Evolution of Cultivated Land Quality and Its Impact on Productivity in Three Arid Ecological Zones of Northern China
Abstract
1. Introduction
2. Materials and Methods
2.1. Overview of Monitoring Sites
2.2. Experimental Design
- -
- Southern Shanxi wheat: N (67.5–718), P2O5 (10.5–618), and K2O (24–744);
- -
- Southern Shanxi maize: N (12.9–561), P2O5 (7.5–414), and K2O (7.5–319);
- -
- Central Shanxi maize: N (75–624), P2O5 (2.3–568), and K2O (9.8–623);
- -
- Northern Shanxi maize: N (34.5–645), P2O5 (33–435), and K2O (21–607).
2.3. Data Processing
3. Results
3.1. Evolution and Status of Soil Nutrients in the Three Ecoregions
3.2. Evolution and Current Status of Fertilization Rates in the Three Ecological Regions
3.3. Evolution of Productivity in the Three Ecoregions
3.3.1. Relationships Between Yield and Soil Nutrients in Unfertilized and Conventional Plots Across Ecological Regions
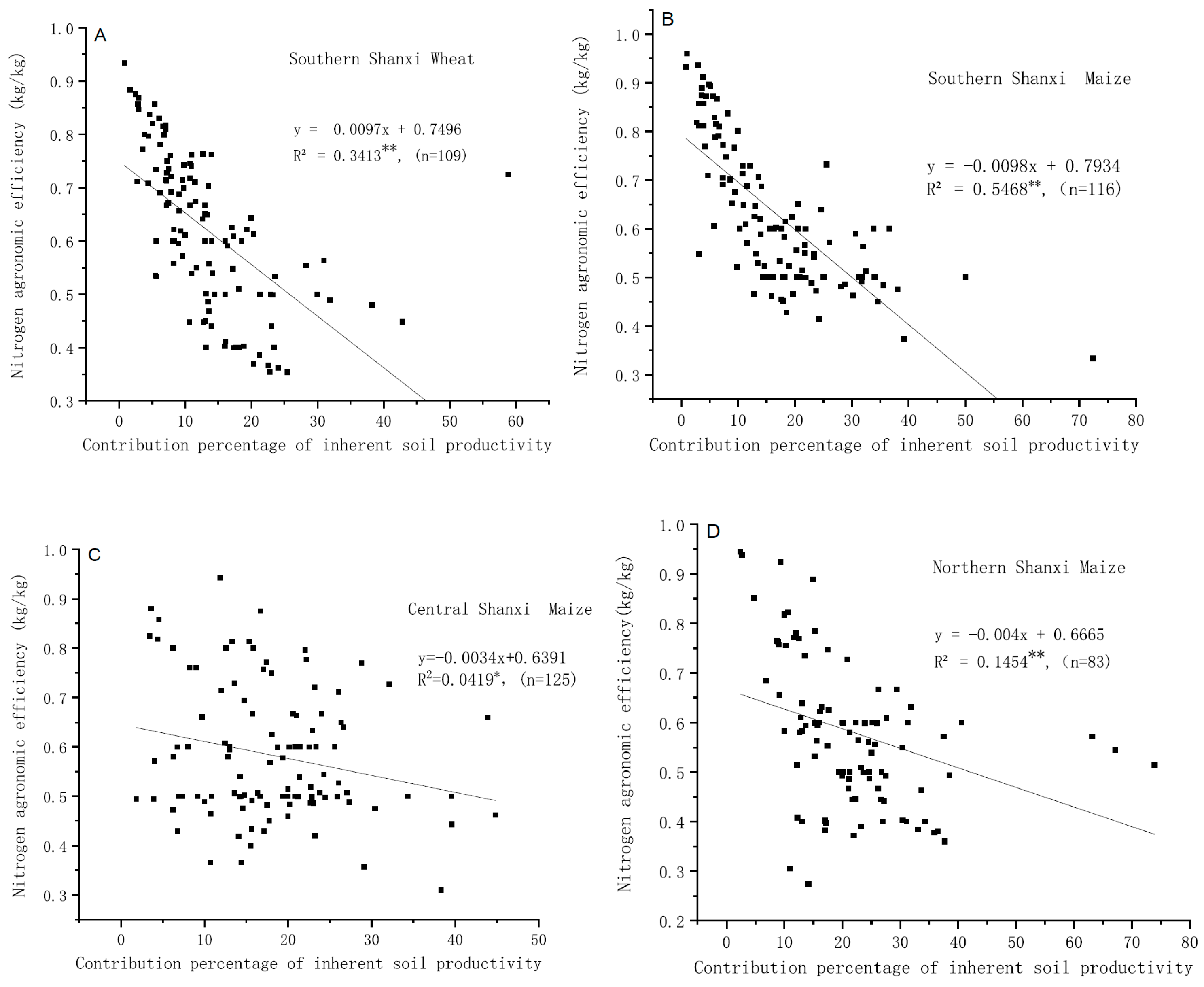
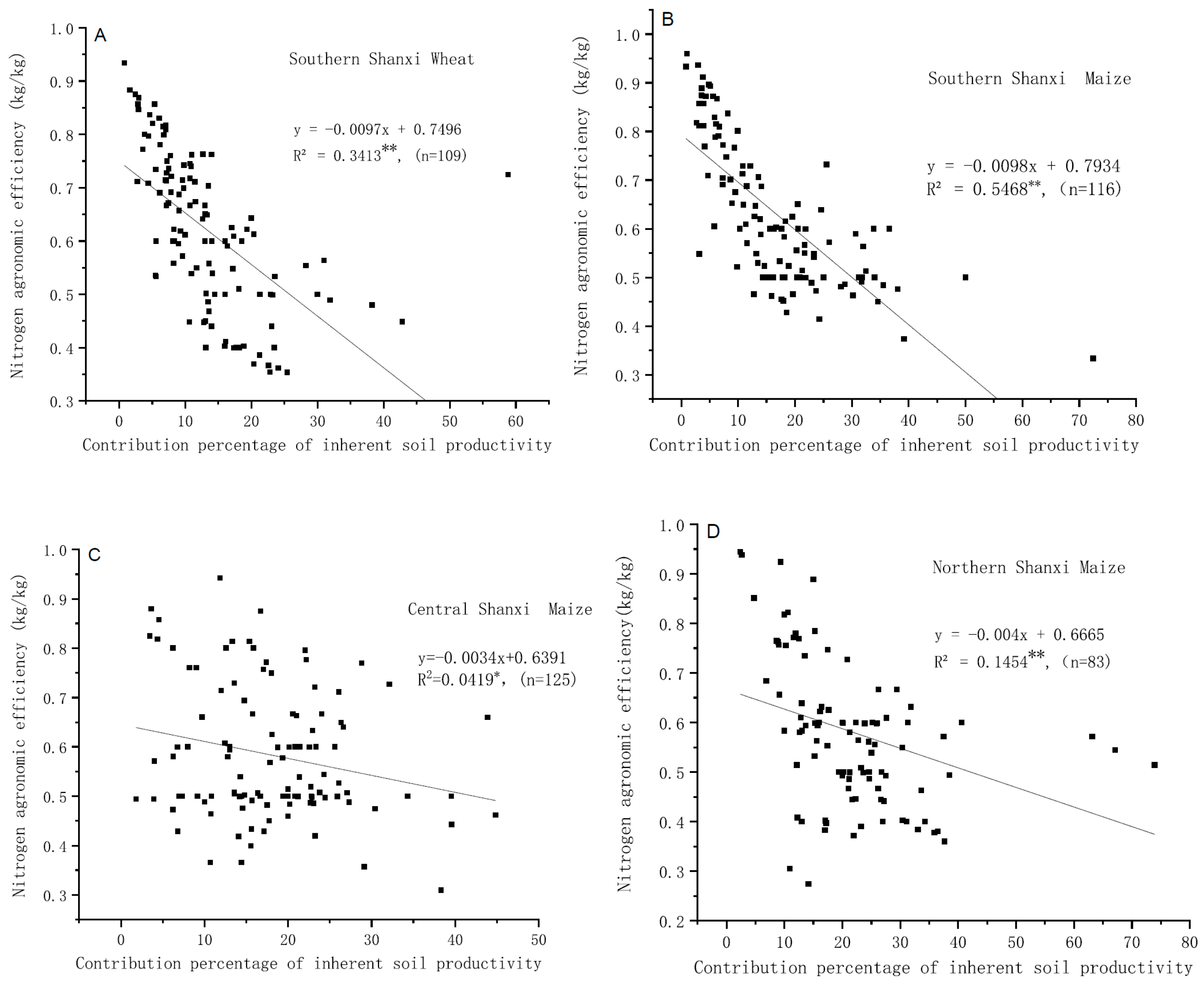
3.3.2. Nitrogen Fertilizer Agronomic Efficiency and Soil Productivity Contribution Coefficients Across Regions
3.3.3. Analysis of Influencing Factors of Productivity
4. Discussion
4.1. Evolution and Current Status of Cultivated Land Quality in Three Ecological Regions
4.2. Analysis of Yield Determinants Across Ecological Regions
4.3. Scientific Fertilization Recommendations for Three Ecological Regions
5. Conclusions
Author Contributions
Funding
Data Availability Statement
Acknowledgments
Conflicts of Interest
References
- Shore, M.; Jordanb, P.; Mellander, P.E.; Kelly-Quinn, M.; Wall, D.P.; Murphy, P.N.C.; Melland, A.R. Evaluating the critical source area concept of phosphorus loss from soils to water-bodies in agricultural catchments. Sci. Total Environ. 2014, 490, 405–415. [Google Scholar] [CrossRef]
- Xie, W.Y.; Zhou, H.P.; Yang, Z.X.; Liu, Z.P. Current situation and change characteristics in recent 10 years of farm land soil fertility in Shanxi province based on location monitoring. Soils Fertil. Sci. China 2022, 10, 1–10. (In Chinese) [Google Scholar]
- Mueller, N.D.; Gerber, J.S.; Johnston, M.; Ray, D.K.; Ramankutty, N.; Foley, J.A. Closing yield gaps through nutrient and water management. Nature 2012, 490, 254–257. [Google Scholar] [CrossRef]
- Gai, X.P.; Liu, H.B.; Liu, J.; Zhai, L.M.; Yang, B.; Wu, S.X.; Ren, T.Z.; Lei, Q.L.; Wang, H.Y. Long-term benefits of com bining chemical fertilizer and manure applications on crop yields and soil carbon and nitrogen stocks in North China Plain. Agric. Water Manag. 2018, 208, 384–392. [Google Scholar] [CrossRef]
- Wang, H.X.; Xu, J.L.; Liu, X.J.; Zhang, D.; Li, L.W.; Li, W.; Sheng, L.X. Effects of long-term application of organic fertilizer on improving organic matter content and retarding acidity in red soil from China. Soil Till Res. 2019, 195, 104382. [Google Scholar] [CrossRef]
- Takamitsu, K.; Motoki, K.; Masahiko, T. A study on rice growth and soil environments in paddy fields using differ ent organic and chemical fertilizers. J. Agric Chem Environ. 2020, 9, 331–342. [Google Scholar]
- Liu, K.L.; Han, T.F.; Huang, J.; Zhang, S.Q.; Gao, H.J.; Zhang, L.; Shan, A.; Huang, S.M.; Zhu, P.; Gao, S.D.; et al. Change of soil productivity in three different soils after long-term field fertilization treatments. J. Integr Agric. 2020, 19, 848–858. [Google Scholar] [CrossRef]
- Zha, Y.; Wu, X.P.; He, X.H.; Zhang, H.M.; Gong, F.F.; Cai, D.X.; Zhu, P.; Gao, H.J. Basic soil productivity of spring maize in black soil under long-term fertilization based on DSSAT model. J. Integr. Agric. 2014, 13, 577–587. [Google Scholar] [CrossRef]
- Wang, T.; Ding, N.P.; Li, L.L.; Lyu, X.D.; Chai, Q.; Dou, X.C. Simulating the Impact of Long-Term Fertilization on Basic Soil Productivity in a Rainfed Winter Wheat System. Agronomy 2020, 10, 1544. [Google Scholar] [CrossRef]
- Bi, L.; Xia, J.; Liu, K.; Li, D.; Yu, X. Effects of long-term chemical fertilization on trends of rice yield and nutrient use efficiency under double rice cultivation in subtropical China. Plant Soil Environ. 2014, 60, 537–543. [Google Scholar] [CrossRef]
- Liu, J.A.; Shu, A.P.; Song, W.F.; Shi, W.C.; Li, M.C.; Zhang, W.X.; Li, Z.Z.; Liu, G.R.; Yuan, F.S.; Zhang, S.X.; et al. Long-term organic fertilizer substitution increases rice yield by improving soil properties and regulating soil bacteria. Geoderma. 2021, 404, 115287. [Google Scholar] [CrossRef]
- Gao, P.; Zhang, T.; Lei, X.Y.; Cui, X.W.; Lu, Y.X.; Fan, P.F.; Long, S.P.; Huang, J.; Gao, J.S.; Zhang, Z.H.; et al. Improvement of soil fertility and rice yield after long-term application of cow manure combined with inorganic fertilizers. J. Integr. Agric. 2023, 22, 2221–2232. [Google Scholar] [CrossRef]
- Li, Y.Z.; Han, T.F.; Qu, X.L.; Ma, C.B.; Du, J.X.; Liu, K.L.; Huang, J.; Liu, S.J.; Liu, L.S.; Shen, Z.; et al. Spatio-Temporal Variations of Fertilizer Contribution Rate for Rice in China and Its Influencing Factors. Sci. Agric. Sin. 2023, 56, 674–685. (In Chinese) [Google Scholar]
- Kunzová, E.; Hejcman, M. Yield development of winter wheat over 50 years of FYM, N, P and K fertilizer application on black earth soil in the Czech Republic. Field Crops Res. 2009, 111, 226–234. [Google Scholar] [CrossRef]
- Kunzová, E.; Hejcman, M. Yield development of winter wheat over 50 years of nitrogen, phosphorus and potassium application on Greyic Phaeozem in the Czech Republic. Eur. J. Agron. 2010, 33, 166–174. [Google Scholar] [CrossRef]
- Hejcman, M.; Kunzová, E. Sustainability of winter wheat production on sandy-loamy Cambisol in the Czech Republic: Results from a long term fertilizer and crop rotation experiment. Field Crops Res. 2010, 115, 191–199. [Google Scholar] [CrossRef]
- Fan, M.S.; Lal, R.; Cao, J.; Qiao, L.; Su, Y.S.; Jiang, R.F.; Zhang, F.S. Plant-Based assessment of inherent soil productivity and contributions to China’s cereal crop yield increase since 1980. PLoS ONE 2013, 8, e74617. [Google Scholar] [CrossRef] [PubMed]
- Wang, Z.G.; Ma, B.L.; Li, Y.J.; Li, R.F.; Qi, J.; Yu, X.F.; Sun, J.Y.; Hu, S.P.; Gao, J.l. Concurrent Improvement in Maize Grain Yield and Nitrogen Use Efficiency by Enhancing Inherent Soil Productivity. Front Plant Sci. 2022, 13, 790188. [Google Scholar] [CrossRef]
- Hu, Y.T.; Hao, M.D.; Wang, Z.; Fu, W. Effect of long-term fertilization on winter wheat yield from the dry land under different precipitation patterns. Chin. J. Appl. Ecol. 2017, 28, 135–141. (In Chinese) [Google Scholar]
- Wang, J.Y.; Yan, X.Y.; Gong, W. Effect of Long-Term Fertilization on Soil Productivity on the North China Plain. Pedosphere 2015, 25, 450–458. [Google Scholar] [CrossRef]
- Lu, Y.H.; Liao, Y.L.; Zhou, X.; Nie, J.; Xie, J.; Yang, Z.P. Effects of long-term different fertilization on yield and basic soil fertility of red paddy soil. Acta Pedol. Sin. 2015, 52, 597–606. (In Chinese) [Google Scholar]
- Wang, L.; Chen, Y.H.; Zhang, S.X.; Ma, C.B.; Sun, N.; Li, C.H. Evolution of Fluvo-Aquic Soil Productivity Under Long-Term Fertilization and Its Influencing Factors. Sci. Agric. Sin. 2020, 53, 2232–2240. (In Chinese) [Google Scholar]
- Lu, R.K. Analytical Methods for Soil and Agro-Chemistry; China Agricutural Science and Technology Press: Beijing, China, 1999. (In Chinese) [Google Scholar]
- Chen, Y.H.; Wang, L.; Zhang, S.X.; Ren, Y.; Li, C.H.; Xu, M.G.; Zhao, T.K. Evolution of cinnamon soil productivity under long-term fertilization and its influencing factors. Plant Nutr. Fertil. Sci. 2018, 24, 1445–1455. (In Chinese) [Google Scholar]
- Peng, X.l.; Liu, Y.Y.; Luo, S.G.; Fan, L.C.; Song, T.X.; Guo, Y.W. Effects of Site-Specific Nitrogen Management on Yield and Dry Matter Accumulation of Rice from Cold Areas of Northeastern China. Agr. Sci. China 2007, 6, 715–723. [Google Scholar] [CrossRef]
- Chen, X.Y.; Li, Z.S.; Zhao, H.Y.; Li, Y.; Wei, J.L.; Ma, L.; Zheng, F.L.; Tan, D.S. Enhancing Maize Yield and Nutrient Utilization through Improved Soil Quality under Reduced Fertilizer Use: The Efficacy of Organic–Inorganic Compound Fertilizer. Agriculture. 2024, 14, 1482. [Google Scholar] [CrossRef]
- Li, K.L.; Wang, C.; Li, X.L.; Li, H.; Dong, M.M.; Jin, S.J.; Liu, L.; Zhu, C.; Xue, R. Long-term effect of integrated fertilization on maize yield and soil fertility in a calcaric fluvisol. Arch. Agron. Soil Sci. 2021, 67, 1400–1410. [Google Scholar] [CrossRef]
- Mao, H.R.; Leng, K.; Chen, X.Y.; Zhang, J.; Liu, K.L.; Lin, Y.X.; Xiang, X.J.; Liu, J. Changes in fertility and microbial communities of red soil and their contribution to crop yield following long-term different fertilization. J. Soil Sediment. 2025, 25, 1115–1133. [Google Scholar] [CrossRef]
- Ma, H.H.; Peng, M.; Yang, Z.; Yang, K.; Zhao, C.D.; Li, K.; Guo, F.; Yang, Z.F.; Cheng, H.X. Spatial distribution and driving factors of soil organic carbon in the Northeast China Plain: Insights from latest monitoring data. Sci. Total Environ. 2024, 911, 168602. [Google Scholar] [CrossRef]
- Chen, Y.S.; Marta, C.A.; Shen, Q.H.; Balwant, S.; Maria, L.C. The long-term role of organic amendments in building soil nutrient fertility: A meta-analysis and review. Nutr. Cycl. Agroecosyst. 2018, 111, 103–125. [Google Scholar] [CrossRef]
- Chen, Y.H.; Wang, L.; Zhang, S.X.; Guo, N.; Ma, C.B.; Li, C.H.; Xu, M.G.; Zou, G.Y. Quality Change of Cinnamon Soil Cultivated Land and Its Effect on Soil Productivity. Sci. Agric. Sin. 2019, 52, 4540–4554. (In Chinese) [Google Scholar]
- Wang, H.Y.; Shen, Q.H.; Zhou, J.M.; Wang, J.; Du, C.W.; Chen, X.Q. Plants use alternative strategies to utilize nonexchangeable potassium in minerals. Plant Soil 2010, 343, 209–220. [Google Scholar] [CrossRef]
- Qiu, S.J.; Xie, J.G.; Zhao, S.C.; Xu, X.P.; Hou, Y.P.; Wang, X.F.; Zhou, W.; He, P.; Johnston, A.M.; Christie, P.; et al. Long-term effects of potassium fertilization on yield, efficiency, and soil fertility status in a rain-fed maize system in northeast China. Field Crops Res. 2014, 163, 1–9. [Google Scholar] [CrossRef]
- Zhao, S.C.; He, P.; Qiu, S.J.; Jia, L.L.; Liu, M.C.; Jin, J.Y. Long-term effects of potassium fertilization and straw return on soil potassium levels and crop yields in north-central China. Field Crops Res. 2014, 169, 116–122. [Google Scholar] [CrossRef]
- Chen, Q.Y.; Liu, Z.J.; Zhou, J.B.; Xu, X.P.; Zhu, Y.J. Long-term straw mulching with nitrogen fertilization increases nutrient and microbial determinants of soil quality in a maize–wheat rotation on China’s Loess Plateau. Sci Total Environ. 2021, 775, 145930. [Google Scholar] [CrossRef]
- Shinde, R.; Shahi, D.K.; Mahapatra, P.; Singh, C.S.; Naik, S.K.; Thombare, N.; Singh, A.K. Management of crop residues with special reference to the on-farm utilization methods: A review. Ind. Crops Prod. 2022, 181, 114772. [Google Scholar] [CrossRef]
- Zhou, J.; Pan, W.K.; Tang, S.; Ma, Q.X.; Mi, W.H.; Wu, L.H.; Liu, X. Optimizing nitrogen fertilization rate to achieve high yield and high soil quality in paddy ecosystems with straw incorporation. J. Environ. Manag. 2025, 375, 124158. [Google Scholar] [CrossRef] [PubMed]
- Zhou, J.; Tang, S.; Pan, W.; Liu, X.; Han, K.; Si, L.; Ma, Q.; Mao, X.; Fu, H.; Wu, L. Long-term non-flooded cultivation with straw return maintains rice yield by increasing soil pH and soil quality in acidic soil. Eur. J. Agron. 2024, 159, 127208. [Google Scholar] [CrossRef]
- Ma, X.Z.; Hao, X.Y.; Zhao, Y.; Peng, X.H.; Ji, J.H.; Liu, S.Q.; Zheng, Y.; Sun, L.; Zhou, B.K. Response of crop yield and productivity contribution rate to long-term different fertilization in northeast of China. Plants 2025, 14, 132. [Google Scholar] [CrossRef] [PubMed]
- Li, C.X.; Ma, S.C.; Shao, Y.; Ma, S.T.; Zhang, L.L. Effects of long-term organic fertilization on soil microbiologic characteristics, yield and sustainable production of winter wheat. J. Integr. Agric. 2018, 17, 210–219. [Google Scholar] [CrossRef]
- Singh, D.K.; Pandey, P.C.; Nanda, G.; Gupta, S. Long-term effects of inorganic fertilizer and farmyard manure application on productivity, sustainability and profitability of rice-wheat system in Mollisols. Arch. Agron. Soil Sci. 2019, 65, 139–151. [Google Scholar] [CrossRef]
- Han, X.M.; Hu, C.; Chen, Y.F.; Qiao, Y.; Liu, D.H.; Fan, J.; Li, S.l.; Zhang, Z. Crop yield stability and sustainability in a rice-wheat cropping system based on 34-year field experiment. Eur. J. Agron. 2020, 113, 125965. [Google Scholar] [CrossRef]
- Mi, W.; Sun, Y.; Xia, S.; Zhao, H.; Mi, W.; Brookes, P.C.; Liu, Y.; Wu, L. Effect of inorganic fertilizers with organic amendments on soil chemical properties and rice yield in a low-productivity paddy. Geoderma 2018, 320, 23–29. [Google Scholar] [CrossRef]
- Choudhary, M.; Panday, S.C.; Meena, V.S.; Singh, S.; Yadav, R.P.; Mahanta, D.; Mondal, T.; Mishra, P.K.; Bisht, J.K.; Pattanayak, A. Long-term effects of organic manure and inorganic fertilization on sustainability and chemical soil quality indicators of soybean-wheat cropping system in the Indian mid-Himalayas. Agric Ecosyst Environ. 2018, 257, 38–46. [Google Scholar] [CrossRef]
- Manna, M.C.; Swarup, A.; Wanjari, P.H.; Ravankar, H.N.; Mishra, B.; Saha, M.N.; Singh, Y.V.; Sahi, D.K.; Sarap, P.A. Long-term effect of fertilizer and manure application on soil organic carbon storage, soil quality and yield sustainability under sub-humid and semi-arid tropical. India Field Crops Res. 2005, 93, 264–280. [Google Scholar] [CrossRef]
- Wu, M.; Li, G.L.; Wei, S.P.; Li, P.F.; Liu, M.; Liu, J.; Li, Z.P. Discrimination of soil productivity and fertilizer-nitrogen use efficiency in the paddy field of subtropical China after 27 years different fertilizations. Arch Agron Soil Sci. 2021, 67, 166–178. [Google Scholar] [CrossRef]
- Li, Z.F.; Zhang, S.Q.; Li, H.; Sun, N.; Pang, H.C.; Lou, Y.L.; Xu, M.G. Trends of basic soil productivity in paddy soil under long-term fertilization in China. J. Plant Nutr. Fertil. 2015, 21, 1394–1402. (In Chinese) [Google Scholar]
- Wang, S.; Wang, J.; Zhao, Y.; Ren, Y.; Xu, M.; Zhang, S.; Lu, C. Assessment of the Contribution Percentage of Inherent Soil Productivity of Cultivated Land in China. J. Integr. Agric. 2019, 18, 2619–2627. [Google Scholar] [CrossRef]
- Zha, Y.; Wu, X.P.; Gong, F.F.; Xu, M.G.; Zhang, H.M.; Chen, L.M.; Huang, S.M.; Cai, D.X. Long-term organic and inorganic fertilizations enhanced basic soil productivity in a fluvo-aquic soil. J. Integr Agric. 2015, 14, 2477–2489. [Google Scholar] [CrossRef][Green Version]
- Wu, Q.H.; Zhang, S.X.; Ren, Y.; Zhan, X.Y.; Xu, M.G.; Feng, G. Soil phosphorus management based on the agronomic critical value of Olsen P. Commun Soil Sci Plan. 2018, 49, 934–944. [Google Scholar] [CrossRef]
- Daniel, J.C.; Hans, W.P.; Robert, W.H.; Donald, F.B.; Sybi, P.S.; Karl, E.H.; Christiane, L.; Gene, E. Controlling Eutrophication: Nitrogen and Phosphorus. Science 2009, 323, 1014–1015. [Google Scholar] [CrossRef] [PubMed]
- Shen, Z.; Han, T.F.; Qu, X.L.; Ma, C.B.; Wang, H.Y.; Liu, K.L.; Huang, J.; Du, J.X.; Zhang, L.; Liu, L.S.; et al. Spatial-Temporal Variation of Relative Yield Gap of Wheat and Maize and Its Response to Nitrogen Fertilizer in China. Sci. Agric. Sin. 2023, 56, 2724–2737. (In Chinese) [Google Scholar]







| Type | Number | Area | Crop Rotation | Crop Type | pH | Organic Matter (g·kg−1) | Total Nitrogen (g·kg−1) | Available Phosphorus (mg·kg−1) | Available Potassium (mg·kg−1) |
|---|---|---|---|---|---|---|---|---|---|
| National | 4 | Southern Shanxi | Two crops a year | Wheat, Maize | 7.9–9.4 | 8.6–23.6 | 0.53–1.64 | 1.6–27.1 | 72–329 |
| National | 2 | Central Shanxi | One crop a year | Maize | 7.8–8.9 | 13.5–28.3 | 0.71–1.55 | 2.4–31.6 | 90–236 |
| National | 2 | Northern Shanxi | One crop a year | Maize | 7.8–8.7 | 4.3–13.3 | 0.31–1.22 | 2.0–26.0 | 60–241 |
| Provincial | 15 | Southern Shanxi | Two crops a year | Wheat, Maize | 7.7–9.1 | 7.5–34.3 | 0.54–1.63 | 2.1–40 | 80–410 |
| Provincial | 19 | Central Shanxi | One crop a year | Maize | 7.7–9.0 | 2.4–27.6 | 0.18–1.34 | 1.6–32.5 | 80–341 |
| Provincial | 16 | Northern Shanxi | One crop a year | Maize | 7.6–9.1 | 5.3–39.6 | 0.31–1.93 | 1.4–46 | 55–375 |
| Crop | Yield | Soil Nutrition | ||||
|---|---|---|---|---|---|---|
| OM | TN | C/N | AP | AK | ||
| Southern Shanxi wheat (n = 109) | Unfertilized plots | 0.322 ** | 0.205 ** | 0.261 ** | 0.270 ** | - |
| Conventional plots | 0.327 ** | 0.187 * | 0.255 ** | - | - | |
| Southern Shanxi maize (n = 116) | Unfertilized plots | - | - | 0.206 ** | - | - |
| Conventional plots | 0.199 * | - | - | - | - | |
| Central Shanxi maize (n = 125) | Unfertilized plots | - | - | - | - | - |
| Conventional plots | - | - | - | 0.229 ** | 0.174 * | |
| Northern Shanxi maize (n = 83) | Unfertilized plots | 0.474 ** | 0.430 ** | 0.217 * | 0.316 ** | - |
| Conventional plots | 0.486 ** | 0.418 ** | 0.261 * | 0.360 ** | 0.247 * |
Disclaimer/Publisher’s Note: The statements, opinions and data contained in all publications are solely those of the individual author(s) and contributor(s) and not of MDPI and/or the editor(s). MDPI and/or the editor(s) disclaim responsibility for any injury to people or property resulting from any ideas, methods, instructions or products referred to in the content. |
© 2025 by the authors. Licensee MDPI, Basel, Switzerland. This article is an open access article distributed under the terms and conditions of the Creative Commons Attribution (CC BY) license (https://creativecommons.org/licenses/by/4.0/).
Share and Cite
Wang, H.; Liu, P.; Williams, P.N.; Huo, X.; Xu, M.; Yu, Z. Evolution of Cultivated Land Quality and Its Impact on Productivity in Three Arid Ecological Zones of Northern China. Agronomy 2025, 15, 2346. https://doi.org/10.3390/agronomy15102346
Wang H, Liu P, Williams PN, Huo X, Xu M, Yu Z. Evolution of Cultivated Land Quality and Its Impact on Productivity in Three Arid Ecological Zones of Northern China. Agronomy. 2025; 15(10):2346. https://doi.org/10.3390/agronomy15102346
Chicago/Turabian StyleWang, Haiyan, Ping Liu, Paul N. Williams, Xiaolan Huo, Minggang Xu, and Zhiyong Yu. 2025. "Evolution of Cultivated Land Quality and Its Impact on Productivity in Three Arid Ecological Zones of Northern China" Agronomy 15, no. 10: 2346. https://doi.org/10.3390/agronomy15102346
APA StyleWang, H., Liu, P., Williams, P. N., Huo, X., Xu, M., & Yu, Z. (2025). Evolution of Cultivated Land Quality and Its Impact on Productivity in Three Arid Ecological Zones of Northern China. Agronomy, 15(10), 2346. https://doi.org/10.3390/agronomy15102346

