Sign in to use this feature.

Years

Between: -

Subjects

remove_circle_outline
remove_circle_outline
remove_circle_outline
remove_circle_outline
remove_circle_outline
remove_circle_outline
remove_circle_outline

Journals

Article Types

Countries / Regions

Search Results (36)

Search Parameters:
Keywords = sn-2 palmitate

Order results
Result details
Results per page
Select all
Export citation of selected articles as:
14 pages, 512 KB  
Article
A Novel Infant Formula with Medium- and Long-Chain Triacylglycerols and sn-2 Palmitate Supports Adequate Growth and Lipid Absorption in Healthy Term Infants
by Xiaoyan Chen, Mengtao Yang, Wei Wei, Siyu Huang, Yingzhen Qiu, Zhen Li, Qiuye Lan, Bixia Huang, Tong Wu, Qianqian Bi, Xingguo Wang and Huilian Zhu
Nutrients 2025, 17(9), 1401; https://doi.org/10.3390/nu17091401 - 22 Apr 2025
Cited by 6 | Viewed by 4108
Abstract
Background: Medium- and long-chain triacylglycerols (MLCTs) and sn-2 palmitate constitute approximately 70~80% of total breast milk fat. The structured lipid MLCTs and sn-2 palmitate, mimicking human milk, have demonstrated improvement in lipid absorption and energy metabolism in vitro and in animal [...] Read more.
Background: Medium- and long-chain triacylglycerols (MLCTs) and sn-2 palmitate constitute approximately 70~80% of total breast milk fat. The structured lipid MLCTs and sn-2 palmitate, mimicking human milk, have demonstrated improvement in lipid absorption and energy metabolism in vitro and in animal experiments. However, clinical trials on infant formula supplied with MLCTs and sn-2 palmitate have yet to be conducted. Objectives: This study was designed to evaluate the effects on growth and lipid absorption of a novel formula with structured lipid MLCTs and sn-2 palmitate on healthy infants born at term. Methods: Infants were enrolled at 30 d postpartum and assigned to three groups based on their feeding conditions: (1) a novel formula with MLCTs and sn-2 palmitate (Novel-F group, n = 65); (2) a control formula with vegetable oils and no structured lipids (Contr-F group, n = 46); or (3) breastfeeding (BF group, n = 66). Growth measurements (including weight, length, and head circumference), stool characteristics, and fecal lipid composition (both soap and non-soap fatty acids) were analyzed at both baseline (30 d postpartum) and endline visits (90 d postpartum). Results: The Novel-F group had significantly higher weight gains (2195 ± 595 g) during the intervention compared to the Contr-F group (1897 ± 483 g) but similar weight gains to the BF group (2081 ± 614 g), with the changes in Zw/a following a similar pattern. Zl/a increased in the Novel-F group (0.04, (95% CI: −0.21 to 0.28)) and decreased in both the Contr-F (−0.23 (95% CI: −0.52 to 0.06)) and BF groups (−0.20 (95% CI: −0.44 to 0.05)). The stools of infants in the Novel-F group had similar undigested triacylglycerols and total fatty acids compared to breastfed infants but had significantly lower levels than infants fed with the control formula at both baseline and endline visits. Conclusions: The novel infant formula with MLCTs and sn-2 palmitate is safe and well tolerated, and supports adequate weight gain and improves lipid absorption. Full article
Show Figures

Graphical abstract

16 pages, 1740 KB  
Article
Novel Lipid-Based Carriers of Provitamin D3: Synthesis and Spectroscopic Characterization of Acylglycerol Conjugated with 7-Dehydrocholesterol Residue and Its Glycerophospholipid Analogue
by Witold Gładkowski, Susanna Ortlieb, Natalia Niezgoda, Anna Chojnacka, Paulina Fortuna and Paweł Wiercik
Molecules 2024, 29(23), 5805; https://doi.org/10.3390/molecules29235805 - 9 Dec 2024
Viewed by 1540
Abstract
The aim of this research was to design and synthesize new lipid conjugates of 7-DHC that could serve as a new storage form of esterified provitamin D3, increasing the reservoir of this biomolecule in the epidermis and enabling controlled production of [...] Read more.
The aim of this research was to design and synthesize new lipid conjugates of 7-DHC that could serve as a new storage form of esterified provitamin D3, increasing the reservoir of this biomolecule in the epidermis and enabling controlled production of vitamin D3 even during periods of sunlight deficiency. Acylglycerol and glycerophospholipid containing succinate-linked provitamin D3 at the sn-2 position of the glycerol backbone were synthesized from dihydroxyacetone (DHA) and sn-glycerophosphocholine (GPC), respectively. The three-step synthesis of 1,3-dipalmitoyl-2-(7-dehydrocholesterylsuccinoyl)glycerol involved the esterification of DHA with palmitic acid, reduction of the carbonyl group, and conjugation of the resulting 1,3-dipalmitoylglycerol with 7-dehydrocholesterol hemisuccinate (7-DHC HS). The use of NaBH3CN as a reducing agent was crucial to avoid acyl migration and achieve the final product with 100% regioisomeric purity. For the preparation of 1-palmitoyl-2-(7-dehydrocholesterylsuccinoyl)-sn-glycero-3-phosphocholine, a two-step process was applied, involving the esterification of GPC at the sn-1 position with palmitic acid, followed by the conjugation of 1-palmitoyl-sn-glycero-3-phosphocholine with 7-DHC HS. Alongside the main product, a small amount of its regioisomer with provitamin D3 linked at the sn-1 position and palmitic acid at the sn-2 position was detected, indicating acyl migration from the sn-1 to the sn-2 position in the intermediate 1-palmitoyl-sn-glycerophosphocholine. The synthesized novel lipids were fully characterized using spectroscopic methods. They can find applications as novel lipid-based prodrugs as additives to sunscreen creams. Full article
(This article belongs to the Section Bioactive Lipids)
Show Figures

Figure 1

13 pages, 1403 KB  
Article
Evaluation of the Thermal Behavior of Commercial Cold-Pressed Oils Obtained from Apricot and Peach By-Products
by Magdalena Wirkowska-Wojdyła, Ewa Ostrowska-Ligęza, Agata Górska, Rita Brzezińska and Iga Piasecka
Appl. Sci. 2024, 14(23), 10917; https://doi.org/10.3390/app142310917 - 25 Nov 2024
Viewed by 2157
Abstract
Fruit kernels are bio-waste in the food industry and can be managed as oil raw materials. The aim of the study was to investigate the stability, oxidation resistance, profile of fatty acids, and their distribution at the triacylglycerol positions of commercially available cold-pressed [...] Read more.
Fruit kernels are bio-waste in the food industry and can be managed as oil raw materials. The aim of the study was to investigate the stability, oxidation resistance, profile of fatty acids, and their distribution at the triacylglycerol positions of commercially available cold-pressed oils from apricot (A1 and A2) and peach kernels (P1 and P2). Additionally, the melting profiles of the oils were recorded. It was found that the tested oils were a good source of unsaturated fatty acids, especially oleic and linoleic acid. The apricot kernel oils differed significantly regarding the contents of oleic acid and linoleic acid, while the peach kernel oils did not differ in the content of fatty acids. Saturated palmitic and stearic acids mainly occupied the external sn-1,3 positions, while linoleic acid was esterified in the internal position in all the analyzed oils. The occurrence of endothermic peaks at low temperatures was recorded on the melting curves, indicating the presence of triacylglycerol fractions with high proportions of poly- and monounsaturated fatty acids. The apricot kernels of the A1 oil were characterized by the highest oxidative stability measured by the maximum oxidation time at the tested temperatures. The activation energy of the oxidation reaction was at a similar level in all the studied oils. Due to the oils’ characteristics, it is worth considering the use of apricot and peach kernel oils in the food industry. Full article
Show Figures

Figure 1

11 pages, 742 KB  
Article
LC-ESI-MS and GC-MS Profiling, Chemical Composition, and Cytotoxic Activity of Endophytic Fungus Pleosporales sp. Derived from Artemisia annua
by Mamdouh Nabil Samy, Eman Zekry Attia, Basma Ali Khalifa, Usama Ramadan Abdelmohsen and Samir Anis Ross
Chemistry 2024, 6(6), 1336-1346; https://doi.org/10.3390/chemistry6060078 - 26 Oct 2024
Viewed by 2289
Abstract
The chemical profiling of ethyl acetate extract of the endophytic fungus Pleosporales sp. using liquid chromatography–electrospray ionization–mass spectrometry (LC-ESI-MS) revealed the presence of 12 metabolites of different chemical classes such as steroids, α-pyrones, asterric acid derivatives, and quinones. Additionally, the gas chromatography–mass spectrometry [...] Read more.
The chemical profiling of ethyl acetate extract of the endophytic fungus Pleosporales sp. using liquid chromatography–electrospray ionization–mass spectrometry (LC-ESI-MS) revealed the presence of 12 metabolites of different chemical classes such as steroids, α-pyrones, asterric acid derivatives, and quinones. Additionally, the gas chromatography–mass spectrometry (GC-MS) profiling of the ethyl acetate (EtOAc) and methanol extracts exhibited the presence of fatty acids and their esters, in which methyl palmitate (18.72%, and 25.48%, respectively) and methyl linoleate (11.92% and 23.39%, respectively) were found in both extracts. On the other hand, palmitic acid (12.60%), methyl oleate (26.90%), oleic acid (4.01%) and linoleic acid (3.25%) were present only in methanol extract. Furthermore, ethyl palmitate (12.60%), 13-octadecenoic acid (19.36%), and ethyl linoleate (3.25%) occurred in EtOAc extract. A phytochemical investigation of both extracts led to the isolation of fatty acids such as palmitic acid (18), oleic acid (20), and linoleic acid (21) and their esters including methyl palmitate (13), methyl stearate (22), methyl linoleate (16), methyl 3-hydroxy-5-methylhexanoate (23), and monomethyl azelate (27), in addition to monoacyl derivatives of glycerol such as 3,3-dihydroxypropyl hexadecanoate (24), 2,3-dihydroxypropyl elaidate (25), and 1-linoleoyl-sn-glycerol (26). The structures of the isolated compounds were identified by different spectroscopic analyses including 1H- and 13C-NMR and GC-MS. The EtOAc extract exhibited a cytotoxic effect against MCF-7 and HepG-2 cell lines, with IC50 values of 4.12 ± 0.10 and 10.05 ± 0.05 μg/mL, respectively. Full article
(This article belongs to the Section Chemistry of Natural Products and Biomolecules)
Show Figures

Graphical abstract

13 pages, 2157 KB  
Article
1,2-Dicinnamoyl-sn-glycero-3-phosphocholine Improves Insulin Sensitivity and Upregulates mtDNA-Encoded Genes in Insulin-Resistant 3T3-L1 Adipocytes: A Preliminary Study
by Aneta Cierzniak, Anna Gliszczyńska and Małgorzata Małodobra-Mazur
Nutrients 2024, 16(18), 3163; https://doi.org/10.3390/nu16183163 - 19 Sep 2024
Viewed by 1521
Abstract
Background: Insulin resistance is a condition characterized by a reduced biological response to insulin. It is one of the most common metabolic diseases in modern civilization. Numerous natural substances have a positive effect on metabolism and energy homeostasis including restoring the proper sensitivity [...] Read more.
Background: Insulin resistance is a condition characterized by a reduced biological response to insulin. It is one of the most common metabolic diseases in modern civilization. Numerous natural substances have a positive effect on metabolism and energy homeostasis including restoring the proper sensitivity to insulin. There may be several possible mechanisms of action. In the present study, we elucidated two natural compounds with an impact on insulin signaling in IR adipocytes involving mitochondria. Methods: Mature 3T3-L1 adipocytes with artificially induced insulin resistance by palmitic acid (16:0) were used for the study. Cinnamic acid and 1,2-dicinnamoyl-sn-glycero-3-phosphocholin (1,2-diCA-PC) were tested at three concentrations: 25 μM, 50 μM, and 125 μM. The number of mitochondria and the expression of genes encoded by mtDNA were elucidated in control and experimental cells. Results: Experimental cells treated with 1,2-diCA-PC displayed increased insulin-stimulated glucose uptake in a dose-dependent manner, accompanied by an increase in mtDNA copy number. Moreover, in experimental cells treated with 1,2-diCA-PC at a concentration of 125 μM, a significant increase in the expression level of all analyzed genes encoded by mtDNA compared to control cells was observed. Our study showed a relationship between improved cellular sensitivity to insulin by 1,2-diCA-PC and an increase in the number of mitochondria and expression levels of genes encoded by mtDNA. Conclusions: To summarize, the results suggest the therapeutic potential of cinnamic acid derivative 1,2-diCA-PC to enhance the insulin sensitivity of adipocytes. Full article
(This article belongs to the Special Issue Effects of Phytochemicals on Metabolic Disorders and Human Health)
Show Figures

Figure 1

12 pages, 1911 KB  
Article
Infant Formula with 50% or More of Palmitic Acid Bound to the sn-2 Position of Triacylglycerols Eliminate the Association between Formula-Feeding and the Increase of Fecal Palmitic Acid Levels in Newborns: An Exploratory Study
by Hiromichi Shoji, Hiroko Arai, Satsuki Kakiuchi, Atsushi Ito, Keigo Sato, Shinji Jinno, Naoto Takahashi, Kenichi Masumoto, Hitoshi Yoda and Toshiaki Shimizu
Nutrients 2024, 16(11), 1558; https://doi.org/10.3390/nu16111558 - 21 May 2024
Cited by 9 | Viewed by 3880
Abstract
The binding ratio of palmitic acid (PA) at the sn-2 position of triacylglycerols in infant formulas is lower than that in breast milk, resulting in higher levels of fecal PA. Even if the ratio is increased to 40–50%, fecal PA levels in formula-fed [...] Read more.
The binding ratio of palmitic acid (PA) at the sn-2 position of triacylglycerols in infant formulas is lower than that in breast milk, resulting in higher levels of fecal PA. Even if the ratio is increased to 40–50%, fecal PA levels in formula-fed infants remain higher than those in breast–fed infants. In Japan, infant formulas with 50% or more of PA bound to sn-2 (high sn-2 PA milk) are commercially available; however, their effects on PA excretion have not been investigated. Therefore, this observational study aimed to preliminarily evaluate whether the feeding volume of high sn-2 PA milk is significantly associated with fecal total/soaped PA levels in newborns. Infant formulas were classified as high (≥50% of PA bound to sn-2) or low sn-2 (<50%) PA milk. Associations between feeding volume of high or low sn-2 PA milk and fecal PA levels were evaluated using multiple regression analysis models. The results showed that the feeding volume of low sn-2 PA milk was positively associated with fecal total/soaped PA levels, while there was no significant association between those of high sn-2 PA milk and fecal total/soaped PA levels. Our preliminary study suggests that high sn-2 PA milk may reduce increased fecal PA levels in formula-fed newborns. Full article
(This article belongs to the Section Pediatric Nutrition)
Show Figures

Figure 1

15 pages, 2743 KB  
Article
Effects of sn-2 Palmitic Triacylglycerols and the Ratio of OPL to OPO in Human Milk Fat Substitute on Metabolic Regulation in Sprague-Dawley Rats
by Lin Zhu, Shuaizhen Fang, Yaqiong Zhang, Xiangjun Sun, Puyu Yang, Weiying Lu and Liangli Yu
Nutrients 2024, 16(9), 1299; https://doi.org/10.3390/nu16091299 - 26 Apr 2024
Cited by 9 | Viewed by 3014
Abstract
In this study, the influence of total sn-2 palmitic triacylglycerols (TAGs) and ratio of 1-oleoyl-2-palmitoyl-3-linoleoylglycerol (OPL) to 1,3-dioleoyl-2-palmitoylglycerol (OPO) in human milk fat substitute (HMFS) on the metabolic changes were investigated in Sprague–Dawley rats. Metabolomics and lipidomics profiling analysis indicated that increasing [...] Read more.
In this study, the influence of total sn-2 palmitic triacylglycerols (TAGs) and ratio of 1-oleoyl-2-palmitoyl-3-linoleoylglycerol (OPL) to 1,3-dioleoyl-2-palmitoylglycerol (OPO) in human milk fat substitute (HMFS) on the metabolic changes were investigated in Sprague–Dawley rats. Metabolomics and lipidomics profiling analysis indicated that increasing the total sn-2 palmitic TAGs and OPL to OPO ratio in HMFS could significantly influence glycine, serine and threonine metabolism, glycerophospholipid metabolism, glycerolipid metabolism, sphingolipid metabolism, bile acid biosynthesis, and taurine and hypotaurine metabolism pathways in rats after 4 weeks of feeding, which were mainly related to lipid, bile acid and energy metabolism. Meanwhile, the up-regulation of taurine, L-tryptophan, and L-cysteine, and down-regulations of lysoPC (18:0) and hypoxanthine would contribute to the reduction in inflammatory response and oxidative stress, and improvement of immunity function in rats. In addition, analysis of targeted biochemical factors also revealed that HMFS-fed rats had significantly increased levels of anti-inflammatory factor (IL-4), immunoglobulin A (IgA), superoxide dismutase (SOD), and glutathione peroxidase (GSH-px), and decreased levels of pro-inflammatory factors (IL-6 and TNF-α) and malondialdehyde (MDA), compared with those of the control fat-fed rats. Collectively, these observations present new in vivo nutritional evidence for the metabolic regulatory effects of the TAG structure and composition of human milk fat substitutes on the host. Full article
(This article belongs to the Special Issue Functional Components and Their Modulation of Metabolism)
Show Figures

Figure 1

14 pages, 1282 KB  
Article
The Effect of Sn-2 Palmitate on Blood Glucose, Lipids and Body Composition in Middle-Aged and Elderly Adults: A Randomized, Double-Blinded Controlled Trial
by Wuxian Zhong, Ai Zhao, Xuetao Wei, Shuai Mao, Pin Li, Qianqian Shen, Hong Zhang, Hua Jiang, Peiyu Wang and Yumei Zhang
Nutrients 2024, 16(7), 973; https://doi.org/10.3390/nu16070973 - 27 Mar 2024
Cited by 1 | Viewed by 3144
Abstract
Sn-2 palmitate is widely used in infant formula. However, little is known about its effects on metabolism and body composition in middle-aged and elderly adults. In a double-blinded, randomized controlled trial, we enrolled Chinese adults aged 45–75 years with self-reported constipation. Individuals were [...] Read more.
Sn-2 palmitate is widely used in infant formula. However, little is known about its effects on metabolism and body composition in middle-aged and elderly adults. In a double-blinded, randomized controlled trial, we enrolled Chinese adults aged 45–75 years with self-reported constipation. Individuals were randomly assigned in a 1:1 ratio to a 1,3-dioleoyl-2-palmitoyl-glycerol (OPO)-enriched oil (66% palmitic acid in the sn-2 position) or a control vegetable oil (24% palmitic acid in the sn-2 position) daily for 24 weeks. Skim milk powder was used as the carrier for both fats. Interviews and body composition were performed at baseline, week 4, week 12 and week 24. A fasting blood draw was taken except at week 4. This study was a secondary analysis and considered exploratory. A total of 111 adults (83 women and 28 men, mean age 64.2 ± 7.0 years) were enrolled, of whom 53 were assigned to the OPO group and 57 to the control group. During the intervention, blood glucose, triglyceride, the triglyceride-glucose index, total cholesterol, low-density lipoprotein cholesterol and remnant cholesterol remained stable, while high-density lipoprotein cholesterol decreased in both groups (p = 0.003). No differences in change were observed between the groups (all p > 0.05). From baseline to week 24, the level of visceral fat increased slightly (p = 0.017), while body weight, total body water, protein, soft lean mass, fat-free mass, skeletal muscle and skeletal muscle mass index (SMI) decreased in two groups (p < 0.01). At weeks 4, 12 and 24, the SMI decreased less in the OPO group than in the control group, with a trend towards significance (p = 0.090). A 24-week daily intake of sn-2-palmitate-enriched oil had no adverse impact on fasting blood glucose, lipids and body composition compared with the control vegetable oil in Chinese adults (funded by Chinese Nutrition Society National Nutrition Science Research Grant, National Key Research and Development Program of China and Wilmar (Shanghai) Biotechnology Research & Development Center Co., Ltd.; ChiCTR1900026480). Full article
(This article belongs to the Special Issue Nutrition, Metabolites, and Human Health — 2nd Edition)
Show Figures

Figure 1

17 pages, 2365 KB  
Article
Lipase-Catalyzed Synthesis of Structured Fatty Acids Enriched with Medium and Long-Chain n-3 Fatty Acids via Solvent-Free Transesterification of Skipjack Tuna Eyeball Oil and Commercial Butterfat
by Khurshid Ahmed Baloch, Umesh Patil, Khamtorn Pudtikajorn, Ebtihal Khojah, Mohammad Fikry and Soottawat Benjakul
Foods 2024, 13(2), 347; https://doi.org/10.3390/foods13020347 - 22 Jan 2024
Cited by 8 | Viewed by 4178
Abstract
Human milk lipids generally have the maximum long-chain fatty acids at the sn-2 position of the glycerol backbone. This positioning makes them more digestible than long-chain fatty acids located at the sn-1, 3 positions. These unique fatty acid distributions are not found elsewhere [...] Read more.
Human milk lipids generally have the maximum long-chain fatty acids at the sn-2 position of the glycerol backbone. This positioning makes them more digestible than long-chain fatty acids located at the sn-1, 3 positions. These unique fatty acid distributions are not found elsewhere in nature. When lactation is insufficient, infant formula milk has been used as a substitute. However, the distribution of most fatty acids ininfant formula milk is still different from human milk. Therefore, structured lipids were produced by the redistribution of medium-chain fatty acids from commercial butterfat (CBF) and n-3 and n-6 long-chain fatty acids from skipjack tuna eyeball oil (STEO). Redistribution was carried out via transesterification facilitated by Asian seabass liver lipase (ASL-L). Under the optimum conditions including a CBF/STEO ratio (3:1), transesterification time (60 h), and ASL-L unit (250 U), the newly formed modified-STEO (M-STEO) contained 93.56% triacylglycerol (TAG), 0.31% diacylglycerol (DAG), and 0.02% monoacylglycerol (MAG). The incorporated medium-chain fatty acids accounted for 18.2% of M-STEO, whereas ASL-L could incorporate 40% of n-3 fatty acids and 25–30% palmitic acid in M-STEO. The 1H NMRA and 13CNMR results revealed that the major saturated fatty acid (palmitic acid) and unsaturated fatty acids (DHA and EPA) were distributed at the sn-2 position of the TAGs in M-STEO. Thus, M-STEO enriched with medium-chain fatty acids and n-3 fatty acids positioned at the sn-2 position of TAGs can be a potential substitute for human milk fatty acids in infant formula milk (IFM). Full article
(This article belongs to the Section Foods of Marine Origin)
Show Figures

Figure 1

15 pages, 1582 KB  
Article
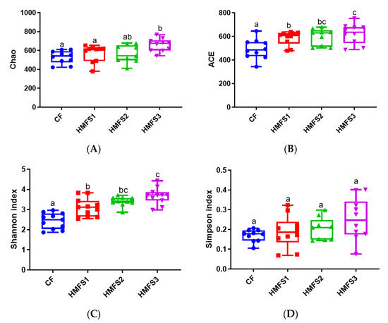
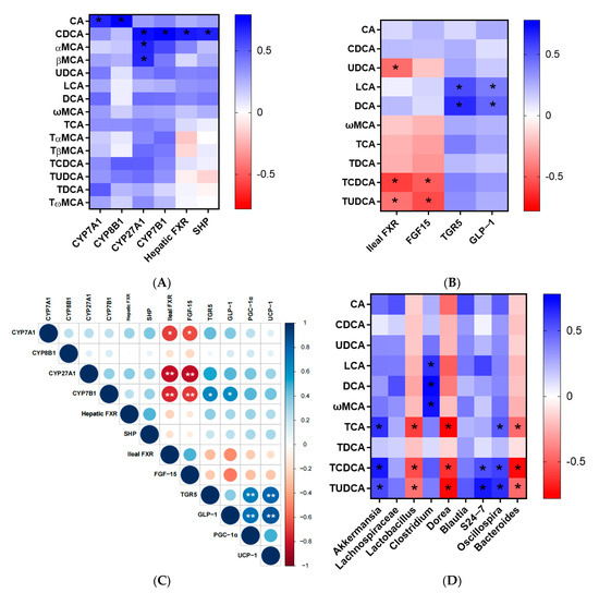
Total Sn-2 Palmitic Triacylglycerols and the Ratio of OPL to OPO in Human Milk Fat Substitute Modulated Bile Acid Metabolism and Intestinal Microbiota Composition in Rats
by Lin Zhu, Shuaizhen Fang, Hong Zhang, Xiangjun Sun, Puyu Yang, Jianchun Wan, Yaqiong Zhang, Weiying Lu and Liangli Yu
Nutrients 2023, 15(23), 4929; https://doi.org/10.3390/nu15234929 - 26 Nov 2023
Cited by 14 | Viewed by 3166
Abstract
In this study, the impact of sn-2 palmitic triacyclglycerols (TAGs) in combination with their ratio of two major TAGs (1-oleoyl-2-palmitoyl-3-linoleoylglycerol (OPL) to 1,3-dioleoyl-2-palmitoylglycerol (OPO)) in human milk fat substitute (HMFS) on bile acid (BA) metabolism and intestinal microbiota composition was investigated in [...] Read more.
In this study, the impact of sn-2 palmitic triacyclglycerols (TAGs) in combination with their ratio of two major TAGs (1-oleoyl-2-palmitoyl-3-linoleoylglycerol (OPL) to 1,3-dioleoyl-2-palmitoylglycerol (OPO)) in human milk fat substitute (HMFS) on bile acid (BA) metabolism and intestinal microbiota composition was investigated in newly-weaned Sprague–Dawley rats after four weeks of high-fat feeding. Compared to those of control group rats, HMFS-fed rats had significantly increased contents of six hepatic primary BAs (CDCA, αMCA, βMCA, TCDCA, TαMCA and TβMCA), four ileal primary BAs (UDCA, TCA, TCDCA and TUDCA) and three secondary BAs (DCA, LCA and ωMCA), especially for the HMFS with the highest sn-2 palmitic acid TAGs of 57.9% and OPL to OPO ratio of 1.4. Meanwhile, the inhibition of ileal FXR-FGF15 and activation of TGR5-GLP-1 signaling pathways in HMFS-fed rats were accompanied by the increased levels of enzymes involved in BA synthesis (CYP7A1, CYP27A1 and CYP7B1) in the liver and two key thermogenic proteins (PGC1α and UCP1) in perirenal adipose tissue, respectively. Moreover, increasing sn-2 palmitic TAGs and OPL to OPO ratio in HMFS also altered the microbiota composition both on the phylum and genus level in rats, predominantly microbes associated with bile-salt hydrolase activity, short-chain fatty acid production and reduced obesity risk, which suggested a beneficial effect on host microbial ecosystem. These observations provided important nutritional evidence for developing new HMFS products for infants. Full article
(This article belongs to the Section Pediatric Nutrition)
Show Figures

Figure 1

16 pages, 2948 KB  
Article
Production of Human Milk Fat Substitutes by Lipase-Catalyzed Acidolysis: Immobilization, Synthesis, Molecular Docking and Optimization Studies
by Cleide M. F. Soares, Milson S. Barbosa, Samuel B. Santos, Silvana Mattedi, Álvaro S. Lima, Matheus M. Pereira, Carla Tecelão and Suzana Ferreira-Dias
Catalysts 2023, 13(5), 825; https://doi.org/10.3390/catal13050825 - 29 Apr 2023
Cited by 7 | Viewed by 3427
Abstract
Human milk fat (HMF) triacylglycerols (TAGs) mainly contain palmitic acid esterified at the sn-2 position while oleic and other unsaturated fatty acids are located at positions sn-1,3. This study aimed at the production of HMF substitutes (HMFS) by lipase-catalyzed acidolysis of [...] Read more.
Human milk fat (HMF) triacylglycerols (TAGs) mainly contain palmitic acid esterified at the sn-2 position while oleic and other unsaturated fatty acids are located at positions sn-1,3. This study aimed at the production of HMF substitutes (HMFS) by lipase-catalyzed acidolysis of tripalmitin with oleic acid, in a solvent-free medium. Burkholderia cepacia lipase (BCL) was immobilized in silica (prepared with protic or aprotic ionic liquids) by covalent binding or encapsulation and used as biocatalyst. The supports and immobilized biocatalysts were characterized by FTIR, TGA, and SEM. Molecular docking analysis showed that BCL preferentially attacks oleic acid rather than tripalmitin, due to the lower free energy of hydrophobic binding with this acid (−6.5 kcal·mol−1) than with tripalmitin (5.4 kcal·mol−1). Therefore, the tripalmitin attack by BCL and subsequent HMFS production only occurs after the binding to most of the oleic acid molecules. The highest acidolysis activity was obtained with BCL immobilized by covalent binding in prepared silica with aprotic ionic liquid. A central composite rotatable design, as a function of temperature (58–72 °C) and oleic acid/tripalmitin molar ratio (MR = 2:1–6.8:1), was performed for acidolysis optimization. Under optimized conditions (58 °C and MR = 4:1 or 60 °C and MR = 2:1), the oleic acid incorporation of 28 mol.% was achieved after 48 h. Full article
Show Figures

Figure 1

17 pages, 2410 KB  
Article
Effects of Sodium Nitrate and Coated Methionine on Lactation Performance, Rumen Fermentation Characteristics, Amino Acid Metabolism, and Microbial Communities in Lactating Buffaloes
by Yanxia Guo, Zexiang Fan, Mengwei Li, Huade Xie, Lijuan Peng and Chengjian Yang
Microorganisms 2023, 11(3), 675; https://doi.org/10.3390/microorganisms11030675 - 7 Mar 2023
Cited by 8 | Viewed by 2781
Abstract
Sodium nitrate is used as a non-protein nitrogen supplement while methionine is considered as a common methionine additive for ruminants. This study investigated the effects of sodium nitrate and coated methionine supplementation on milk yield, milk composition, rumen fermentation parameters, amino acid composition, [...] Read more.
Sodium nitrate is used as a non-protein nitrogen supplement while methionine is considered as a common methionine additive for ruminants. This study investigated the effects of sodium nitrate and coated methionine supplementation on milk yield, milk composition, rumen fermentation parameters, amino acid composition, and rumen microbial communities in lactating buffaloes. Forty mid-lactation multiparous Murrah buffaloes within the initial days in milk (DIM) = 180.83 ± 56.78 d, milk yield = 7.63 ± 0.19 kg, body weight = 645 ± 25 kg were selected and randomly allocated into four groups (N = 10). All of animals received the same total mixed ratio (TMR) diet. Furthermore, the groups were divided into the control group (CON), 70 g/d sodium nitrate group (SN), 15 g/d palmitate coated L-methionine group (MET), and 70 g/d sodium nitrate +15 g/d palmitate coated L-methionine group (SN+MET). The experiment lasted for six weeks, including two weeks of adaption. The results showed that most rumen-free amino acids, total essential amino acids, and total amino acids in Group SN increased (p < 0.05), while the dry matter intake (DMI) and rumen acetate, propionate, valerate, and total volatile fatty acids (TVFA) in Group MET decreased (p < 0.05). However, there was no significant difference in milk yield, milk protein, milk fat, lactose, total solid content, and sodium nitrate residue in milk among groups (p > 0.05). Group SN+MET had a decreased rumen propionate and valerate (p < 0.05), while increasing the Ace, Chao, and Simpson indices of alpha diversity of rumen bacteria. Proteobacteria and Actinobacteriota were significantly increased (p < 0.05) in Group SN+MET, but Bacteroidota, and Spirochaetota were decreased (p < 0.05). In addition, Group SN+MET also increased the relative abundance of Acinetobacter, Lactococcus, Microbacterium, Chryseobacterium, and Klebsiella, which were positively correlated with cysteine and negatively correlated with rumen acetate, propionate, valerate, and TVFA. Rikenellaceae_RC9_gut_group was identified as a biomarker in Group SN. Norank_f__UCG-011 was identified as a biomarker in Group MET. Acinetobacter, Kurthia, Bacillus, and Corynebacterium were identified as biomarkers in Group SN+MET. In conclusion, sodium nitrate increased rumen free amino acids, while methionine decreased dry matter intake (DMI) and rumen volatile fatty acids. The combined use of sodium nitrate and methionine enriched the species abundance of microorganisms in the rumen and affected the composition of microorganisms in the rumen. However, sodium nitrate, methionine, and their combination had no significant effect on the milk yield and milk composition. It was suggested that the combined use of sodium nitrate and methionine in buffalo production was more beneficial. Full article
(This article belongs to the Section Veterinary Microbiology)
Show Figures

Figure 1

15 pages, 2946 KB  
Article
Effects of the Novel LaPLa-Enriched Medium- and Long-Chain Triacylglycerols on Body Weight, Glycolipid Metabolism, and Gut Microbiota Composition in High Fat Diet-Fed C57BL/6J Mice
by Jinyuan Shi, Qianqian Wang, Chuang Li, Mengyu Yang, Muhammad Hussain, Junhui Zhang, Fengqin Feng and Hao Zhong
Molecules 2023, 28(2), 722; https://doi.org/10.3390/molecules28020722 - 11 Jan 2023
Cited by 7 | Viewed by 2999
Abstract
The roles of medium- and long-chain triacylglycerols (MLCT) on health benefits under high fat diet (HFD) conditions remain in dispute. This study was conducted to investigate the effects of novel LaPLa-rich MLCT on the glycolipid metabolism and gut microbiota in HFD-fed mice when [...] Read more.
The roles of medium- and long-chain triacylglycerols (MLCT) on health benefits under high fat diet (HFD) conditions remain in dispute. This study was conducted to investigate the effects of novel LaPLa-rich MLCT on the glycolipid metabolism and gut microbiota in HFD-fed mice when pork fat is half replaced with MLCT and palm stearin (PS). The results showed that although MLCT could increase the body weight in the mouse model, it can improve the energy utilization, regulate the glucose and lipid metabolism, and inhibit the occurrence of inflammation. Furthermore, 16S rRNA gene sequencing of gut microbiota indicated that PS and MLCT affected the overall structure of the gut microbiota to a varying extent and specifically changed the abundance of some operational taxonomic units (OTUs). Moreover, several OTUs belonging to the genera Dorea, Streptococcus, and g_Eryipelotrichaceae had a high correlation with obesity and obesity-related metabolic disorders of the host. Therefore, it can be seen that this new MLCT has different properties and functions from the previous traditional MLCT, and it can better combine the advantages of MLCT, lauric acid, and sn-2 palmitate, as well as the advantages of health function and metabolism. In summary, this study explored the effects of LaPLa-enriched lipids on glycolipid metabolism in mice, providing theoretical support for future studies on the efficacy of different types of conjugated lipids, intending to apply them to industrial production and subsequent development of related products. Full article
Show Figures

Figure 1

16 pages, 2853 KB  
Article
Evaluation of Fatty Acid Distributions and Triacylglycerol Species in Sow Milk and Commercial Piglet Formulas: A Comparative Study Based on Fat Sources and Lactation Stages
by Cuirong Ren, Jun Jin, Thom Huppertz, Yanbing Zhang, Qingzhe Jin and Xingguo Wang
Animals 2023, 13(1), 124; https://doi.org/10.3390/ani13010124 - 28 Dec 2022
Cited by 3 | Viewed by 2970
Abstract
Total fatty acid and sn-2 fatty acid compositions, and triacylglycerol (TAG) species in 130 sow colostrum, 100 sow milk, and 22 piglet formula samples were analyzed in the present study. Significant differences were found in concentrations of medium chain-saturated fatty acids (MC-SFAs) [...] Read more.
Total fatty acid and sn-2 fatty acid compositions, and triacylglycerol (TAG) species in 130 sow colostrum, 100 sow milk, and 22 piglet formula samples were analyzed in the present study. Significant differences were found in concentrations of medium chain-saturated fatty acids (MC-SFAs) and distributions of palmitic acid (P) and oleic (O)/linoleic (L) acid. The levels of MC-SFAs in sow colostrum and sow milk fats (2.4–3.1%) were significantly lower than those in piglet formulas (7.9–27.2%). Approximately 63% of palmitic acid was located at the sn-2 position in both sow colostrum and milk fats, which was significantly higher than in piglet formula fats (21.1–39.1%). Correspondingly, only 17.8–28.3% of oleic and linoleic acids were at the sn-2 position in sow milk fats, contributing to their typical triacylglycerol structure in sow colostrum and milk, whose palmitic acid connected to the sn-2 position and unsaturated fatty acids located at the sn-1,3 positions. Sow colostrum, milk, and piglet formulas were notably distinguished into three groups based on their fatty acids and TAGs, among which triacylglycerols were the most differentiated index. A total of 51 TAG species (including their isomers) differed significantly between sow colostrum and milk and piglet formulas. OPL and OPO were the most important differentiating TAGs. The large amount of sn-2 esterified palmitic acid plays a key role in improving the absorption of fat and calcium. The results provide suggestions for design of sow milk fat equivalents. Full article
(This article belongs to the Topic New Insights into the Milk 2.0)
(This article belongs to the Section Animal Products)
Show Figures

Figure 1

11 pages, 800 KB  
Article
Optimization of Lipid Extraction from Spirulina spp. by Ultrasound Application and Mechanical Stirring Using the Taguchi Method of Experimental Design
by Emilia Neag, Zamfira Stupar, Cerasel Varaticeanu, Marin Senila and Cecilia Roman
Molecules 2022, 27(20), 6794; https://doi.org/10.3390/molecules27206794 - 11 Oct 2022
Cited by 15 | Viewed by 3927
Abstract
The present study uses the Taguchi method of experimental design to optimize lipid extraction from Spirulina spp. by ultrasound application and mechanical stirring. A Taguchi L9 orthogonal array was used to optimize various parameters, such as methanol: chloroform (M:C) ratio, biomass: solvent [...] Read more.
The present study uses the Taguchi method of experimental design to optimize lipid extraction from Spirulina spp. by ultrasound application and mechanical stirring. A Taguchi L9 orthogonal array was used to optimize various parameters, such as methanol: chloroform (M:C) ratio, biomass: solvent ratio, and extraction time for lipid extraction. The results were analyzed using the signal-to-noise (S/N) ratio and analysis of variance (ANOVA). The biomass: solvent ratio significantly influenced lipid content (p < 0.05) with 92.1% and 92.3% contributions to the lipid and S/N ratio data, respectively. The extraction time presented a contribution value of 5.0%, while the M:C ratio presented the most negligible contribution of 0.4% for S/N data. The optimum extraction conditions were: M:C ratio of 1:1, biomass: solvent ratio of 1:60, and extraction time of 30 min. The predominant fatty acids were palmitic acid (44.5%), linoleic acid (14.9%), and gamma-linolenic acid (13.4%). The confirmation experiments indicated a lipid content of 8.7%, within a 95% confidence interval, proving the Taguchi method’s effectiveness in optimizing the process parameters for lipid extraction. Full article
Show Figures

Figure 1

Back to TopTop