Sign in to use this feature.

Years

Between: -

Subjects

remove_circle_outline
remove_circle_outline
remove_circle_outline
remove_circle_outline
remove_circle_outline
remove_circle_outline
remove_circle_outline
remove_circle_outline
remove_circle_outline

Journals

remove_circle_outline
remove_circle_outline
remove_circle_outline
remove_circle_outline
remove_circle_outline
remove_circle_outline

Article Types

Countries / Regions

remove_circle_outline
remove_circle_outline
remove_circle_outline
remove_circle_outline
remove_circle_outline

Search Results (1,818)

Search Parameters:
Keywords = soil available phosphorus

Order results
Result details
Results per page
Select all
Export citation of selected articles as:
14 pages, 1338 KB  
Article
Response of Depth-Stratified Soil Quality to Land-Use Conversion and Its Limiting Factors in Tropical Ecosystems
by Yanmin Li, Tianqi Zhang and Shihang Wang
Land 2025, 14(10), 2010; https://doi.org/10.3390/land14102010 - 7 Oct 2025
Viewed by 104
Abstract
Land degradation is known to alter soil properties and quality; however, its depth-dependent effects across contrasting land-use types and the key factors limiting soil recovery remain poorly quantified in tropical ecosystems. This study established a forest degradation gradient on Hainan Island, China, encompassing [...] Read more.
Land degradation is known to alter soil properties and quality; however, its depth-dependent effects across contrasting land-use types and the key factors limiting soil recovery remain poorly quantified in tropical ecosystems. This study established a forest degradation gradient on Hainan Island, China, encompassing mature forest, secondary forest, rubber plantation, and areca plantation. Soil physical (e.g., bulk density, porosity, water content, field capacity) and chemical (e.g., organic matter, nitrogen, phosphorus, and potassium fractions) properties were measured at three depths (0–20 cm, 20–40 cm, and 40–60 cm). A soil quality index (SQI) was constructed using principal component analysis, and obstacle degree modeling was applied to identify major limiting factors. The results showed that degradation of mature forests significantly reduced topsoil (0–20 cm) quality regardless of subsequent land-use type. In contrast, changes in medium (20–40 cm) and deep (40–60 cm) soil quality were land-use dependent. Conversion to secondary forests and areca plantations resulted in negligible effects, whereas transformation into rubber plantations significantly enhanced soil quality at medium and deep depths. Obstacle degree analysis identified available phosphorus, rather than nitrogen, as the primary limiting factor for soil quality in the region, accounting for 39.7% of all limitations across land-use types. This study demonstrates that the effects of tropical forest degradation on soil quality exhibit dual dependence on both soil depth and land-use type in tropical settings. Furthermore, it highlights the essential role of available phosphorus management in guiding soil restoration and sustainable land-use strategies in these vulnerable ecosystems. Full article
(This article belongs to the Special Issue Land Resource Use Efficiency and Sustainable Land Use)
Show Figures

Figure 1

22 pages, 2521 KB  
Article
The Remediation of Arsenic-Contaminated Soil by Pteris vittata L. Facilitates the Recovery of Soil Bacterial Diversity and Network Complexity
by Feng Li, Jinhua Liu, Tao Tian, Bin Deng and Haifeng Xiao
Microorganisms 2025, 13(10), 2316; https://doi.org/10.3390/microorganisms13102316 - 7 Oct 2025
Viewed by 174
Abstract
The remediation of contaminated soils is essential for restoring land productivity and soil health. Pteris vittata L., an arsenic hyperaccumulator, has been widely used for phytoremediation, yet its ecological effects on soil systems remain insufficiently understood. In this field study, we evaluated the [...] Read more.
The remediation of contaminated soils is essential for restoring land productivity and soil health. Pteris vittata L., an arsenic hyperaccumulator, has been widely used for phytoremediation, yet its ecological effects on soil systems remain insufficiently understood. In this field study, we evaluated the influence of Pteris vittata L. remediation on soil physico-chemical properties, microbial diversity, and molecular ecological networks. The results showed that long-term arsenic contamination significantly reduced soil total carbon, total nitrogen, and available phosphorus, simplified bacterial network structures, and markedly altered the keystone taxa that maintain microbial interactions. In contrast, soils under Pteris vittata L. remediation exhibited higher nutrient availability, greater bacterial diversity, and more complex microbial networks than contaminated soils, indicating partial recovery of ecosystem functions. These findings demonstrate that Pteris vittata L. remediation can mitigate arsenic-induced soil degradation and provide an important scientific basis for assessing the long-term impacts of arsenic contamination and the role of remediation measures in soil health evolution. Full article
(This article belongs to the Topic Recent Advances in Soil Health Management)
Show Figures

Figure 1

16 pages, 1409 KB  
Article
Evolution of Cultivated Land Quality and Its Impact on Productivity in Three Arid Ecological Zones of Northern China
by Haiyan Wang, Ping Liu, Paul N. Williams, Xiaolan Huo, Minggang Xu and Zhiyong Yu
Agronomy 2025, 15(10), 2346; https://doi.org/10.3390/agronomy15102346 - 5 Oct 2025
Viewed by 282
Abstract
Cultivated land quality is critical for soil productivity and scientific fertilization. This study analyzed its evolution and impact on soil productivity across three ecological regions (southern, central, and northern Shanxi) in Shanxi Province, China, from 1998 to 2021). Using data from 8 long-term [...] Read more.
Cultivated land quality is critical for soil productivity and scientific fertilization. This study analyzed its evolution and impact on soil productivity across three ecological regions (southern, central, and northern Shanxi) in Shanxi Province, China, from 1998 to 2021). Using data from 8 long-term experimental sites (1998–2021) and 50 monitoring stations (2016–2021), we employed random forest analysis to evaluate temporal trends in key soil indicators. The results show the following: (1) Northern Shanxi exhibited the greatest improvement in soil fertility, with organic matter increasing by 98.2%, total nitrogen by 57.2%, available phosphorus by 131.7%, and available potassium by 17.1%. (2) Nitrogen fertilizer application increased across all regions, while phosphorus and potassium inputs generally declined. (3) Crop yields improved substantially—southern Shanxi wheat and maize increased by 15.3% and 20.9%, respectively, while central and northern Shanxi maize yields rose by 30.9% and 75.4%. Random forest models identified regional characteristics (40%), nitrogen fertilization (20%), and available phosphorus (18%) as primary influencing factors. Although cultivated land quality improved overall, soil fertility remained medium to low. Region-specific management strategies are recommended: rational nitrogen use in all regions; nitrogen control with phosphorus supplementation in the south; focused improvement of available phosphorus and potassium in the center; and increased organic fertilizer in the north. These measures support scientific nutrient management and sustainable agricultural production. Full article
(This article belongs to the Section Agroecology Innovation: Achieving System Resilience)
Show Figures

Figure 1

15 pages, 2699 KB  
Article
Rhizosphere Microbiota and Soil Nutrients Shape Fruit Lignan Composition of Schisandra chinensis Across Temperate Cultivation Sites in Northeast and Northwest China
by Yanli Wang, Wenpeng Lu, Jiaqi Li, Yiming Yang, Shutian Fan, Yue Wang, Hongyan Qin, Nan Shu, Baoxiang Zhang, Changyu Li, Jingmeng Zhu, Jinshuo Wang, Sisi Yang and Peilei Xu
Life 2025, 15(10), 1555; https://doi.org/10.3390/life15101555 - 3 Oct 2025
Viewed by 249
Abstract
Schisandra chinensis (Turcz.) Baill. (S. chinensis) is a widely used medicinal plant whose therapeutic efficacy is closely linked to its lignan content. While previous studies have focused on soil fertility and cultivar variation, the interplay among soil nutrients, rhizosphere microbiota, and lignan [...] Read more.
Schisandra chinensis (Turcz.) Baill. (S. chinensis) is a widely used medicinal plant whose therapeutic efficacy is closely linked to its lignan content. While previous studies have focused on soil fertility and cultivar variation, the interplay among soil nutrients, rhizosphere microbiota, and lignan accumulation remains poorly understood. This study investigated S. chinensis grown across 20 cultivation sites to elucidate the relationships among soil nutrient profiles, fruit lignan composition, and rhizosphere microbial communities. Six major lignans were quantified using HPLC, soil nutrients were analyzed via standard chemical assays, and rhizosphere bacterial communities were profiled using 16S rRNA sequencing. Multivariate analyses revealed significant variation in soil properties and lignan content across sites. Notably, available phosphorus, organic matter, and total nitrogen showed strong correlations with specific lignan compounds. From the top 50 taxa ranked by relative abundance at the genus level, 18 bacterial genera associated with lignan components were identified. Among them, Mycobacterium, Arthrobacter, Haliangium, Bacillus, Sphingomonas, Rhodanobacter, Ellin6067, Bradyrhizobium, Pseudolabrys, Chujaibacter, Gemmatimonas, Bryobacter, MND1, Candidatus Sollbacter, Gaiella, Paenibacillus, RB41, and Candidatus_Udaeobacter were significantly associated with lignan levels, suggesting potential microbial involvement in lignan biosynthesis. These findings provide insights into the ecological factors shaping the medicinal quality of S. chinensis and offer a foundation for targeted cultivation and breeding strategies. Full article
(This article belongs to the Section Diversity and Ecology)
Show Figures

Figure 1

17 pages, 7665 KB  
Article
Soil Acidification Alters Phosphorus Fractions and phoD-Harboring Microbial Communities in Tea Plantation Soils, Thus Affecting Tea Yield and Quality
by Shunxian Lin, Tingting Wang, Junfeng Zheng, Weiwei Lin, Xiaoli Jia, Qi Zhang, Yulin Wang, Jianghua Ye and Haibin Wang
Horticulturae 2025, 11(10), 1191; https://doi.org/10.3390/horticulturae11101191 - 3 Oct 2025
Viewed by 261
Abstract
The effects of soil acidification on the phoD-harboring microbial community and the fractions of soil phosphorus in tea plantation soils are still unclear. In this study, tea plantations with different soil pH were used as the research object to analyze changes in [...] Read more.
The effects of soil acidification on the phoD-harboring microbial community and the fractions of soil phosphorus in tea plantation soils are still unclear. In this study, tea plantations with different soil pH were used as the research object to analyze changes in soil phosphorus fractions, phoD gene abundance, phoD-harboring microbial community composition, and their relationship with tea yield and quality. The results showed that the content of tea polyphenols, caffeine, free amino acids, theanine, and tea yield decreased significantly after acidification. Moreover, the content of total phosphorus in the acidified soil also decreased significantly. Further analysis of soil phosphorus fractions showed that the acidification of the tea plantation soil resulted in a significant decrease in the content of different types of labile and moderately labile phosphorus, whereas the content of non-labile phosphorus exhibited the opposite trend. As the content of soil NaHCO3-Po, NaOH-Po, Resin-Pi, NaHCO3-Pi, NaOH-Pi, and HCl-Pi decreased significantly after acidification, its organic and inorganic phosphorus content also decreased significantly. Its phosphorus activation capacity decreased by 4.75% after soil acidification. Soil acidification significantly reduced the diversity of phoD-harboring microbial communities by 61.89%. Analysis of the phoD-harboring microbial community composition suggested that the microbial abundance of Acidobacteria and Proteobacteria showed a decreasing trend in acidified soils, while for Nitrospirae, Verrucomicrobia, Actinobacteria, and Planctomycetes, it showed an increasing trend. Correlation analysis showed that microorganisms with significantly decreasing abundance in tea plantation soils were significantly and positively correlated with soil pH, labile phosphorus, moderately labile phosphorus, phosphorus activation coefficients, and tea yield and quality after soil acidification. It is evident that soil acidification inhibited soil phosphorus availability by shifting phoD-harboring microbial community composition in tea plantation soils, thus affecting the yield and quality of above-ground tea leaves. Full article
(This article belongs to the Special Issue Abiotic Stress Tolerance and Breeding Strategies in Tea Plants)
Show Figures

Figure 1

15 pages, 9569 KB  
Article
Cold–Temperate Betula platyphylla Sukaczev Forest Can Provide More Soil Nutrients to Increase Microbial Alpha Diversity and Microbial Necromass Carbon
by Yunbing Jiang, Mingliang Gao, Libin Yang, Zhichao Cheng, Siyuan Liu and Yongzhi Liu
Microorganisms 2025, 13(10), 2291; https://doi.org/10.3390/microorganisms13102291 - 1 Oct 2025
Viewed by 302
Abstract
Changes in vegetation type shape the soil microenvironment, thereby regulating the changes in the organic carbon pool by influencing microbial communities and the accumulation of microbial necromass carbon (MNC). This study investigated microbial biomass—via phospholipid fatty acids (PLFAs) analysis—and MNC accumulation across three [...] Read more.
Changes in vegetation type shape the soil microenvironment, thereby regulating the changes in the organic carbon pool by influencing microbial communities and the accumulation of microbial necromass carbon (MNC). This study investigated microbial biomass—via phospholipid fatty acids (PLFAs) analysis—and MNC accumulation across three cold–temperate forest types: Larix gmelinii forest (L), Larix gmeliniiBetula platyphylla Sukaczev mixed forest (LB), and Betula platyphylla Sukaczev forest (B). The results showed that the L had the lowest contents of pH, water content (WC), soil organic carbon (SOC), total nitrogen (TN), available nitrogen (AN), and total phosphorus (TP), but the highest contents of dissolved organic carbon (DOC), available phosphorus (AP), and carbon to nitrogen ratio (C/N) (p < 0.05). LB had the lowest PLFAs content and the highest ratio of Gram-positive bacteria/Gram-negative bacteria (G+/G−), and total fungi/total bacteriai (F/B) of L was the highest. B had the highest alpha diversity index, and significantly positively correlated with pH, SOC, TN, AN, and TP. TP and C/N were the primary elements for significant differences in microbial community structure. The order of MNC content and its contribution to SOC was B > LB > L. MNC was significantly negatively correlated with PLFAs, DOC, and AP, and significantly positively correlated with pH, SOC, TN, AN, TP, Shannon–Wiener and Pielou indices. In conclusion, this study demonstrates that Betula platyphylla Sukaczev forest retains more carbon, nitrogen, and phosphorus, microbial alpha diversity, and acquires more MNC, which can provide a basis for subsequent forest management and carbon sequestration projects. Full article
(This article belongs to the Section Environmental Microbiology)
Show Figures

Figure 1

26 pages, 2752 KB  
Article
Response Mechanism of Litter to Soil Water Conservation Functions Under the Density Gradient of Robinia pseudoacacia L. Forests in the Loess Plateau of the Western Shanxi Province
by Yunchen Zhang, Jianying Yang, Jianjun Zhang and Ben Zhang
Plants 2025, 14(19), 3042; https://doi.org/10.3390/plants14193042 - 1 Oct 2025
Viewed by 295
Abstract
In the ecologically fragile western Shanxi Loess region, stand density regulation of artificial Robinia pseudoacacia L. forests plays a crucial role in sustaining the water regulation functions of the litter-soil system, yet multi-scale mechanistic analyses remain scarce. To address this gap, we established [...] Read more.
In the ecologically fragile western Shanxi Loess region, stand density regulation of artificial Robinia pseudoacacia L. forests plays a crucial role in sustaining the water regulation functions of the litter-soil system, yet multi-scale mechanistic analyses remain scarce. To address this gap, we established six stand density classes (ranging from 1200 to 3200 stems/ha) and quantified litter water-holding traits and soil physicochemical properties. We then applied principal component analysis (PCA) and structural equation modeling (SEM) to examine density-litter-soil relationships. Low-density stands (≤2000 stems/ha) exhibited significantly higher litter accumulation (6.08–6.37 t/ha) and greater litter water-holding capacity (maximum 20.58 t/ha) than the high-density stands (p < 0.05). Soil capillary water-holding capacity decreased with increasing density (4702.63–4863.28 t/ha overall), while non-capillary porosity (5.26–6.21%) and soil organic carbon (~12.5 g/kg) were higher in high-density stands (≥2800 stems/ha), reflecting a structural-carbon optimization trade-off. PCA revealed a primary hydrological function axis with low-density stands clustering in the positive quadrant, while high-density stands shifted toward nutrient-conservation traits. SEM confirmed that stand density affected soil capillary water-holding capacity indirectly through litter accumulation (significant indirect path; non-significant direct path), highlighting the central role of litter quantity. When density exceeded ~2400 stems/ha, litter decomposition rate decreased by ~56%, coinciding with capillary porosity falling below ~47%, a threshold linked to impaired balance between water storage and infiltration. These findings identify 1200–1600 stems/ha as the optimal density range; in this range, soil capillary water-holding capacity reached 4788–4863 t/ha, and available phosphorus remained ≥2.1 mg/kg, providing a density-centered, near-natural management paradigm for constructing “water-conservation vegetation” on the Loess Plateau. Full article
Show Figures

Figure 1

16 pages, 3127 KB  
Article
Optimizing Resource Management with Organic Fertilizer and Microbial Inoculants to Enhance Soil Quality, Microbial Diversity, and Crop Productivity in Newly Cultivated Land
by Yuling Dai, Xiaoxiao Wu, Shuo Li, Yan Li, Lei Wang, Yu Hu, Kangmeng Liu, Zhenguo Yang, Lianfeng Cai, Kuifeng Xu, Meili Cui, Xuening Xu, Yuehui Jia, Dan Wei and Jianli Ding
Plants 2025, 14(19), 3032; https://doi.org/10.3390/plants14193032 - 30 Sep 2025
Viewed by 271
Abstract
In response to China’s drive to bring newly cultivated land into production, this study evaluated how combined organic fertilizer and microbial inoculants affect soil quality, bacterial community structure, and maize yield. Four treatments were evaluated: FC (chemical fertilizer only), T50 (50% organic fertilizer [...] Read more.
In response to China’s drive to bring newly cultivated land into production, this study evaluated how combined organic fertilizer and microbial inoculants affect soil quality, bacterial community structure, and maize yield. Four treatments were evaluated: FC (chemical fertilizer only), T50 (50% organic fertilizer + 50% chemical fertilizer), T50M (T50 plus microbial inoculant), and CK (no fertilizer). T50M significantly increased yield compared to FC and CK (p < 0.05), achieving the highest yield of 6995.73 kg ha−1. This was 20.09% greater than FC. Community composition analyses showed that soil in newly cultivated land was dominated by Blastocatellia, Vicinamibacteria, and Alphaproteobacteria, together accounting for over 35.7% of total bacterial abundance. Redundancy analysis at the class level explained 55.7% of variance; soil organic matter (SOM) and available potassium positively correlated with Alphaproteobacteria and Bacteroidia, while available phosphorus and nitrate nitrogen aligned with Actinobacteria and Bacilli. Path analysis indicated that SOM and total nitrogen were the strongest positive drivers of yield. Actinobacteria and Acidobacteriae also showed direct positive effects, whereas Verrucomicrobiae had a negative effect. These results demonstrate that integrated organic–microbial amendments can enhance soil fertility and alter microbial diversity toward taxa that can improve maize productivity. Full article
Show Figures

Figure 1

17 pages, 3368 KB  
Article
Effects of Different Land-Use Types on Soil Properties and Microbial Communities in a Southeastern Tibetan Valley
by Ximei Zhao, Wenyan He, Fengyun Xiang, Jianqiang Zhu and Jifu Li
Agronomy 2025, 15(10), 2317; https://doi.org/10.3390/agronomy15102317 - 30 Sep 2025
Viewed by 257
Abstract
Land-use type is a key factor influencing soil properties, microbial community composition, and plant nutrient status. In this study, five land-use types (Tibetan barley, rapeseed, walnut, wheat, and weeds) were investigated in a river valley of southeastern Tibet to compare their effects on [...] Read more.
Land-use type is a key factor influencing soil properties, microbial community composition, and plant nutrient status. In this study, five land-use types (Tibetan barley, rapeseed, walnut, wheat, and weeds) were investigated in a river valley of southeastern Tibet to compare their effects on soil chemical characteristics, microbial communities, and plant nutrients. Soils under walnut trees had significantly higher available phosphorus and microbial biomass phosphorus but lower soil organic matter. Rapeseed fields had higher levels of available potassium and were dominated by the fungal genus Tausonia; rapeseed leaves also contained the highest nitrogen and potassium concentrations. Weed plots supported a distinct fungal community dominated by Helvella. Tibetan barley and wheat increased overall bacterial and fungal diversity, with wheat soils with the highest microbial biomass carbon and nitrogen. Redundancy analysis indicated that soil total nitrogen, available nitrogen, and organic matter were the main drivers of plant nutrient variation, together explaining 93.5% of the total variance. These findings demonstrate how land-use type regulates soil–microbe–plant interactions in alpine valleys and provide empirical references for agricultural management and soil improvement on the Qinghai–Tibet Plateau. Full article
(This article belongs to the Section Agricultural Biosystem and Biological Engineering)
Show Figures

Figure 1

16 pages, 1515 KB  
Article
Effects of Auricularia auricula Residue on Soil Physicochemical Properties, Microbial Community Composition, Diversity, and Rice Yield
by Weidong Yuan, Tingxuan Zong, Bin Yu, Ya Xin, Jia Lu, Qin Qiu, Lin Ma and Jiling Song
Agronomy 2025, 15(10), 2313; https://doi.org/10.3390/agronomy15102313 - 30 Sep 2025
Viewed by 222
Abstract
The return of mushroom residue to the field is an effective measure to improve soil fertility and maintain agroecosystem productivity. We investigated the effects of returning Auricularia auricula residue to the field on the soil nutrients, enzyme activities, and microbial communities in rice– [...] Read more.
The return of mushroom residue to the field is an effective measure to improve soil fertility and maintain agroecosystem productivity. We investigated the effects of returning Auricularia auricula residue to the field on the soil nutrients, enzyme activities, and microbial communities in rice–A. auricula rotation farmland. The return of 67.5 ton/ha A. auricula residue to the field significantly increased the contents of ammonium nitrogen, total nitrogen, total potassium, total phosphorus, available potassium (QK), available phosphorus, and organic matter by 180.49%, 70.41%, 16.3%, 54.35%, 137.33%, 38.84%, and 59.29%, respectively. The activities of urease, sucrase, β-glucosidase (β-GC), and acetyl-β-d-glucosidase significantly increased by 32.98%, 407.78%, 206.85%, and 186.26%, respectively; catalase and leucine aminopeptidase activities increased by 244.42% and 130.90% with the return of 54 ton/ha residue. Mushroom residue return increased the Chao1 and Shannon indices of the bacterial community but decreased the diversity of the fungal community. Redundancy analysis showed that QK, β-GC, and urease were closely associated with shifts in microbial community structure. Therefore, returning 67.5 ton/ha (149,925 bags) A. auricula residue to the field can enhance soil ecological functions by improving soil nutrients, enzyme activities, and microbial community structure. Full article
(This article belongs to the Section Soil and Plant Nutrition)
Show Figures

Figure 1

22 pages, 4958 KB  
Article
Closing the Loop in Opuntia Cultivation: Opportunities and Challenges in Residue Valorization
by Alan Jesús Torres-Sandoval, Yolanda Donají Ortiz-Hernández, María Elena Tavera-Cortés, Marco Aurelio Acevedo-Ortiz and Gema Lugo-Espinosa
Agronomy 2025, 15(10), 2311; https://doi.org/10.3390/agronomy15102311 - 30 Sep 2025
Viewed by 258
Abstract
Global food systems face growing pressure from population expansion and climate change, making the identification of resilient crops a priority. The nopal cactus (Opuntia spp.) stands out for its capacity to thrive in arid environments and for its cultural and economic importance [...] Read more.
Global food systems face growing pressure from population expansion and climate change, making the identification of resilient crops a priority. The nopal cactus (Opuntia spp.) stands out for its capacity to thrive in arid environments and for its cultural and economic importance in Mexico. This study analyzes worldwide research trends and evaluates evidence from Mexico to identify opportunities and strategies for closing production cycles through residue valorization. Scientific output over the past decade shows steady growth and a thematic transition from basic agronomic and compositional studies toward sustainability, bioactive compounds, and circular economy approaches. In the Mexican context, applied studies demonstrate that Opuntia spp. cladodes residues can be transformed into composts with C/N ratios between 12 and 26, improving soil organic matter and nutrient availability. Biofertilizers produced through anaerobic fermentation enhanced phosphorus solubility in alkaline soils, while direct residue incorporation increased carrot and tomato yields up to threefold. Farmers recognize these practices as low-cost and compatible with local systems. Nevertheless, the lack of standardized protocols and scalable models limits widespread adoption. Strengthening research collaboration, policy incentives, and technology transfer could position Mexico as a leader in sustainable Opuntia value chains and advance circular economy practices in smallholder farming systems. Full article
Show Figures

Figure 1

19 pages, 10338 KB  
Article
Halophyte-Mediated Metal Immobilization and Divergent Enrichment in Arid Degraded Soils: Mechanisms and Remediation Framework for the Tarim Basin, China
by Jingyu Liu, Lang Wang, Shuai Guo and Hongli Hu
Sustainability 2025, 17(19), 8771; https://doi.org/10.3390/su17198771 - 30 Sep 2025
Viewed by 192
Abstract
Understanding heavy metal behavior in arid saline soils is critical for phytoremediation in degraded lands. This study investigated metal distribution and plant enrichment in the Tarim Basin using 323 soil and 55 plant samples (Populus euphratica, Tamarix ramosissima, cotton, jujube). [...] Read more.
Understanding heavy metal behavior in arid saline soils is critical for phytoremediation in degraded lands. This study investigated metal distribution and plant enrichment in the Tarim Basin using 323 soil and 55 plant samples (Populus euphratica, Tamarix ramosissima, cotton, jujube). Analyses included redundancy analysis (RDA) and bioconcentration factor (BCF) assessments. Key findings reveal that elevated salinity (total salts, TS > 200 g/kg) and alkalinity (pH > 8.5) immobilized As, Cd, Cu, and Zn. Precipitation and competitive leaching reduced metal mobility by 42–68%. Plant enrichment strategies diverged significantly: P. euphratica hyperaccumulated Cd (BCF = 1.59) and Zn (BCF = 2.41), while T. ramosissima accumulated As and Pb (BCF > 0.05). Conversely, cotton posed Hg transfer risks (BCF = 2.15), and jujube approached Cd safety thresholds in phosphorus-rich soils. RDA indicated that pH and total salinity (TS) jointly suppressed metal bioavailability, explaining 57.6% of variance. Total phosphorus (TP) and soil organic carbon (SOC) enhanced metal availability (36.8% variance), with notable TP-Cd synergy (Pearson’s r = 0.42). We propose a dual-threshold management framework: (1) leveraging salinity–alkalinity suppression (TS > 200 g/kg + pH > 8.5) for natural immobilization; and (2) implementing TP control (TP > 0.8 g/kg) to mitigate crop Cd risks. P. euphratica demonstrates targeted phytoremediation potential for degraded saline agricultural systems. This framework guides practical management by spatially delineating zones for natural immobilization versus targeted remediation (e.g., P. euphratica planting in Cd/Zn hotspots) and implementing phosphorus control in high-risk croplands. Full article
Show Figures

Figure 1

13 pages, 561 KB  
Article
Impact of Coated Phosphorus Fertilizers and Application Methods on Soil Fertility, Yield, and Ionic Regulation of Common Beans (Phaseolus vulgaris L.) Grown in Saline Soil
by Sara A. El-Shabasy, Tamer H. Khalifa, Tarek M. El-Zehery and Alaa El-Dein Omara
Crops 2025, 5(5), 68; https://doi.org/10.3390/crops5050068 - 29 Sep 2025
Viewed by 190
Abstract
Salinity is a major limitation on common bean productivity, while phosphorus in many soils is often immobilized, limiting its availability to plants. This study investigated the effects of coated and uncoated superphosphate fertilizers, applied at different rates and using distinct methods, on soil [...] Read more.
Salinity is a major limitation on common bean productivity, while phosphorus in many soils is often immobilized, limiting its availability to plants. This study investigated the effects of coated and uncoated superphosphate fertilizers, applied at different rates and using distinct methods, on soil properties, plant growth, and ion regulation in common beans grown in saline soil over two seasons (2023–2024). Treatments combined two fertilizer types (coated with potassium sulfate and uncoated), two P rates (360 and 480 kg/ha), and two application methods: (1) conventional application, broadcasting followed by plowing to 30 cm depth during soil preparation; (2) surface application, broadcasting without incorporation. Six treatments were applied: T1: 360 kg/ha of uncoated superphosphate (conventional method); T2: 480 kg/ha of uncoated superphosphate (conventional method); T3: 360 kg/ha of coated superphosphate (conventional method); T4: 480 kg/ha of coated superphosphate (conventional method); T5: 360 kg/ha of coated superphosphate (surface method); and T6: 480 kg/ha of coated superphosphate (surface method). The results demonstrated that soil pH was unaffected across treatments. However, T4 and T6 significantly improved nutrient availability (N, P, and K), biomass, grain yield, and seed nutritional quality (protein, P, K, and Ca). Despite increased soil EC, these treatments enhanced ionic balance (higher K/Na and Ca/Na ratios) indicating improved stress tolerance. Importantly, T3 (360 kg/ha coated) performed comparably to T2 (480 kg/ha uncoated), suggesting that coated superphosphate at lower rates can reduce input costs without compromising yield. These results demonstrate the agronomic and environmental benefits of coated superphosphate, particularly under saline conditions, through enhanced nutrient use efficiency and improved crop performance. Full article
Show Figures

Figure 1

18 pages, 1390 KB  
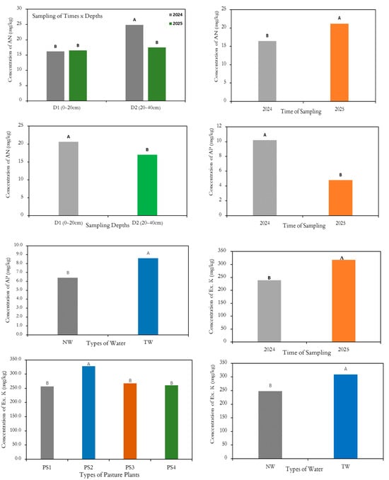
Article
Effects of Treated Wastewater Irrigation on Pastoral Plant Growth and Soil Properties in Al-Tamriat, Saudi Arabia
by Mosaed A. Majrashi, Zafer Alasmary, Sahar Ezzat, Hesham M. Ibrahim, Meshal Abdullah Harbi, Abdullah Abldubise and Abdulaziz G. Alghamdi
Processes 2025, 13(10), 3110; https://doi.org/10.3390/pr13103110 - 28 Sep 2025
Viewed by 221
Abstract
Water scarcity in arid regions has prompted the exploration of alternative irrigation sources, including treated wastewater, to support sustainable rangeland management. This study evaluated the effects of treated wastewater irrigation on the growth performance of native pastoral plants and soil chemical properties in [...] Read more.
Water scarcity in arid regions has prompted the exploration of alternative irrigation sources, including treated wastewater, to support sustainable rangeland management. This study evaluated the effects of treated wastewater irrigation on the growth performance of native pastoral plants and soil chemical properties in the Al-Tamriat area, Al-Jouf, Saudi Arabia. Four native species—Traganum nudatum (Aldamran), Atriplex leucoclada (Alrughal), Salsola villosa (Al-Rutha), and Ziziphus nummularia (Sidir)—were cultivated under two irrigation regimes: normal water and treated wastewater. In a 12-month period, plant morphological traits (plant height, stem diameter, and canopy width) were monitored monthly, alongside soil chemical properties (pH, electrical conductivity, total organic carbon, organic matter, available phosphorus, exchangeable potassium, and available nitrogen) assessed at two soil depths (0–20 cm and 20–40 cm). Results showed species-specific responses to irrigation water quality where Atriplex leucoclada and Ziziphus nummularia exhibited superior growth performance (average heights of 54.78 cm and 53.09 cm, respectively), compared to the Traganum nudatum and Salsola villosa. Overall, normal water irrigation promoted greater plant growth (mean height: 36.61 cm) compared to treated wastewater (29.60 cm), likely due to salinity stress. In contrast, soil fertility improved under both treatments, with total organic carbon increasing from 0.08 to 0.43% in the top layer (0–20 cm) and from 0.05 to 0.40% in the bottom layer (20–40 cm) after 12 months of experimentation. Statistical analysis (ANOVA, p < 0.05) revealed significant interactive effects between water type, species, and time on plant and soil variables. These findings illustrate the potential of using TW for rangeland irrigation, while also illustrating its potential to limit growth in sensitive species. The results emphasize the importance of choosing the right species and managing water quality when developing TW irrigation plans for arid rangelands. Full article
(This article belongs to the Section Environmental and Green Processes)
Show Figures

Figure 1

15 pages, 3212 KB  
Article
Soil Microbial Communities Significantly Changed Along Stand Ages in Masson Pine (Pinus massoniana Lamb.) Plantation
by Weijun Fu, Bingyi Wang, Dunzhu Li and Yong Zhang
Plants 2025, 14(19), 3004; https://doi.org/10.3390/plants14193004 - 28 Sep 2025
Viewed by 280
Abstract
Soil microbial communities are important for nutrient cycling regulation in forest ecosystems. However, limited knowledge exists regarding the characteristics of these microbial communities in Masson pine (Pinus massoniana Lamb.) plantations of different stand ages. In this study, four planted Masson pine stands [...] Read more.
Soil microbial communities are important for nutrient cycling regulation in forest ecosystems. However, limited knowledge exists regarding the characteristics of these microbial communities in Masson pine (Pinus massoniana Lamb.) plantations of different stand ages. In this study, four planted Masson pine stands (8-year-old, 12-year-old, 22-year-old, and 38-year-old stands) and one natural broadleaved forest stand (as a control) with three replications, were selected in the Laoshan Forest Farm, Qiandao Lake Town, Zhejiang Province, China. Soil physicochemical properties were measured and their effects on soil microbial communities were studied. Amplicon-based high-throughput sequencing was employed to process raw sequence data for soil microbes. It is worth noting that significant differences (p < 0.05) in soil bacterial genera were observed among different stand age groups. Total nitrogen (TN), total phosphorus (TP), total potassium (TK), available potassium (AK), soil organic carbon (SOC), and soil bulk density (BD) were identified as the primary factors influencing bacterial community distribution (p < 0.05). Available nitrogen (AN), SOC, TN, and TK showed significant correlations with soil fungal communities (p < 0.05). These findings underscore the crucial role of soil physicochemical properties in shaping soil microbial community composition in Masson pine plantations. Full article
Show Figures

Figure 1

Back to TopTop