN/m3) | Specific Gravity | PI | c′ (kPa) | ϕ′ (Degrees) | Reference |
|---|---|---|---|---|---|---|
| Sandy soils | ||||||
| Madrid clayey sand | 18.7 | 2.65 | 15 | 0 | 39.5 | [13] |
| El Paso sand | 13.6 | 2.65 | NP | 8.2 | 33.7 | [32] |
| Silty soils | ||||||
| Indian head till | 17.7 | 2.73 | 19 | 10 | 23 | [15] |
| Price club silt | 13.0 | 2.73 | 4 | 9.2 | 30.8 | [32] |
| Clayey soils | ||||||
| Madrid Grey clay | 13.0 | 2.77 | 35 | 23.7 | 22.5 | [13] |
| Guadalix Red clay | 17.7 | 2.66 | 14 | 15 | 32.5 | [13] |
| Fountain Hills clay | 11.2 | 2.77 | 41 | 22.1 | 23.8 | [32] |
| Decomposed tuff | 12.8 | 2.70 | - | 60 | 14 | [33] |
| CL-ML Soil | |||||||||||
| Gravimetric water content (%) | 6 | 8 | 12 | 14.4 (OMC) | 16 | 20 | |||||
| Degree of saturation (%) | 28 | 39 | 57 | 69 | 78 | 94 | |||||
| Soil suction (kPa) | 6966 | 1537 | 190 | 23 | 3 | 0.01 | |||||
| CH soil | |||||||||||
| Gravimetric water content (%) | 5 | 10 | 18.5 (OMC) | 20 | 25 | ||||||
| Degree of saturation (%) | 12 | 23 | 40 | 74 | 98 | ||||||
| Soil suction (kPa) | 77,560 | 13,213 | 1151 | 743 | 7 | ||||||
| Soil Type | a | n | m | (kPa) |
|---|---|---|---|---|
| CL-ML soil | 4.15 | 0.341 | 0.721 | 349.95 |
| CH soil | 89.9 | 0.316 | 0.777 | 429.45 |
Disclaimer/Publisher’s Note: The statements, opinions and data contained in all publications are solely those of the individual author(s) and contributor(s) and not of MDPI and/or the editor(s). MDPI and/or the editor(s) disclaim responsibility for any injury to people or property resulting from any ideas, methods, instructions or products referred to in the content. |
© 2025 by the authors. Licensee MDPI, Basel, Switzerland. This article is an open access article distributed under the terms and conditions of the Creative Commons Attribution (CC BY) license.
Share and Cite
Rajamanthri, K.; Zapata, C.E. A Non-Linear Suction-Dependent Model for Predicting Unsaturated Shear Strength. Geosciences 2026, 16, 12. https://doi.org/10.3390/geosciences16010012
Rajamanthri K, Zapata CE. A Non-Linear Suction-Dependent Model for Predicting Unsaturated Shear Strength. Geosciences. 2026; 16(1):12. https://doi.org/10.3390/geosciences16010012
Chicago/Turabian StyleRajamanthri, Kalani, and Claudia E. Zapata. 2026. "A Non-Linear Suction-Dependent Model for Predicting Unsaturated Shear Strength" Geosciences 16, no. 1: 12. https://doi.org/10.3390/geosciences16010012
APA StyleRajamanthri, K., & Zapata, C. E. (2026). A Non-Linear Suction-Dependent Model for Predicting Unsaturated Shear Strength. Geosciences, 16(1), 12. https://doi.org/10.3390/geosciences16010012

