Sign in to use this feature.

Years

Between: -

Subjects

remove_circle_outline
remove_circle_outline
remove_circle_outline
remove_circle_outline
remove_circle_outline
remove_circle_outline
remove_circle_outline
remove_circle_outline
remove_circle_outline

Journals

remove_circle_outline
remove_circle_outline
remove_circle_outline
remove_circle_outline
remove_circle_outline
remove_circle_outline
remove_circle_outline
remove_circle_outline
remove_circle_outline
remove_circle_outline
remove_circle_outline
remove_circle_outline
remove_circle_outline
remove_circle_outline
remove_circle_outline
remove_circle_outline

Article Types

Countries / Regions

remove_circle_outline
remove_circle_outline
remove_circle_outline
remove_circle_outline
remove_circle_outline
remove_circle_outline
remove_circle_outline
remove_circle_outline

Search Results (1,250)

Search Parameters:
Keywords = socio-environmental models

Order results
Result details
Results per page
Select all
Export citation of selected articles as:
23 pages, 9084 KB  
Article
Quantifying Torrential Watershed Behavior over Time: A Synergistic Approach Using Classical and Modern Techniques
by Ana M. Petrović, Laure Guerit, Valentina Nikolova, Ivan Novković, Dobromir Filipov and Jiří Jakubínský
Earth 2026, 7(1), 1; https://doi.org/10.3390/earth7010001 - 19 Dec 2025
Abstract
This study investigates temporal and spatial variation in torrential flood hazards and sediment dynamics in two ungauged watersheds in southeastern Serbia from 1991 to 2023. By integrating classical hydrological models with modern geospatial and photogrammetric techniques, watershed responses to environmental and anthropogenic changes [...] Read more.
This study investigates temporal and spatial variation in torrential flood hazards and sediment dynamics in two ungauged watersheds in southeastern Serbia from 1991 to 2023. By integrating classical hydrological models with modern geospatial and photogrammetric techniques, watershed responses to environmental and anthropogenic changes are quantified. Torrential flood potential was estimated and peak discharges were calculated using both the rational and SCS-Unit hydrograph methods, while sediment transport was assessed through Gavrilović’s erosion potential model and a modified Poljakov model. A key innovation is the use of UAV-based and close-range photogrammetry for 3D grain-size analysis, marking the first such application in Serbia. The mean torrential flood potential decreased by 4.4% in the Petrova Watershed and 4.2% in the Rasnička Watershed. Specific peak discharges for a 100-year return period declined from 1.62 to 1.07 m3·s−1·km−2 in Petrova and from 1.60 to 1.34 m3·s−1·km−2 in Rasnička. Sediment transport during a 1% probability flood was reduced from 4.97 to 2.53 m3·s−1 in Petrova and from 13.87 to 9.48 m3·s−1 in Rasnička. Grain-size analyses revealed immobile coarse bedload in the Petrova and active sediment transport in the Rasnička River, where D50 and D90 decreased between 2023 and 2024. The findings highlight the effectiveness of a synergistic methodological approach for analyzing complex watershed processes in data-scarce regions. The study provides a replicable model for flood hazard assessment and erosion control planning in similar mountainous environments undergoing socio-environmental transitions. Full article
Show Figures

Figure 1

39 pages, 9543 KB  
Article
A Hybrid PCA-TOPSIS and Machine Learning Approach to Basin Prioritization for Sustainable Land and Water Management
by Mustafa Aytekin, Semih Ediş and İbrahim Kaya
Water 2026, 18(1), 5; https://doi.org/10.3390/w18010005 - 19 Dec 2025
Abstract
Population expansion, urban development, climate change, and precipitation patterns are complicating sustainable natural resource management. Subbasin prioritization enhances the efficiency and cost-effectiveness of resource management. Artificial intelligence and data analytics eradicate the constraints of traditional methodologies, facilitating more precise evaluations of soil erosion, [...] Read more.
Population expansion, urban development, climate change, and precipitation patterns are complicating sustainable natural resource management. Subbasin prioritization enhances the efficiency and cost-effectiveness of resource management. Artificial intelligence and data analytics eradicate the constraints of traditional methodologies, facilitating more precise evaluations of soil erosion, water management, and environmental risks. This research has created a comprehensive decision support system for the multidimensional assessment of sub-basins. The Erosion and Flood Risk-Based Soil Protection (EFR), Socio-Economic Integrated Basin Management (SEW), and Prioritization Based on Basin Water Yield (PBW) functions were utilized to prioritize sustainability objectives. EFR addresses erosion and flood risks, PBW evaluates water yield potential, and SEW integrates socio-economic drivers that directly influence water use and management feasibility. Our approach integrates principal component analysis–technique for order preference by similarity to ideal solution (PCA–TOPSIS) with machine learning (ML) and provides a scalable, data-driven alternative to conventional methods. The combination of machine learning algorithms with PCA and TOPSIS not only improves analytical capabilities but also offers a scalable alternative for prioritization under changing data scenarios. Among the models, support vector machine (SVM) achieved the highest performance for PBW (R2 = 0.87) and artificial neural networks (ANNs) performed best for EFR (R2 = 0.71), while random forest (RF) and gradient boosting machine (GBM) models exhibited stable accuracy for SEW (R2 ~ 0.65–0.69). These quantitative results confirm the robustness and consistency of the proposed hybrid framework. The findings show that some sub-basins are prioritized for sustainable land and water resources management; these areas are generally of high priority according to different risk and management criteria. For these basins, it is suggested that comprehensive local-scale studies be carried out, making sure that preventive and remedial measures are given top priority for execution. The SVM model worked best for the PBW function, the ANN model worked best for the EFR function, and the RF and GBM models worked best for the SEW function. This framework not only finds sub-basins that are most important, but it also gives useful information for managing watersheds in a way that is sustainable even when the climate and economy change. Full article
(This article belongs to the Special Issue Application of Machine Learning in Hydrologic Sciences)
Show Figures

Figure 1

20 pages, 16950 KB  
Article
Using High-Resolution Satellite Imagery and Deep Learning to Map Artisanal Mining Spatial Extent in the Democratic Republic of the Congo
by Francesco Pasanisi, Robert N. Masolele and Johannes Reiche
Remote Sens. 2025, 17(24), 4057; https://doi.org/10.3390/rs17244057 - 18 Dec 2025
Abstract
Artisanal and Small-scale Mining (ASM) significantly impacts the Democratic Republic of Congo’s (DRC) socio-economic landscape and environmental integrity, yet its dynamic and informal nature makes monitoring challenging. This study addresses this challenge by implementing a novel deep learning approach to map ASM sites [...] Read more.
Artisanal and Small-scale Mining (ASM) significantly impacts the Democratic Republic of Congo’s (DRC) socio-economic landscape and environmental integrity, yet its dynamic and informal nature makes monitoring challenging. This study addresses this challenge by implementing a novel deep learning approach to map ASM sites across the DRC using satellite imagery. We tackled key obstacles including ground truth data scarcity, insufficient spatial resolution of conventional satellite sensors, and persistent cloud cover in the region. We developed a methodology to generate a pseudo-ground truth dataset by converting point-based ASM locations to segmented areas through a multi-stage process involving clustering, auxiliary dataset masking, and manual refinement. Four model configurations were evaluated: Planet-NICFI standalone, Sentinel-1 standalone, Early Fusion, and Late Fusion approaches. The Late Fusion model, which integrated high-resolution Planet-NICFI optical imagery (4.77 m resolution) with Sentinel-1 SAR data, achieved the highest performance with an average precision of 71%, recall of 75%, and F1-score of 73% for ASM detection. This superior performance demonstrated how SAR data’s textural features complemented optical data’s spectral information, particularly improving discrimination between ASM sites and water bodies—a common source of misclassification in optical-only approaches. We deployed the optimized model to map ASM extent in the Mwenga territory, achieving an overall accuracy of 88.4% when validated against high-resolution reference imagery. Despite these achievements, challenges persist in distinguishing ASM sites from built-up areas, suggesting avenues for future research through multi-class approaches. This study advances the domain of ASM mapping by offering methodologies that enhance remote sensing capabilities in ASM-impacted regions, providing valuable tools for monitoring, regulation, and environmental management. Full article
Show Figures

Figure 1

26 pages, 4263 KB  
Article
Health and Environmental Drivers of Urban Park Visitation Inequalities During COVID-19: Evidence from Las Vegas
by Zheng Zhu, Shuqi Hu and Beiyu Lin
Urban Sci. 2025, 9(12), 545; https://doi.org/10.3390/urbansci9120545 - 18 Dec 2025
Abstract
Urban parks are essential components of sustainable cities, providing vital health, social, and environmental benefits. Using weekly smartphone-based visitation data for 182 parks in Las Vegas from 2019 to 2022, this study quantifies how the COVID-19 pandemic altered park use and identifies the [...] Read more.
Urban parks are essential components of sustainable cities, providing vital health, social, and environmental benefits. Using weekly smartphone-based visitation data for 182 parks in Las Vegas from 2019 to 2022, this study quantifies how the COVID-19 pandemic altered park use and identifies the socio-economic, environmental, and infrastructural determinants of these changes. Park visitation in Las Vegas showed a marked early pandemic decline followed by uneven recovery, with socially vulnerable neighborhoods lagging behind. Ordinary Least Squares (OLS) and Random Forest (RF) models were used to capture both linear and nonlinear relationships. The RF model explained 81% of the variance in standardized visitation (R2 = 0.81, RMSE = 0.0415), substantially outperforming the OLS benchmark (R2 = 0.24, RMSE = 0.0656). Domain-specific RF models show that socio-economic variables alone achieve an R2 of 0.88, compared with about 0.70 for housing, environmental/health, and lighting variables, while demographic variables explain only 0.39, indicating that social vulnerability is the dominant driver of visitation inequalities. Phase-specific analyses further reveal that RF performance increases from R2 = 0.84 before the pandemic to R2 = 0.87 after it, as park visitation becomes more strongly coupled with socio-economic and health-related burdens. After COVID-19, poverty, uninsured rates, and asthma prevalence emerge as the most influential predictors, while the relative importance of demographic composition and environmental exposure diminishes. These findings demonstrate that pandemic-era inequalities in park visitation are driven primarily by reinforced socio-economic and health vulnerabilities, underscoring the need for targeted, equity-oriented green-infrastructure interventions in disadvantaged neighborhoods. Full article
(This article belongs to the Special Issue Human, Technologies, and Environment in Sustainable Cities)
Show Figures

Figure 1

26 pages, 4084 KB  
Article
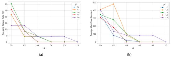
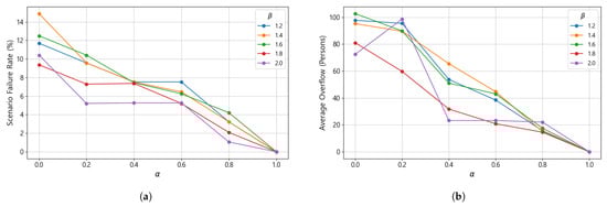
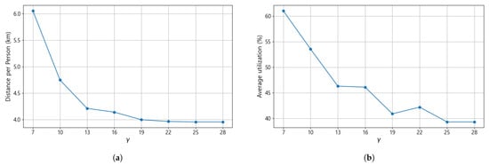
An Integrated Optimization for Resilient Wildfire Evacuation System Design: A Case Study of a Rural County in Korea
by Kyubin Kwon, Yejin Kim and Jinil Han
Systems 2025, 13(12), 1125; https://doi.org/10.3390/systems13121125 - 16 Dec 2025
Viewed by 59
Abstract
Wildfires increasingly threaten the operation and stability of regional socio-economic systems, where infrastructure, population, and environmental conditions are tightly interconnected. To enhance operational efficiency and strengthen community resilience, this study develops an integrated optimization framework for wildfire evacuation system design based on mixed-integer [...] Read more.
Wildfires increasingly threaten the operation and stability of regional socio-economic systems, where infrastructure, population, and environmental conditions are tightly interconnected. To enhance operational efficiency and strengthen community resilience, this study develops an integrated optimization framework for wildfire evacuation system design based on mixed-integer programming. The model simultaneously determines the locations of primary and secondary shelters and establishes both main and backup evacuation linkages, forming a dual-stage structure that ensures continuous accessibility even under disrupted conditions such as road blockages or fire spread. Wildfire risk indices derived from topographic and environmental data are incorporated to support risk-aware and balanced shelter allocation. A case study of Uiryeong County, South Korea, demonstrates that the proposed framework effectively improves evacuation efficiency and system reliability, producing spatially coherent and adaptive evacuation plans under diverse disruption scenarios. The findings highlight how operation optimization can enhance socio-economic system resilience and sustainability when facing large-scale environmental disruptions. Full article
Show Figures

Figure 1

26 pages, 6859 KB  
Article
Intelligent and Sustainable Classification of Tunnel Water and Mud Inrush Hazards with Zero Misjudgment of Major Hazards: Integrating Large-Scale Models and Multi-Strategy Data Enhancement
by Xiayi Yao, Mingli Huang, Fashun Shi and Liucheng Yu
Sustainability 2025, 17(24), 11286; https://doi.org/10.3390/su172411286 - 16 Dec 2025
Viewed by 78
Abstract
Water and mud inrush hazards pose significant threats to the safety, environmental stability, and resource efficiency of tunnel construction, representing a critical barrier to the development of sustainable transportation infrastructure. Misjudgment—especially missed detections of severe hazards—can lead to extensive geological disturbance, excessive energy [...] Read more.
Water and mud inrush hazards pose significant threats to the safety, environmental stability, and resource efficiency of tunnel construction, representing a critical barrier to the development of sustainable transportation infrastructure. Misjudgment—especially missed detections of severe hazards—can lead to extensive geological disturbance, excessive energy consumption, and severe socio-environmental impacts. However, pre-trained large-scale models still face two major challenges when applied to tunnel hazard classification: limited labeled samples and the high cost associated with misclassifying severe hazards. This study proposes a sustainability-oriented intelligent classification framework that integrates a large-scale pre-trained model with multi-strategy data augmentation to accurately identify hazard levels during tunnel excavation. First, a Synthetic Minority Over-Sampling Technique (SMOTE)-based multi-strategy augmentation method is introduced to expand the training set, mitigate class imbalance, and enhance the model’s ability to recognize rare but critical hazard categories. Second, a deep feature extraction architecture built on the robustly optimized BERT pretraining approach (RoBERTa) is designed to strengthen semantic representation under small-sample conditions. Moreover, a hierarchical weighting mechanism is incorporated into the weighted cross-entropy loss to emphasize the identification of severe hazard levels, thereby ensuring zero missed detections. Experimental results demonstrate that the proposed method achieves an accuracy of 99.26%, representing a 27.96% improvement over the traditional SVM baseline. Importantly, the recall for severe hazards (Levels III and IV) reaches 100%, ensuring zero misjudgment of major hazards. By effectively reducing safety risks, minimizing environmental disruptions, and promoting resilient tunnel construction, this method provides strong support for sustainable and low-impact underground engineering practices. Full article
(This article belongs to the Section Sustainable Engineering and Science)
Show Figures

Figure 1

27 pages, 1942 KB  
Article
Multi-Objective Optimization of Socio-Ecological Systems for Global Warming Mitigation
by Pablo Tenoch Rodriguez-Gonzalez, Alejandro Orozco-Calvillo, Sinue Arnulfo Tovar-Ortiz, Elvia Ruiz-Beltrán and Héctor Antonio Olmos-Guerrero
World 2025, 6(4), 168; https://doi.org/10.3390/world6040168 - 16 Dec 2025
Viewed by 58
Abstract
Socio-ecological systems (SESs) exhibit nonlinear feedback across environmental, social, and economic processes, requiring integrative analytical tools capable of representing such coupled dynamics. This study presents a quantitative framework that integrates a compartmental model of a global human–ecosystem with two complementary optimization approaches (Fisher [...] Read more.
Socio-ecological systems (SESs) exhibit nonlinear feedback across environmental, social, and economic processes, requiring integrative analytical tools capable of representing such coupled dynamics. This study presents a quantitative framework that integrates a compartmental model of a global human–ecosystem with two complementary optimization approaches (Fisher Information (FI) and Multi-Objective Optimization (MOO)) to evaluate policy strategies for sustainability. The model represents biophysical and socio-economic interactions across 15 compartments, incorporating feedback loops between greenhouse gas (GHG) accumulation, temperature anomalies, and trophic–economic dynamics. Six policy-relevant decision variables were selected (wild plant mortality, sectoral prices (agriculture, livestock, and industry), base wages, and resource productivity) and optimized under temporal (25-year) and magnitude (±10%) constraints to ensure policy realism. FI-based optimization enhances system stability, whereas the MOO framework balances environmental, social, and economic objectives using the Ideal Point Method. Both approaches prevent the systemic collapse observed in the baseline scenario. The FI and MOO strategies reduce terminal global temperature by 11.4% and 15.0%, respectively, relative to the baseline (35 °C → 31.0 °C under FI; 35 °C → 29.7 °C under MOO). Resource-use efficiency, measured through the resource requirement coefficient (λ), improves by 8–10% under MOO (0.6767 → 0.6090) and by 6–7% under FI (0.6668 → 0.6262). These outcomes offer actionable guidance for long-term climate policy at national and international scales. The MOO framework provided the most balanced outcomes, enhancing environmental and social performance while maintaining economic viability. Overall, the integration of optimization and information-theoretic approaches within SES models can support evidence-based public policy design, offering actionable pathways toward resilient, efficient, and equitable sustainability transitions. Full article
29 pages, 6854 KB  
Article
Spatiotemporal Evolution and Driving Mechanisms of Water–Energy–Food Synergistic Efficiency: A Case Study of Irrigation Districts in the Lower Yellow River
by Yuchen Zheng, Chang Liu, Lingqi Li, Enhui Jiang, Genxiang Feng, Bo Qu, Lingang Hao, Jiaqi Li and Jiahe Li
Sustainability 2025, 17(24), 11265; https://doi.org/10.3390/su172411265 - 16 Dec 2025
Viewed by 76
Abstract
As an integrated framework linking resource use and environmental sustainability, the WEF (Water–Energy–Food) system plays a vital role in achieving sustainable agricultural development. Focusing on the irrigation districts in the lower reaches of the Yellow River, this study constructed and applied a Super-Undesirable-SBM [...] Read more.
As an integrated framework linking resource use and environmental sustainability, the WEF (Water–Energy–Food) system plays a vital role in achieving sustainable agricultural development. Focusing on the irrigation districts in the lower reaches of the Yellow River, this study constructed and applied a Super-Undesirable-SBM (super-efficiency undesirable slacks-based measure) model and a GTWR (geographically and temporally weighted regression) model from a WEF perspective to systematically analyze the spatiotemporal evolution and driving mechanisms of WEFSE (Water–Energy–Food Synergistic Efficiency) from 2000 to 2020. The overall WEFSE exhibited a continuous upward trend, with the spatial pattern gradually shifting from the southwest to the northeast and regional disparities becoming more pronounced. The efficiency demonstrated a significant positive spatial autocorrelation, indicating a stable clustering pattern of “high–high” and “low–low” efficiency areas. In terms of driving mechanisms, WEFSE evolved from being dominated by socio-economic drivers to a composite system jointly influenced by ecological and structural factors. Among these, PD (population density) and WP (proportion of water area) had increasingly positive effects, whereas PRE (precipitation) and NDVI (normalized difference vegetation index) imposed notable constraints. Meanwhile, PCL (proportion of cultivated land), GP (proportion of grassland), and AT (average temperature) exhibited significant spatial differentiation. This study highlights that the assessment of WEFSE and identification of its driving mechanisms using the Super-Undesirable-SBM and GTWR models can help to uncover the spatiotemporal dynamics of agricultural resource utilization, providing methodological support and decision-making insights for optimizing resource allocation and promoting sustainable development in the Yellow River irrigation districts and other complex agricultural systems. Full article
Show Figures

Figure 1

11 pages, 3418 KB  
Review
Mapping Socio-Environmental Drivers of Zoonotic Diseases in Brazil
by Vitor Daniel Sousa and Diego Simeone
Zoonotic Dis. 2025, 5(4), 36; https://doi.org/10.3390/zoonoticdis5040036 - 16 Dec 2025
Viewed by 47
Abstract
Zoonotic diseases represent an important interface between socio-environmental change and public health, yet integrative assessments linking ecological and social determinants remain limited in tropical regions. This study mapped how socio-environmental drivers have shaped research patterns on zoonotic diseases in Brazil. We integrated socio-environmental [...] Read more.
Zoonotic diseases represent an important interface between socio-environmental change and public health, yet integrative assessments linking ecological and social determinants remain limited in tropical regions. This study mapped how socio-environmental drivers have shaped research patterns on zoonotic diseases in Brazil. We integrated socio-environmental data from empirical evidence with statistical modeling to evaluate temporal trends, thematic associations, and geographic distribution across six major zoonoses: leishmaniasis, Chagas disease, leptospirosis, yellow fever, Brazilian spotted fever, and hantavirus infection. Research output increased after 2010, particularly for leishmaniasis, Chagas disease, and leptospirosis, reflecting growing recognition of land-use change and socioeconomic vulnerability as key drivers of disease risk. Network analyses revealed strong thematic connections between zoonoses and land-use or socioeconomic factors, whereas climate change remained underrepresented. Spatially, research efforts were concentrated in the Amazon and Cerrado biomes, underscoring both ecological significance and persistent regional disparities in knowledge production. These findings demonstrate that Brazil’s zoonotic research landscape mirrors broader socio-environmental pressures, where deforestation, poverty, and climatic variability jointly influence disease dynamics. Strengthening geographically inclusive and environmentally informed research frameworks that integrate climate, land-use, and surveillance data will be essential to improve early-warning systems and guide sustainable, cross-sectoral public health policies. Full article
Show Figures

Graphical abstract

13 pages, 237 KB  
Article
Socio-Demographic, Environmental, and Clinical Factors Influencing Osteoporosis Control in Community Pharmacies of Lahore Pakistan
by Muhammad Zahid Iqbal, Aqsa Malik, Naeem Mubarak, Tahneem Yaseen, Seerat Shahzad, Khalid M. Orayj and Saad S. Alqahtani
Healthcare 2025, 13(24), 3291; https://doi.org/10.3390/healthcare13243291 - 15 Dec 2025
Viewed by 144
Abstract
Background and Objectives: Osteoporosis risk in real-world, outpatient settings is shaped by intersecting socio-demographic, environmental, and clinical factors. We evaluated predictors of fracture risk status among adults seeking care in community pharmacies in Lahore, Pakistan. Materials and Methods: We conducted a [...] Read more.
Background and Objectives: Osteoporosis risk in real-world, outpatient settings is shaped by intersecting socio-demographic, environmental, and clinical factors. We evaluated predictors of fracture risk status among adults seeking care in community pharmacies in Lahore, Pakistan. Materials and Methods: We conducted a cross-sectional study across urban and suburban pharmacies using a validated questionnaire aligned with international guidelines. Participants were classified as lower risk (osteopenia/osteoporosis without fragility fracture) or high risk (≥1 fragility fracture with clinical osteoporosis). Associations between candidate factors and risk status were examined using univariate and multivariable logistic regression analyses. Results: Of 286 participants, 53.1% were classified as lower risk. After adjustment, most sociodemographic characteristics were not independently associated with fracture risk status, except monthly income. Strong associations were observed for diabetes (AOR = 0.005, 95% CI 0.0007–0.040; p < 0.001), short-term glucocorticoid use (AOR = 32.33; p = 0.004), current smoking (AOR = 14.23; p = 0.002), ex-smoking (AOR = 4.95; p = 0.042), and lack of sunlight exposure (AOR = 7.09; p = 0.019). CKD, rheumatoid arthritis, and vitamin D insufficiency demonstrated borderline non-significant trends. Multivariable modeling did not include “not tested” categories or sparse variables. Conclusions: In Lahore’s community pharmacies, diabetes, CKD, RA, glucocorticoid exposure, smoking, and sunlight/vitamin D-related factors were the dominant correlates of osteoporosis fracture risk status, whereas most socio-demographic factors exerted limited independent effects. Pharmacy-anchored screening and counseling focused on these high-yield clinical indicators alongside timely BMD referral and guideline-concordant therapy may help identify individuals at elevated fracture risk. Full article
84 pages, 1141 KB  
Review
Integrating Emotion-Specific Factors into the Dynamics of Biosocial and Ecological Systems: Mathematical Modeling Approaches Accounting for Psychological Effects
by Sangeeta Saha and Roderick Melnik
Math. Comput. Appl. 2025, 30(6), 136; https://doi.org/10.3390/mca30060136 - 12 Dec 2025
Viewed by 140
Abstract
Understanding how emotions and psychological states influence both individual and collective actions is critical for expressing the real complexity of biosocial and ecological systems. Recent breakthroughs in mathematical modeling have created new opportunities for systematically integrating these emotion-specific elements into dynamic frameworks ranging [...] Read more.
Understanding how emotions and psychological states influence both individual and collective actions is critical for expressing the real complexity of biosocial and ecological systems. Recent breakthroughs in mathematical modeling have created new opportunities for systematically integrating these emotion-specific elements into dynamic frameworks ranging from human health to animal ecology and socio-technical systems. This review builds on mathematical modeling approaches by bringing together insights from neuroscience, psychology, epidemiology, ecology, and artificial intelligence to investigate how psychological effects such as fear, stress, and perception, as well as memory, motivation, and adaptation, can be integrated into modeling efforts. This article begins by examining the influence of psychological factors on brain networks, mental illness, and chronic physical diseases (CPDs), followed by a comparative discussion of model structures in human and animal psychology. It then turns to ecological systems, focusing on predator–prey interactions, and investigates how behavioral responses such as prey refuge, inducible defense, cooperative hunting, group behavior, etc., modulate population dynamics. Further sections investigate psychological impacts in epidemiological models, in which risk perception and fear-driven behavior greatly affect disease spread. This review article also covers newly developing uses in artificial intelligence, economics, and decision-making, where psychological realism improves model accuracy. Through combining these several strands, this paper argues for a more subtle, emotionally conscious way to replicate intricate adaptive systems. In fact, this study emphasizes the need to include emotion and cognition in quantitative models to improve their descriptive and predictive ability in many biosocial and environmental contexts. Full article
Show Figures

Figure 1

27 pages, 822 KB  
Review
Bioactive Compounds in Chestnut (Castanea sativa Mill.): Composition, Health-Promoting Properties, and Technological Applications
by José Gomes-Laranjo, Amélia M. Silva, Carlos Martins-Gomes, Tiago Marques, Tiago E. Coutinho, Ana Luísa Teixeira, Alice Vilela and Carla Gonçalves
Appl. Sci. 2025, 15(24), 13069; https://doi.org/10.3390/app152413069 - 11 Dec 2025
Viewed by 252
Abstract
Chestnut (Castanea sativa Mill.) is a Mediterranean staple food valued for its cultural heritage, gastronomic identity, nutritional profile, bioactivities, and socio-economic and environmental relevance. This narrative review synthesizes current knowledge on chestnut fruits and by-products, linking ecophysiology and genetic diversity to chemical [...] Read more.
Chestnut (Castanea sativa Mill.) is a Mediterranean staple food valued for its cultural heritage, gastronomic identity, nutritional profile, bioactivities, and socio-economic and environmental relevance. This narrative review synthesizes current knowledge on chestnut fruits and by-products, linking ecophysiology and genetic diversity to chemical composition and functionality. It summarizes the nutrient profile (high starch and dietary fiber; gluten-free; B vitamins; essential minerals; and favorable fatty acids) and the diversity of phytochemicals—particularly phenolic acids, flavonoids, and ellagitannins (e.g., castalagin and vescalagin)—that underpin antioxidant, anti-inflammatory, antimicrobial, anti-proliferative, and metabolic effects demonstrated across in vitro, cellular, and in vivo models. We compare conventional and green extraction strategies (e.g., hydroethanolic, ultrasound-/microwave-assisted, and supercritical and subcritical water), highlighting method-dependent yields, composition, and bioactivity, and the valorization of shells, burs, and leaves within circular bioeconomy frameworks. Technological applications span functional foods (gluten-free flours, beverages, and emulsions), nutraceuticals, and cosmetics (skin-protective and regenerative formulations), and active packaging/biopolymers with antioxidant and antimicrobial performance. We discuss sources of variability (cultivar, environment, maturation, and processing) affecting bioactive content and efficacy, and outline future directions. Finally, this review emphasizes the importance of university-facilitated co-creation with companies and consumers—within the framework of Responsible Research and Innovation—as a pathway to strengthen the economic valorization and full utilization of the chestnut value chain, enhancing its societal relevance, sustainability, and health-promoting potential. Full article
Show Figures

Figure 1

61 pages, 28025 KB  
Article
A Study on the Perception Evaluation of Public Spaces in Urban Historic Waterfront Areas Based on AHP–Cloud Modelling: The Case of the Xiaoqinhuai Riverside Area in Yangzhou
by Jizhou Chen, Xinyu Duan, Wanli Zhang, Xiaobin Li, Hao Feng, Ren Zhou and Rong Zhu
Land 2025, 14(12), 2402; https://doi.org/10.3390/land14122402 - 11 Dec 2025
Viewed by 207
Abstract
With the acceleration of global urbanisation, the pace of evolution in urban waterfront areas has intensified, consequently hastening the renewal rate of their constituent public spaces. Compared to the macro-level planning and regulation of traditional port and coastal waterfronts, balancing the historical preservation [...] Read more.
With the acceleration of global urbanisation, the pace of evolution in urban waterfront areas has intensified, consequently hastening the renewal rate of their constituent public spaces. Compared to the macro-level planning and regulation of traditional port and coastal waterfronts, balancing the historical preservation of urban heritage waterfront public spaces with contemporary demands has emerged as a critical issue in urban regeneration. This study examines the historical waterfront area of the Xiaoqinhuai River in Yangzhou, establishing a public space perception evaluation framework encompassing five dimensions: spatial structure, landscape elements, environmental perception, socio-cultural context, and facility systems. This framework comprises 33 secondary indicators. The perception assessment system was developed through a literature review, field research, and expert interviews, refined using the Delphi method, and weighted via the Analytic Hierarchy Process (AHP). Finally, cloud modelling was employed to evaluate perceptions among residents and visitors. Findings indicate that spatial structure and socio-cultural dimensions received high perception ratings, highlighting historical layout and cultural identity as strengths of the Xiaoqinhuai Riverfront public space, while significant shortcomings were noted in terms of landscape elements, environmental perception, and facilities. These deficiencies manifest primarily in limited vegetation diversity, inadequate hard paving and surface materials, insufficient landscape node design, poor thermal comfort, suboptimal air quality and olfactory perception, uncomfortable resting facilities, limited activity diversity, and inadequate slip-resistant surfaces. Further analysis reveals perceptual differences between residents and visitors: the former prioritise daily living needs, while the latter emphasise cultural experiences and recreational facilities. Based on these findings, this paper proposes targeted optimisation strategies emphasising the continuity of historical context and enhancement of spatial inclusivity. It recommends improving public space quality through multi-dimensional measures including environmental perception enhancement, landscape system restructuring, and the tiered provision of facilities. This research offers an actionable theoretical framework and practical pathway for the protective renewal, public space reconstruction, and optimisation of contemporary urban historic waterfront areas, demonstrating broad transferability and applicability. Full article
(This article belongs to the Topic Contemporary Waterfronts, What, Why and How?)
Show Figures

Figure 1

26 pages, 4997 KB  
Article
Regional Lessons to Support Local Guidelines: Adaptive Housing Solutions from the Baltic Sea Region for Climate-Sensitive Waterfronts in Gdańsk
by Bahaa Bou Kalfouni, Anna Rubczak, Olga Wiszniewska, Piotr Warżała, Filip Lasota and Dorota Kamrowska-Załuska
Sustainability 2025, 17(24), 11082; https://doi.org/10.3390/su172411082 - 10 Dec 2025
Viewed by 230
Abstract
Across the Baltic Sea region, areas situated in climate-sensitive water zones are increasingly exposed to environmental and socio-economic challenges. Gdańsk, Poland, is a prominent example where the rising threat of climate-related hazards, particularly connected with flooding, coincides with growing demand for resilient and [...] Read more.
Across the Baltic Sea region, areas situated in climate-sensitive water zones are increasingly exposed to environmental and socio-economic challenges. Gdańsk, Poland, is a prominent example where the rising threat of climate-related hazards, particularly connected with flooding, coincides with growing demand for resilient and adaptive housing solutions. Located in the Vistula Delta, the city’s vulnerability is heightened by its low-lying terrain, polder-based land systems, and extensive waterfronts. These geographic conditions underscore the urgent need for flexible, climate-responsive design strategies that support long-term adaptation while safeguarding the urban fabric and the well-being of local communities. This study provides evidence-based guidance for adaptive housing solutions tailored to Gdańsk’s waterfronts. It draws on successful architectural and urban interventions across the Baltic Sea region, selected for their environmental, social, and cultural relevance, to inform development approaches that strengthen resilience and social cohesion. To achieve this, an exploratory case study methodology was employed, supported by desk research and qualitative content analysis of strategic planning documents, academic literature, and project reports. A structured five-step framework, comprising project identification, document selection, qualitative assessment, data extraction, and analysis, was applied to examine three adaptive housing projects: Hammarby Sjöstad (Stockholm), Kalasataman Huvilat (Helsinki), and Urban Rigger (Copenhagen). Findings indicate measurable differences across nine sustainability indicators (1–5 scale): Hammarby Sjöstad excels in environmental integration (5/5 in carbon reduction and renewable energy), Kalasataman Huvilat demonstrates strong modular and human-scaled adaptability (3–5/5 across social and housing flexibility), and Urban Rigger leads in climate adaptability and material efficiency (4–5/5). Key adaptive measures include flexible spatial design, integrated environmental management, and community engagement. The study concludes with practical recommendations for local planning guidelines. The guidelines developed through the Gdańsk case study show strong potential for broader application in cities facing similar challenges. Although rooted in Gdańsk’s specific conditions, the model’s principles are transferable and adaptable, making the framework relevant to water sensitivity, flexible housing, and inclusive, resilient urban strategies. It offers transversal value to both urban scholars and practitioners in planning, policy, and community development. Full article
Show Figures

Figure 1

16 pages, 297 KB  
Article
Socio-Economic Drivers of Renewable Energy Consumption: A Dynamic Panel Analysis of Rural and Urban Contexts in Europe
by Henrique Viana Espinosa de Oliveira, Ana Cristina Brasão, Victor Moutinho and Luís Marques
Energies 2025, 18(24), 6475; https://doi.org/10.3390/en18246475 - 10 Dec 2025
Viewed by 146
Abstract
This study examines the patterns of renewable energy consumption across 29 European countries from 2000 to 2024. We utilised Bias-Corrected estimation techniques to analyse the relationship between renewable energy consumption, Human Development Index (HDI), labour force, and population dynamics, employing three distinct estimation [...] Read more.
This study examines the patterns of renewable energy consumption across 29 European countries from 2000 to 2024. We utilised Bias-Corrected estimation techniques to analyse the relationship between renewable energy consumption, Human Development Index (HDI), labour force, and population dynamics, employing three distinct estimation models: global, rural, and urban. The results indicate that higher levels of human development and a larger labour force are positively associated with renewable energy consumption in the global and rural models, while the urban model shows an opposite effect for the labour force. Conversely, population growth is negatively related to renewable energy consumption in the global and rural contexts but positively in urban areas. These findings underscore the importance of socio-economic and demographic contexts in shaping renewable energy outcomes. They suggest that renewable energy can support economic and social development, but its effectiveness depends on regional structural conditions. From a policy perspective, the renewable transition should be approached as both an environmental and socio-economic strategy, aligning clean energy goals with employment generation, education, and inclusion, particularly in line with SDGs 7, 8, 10, and 13. Policies that promote green skills, innovation, and equitable regional investment can enhance social acceptance, competitiveness, and sustainable growth across Europe. Full article
(This article belongs to the Special Issue Recent Advances in Renewable Energy Economics and Policy)
Back to TopTop