Sign in to use this feature.

Years

Between: -

Subjects

remove_circle_outline
remove_circle_outline
remove_circle_outline
remove_circle_outline
remove_circle_outline
remove_circle_outline
remove_circle_outline
remove_circle_outline
remove_circle_outline

Journals

Article Types

Countries / Regions

Search Results (85)

Search Parameters:
Keywords = soft pneumatic muscle

Order results
Result details
Results per page
Select all
Export citation of selected articles as:
24 pages, 8518 KB  
Article
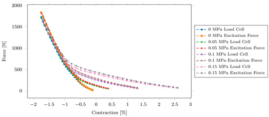
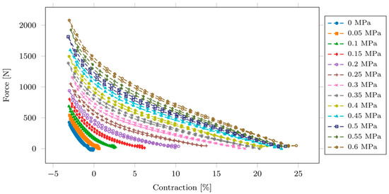
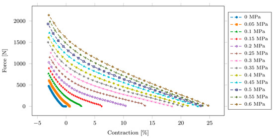
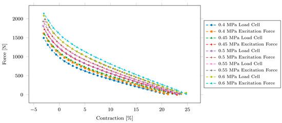
Pressure-Dependent Hysteresis in a Spring–Rod Compact Pneumatic Artificial Muscle Compared with a Commercial McKibben Actuator
by Sándor Csikós, Attila Mészáros and József Sárosi
Actuators 2026, 15(2), 80; https://doi.org/10.3390/act15020080 - 30 Jan 2026
Viewed by 122
Abstract
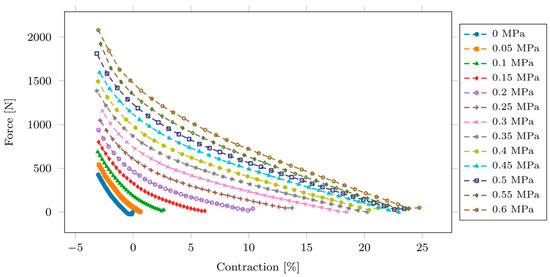
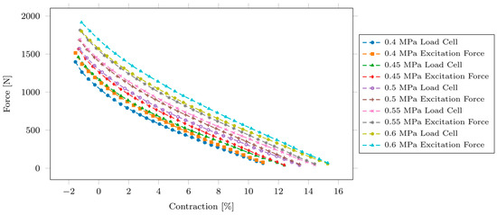
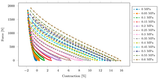
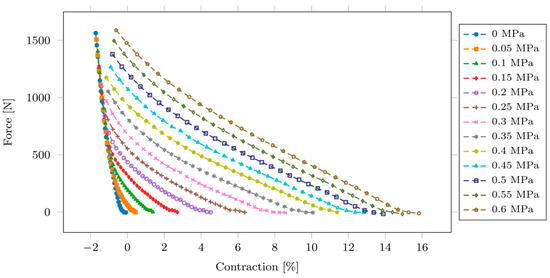
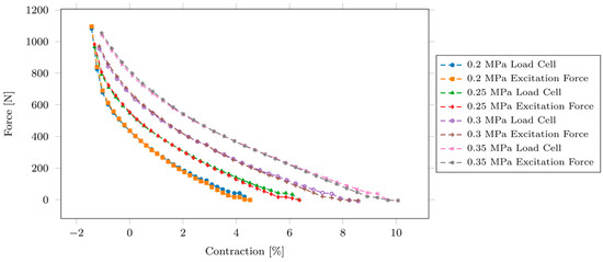
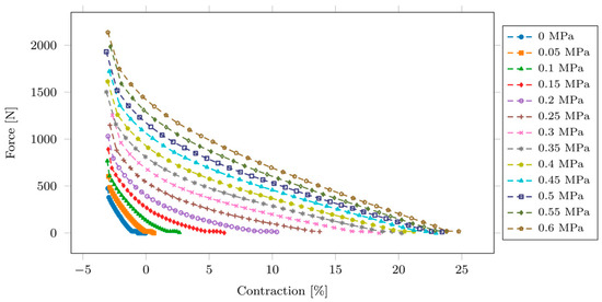
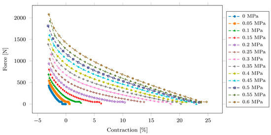
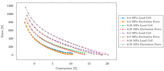
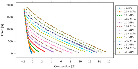
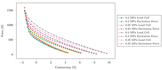
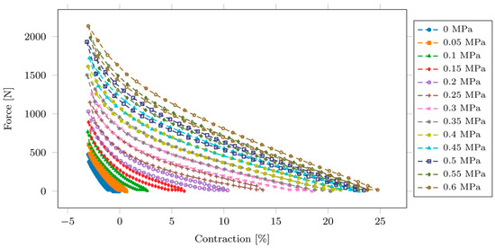
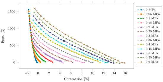
This paper introduces a compact pneumatic artificial muscle (CPAM) that integrates a coaxial rod and an internal helical compression spring (stiffness 9750 N/m) into a McKibben-type outer muscle and compares it to a commercial DMSP-20-200N from FESTO Budapest, Hungary, with identical outer geometry [...] Read more.
This paper introduces a compact pneumatic artificial muscle (CPAM) that integrates a coaxial rod and an internal helical compression spring (stiffness 9750 N/m) into a McKibben-type outer muscle and compares it to a commercial DMSP-20-200N from FESTO Budapest, Hungary, with identical outer geometry and materials. Both actuators were mounted in a force-controlled test rig, pre-tensioned, and then cycled quasi-statically between their stretched and maximally contracted states at 13 internal pressures. For each pressure, median loading and unloading force–contraction curves were obtained from five repeats measuring both the cylinder excitation force and a load cell, and hysteresis was quantified by a normalized loop area based on peak force and common contraction range. Under the rated load of 2000 N at 0.6 MPa, the CPAM elongates less (−1.5% vs. −3%) and generates higher forces over most of the contraction range. The normalized hysteresis index of the CPAM is markedly lower at low pressures (≈0.05–0.25 MPa, reductions of about 10–25%), similar near 0.30 MPa, and slightly higher at 0.35–0.60 MPa (≈6–14%). Full article
Show Figures

Figure 1

22 pages, 5627 KB  
Review
Biomimetic Artificial Muscles Inspired by Nature’s Volume-Change Actuation Mechanisms
by Hyunsoo Kim, Minwoo Kim, Yonghun Noh and Yongwoo Jang
Biomimetics 2025, 10(12), 816; https://doi.org/10.3390/biomimetics10120816 - 4 Dec 2025
Viewed by 982
Abstract
Artificial muscles translate the biological principles of motion into soft, adaptive, and multifunctional actuation. This review accordingly highlights research into natural actuation strategies, such as skeletal muscles, muscular hydrostats, spider silk, and plant turgor systems, to reveal the principles underlying energy conversion and [...] Read more.
Artificial muscles translate the biological principles of motion into soft, adaptive, and multifunctional actuation. This review accordingly highlights research into natural actuation strategies, such as skeletal muscles, muscular hydrostats, spider silk, and plant turgor systems, to reveal the principles underlying energy conversion and deformation control. Building on these insights, polymer-based artificial muscles based on these principles, including pneumatic muscles, dielectric elastomers, and ionic electroactive systems, are described and their capabilities for efficient contraction, bending, and twisting with tunable stiffness and responsiveness are summarized. Furthermore, the abilities of carbon nanotube composites and twisted yarns to amplify nanoscale dimensional changes through hierarchical helical architectures and achieve power and work densities comparable to those of natural muscle are discussed. Finally, the integration of these actuators into soft robotic systems is explored through biomimetic locomotion and manipulation systems ranging from jellyfish-inspired swimmers to octopus-like grippers, gecko-adhesive manipulators, and beetle-inspired flapping wings. Despite rapid progress in the development of artificial muscles, challenges remain in achieving long-term durability, energy efficiency, integrated sensing, and closed-loop control. Therefore, future research should focus on developing intelligent muscular systems that combine actuation, perception, and self-healing to advance progress toward realizing autonomous, lifelike machines that embody the organizational principles of living systems. Full article
(This article belongs to the Special Issue Bionic Technology—Robotic Exoskeletons and Prostheses: 3rd Edition)
Show Figures

Figure 1

39 pages, 16826 KB  
Review
Recent Developments in Pneumatic Artificial Muscle Actuators
by Aliya Zhagiparova, Vladimir Golubev and Daewon Kim
Actuators 2025, 14(12), 582; https://doi.org/10.3390/act14120582 - 1 Dec 2025
Cited by 1 | Viewed by 2073
Abstract
Pneumatic Artificial Muscles (PAMs) are soft actuators that mimic the contractile behavior of biological muscles through fluid-driven deformation. Originating from McKibben’s 1950s braided design, PAMs have evolved into a diverse class of actuators, offering high power-to-weight ratios, compliance, and safe human interaction, with [...] Read more.
Pneumatic Artificial Muscles (PAMs) are soft actuators that mimic the contractile behavior of biological muscles through fluid-driven deformation. Originating from McKibben’s 1950s braided design, PAMs have evolved into a diverse class of actuators, offering high power-to-weight ratios, compliance, and safe human interaction, with applications spanning rehabilitation, assistive robotics, aerospace, and adaptive structures. This review surveys recent developments in actuation mechanisms and applications of PAMs. Traditional designs, including braided, pleated, netted, and embedded types, remain widely used but face challenges such as hysteresis, limited contraction, and nonlinear control. To address these limitations, researchers have introduced non-traditional mechanisms such as vacuum-powered, inverse, foldable, origami-based, reconfigurable, and hybrid PAMs. These innovations improve the contraction range, efficiency, control precision, and integration into compact or untethered systems. This review also highlights applications beyond conventional biomechanics and automation, including embodied computation, deployable aerospace systems, and adaptive architecture. Collectively, these advances demonstrate PAMs’ expanding role as versatile soft actuators. Ongoing research is expected to refine material durability, control strategies, and multifunctionality, enabling the next generation of wearable devices, soft robots, and energy-efficient adaptive systems. Full article
(This article belongs to the Special Issue Advanced Technologies in Soft Actuators—2nd Edition)
Show Figures

Figure 1

16 pages, 4287 KB  
Article
A Woven Soft Wrist-Gripper Composite End-Effector with Variable Stiffness: Design, Modeling, and Characterization
by Pan Zhou, Yangzuo Liu, Junxi Chen, Haoyuan Chen, Haili Li and Jiantao Yao
Machines 2025, 13(11), 1042; https://doi.org/10.3390/machines13111042 - 11 Nov 2025
Viewed by 562
Abstract
Soft robots often suffer from insufficient load capacity due to the softness of their materials. Existing variable stiffness technologies usually introduce rigid components, resulting in decreased flexibility and complex structures of soft robots. To address these challenges, this work proposes a novel wrist-gripper [...] Read more.
Soft robots often suffer from insufficient load capacity due to the softness of their materials. Existing variable stiffness technologies usually introduce rigid components, resulting in decreased flexibility and complex structures of soft robots. To address these challenges, this work proposes a novel wrist-gripper composite soft end-effector based on the weaving jamming principle, which features a highly integrated design combining structure, actuation, and stiffness. This end-effector is directly woven from pneumatic artificial muscles through weaving technology, which has notable advantages such as high integration, strong performance designability, lightweight construction, and high power density, effectively reconciling the technical trade-off between compliance and load capacity. Experimental results demonstrate that the proposed end-effector exhibits excellent flexibility and multi-degree-of-freedom grasping capabilities. Its variable stiffness function enhances its ability to resist external interference by 4.77 times, and its grasping force has increased by 1.7 times, with a maximum grasping force of 102 N. Further, a grasping force model for this fiber-reinforced woven structure is established, providing a solution to the modeling challenge of highly coupled structures. A comparison between theoretical and experimental data indicates that the modeling error does not exceed 7.8 N. This work offers a new approach for the design and analysis of high-performance, highly integrated soft end-effectors, with broad application prospects in unstructured environment operations, non-cooperative target grasping, and human–robot collaboration. Full article
(This article belongs to the Section Robotics, Mechatronics and Intelligent Machines)
Show Figures

Figure 1

19 pages, 7895 KB  
Article
SpiKon-E: Hybrid Soft Artificial Muscle Control Using Hardware Spiking Neural Network
by Florian-Alexandru Brașoveanu, Mircea Hulea and Adrian Burlacu
Biomimetics 2025, 10(10), 697; https://doi.org/10.3390/biomimetics10100697 - 15 Oct 2025
Viewed by 942
Abstract
Artificial muscles play a key role in the future of humanoid robotics and medical devices, with research on wire-driven joints leading the field. While electric servo motors were once at the forefront, the focus has shifted toward materials that react to changes in [...] Read more.
Artificial muscles play a key role in the future of humanoid robotics and medical devices, with research on wire-driven joints leading the field. While electric servo motors were once at the forefront, the focus has shifted toward materials that react to changes in the environment (smart materials), including pneumatic silicone actuators and temperature-reactive metallic alloys, aiming to replicate human muscle actuation for improved performance. Initially designed for rigid actuators, control strategies were adapted to address the unique dynamics of artificial muscles. Although current controllers offer satisfactory performance, further optimization is necessary to mimic natural muscle control more rigorously. This study details the design and implementation of a novel system that mimics biological muscle. This system is designed to replicate the full range of motion and control functionalities, which can be utilized in various applications. This research has three significant contributions in the field of sustainable soft robotics. First, a novel shape memory alloy-based linear actuator is introduced, which achieves significantly higher displacements compared to traditional SMA wire-driven systems through a guiding mechanism. Second, this linear actuator is integrated into a hybrid soft actuation structure, which features a silicone PneuNet as the end effector and a force sensor for real-time pressure feedback. Lastly, a hardware Spiking Neural Network (HW-SNN) is utilized to control the exhibited force at the actuator’s endpoint. Experimental results showed that the displacement with the control system is significantly higher than that of the traditional control-based shape memory alloy systems. The system evaluation demonstrates good performance, thus advancing actuation and control in humanoid robotics. Full article
Show Figures

Figure 1

15 pages, 1820 KB  
Article
Design of a Pneumatic Muscle-Actuated Compliant Gripper System with a Single Mobile Jaw
by Andrea Deaconescu and Tudor Deaconescu
J. Manuf. Mater. Process. 2025, 9(10), 326; https://doi.org/10.3390/jmmp9100326 - 2 Oct 2025
Viewed by 1174
Abstract
The paper presents an innovative theoretical concept of a bio-inspired soft gripper system with two parallel jaws, a fixed and a mobile one. It is conceived for gripping fragile or soft objects with complex, irregular shapes that are easily deformable. This novel gripper [...] Read more.
The paper presents an innovative theoretical concept of a bio-inspired soft gripper system with two parallel jaws, a fixed and a mobile one. It is conceived for gripping fragile or soft objects with complex, irregular shapes that are easily deformable. This novel gripper is designed for handling small objects of masses up to 0.5 kg. The maximum gripping stroke of the mobile jaw is 13.5 mm. The driving motor is a pneumatic muscle, an actuator with inherently compliant, spring-like behavior. Compliance is the feature responsible for the soft character of the gripper system, ensuring its passive adaptability to the nature of the object to be gripped. The paper presents the structural, kinematic, static, and dynamic models of the novel gripper system and describes the compliant behavior of the entire assembly. The results of the dynamic simulation of the gripper have confirmed the attaining of the imposed motion-related performance. Full article
Show Figures

Figure 1

22 pages, 7235 KB  
Article
Data-Driven Tracing and Directional Control Strategy for a Simulated Continuum Robot Within Anguilliform Locomotion
by Mostafa Sayahkarajy and Hartmut Witte
Appl. Sci. 2025, 15(18), 10045; https://doi.org/10.3390/app151810045 - 14 Sep 2025
Viewed by 757
Abstract
Biorobotics leverages the principles of natural locomotion to enhance the mobility of bioinspired aquatic robots. Among various swimming modes, anguilliform locomotion is particularly recognized as an energy-efficient mode incorporating complex multiphysics. Due to whole-body undulation, the determination of the anguilliform swimmer’s direction is [...] Read more.
Biorobotics leverages the principles of natural locomotion to enhance the mobility of bioinspired aquatic robots. Among various swimming modes, anguilliform locomotion is particularly recognized as an energy-efficient mode incorporating complex multiphysics. Due to whole-body undulation, the determination of the anguilliform swimmer’s direction is not trivial. Furthermore, the neuromuscular mechanism that controls straight swimming is not fully understood. This study investigates the challenge of predicting and controling the gross motion trajectory of a soft robot that utilizes anguilliform swimming. The robot consists of a six-segment continuous body, where each segment is actuated with pneumatic artificial muscles. A mode extraction technique based on dynamic mode decomposition (DMD) is proposed to identify the robot’s future state. Using the complex-variable delay embedding (CDE) technique, the CDE DMD algorithm is developed to predict the robot trajectory trend. To vary the robot direction, a hypothesis that asymmetric sidewise actuation results in slightly different fluid velocities between the left and right sides of the robot was investigated using COMSOL Multiphysics® 6.2. The simulation results demonstrate the CDE DMD’s ability to predict gross motion across various scenarios. Furthermore, integrating the prediction model with the asymmetric actuation rule provides a control strategy for directional stability of the robot. Simulations of the closed-loop system with non-zero initial pose (step response) indicate the performance in maintaining straight-line swimming with approximately a 60s settling time. Full article
(This article belongs to the Special Issue Application of Computer Science in Mobile Robots II)
Show Figures

Figure 1

18 pages, 2021 KB  
Article
Analysis of Anchoring Muscles for Pipe Crawling Robots
by Frank Cianciarulo, Jacek Garbulinski, Jonathan Chambers, Thomas Pillsbury, Norman Wereley, Andrew Cross and Deepak Trivedi
Actuators 2025, 14(7), 331; https://doi.org/10.3390/act14070331 - 2 Jul 2025
Viewed by 756
Abstract
Pneumatic artificial muscles (PAMs) consist of an elastomeric bladder wrapped in a Kevlar braid. When inflated, PAMs expand radially and contract axially, producing large axial forces. PAMs are often utilized for their high specific work and specific power, as well as their ability [...] Read more.
Pneumatic artificial muscles (PAMs) consist of an elastomeric bladder wrapped in a Kevlar braid. When inflated, PAMs expand radially and contract axially, producing large axial forces. PAMs are often utilized for their high specific work and specific power, as well as their ability to produce large axial displacements. Although the axial behavior of PAMs is well studied, the radial behavior has remained underutilized and is poorly understood. Modeling was performed using a force balance approach to capture the effects that bladder strain and applied axial load have on the anchoring force. Radial expansion testing was performed to validate the model. Force due to anchoring was recorded using force transducers attached to sections of aluminum pipe using an MTS servo-hydraulic testing machine. Data from the test were compared to the predicted anchoring force. Radial expansion in large-diameter (over 50.8 mm) PAMs was then used in worm-like robots to create anchoring forces that allow for a peristaltic wave, which creates locomotion through acrylic pipes. By radially expanding, the PAM presses itself into the pipe, creating an anchor point. The previously anchored PAM then deflates, which propels the robot forward. Modeling of the radial expansion forces and anchoring was necessary to determine the pressurization required for proper anchoring before slipping occurs due to the combined robot and payload weight. Full article
(This article belongs to the Section Actuators for Robotics)
Show Figures

Figure 1

13 pages, 958 KB  
Article
Efficient Manufacturing of Steerable Eversion Robots with Integrated Pneumatic Artificial Muscles
by Thomas Mack, Cem Suulker, Abu Bakar Dawood and Kaspar Althoefer
J. Manuf. Mater. Process. 2025, 9(7), 223; https://doi.org/10.3390/jmmp9070223 - 1 Jul 2025
Cited by 1 | Viewed by 1586
Abstract
Soft-growing robots based on the eversion principle are renowned for their ability to rapidly extend along their longitudinal axis, allowing them to access remote, confined, or otherwise inaccessible spaces. Their inherently compliant structure enables safe interaction with delicate environments, while their simple actuation [...] Read more.
Soft-growing robots based on the eversion principle are renowned for their ability to rapidly extend along their longitudinal axis, allowing them to access remote, confined, or otherwise inaccessible spaces. Their inherently compliant structure enables safe interaction with delicate environments, while their simple actuation mechanisms support lightweight and low-cost designs. Despite these benefits, implementing effective navigation mechanisms remains a significant challenge. Previous research has explored the use of pneumatic artificial muscles mounted externally on the robot’s body, which, when contracting, induce directional bending. However, this method only offers limited bending performance. To enhance maneuverability, pneumatic artificial muscles embedded in between the walls of double-walled eversion robots have also been considered and shown to offer superior bending performance and force output as compared to externally attached muscle. However, their adoption has been hindered by the complexity of the current manufacturing techniques, which require individually sealing the artificial muscles. To overcome this multi-stage fabrication approach in which muscles are embedded one by one, we propose a novel single-step method. The key to our approach is the use of non-heat-sealable inserts to form air channels during the sealing process. This significantly simplifies the process, reducing production time and effort and improving scalability for manufacturing, potentially enabling mass production. We evaluate the fabrication speed and bending performance of robots produced in this manner and benchmark them against those described in the literature. The results demonstrate that our technique offers high bending performance and significantly improves the manufacturing efficiency. Full article
(This article belongs to the Special Issue Advances in Robotic-Assisted Manufacturing Systems)
Show Figures

Figure 1

19 pages, 997 KB  
Review
A Review of Bio-Inspired Actuators and Their Potential for Adaptive Vehicle Control
by Vikram Mittal, Michael Lotwin and Rajesh Shah
Actuators 2025, 14(7), 303; https://doi.org/10.3390/act14070303 - 20 Jun 2025
Cited by 4 | Viewed by 4746
Abstract
Adaptive vehicle control systems are crucial for enhancing safety, performance, and efficiency in modern transportation, particularly as vehicles become increasingly automated and responsive to dynamic environments. This review explores the advancements in bio-inspired actuators and their potential applications in adaptive vehicle control systems. [...] Read more.
Adaptive vehicle control systems are crucial for enhancing safety, performance, and efficiency in modern transportation, particularly as vehicles become increasingly automated and responsive to dynamic environments. This review explores the advancements in bio-inspired actuators and their potential applications in adaptive vehicle control systems. Bio-inspired actuators, which mimic natural mechanisms such as muscle movement and plant tropism, offer unique advantages, including flexibility, adaptability, and energy efficiency. This paper categorizes these actuators based on their mechanisms, focusing on shape memory alloys, dielectric elastomers, ionic polymer–metal composites, polyvinylidene fluoride-based electrostrictive actuators, and soft pneumatic actuators. The review highlights the properties, operating principles, and potential applications for each mechanism in automotive systems. Additionally, it investigates the current uses of these actuators in adaptive suspension, active steering, braking systems, and human–machine interfaces for autonomous vehicles. The review further outlines the advantages of bio-inspired actuators, including their energy efficiency and adaptability to road conditions, while addressing key challenges like material limitations, response times, and integration with existing automotive control systems. Finally, this paper discusses future directions, including the integration of bio-inspired actuators with machine learning and advancements in material science, to enable more efficient and responsive adaptive vehicle control systems. Full article
Show Figures

Figure 1

17 pages, 5730 KB  
Article
EMG-Controlled Soft Robotic Bicep Enhancement
by Jiayue Zhang, Daniel Vanderbilt, Ethan Fitz and Janet Dong
Bioengineering 2025, 12(5), 526; https://doi.org/10.3390/bioengineering12050526 - 15 May 2025
Viewed by 1010
Abstract
Industrial workers often engage in repetitive lifting tasks. This type of continual loading on their arms throughout the workday can lead to muscle or tendon injuries. A non-intrusive system designed to assist a worker’s arms would help alleviate strain on their muscles, thereby [...] Read more.
Industrial workers often engage in repetitive lifting tasks. This type of continual loading on their arms throughout the workday can lead to muscle or tendon injuries. A non-intrusive system designed to assist a worker’s arms would help alleviate strain on their muscles, thereby preventing injury and minimizing productivity losses. The goal of this project is to develop a wearable soft robotic arm enhancement device that supports a worker’s muscles by sharing the load during lifting tasks, thereby increasing their lifting capacity, reducing fatigue, and improving their endurance to help prevent injury. The device should be easy to use and wear, functioning in relative harmony with the user’s own muscles. It should not restrict the user’s range of motion or flexibility. The human arm consists of numerous muscles that work together to enable its movement. However, as a proof of concept, this project focuses on developing a prototype to enhance the biceps brachii muscle, the primary muscle involved in pulling movements during lifting. Key components of the prototype include a soft robotic muscle or actuator analogous to the biceps, a control system for the pneumatic muscle actuator, and a method for securing the soft muscle to the user’s arm. The McKibben-inspired pneumatic muscle was chosen as the soft actuator for the prototype. A hybrid control algorithm, incorporating PID and model-based control methods, was developed. Electromyography (EMG) and pressure sensors were utilized as inputs for the control algorithms. This paper discusses the design strategies for the device and the preliminary results of the feasibility testing. Based on the results, a wearable EMG-controlled soft robotic arm augmentation could effectively enhance the endurance of industrial workers engaged in repetitive lifting tasks. Full article
(This article belongs to the Special Issue Advances in Robotic-Assisted Rehabilitation)
Show Figures

Figure 1

20 pages, 7686 KB  
Review
Learning from Octopuses: Cutting-Edge Developments and Future Directions
by Jinjie Duan, Yuning Lei, Jie Fang, Qi Qi, Zhiming Zhan and Yuxiang Wu
Biomimetics 2025, 10(4), 224; https://doi.org/10.3390/biomimetics10040224 - 4 Apr 2025
Cited by 3 | Viewed by 4317
Abstract
This paper reviews the research progress of bionic soft robot technology learned from octopuses. The number of related research papers increased from 760 in 2021 to 1170 in 2024 (Google Scholar query), with a growth rate of 53.95% in the past five years. [...] Read more.
This paper reviews the research progress of bionic soft robot technology learned from octopuses. The number of related research papers increased from 760 in 2021 to 1170 in 2024 (Google Scholar query), with a growth rate of 53.95% in the past five years. These studies mainly explore how humans can learn from the physiological characteristics of octopuses for sensor design, actuator development, processor architecture optimization, and intelligent optimization algorithms. The tentacle structure and nervous system of octopus have high flexibility and distributed control capabilities, which is an important reference for the design of soft robots. In terms of sensor technology, flexible strain sensors and suction cup sensors inspired by octopuses achieve accurate environmental perception and interaction. Actuator design uses octopus muscle fibers and movement patterns to develop various driving methods, including pneumatic, hydraulic and electric systems, which greatly improves the robot’s motion performance. In addition, the distributed nervous system of octopuses inspires multi-processor architecture and intelligent optimization algorithms. This paper also introduces the concept of expected functional safety for the first time to explore the safe design of soft robots in failure or unknown situations. Currently, there are more and more bionic soft robot technologies that draw on octopuses, and their application areas are constantly expanding. In the future, with further research on the physiological characteristics of octopuses and the integration of artificial intelligence and materials science, octopus soft robots are expected to show greater potential in adapting to complex environments, human–computer interaction, and medical applications. Full article
(This article belongs to the Special Issue Bio-Inspired Soft Robotics: Design, Fabrication and Applications)
Show Figures

Figure 1

15 pages, 3137 KB  
Article
Mechanical Design of McKibben Muscles Predicting Developed Force by Artificial Neural Networks
by Michele Gabrio Antonelli, Pierluigi Beomonte Zobel, Muhammad Aziz Sarwar and Nicola Stampone
Actuators 2025, 14(3), 153; https://doi.org/10.3390/act14030153 - 18 Mar 2025
Cited by 2 | Viewed by 2380
Abstract
McKibben’s muscle (MKM) is the most adopted among the different types of pneumatic artificial muscles (PAMs) due to its mechanical performance and versatility. Several geometric parameters, including the diameter, thickness, and length of the inner elastic element, as well as functional conditions, such [...] Read more.
McKibben’s muscle (MKM) is the most adopted among the different types of pneumatic artificial muscles (PAMs) due to its mechanical performance and versatility. Several geometric parameters, including the diameter, thickness, and length of the inner elastic element, as well as functional conditions, such as shortening ratio and feeding pressure, influence the behaviour of this actuator. Over the years, analytical and numerical models have been defined to predict its deformation and developed forces. However, these models are often identified under simplifications and have limitations when integrating new parameters that were not initially considered. This work proposes a hybrid approach between finite element analyses (FEAs) and machine learning (ML) algorithms to overcome these issues. An MKM was numerically simulated as the chosen parameters changed, realizing the MKM dataset. The latter was used to train 27 artificial neural networks (ANNs) to identify the best algorithm for predicting the developed forces. The best ANN was tested on three numerical models and a prototype with a combination of parameters not included in the dataset, comparing predicted and numerical responses. The results demonstrate the effectiveness of ML techniques in predicting the behavior of MKMs while offering flexibility for integrating additional parameters. Therefore, this paper highlights the potential of ML approaches in the mechanical design of MKM according to the field of use and application. Full article
Show Figures

Figure 1

16 pages, 1118 KB  
Article
Analysis of Torsional Response in Pneumatic Artificial Muscles
by Frank C. Cianciarulo, Eric Y. Kim and Norman M. Wereley
Biomimetics 2025, 10(3), 139; https://doi.org/10.3390/biomimetics10030139 - 25 Feb 2025
Viewed by 1161
Abstract
Pneumatic artificial muscles (PAMs) consist of an elastomeric bladder wrapped in a helical braid. When inflated, PAMs expand radially and contract axially, producing large axial forces. PAMs are advantageous because of their high specific work and specific power, as well as their ability [...] Read more.
Pneumatic artificial muscles (PAMs) consist of an elastomeric bladder wrapped in a helical braid. When inflated, PAMs expand radially and contract axially, producing large axial forces. PAMs are advantageous because of their high specific work and specific power, as well as their ability to produce large axial displacements. The axial and radial behavior of PAMs have been well studied. The torsional response of PAMs have not been explored before. Accurate prediction of the torsional force was desired for use in a bio-inspired worm-like robot capable of using an auger mounted to a PAM to bore out tunnels. Thus, an understanding of torsional response was a key objective. Modeling of the torsional response was performed using a force balance approach, and multiple model variations were considered, such as St. Venant’s torsion, bladder buckling, and asymmetrical braid loading. Torsional testing was performed to validate the model using a custom torsional testing system. Data from the tests was compared to the predicted torsional response. Full article
(This article belongs to the Special Issue Bio-Inspired Robotics and Applications)
Show Figures

Figure 1

13 pages, 3281 KB  
Article
Compliant Parallel Asymmetrical Gripper System
by Andrea Deaconescu and Tudor Deaconescu
Technologies 2025, 13(2), 86; https://doi.org/10.3390/technologies13020086 - 19 Feb 2025
Cited by 2 | Viewed by 1610
Abstract
The paper presents an innovative soft gripper system designed for automated assembling operations. The novel robotic soft gripper utilizes a linear pneumatic muscle as its motor, due to its inherently compliant behavior. This renders redundant the deployment of sensors or complex controllers, due [...] Read more.
The paper presents an innovative soft gripper system designed for automated assembling operations. The novel robotic soft gripper utilizes a linear pneumatic muscle as its motor, due to its inherently compliant behavior. This renders redundant the deployment of sensors or complex controllers, due to its mechanical system that ensures the desired adaptive behavior. Adaptivity is attained by adjusting the air pressure in the pneumatic muscle, monitored and controlled in a closed loop by means of a proportional pressure regulator. The kinematic diagram and the functional and constructive models of the gripper system are presented. The developed forces were measured followed by the calculation of stiffness and compliance. The paper concludes with recommendations for the operation of the gripper. Full article
(This article belongs to the Special Issue Technological Advances in Science, Medicine, and Engineering 2024)
Show Figures

Graphical abstract

Back to TopTop