Sign in to use this feature.

Years

Between: -

Subjects

remove_circle_outline
remove_circle_outline
remove_circle_outline
remove_circle_outline
remove_circle_outline

Journals

Article Types

Countries / Regions

Search Results (22)

Search Parameters:
Keywords = small gold nanorods

Order results
Result details
Results per page
Select all
Export citation of selected articles as:
17 pages, 2112 KB  
Article
Direct Detection of Orthoflavivirus via Gold Nanorod Plasmon Resonance
by Erica Milena de Castro Ribeiro, Bruna de Paula Dias, Cyntia Silva Ferreira, Samara Mayra Soares Alves dos Santos, Rajiv Gandhi Gopalsamy, Estefânia Mara do Nascimento Martins, Cintia Lopes de Brito Magalhães, Flavio Guimarães da Fonseca, Luiz Felipe Leomil Coelho, Cristiano Fantini, Luiz Orlando Ladeira, Lysandro Pinto Borges and Breno de Mello Silva
Sensors 2025, 25(15), 4775; https://doi.org/10.3390/s25154775 - 3 Aug 2025
Viewed by 1042
Abstract
Dengue, Zika, yellow fever, chikungunya, and Mayaro arboviruses represent an increasing threat to public health because of the serious infections they cause annually in many countries. Serological diagnosis of these viruses is challenging, making the development of new diagnostic strategies imperative. In this [...] Read more.
Dengue, Zika, yellow fever, chikungunya, and Mayaro arboviruses represent an increasing threat to public health because of the serious infections they cause annually in many countries. Serological diagnosis of these viruses is challenging, making the development of new diagnostic strategies imperative. In this study, we investigated the effectiveness of gold nanorods (GNRs) functionalized with specific anti-dengue and anti-orthoflavivirus antibodies in detecting viral particles. GNRs were created with a length-to-width ratio of up to 5.5, a size of 71.4 ± 6.5 nm, and a light absorption peak at 927 nm, and they were treated with 4 mM polyethyleneimine. These GNRs were attached to a small amount of monoclonal antibodies that target flaviviruses, and the viral particles were detected by measuring the localized surface plasmon resonance using an UV-Vis/NIR spectrometer. The tests found Orthoflavivirus dengue and Orthoflavivirus zikaense in diluted human serum and ground-up mosquitoes, with the lowest detectable amount being 100 PFU/mL. The GNRs described in this study can be used to enhance flavivirus diagnostic tests or to develop new, faster, and more accurate diagnostic techniques. Additionally, the functionalized GNRs presented here are promising for supporting virological surveillance studies in mosquitoes. Our findings highlight a fast and highly sensitive method for detecting Orthoflavivirus in both human and mosquito samples, with a detection limit as low as 100 PFU/mL. Full article
(This article belongs to the Section Biosensors)
Show Figures

Graphical abstract

17 pages, 6409 KB  
Article
Size Dependence of Gold Nanorods for Efficient and Rapid Photothermal Therapy
by Wei Zhou, Yanhua Yao, Hailing Qin, Xiaobo Xing, Zongbao Li, Min Ouyang and Haihua Fan
Int. J. Mol. Sci. 2024, 25(4), 2018; https://doi.org/10.3390/ijms25042018 - 7 Feb 2024
Cited by 10 | Viewed by 3899
Abstract
In recent years, gold nanomaterials have become a hot topic in photothermal tumor therapy due to their unique surface plasmon resonance characteristics. The effectiveness of photothermal therapy is highly dependent on the shape and size of gold nanoparticles. In this work, we investigate [...] Read more.
In recent years, gold nanomaterials have become a hot topic in photothermal tumor therapy due to their unique surface plasmon resonance characteristics. The effectiveness of photothermal therapy is highly dependent on the shape and size of gold nanoparticles. In this work, we investigate the photothermal therapeutic effects of four different sizes of gold nanorods (GNRs). The results show that the uptake of short GNRs with aspect ratios 3.3–3.5 by cells is higher than that of GNRs with aspect ratios 4–5.5. Using a laser with single pulse energy as low as 28 pJ laser for 20 s can induce the death of liver cancer cells co-cultured with short GNRs. Long GNRs required twice the energy to achieve the same therapeutic effect. The dual-temperature model is used to simulate the photothermal response of intracellular clusters irradiated by a laser. It is found that small GNRs are easier to compact because of their morphological characteristics, and the electromagnetic coupling between GNRs is better, which increases the internal field enhancement, resulting in higher local temperature. Compared with a single GNR, GNR clusters are less dependent on polarization and wavelength, which is more conducive to the flexible selection of excitation laser sources. Full article
(This article belongs to the Special Issue Functional Optical Nano/Micromaterials 2.0)
Show Figures

Figure 1

20 pages, 4706 KB  
Article
Effectiveness of Gold Nanorods of Different Sizes in Photothermal Therapy to Eliminate Melanoma and Glioblastoma Cells
by Javier Domingo-Diez, Lilia Souiade, Vanesa Manzaneda-González, Marta Sánchez-Díez, Diego Megias, Andrés Guerrero-Martínez, Carmen Ramírez-Castillejo, Javier Serrano-Olmedo and Milagros Ramos-Gómez
Int. J. Mol. Sci. 2023, 24(17), 13306; https://doi.org/10.3390/ijms241713306 - 27 Aug 2023
Cited by 15 | Viewed by 3713
Abstract
Gold nanorods are the most commonly used nanoparticles in photothermal therapy for cancer treatment due to their high efficiency in converting light into heat. This study aimed to investigate the efficacy of gold nanorods of different sizes (large and small) in eliminating two [...] Read more.
Gold nanorods are the most commonly used nanoparticles in photothermal therapy for cancer treatment due to their high efficiency in converting light into heat. This study aimed to investigate the efficacy of gold nanorods of different sizes (large and small) in eliminating two types of cancer cell: melanoma and glioblastoma cells. After establishing the optimal concentration of nanoparticles and determining the appropriate time and power of laser irradiation, photothermal therapy was applied to melanoma and glioblastoma cells, resulting in the highly efficient elimination of both cell types. The efficiency of the PTT was evaluated using several methods, including biochemical analysis, fluorescence microscopy, and flow cytometry. The dehydrogenase activity, as well as calcein-propidium iodide and Annexin V staining, were employed to determine the cell viability and the type of cell death triggered by the PTT. The melanoma cells exhibited greater resistance to photothermal therapy, but this resistance was overcome by irradiating cells at physiological temperatures. Our findings revealed that the predominant cell-death pathway activated by the photothermal therapy mediated by gold nanorods was apoptosis. This is advantageous as the presence of apoptotic cells can stimulate antitumoral immunity in vivo. Considering the high efficacy of these gold nanorods in photothermal therapy, large nanoparticles could be useful for biofunctionalization purposes. Large nanorods offer a greater surface area for attaching biomolecules, thereby promoting high sensitivity and specificity in recognizing target cancer cells. Additionally, large nanoparticles could also be beneficial for theranostic applications, involving both therapy and diagnosis, due to their superior detection sensitivity. Full article
(This article belongs to the Special Issue Nanomaterials for Cancer Diagnostics and Therapy)
Show Figures

Figure 1

8 pages, 2509 KB  
Article
Plasmonic Bound States in the Continuum to Tailor Exciton Emission of MoTe2
by Yuxuan Jin, Kai Wu, Bining Sheng, Wentao Ma, Zefeng Chen and Xiaofeng Li
Nanomaterials 2023, 13(13), 1987; https://doi.org/10.3390/nano13131987 - 30 Jun 2023
Cited by 5 | Viewed by 2600
Abstract
Plasmon resonances can greatly enhance light–matter interactions of two-dimensional van der Waals materials. However, the quality factor of plasmonic resonances is limited. Here, we demonstrate a plasmonic quasi-bound state in the continuum (quasi-BIC), which is composed of gold nanorod pairs. Through controlling the [...] Read more.
Plasmon resonances can greatly enhance light–matter interactions of two-dimensional van der Waals materials. However, the quality factor of plasmonic resonances is limited. Here, we demonstrate a plasmonic quasi-bound state in the continuum (quasi-BIC), which is composed of gold nanorod pairs. Through controlling the rotation angle of the nanorods, the quality factor of the plasmonic BIC mode can be tuned. Simulation results show that the plasmonic BIC combines the advantages of high-quality factor from the BIC effect and small mode volume from plasmonic resonance. Experiment results show that the designed plasmonic BIC mode exhibits a quality factor higher than 15 at the wavelength of around 1250 nm. Through integrating the plasmonic bound state structure with monolayer molybdenum ditelluride (MoTe2), the exciton emission of MoTe2 in the PL spectrum split into two exciton-polariton modes, which is attributed to the high Q factor and strong interaction between the BIC mode and excitons of MoTe2. Full article
Show Figures

Figure 1

11 pages, 3707 KB  
Article
Heading toward Miniature Sensors: Electrical Conductance of Linearly Assembled Gold Nanorods
by Marisa Hoffmann, Christine Alexandra Schedel, Martin Mayer, Christian Rossner, Marcus Scheele and Andreas Fery
Nanomaterials 2023, 13(9), 1466; https://doi.org/10.3390/nano13091466 - 25 Apr 2023
Cited by 3 | Viewed by 2556
Abstract
Metal nanoparticles are increasingly used as key elements in the fabrication and processing of advanced electronic systems and devices. For future device integration, their charge transport properties are essential. This has been exploited, e.g., in the development of gold-nanoparticle-based conductive inks and chemiresistive [...] Read more.
Metal nanoparticles are increasingly used as key elements in the fabrication and processing of advanced electronic systems and devices. For future device integration, their charge transport properties are essential. This has been exploited, e.g., in the development of gold-nanoparticle-based conductive inks and chemiresistive sensors. Colloidal wires and metal nanoparticle lines can also be used as interconnection structures to build directional electrical circuits, e.g., for signal transduction. Our scalable bottom-up, template-assisted self-assembly creates gold-nanorod (AuNR) lines that feature comparably small widths, as well as good conductivity. However, the bottom-up approach poses the question about the consistency of charge transport properties between individual lines, as this approach leads to heterogeneities among those lines with regard to AuNR orientation, as well as line defects. Therefore, we test the conductance of the AuNR lines and identify requirements for a reliable performance. We reveal that multiple parallel AuNR lines (>11) are necessary to achieve predictable conductivity properties, defining the level of miniaturization possible in such a setup. With this system, even an active area of only 16 µm2 shows a higher conductance (~10−5 S) than a monolayer of gold nanospheres with dithiolated-conjugated ligands and additionally features the advantage of anisotropic conductance. Full article
(This article belongs to the Special Issue Functional Nanomaterials Based on Self-Assembly)
Show Figures

Figure 1

11 pages, 27846 KB  
Article
Thermal Effect during Laser-Induced Plasmonic Heating of Polyelectrolyte-Coated Gold Nanorods in Well Plates
by Sujin Jiracheewanun, Michael B. Cortie and Dakrong Pissuwan
Nanomaterials 2023, 13(5), 845; https://doi.org/10.3390/nano13050845 - 24 Feb 2023
Cited by 4 | Viewed by 2902
Abstract
We examined the generation and transfer of heat when laser irradiation is applied to water containing a suspension of gold nanorods coated with different polyelectrolytes. The ubiquitous well plate was used as the geometry for these studies. The predictions of a finite element [...] Read more.
We examined the generation and transfer of heat when laser irradiation is applied to water containing a suspension of gold nanorods coated with different polyelectrolytes. The ubiquitous well plate was used as the geometry for these studies. The predictions of a finite element model were compared to experimental measurements. It is found that relatively high fluences must be applied in order to generate biologically relevant changes in temperature. This is due to the significant lateral heat transfer from the sides of the well, which strongly limits the temperature that can be achieved. A 650 mW continuous-wave (CW) laser, with a wavelength that is similar to the longitudinal plasmon resonance peak of the gold nanorods, can deliver heat with an overall efficiency of up to 3%. This is double the efficiency achievable without the nanorods. An increase in temperature of up to 15 °C can be achieved, which is suitable for the induction of cell death by hyperthermia. The nature of the polymer coating on the surface of the gold nanorods is found to have a small effect. Full article
(This article belongs to the Special Issue Synthesis and Characterization of Plasmonic Nanostructures)
Show Figures

Figure 1

17 pages, 3343 KB  
Article
Hybrid Nanoparticles of Citrate-Coated Manganese Ferrite and Gold Nanorods in Magneto-Optical Imaging and Thermal Therapy
by Saeideh Arsalani, Soudabeh Arsalani, Mileni Isikawa, Eder J. Guidelli, Ernesto E. Mazon, Ana Paula Ramos, Andris Bakuzis, Theo Z. Pavan, Oswaldo Baffa and Antonio A. O. Carneiro
Nanomaterials 2023, 13(3), 434; https://doi.org/10.3390/nano13030434 - 20 Jan 2023
Cited by 7 | Viewed by 3498
Abstract
The development of nanomaterials has drawn considerable attention in nanomedicine to advance cancer diagnosis and treatment over the last decades. Gold nanorods (GNRs) and magnetic nanoparticles (MNPs) have been known as commonly used nanostructures in biomedical applications due to their attractive optical properties [...] Read more.
The development of nanomaterials has drawn considerable attention in nanomedicine to advance cancer diagnosis and treatment over the last decades. Gold nanorods (GNRs) and magnetic nanoparticles (MNPs) have been known as commonly used nanostructures in biomedical applications due to their attractive optical properties and superparamagnetic (SP) behaviors, respectively. In this study, we proposed a simple combination of plasmonic and SP properties into hybrid NPs of citrate-coated manganese ferrite (Ci-MnFe2O4) and cetyltrimethylammonium bromide-coated GNRs (CTAB-GNRs). In this regard, two different samples were prepared: the first was composed of Ci-MnFe2O4 (0.4 wt%), and the second contained hybrid NPs of Ci-MnFe2O4 (0.4 wt%) and CTAB-GNRs (0.04 wt%). Characterization measurements such as UV-Visible spectroscopy and transmission electron microscopy (TEM) revealed electrostatic interactions caused by the opposing surface charges of hybrid NPs, which resulted in the formation of small nanoclusters. The performance of the two samples was investigated using magneto-motive ultrasound imaging (MMUS). The sample containing Ci-MnFe2O4_CTAB-GNRs demonstrated a displacement nearly two-fold greater than just using Ci-MnFe2O4; therefore, enhancing MMUS image contrast. Furthermore, the preliminary potential of these hybrid NPs was also examined in magnetic hyperthermia (MH) and photoacoustic imaging (PAI) modalities. Lastly, these hybrid NPs demonstrated high stability and an absence of aggregation in water and phosphate buffer solution (PBS) medium. Thus, Ci-MnFe2O4_CTAB-GNRs hybrid NPs can be considered as a potential contrast agent in MMUS and PAI and a heat generator in MH. Full article
Show Figures

Figure 1

11 pages, 5016 KB  
Article
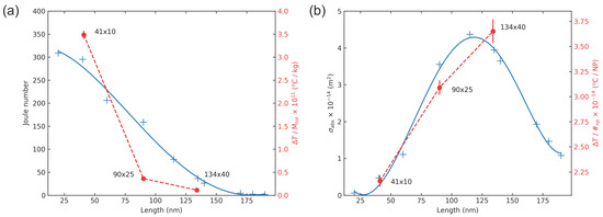
Selecting High-Performance Gold Nanorods for Photothermal Conversion
by Túlio de L. Pedrosa, Sajid Farooq and Renato E. de Araujo
Nanomaterials 2022, 12(23), 4188; https://doi.org/10.3390/nano12234188 - 25 Nov 2022
Cited by 21 | Viewed by 4613
Abstract
In this work, we establish a new paradigm on identifying optimal arbitrarily shaped metallic nanostructures for photothermal applications. Crucial thermo-optical parameters that rule plasmonic heating are appraised, exploring a nanoparticle size-dependence approach. Our results indicate two distinct figures of merit for the optimization [...] Read more.
In this work, we establish a new paradigm on identifying optimal arbitrarily shaped metallic nanostructures for photothermal applications. Crucial thermo-optical parameters that rule plasmonic heating are appraised, exploring a nanoparticle size-dependence approach. Our results indicate two distinct figures of merit for the optimization of metallic nanoheaters, under both non-cumulative femtosecond and continuum laser excitation. As a case study, gold nanorods are evaluated for infrared photothermal conversion in water, and the influence of the particle length and diameter are depicted. For non-cumulative femtosecond pulses, efficient photothermal conversion is observed for gold nanorods of small volumes. For continuous wave (CW) excitation at 800 nm and 1064 nm, the optimal gold nanorod dimensions (in water) are, respectively, 90 × 25nm and 150 × 30 nm. Figure of Merit (FoM) variations up to 700% were found considering structures with the same peak wavelength. The effect of collective heating is also appraised. The designing of high-performance plasmonic nanoparticles, based on quantifying FoM, allows a rational use of nanoheaters for localized photothermal applications. Full article
(This article belongs to the Section Nanophotonics Materials and Devices)
Show Figures

Figure 1

17 pages, 3524 KB  
Article
Composite Poly(vinyl alcohol)-Based Nanofibers Embedding Differently-Shaped Gold Nanoparticles: Preparation and Characterization
by Andrea Dodero, Maila Castellano, Paola Lova, Massimo Ottonelli, Elisabetta Brunengo, Silvia Vicini and Marina Alloisio
Polymers 2021, 13(10), 1604; https://doi.org/10.3390/polym13101604 - 16 May 2021
Cited by 4 | Viewed by 3148
Abstract
Poly(vinyl alcohol) nanofibrous mats containing ad hoc synthesized gold nanostructures were prepared via a single-step electrospinning procedure and investigated as a novel composite platform with several potential applications. Specifically, the effect of differently shaped and sized gold nanostructures on the resulting mat physical-chemical [...] Read more.
Poly(vinyl alcohol) nanofibrous mats containing ad hoc synthesized gold nanostructures were prepared via a single-step electrospinning procedure and investigated as a novel composite platform with several potential applications. Specifically, the effect of differently shaped and sized gold nanostructures on the resulting mat physical-chemical properties was investigated. In detail, nearly spherical nanoparticles and nanorods were first synthesized through a chemical reduction of gold precursors in water by using (hexadecyl)trimethylammonium bromide as the stabilizing agent. These nanostructures were then dispersed in poly(vinyl alcohol) aqueous solutions to prepare nanofibrous mats, which were then stabilized via a humble thermal treatment able to enhance their thermal stability and water resistance. Remarkably, the nanostructure type was proven to influence the mesh morphology, with the small spherical nanoparticles and the large nanorods leading to thinner well defined or bigger defect-rich nanofibers, respectively. Finally, the good mechanical properties shown by the prepared composite mats suggest their ease of handleability thereby opening new perspective applications. Full article
Show Figures

Figure 1

12 pages, 2444 KB  
Article
Laser Ablation-Assisted Synthesis of Plasmonic Si@Au Core-Satellite Nanocomposites for Biomedical Applications
by Ahmed Al-Kattan, Gleb Tselikov, Khaled Metwally, Anton A. Popov, Serge Mensah and Andrei V. Kabashin
Nanomaterials 2021, 11(3), 592; https://doi.org/10.3390/nano11030592 - 26 Feb 2021
Cited by 36 | Viewed by 3655
Abstract
Owing to strong plasmonic absorption and excellent biocompatibility, gold nanostructures are among best candidates for photoacoustic bioimaging and photothermal therapy, but such applications require ultrapure Au-based nanoformulations of complex geometry (core-shells, nanorods) in order to shift the absorption band toward the region of [...] Read more.
Owing to strong plasmonic absorption and excellent biocompatibility, gold nanostructures are among best candidates for photoacoustic bioimaging and photothermal therapy, but such applications require ultrapure Au-based nanoformulations of complex geometry (core-shells, nanorods) in order to shift the absorption band toward the region of relative tissue transparency (650–1000 nm). Here, we present a methodology for the fabrication of Si@Au core-satellite nanostructures, comprising of a Si core covered with small Au nanoparticles (NP), based on laser ablative synthesis of Si and Au NPs in water/ethanol solutions, followed by a chemical modification of the Si NPs by 3-aminopropyltrimethoxysilane (APTMS) and their subsequent decoration by the Au NPs. We show that the formed core-satellites have a red-shifted plasmonic absorption feature compared to that of pure Au NPs (520 nm), with the position of the peak depending on APTMS amount, water−ethanol solvent percentage and Si−Au volume ratio. As an example, even relatively small 40-nm core-satellites (34 nm Si core + 4 nm Au shell) provided a much red shifted peak centered around 610 nm and having a large tail over 700 nm. The generation of the plasmonic peak is confirmed by modeling of Si@Au core-shells of relevant parameters via Mie theory. Being relatively small and exempt of any toxic impurity due to ultraclean laser synthesis, the Si@Au core-satellites promise a major advancement of imaging and phototherapy modalities based on plasmonic properties of nanomaterials. Full article
Show Figures

Figure 1

12 pages, 3285 KB  
Article
Fabrication of Bioprobe Self-Assembled on Au–Te Nanoworm Structure for SERS Biosensor
by Soo Min Kim, Taek Lee, Yeong-Gyu Gil, Ga Hyeon Kim, Chulhwan Park, Hongje Jang and Junhong Min
Materials 2020, 13(14), 3234; https://doi.org/10.3390/ma13143234 - 21 Jul 2020
Cited by 10 | Viewed by 4243
Abstract
In the present study, we propose a novel biosensor platform using a gold-tellurium (Au–Te) nanoworm structure through surface-enhanced Raman spectroscopy (SERS). Au–Tenanoworm was synthesized by spontaneous galvanic replacement of sacrificial Te nanorods templated with Au (III) cations under ambient conditions. The fabricated Au–Te [...] Read more.
In the present study, we propose a novel biosensor platform using a gold-tellurium (Au–Te) nanoworm structure through surface-enhanced Raman spectroscopy (SERS). Au–Tenanoworm was synthesized by spontaneous galvanic replacement of sacrificial Te nanorods templated with Au (III) cations under ambient conditions. The fabricated Au–Te nanoworm exhibited an interconnected structure of small spherical nanoparticles and was found to be effective at enhancing Raman scattering. The Au–Te nanoworm-immobilized substrate exhibited the ability to detect thyroxine using an aptamer-tagged DNA three-way junction (3WJ) and glycoprotein 120 (GP120) human immunodeficiency virus (HIV) using an antibody. The modified substrates were investigated by scanning electron microscopy and atomic force microscopy (AFM). The optimal Au–Te nanoworm concentration and immobilization time for the thyroxine biosensor platform were further determined by SERS experimentation. Thus, the present study showed that the Au–Te nanoworm structure could be applied to various biosensor platforms. Full article
(This article belongs to the Special Issue Application of Nanoparticles as Biosensors in the Biomedical Field)
Show Figures

Figure 1

11 pages, 6039 KB  
Article
Interaction of Immune Cells and Tumor Cells in Gold Nanorod–Gelatin Composite Porous Scaffolds
by Xiuhui Wang, Naoki Kawazoe and Guoping Chen
Nanomaterials 2019, 9(10), 1367; https://doi.org/10.3390/nano9101367 - 24 Sep 2019
Cited by 6 | Viewed by 3377
Abstract
Composite porous scaffolds prepared by immobilization of photothermal nano-agents into porous scaffold have been used for both cancer therapy and tissue regeneration. However, it is not clear how the host immune cells and ablated tumor cells interact and stimulate each other in the [...] Read more.
Composite porous scaffolds prepared by immobilization of photothermal nano-agents into porous scaffold have been used for both cancer therapy and tissue regeneration. However, it is not clear how the host immune cells and ablated tumor cells interact and stimulate each other in the composite scaffolds. In this research, a gold nanorod-incorporated gelatin composite scaffold with controlled spherical large pores and well interconnected small pores was fabricated by using ice particulates as a porogen. The composite porous scaffold was used for investigating the interaction between dendritic cells and photothermally ablated breast tumor cells. The composite scaffold demonstrated excellent photothermal property and the temperature change value could be adjusted by irradiation time and laser power density. The composite scaffold showed excellent photothermal ablation ability towards breast tumor cells. The photothermally ablated tumor cells induced activation of dendritic cells when immature dendritic cells were co-cultured in the composite scaffold. Consequently, the gold nanorod–incorporated gelatin composite porous scaffold should provide a useful platform for simultaneous photothermal-immune ablation of breast tumor. Full article
(This article belongs to the Special Issue Frontiers in Nanomaterials for Clinical Imaging and Selective Therapy)
Show Figures

Figure 1

18 pages, 4969 KB  
Article
Facile Strategy for the Synthesis of Gold@Silica Hybrid Nanoparticles with Controlled Porosity and Janus Morphology
by Marina Santana Vega, Andrés Guerrero Martínez and Fabio Cucinotta
Nanomaterials 2019, 9(3), 348; https://doi.org/10.3390/nano9030348 - 3 Mar 2019
Cited by 13 | Viewed by 7526
Abstract
Hybrid materials prepared by encapsulation of plasmonic nanoparticles in porous silica systems are of increasing interest due to their high chemical stability and applications in optics, catalysis and biological sensing. Particularly promising is the possibility of obtaining gold@silica nanoparticles (Au@SiO2 NPs) with [...] Read more.
Hybrid materials prepared by encapsulation of plasmonic nanoparticles in porous silica systems are of increasing interest due to their high chemical stability and applications in optics, catalysis and biological sensing. Particularly promising is the possibility of obtaining gold@silica nanoparticles (Au@SiO2 NPs) with Janus morphology, as the induced anisotropy can be further exploited to achieve selectivity and directionality in physical interactions and chemical reactivity. However, current methods to realise such systems rely on the use of complex procedures based on binary solvent mixtures and varying concentrations of precursors and reaction conditions, with reproducibility limited to specific Au@SiO2 NP types. Here, we report a simple one-pot protocol leading to controlled crystallinity, pore order, monodispersity, and position of gold nanoparticles (AuNPs) within mesoporous silica by the simple addition of a small amount of sodium silicate. Using a fully water-based strategy and constant content of synthetic precursors, cetyl trimethylammonium bromide (CTAB) and tetraethyl orthosilicate (TEOS), we prepared a series of four silica systems: (A) without added silicate, (B) with added silicate, (C) with AuNPs and without added silicate, and (D) with AuNPs and with added silicate. The obtained samples were characterised by transmission electron microscopy (TEM), small angle X-ray scattering (SAXS), and UV-visible spectroscopy, and kinetic studies were carried out by monitoring the growth of the silica samples at different stages of the reaction: 1, 10, 15, 30 and 120 min. The analysis shows that the addition of sodium silicate in system B induces slower MCM-41 nanoparticle (MCM-41 NP) growth, with consequent higher crystallinity and better-defined hexagonal columnar porosity than those in system A. When the synthesis was carried out in the presence of CTAB-capped AuNPs, two different outcomes were obtained: without added silicate, isotropic mesoporous silica with AuNPs located at the centre and radial pore order (C), whereas the addition of silicate produced Janus-type Au@SiO2 NPs (D) in the form of MCM-41 and AuNPs positioned at the silica–water interface. Our method was nicely reproducible with gold nanospheres of different sizes (10, 30, and 68 nm diameter) and gold nanorods (55 × 19 nm), proving to be the simplest and most versatile method to date for the realisation of Janus-type systems based on MCM-41-coated plasmonic nanoparticles. Full article
(This article belongs to the Special Issue Supramolecular Nano-architectures)
Show Figures

Graphical abstract

25 pages, 4702 KB  
Review
Structural Asymmetry and Kinetic Limping of Single Rotary F-ATP Synthases
by Hendrik Sielaff, Seiga Yanagisawa, Wayne D. Frasch, Wolfgang Junge and Michael Börsch
Molecules 2019, 24(3), 504; https://doi.org/10.3390/molecules24030504 - 30 Jan 2019
Cited by 19 | Viewed by 7279
Abstract
F-ATP synthases use proton flow through the FO domain to synthesize ATP in the F1 domain. In Escherichia coli, the enzyme consists of rotor subunits γεc10 and stator subunits (αβ)3δab2. Subunits c10 [...] Read more.
F-ATP synthases use proton flow through the FO domain to synthesize ATP in the F1 domain. In Escherichia coli, the enzyme consists of rotor subunits γεc10 and stator subunits (αβ)3δab2. Subunits c10 or (αβ)3 alone are rotationally symmetric. However, symmetry is broken by the b2 homodimer, which together with subunit δa, forms a single eccentric stalk connecting the membrane embedded FO domain with the soluble F1 domain, and the central rotating and curved stalk composed of subunit γε. Although each of the three catalytic binding sites in (αβ)3 catalyzes the same set of partial reactions in the time average, they might not be fully equivalent at any moment, because the structural symmetry is broken by contact with b2δ in F1 and with b2a in FO. We monitored the enzyme’s rotary progression during ATP hydrolysis by three single-molecule techniques: fluorescence video-microscopy with attached actin filaments, Förster resonance energy transfer between pairs of fluorescence probes, and a polarization assay using gold nanorods. We found that one dwell in the three-stepped rotary progression lasting longer than the other two by a factor of up to 1.6. This effect of the structural asymmetry is small due to the internal elastic coupling. Full article
(This article belongs to the Special Issue Single-Molecule Fluorescence Spectroscopy)
Show Figures

Figure 1

9 pages, 3295 KB  
Article
Length-Dependent Electronic Transport Properties of the ZnO Nanorod
by Baorui Huang, Fuchun Zhang, Yanning Yang and Zhiyong Zhang
Micromachines 2019, 10(1), 26; https://doi.org/10.3390/mi10010026 - 31 Dec 2018
Cited by 3 | Viewed by 3697
Abstract
The two-probe device of nanorod-coupled gold electrodes is constructed based on the triangular zinc oxide (ZnO) nanorod. The length-dependent electronic transport properties of the ZnO nanorod was studied by density functional theory (DFT) with the non-equilibrium Green’s function (NEGF). Our results show that [...] Read more.
The two-probe device of nanorod-coupled gold electrodes is constructed based on the triangular zinc oxide (ZnO) nanorod. The length-dependent electronic transport properties of the ZnO nanorod was studied by density functional theory (DFT) with the non-equilibrium Green’s function (NEGF). Our results show that the current of devices decreases with increasing length of the ZnO nanorod at the same bias voltage. Metal-like behavior for the short nanorod was observed under small bias voltage due to the interface state between gold and the ZnO nanorod. However, the influence of the interface on the device was negligible under the condition that the length of the ZnO nanorod increases. Moreover, the rectification behavior was observed for the longer ZnO nanorod, which was analyzed from the transmission spectra and molecular-projected self-consistent Hamiltonian (MPSH) states. Our results indicate that the ZnO nanorod would have potential applications in electronic-integrated devices. Full article
Show Figures

Figure 1

Back to TopTop