Sign in to use this feature.

Years

Between: -

Subjects

remove_circle_outline
remove_circle_outline
remove_circle_outline
remove_circle_outline
remove_circle_outline
remove_circle_outline
remove_circle_outline
remove_circle_outline
remove_circle_outline

Journals

remove_circle_outline
remove_circle_outline
remove_circle_outline
remove_circle_outline
remove_circle_outline
remove_circle_outline
remove_circle_outline

Article Types

Countries / Regions

remove_circle_outline
remove_circle_outline

Search Results (378)

Search Parameters:
Keywords = slacks analysis

Order results
Result details
Results per page
Select all
Export citation of selected articles as:
21 pages, 437 KB  
Article
The Impact of Sequential Cross-Border Mergers and Acquisitions on Innovation Boundaries
by Huili Guo, Pingfeng Liu, Luyao Gao and Deyun Xiao
Systems 2026, 14(2), 157; https://doi.org/10.3390/systems14020157 - 31 Jan 2026
Viewed by 30
Abstract
In the era of globalization, Chinese firms increasingly leverage sequential cross-border mergers and acquisitions to navigate complex international environments. Understanding the sustained impact of this strategy requires a holistic view beyond isolated transactions. Adopting an open systems perspective, this study examines how sequential [...] Read more.
In the era of globalization, Chinese firms increasingly leverage sequential cross-border mergers and acquisitions to navigate complex international environments. Understanding the sustained impact of this strategy requires a holistic view beyond isolated transactions. Adopting an open systems perspective, this study examines how sequential cross-border M&As influence the evolution of firms’ innovation boundaries as a dynamic system property. Combining grounded theory with textual analysis of Chinese M&A cases, this study develops an integrated systemic process framework and empirically tests it using data from Chinese listed firms (2002–2021) via fixed-effects models. Results reveal that sequential cross-border M&As act as external inputs that trigger internal system reconfiguration, significantly expanding innovation boundaries. This expansion process is mediated by dynamic capabilities, which constitute the firm’s core adaptive mechanism, and is moderated by resource slack that functions as critical system redundancy. These findings contribute to systems science by elucidating how firms, conceptualized as complex adaptive systems, transition from isolated deal-making to sustained capability building through iterative feedback loops in global competition. Full article
(This article belongs to the Section Systems Practice in Social Science)
15 pages, 2204 KB  
Article
Resolving Conflicting Goals in Manufacturing Supply Chains: A Deterministic Multi-Objective Approach
by Selman Karagoz
Systems 2026, 14(2), 126; https://doi.org/10.3390/systems14020126 - 27 Jan 2026
Viewed by 181
Abstract
In the context of manufacturing logistics, this study sheds light on the difficult task of concurrently optimizing cost, time, influence on sustainability, and spatial efficiency. Specifically, this addresses the integrated challenge of material handling equipment selection and facility space allocation, a crucial decision-making [...] Read more.
In the context of manufacturing logistics, this study sheds light on the difficult task of concurrently optimizing cost, time, influence on sustainability, and spatial efficiency. Specifically, this addresses the integrated challenge of material handling equipment selection and facility space allocation, a crucial decision-making domain where conventional single-objective methodologies frequently overlook vital considerations. While recent research predominantly relies on meta-heuristics and simulation-based solution methodologies, they do not guarantee a global optimum solution space. To effectively address this multifaceted decision environment, a Mixed-Integer Linear Programming (MILP) model is developed and resolved utilizing two distinct scalarization methodologies: the conventional ϵ-constraint method and the augmented ϵ-constraint method (AUGMECON2). The comparative analysis indicates that although both methods effectively identify the Pareto front, the AUGMECON2 approach offers a more robust assurance of solution efficiency by incorporating slack variables. The results illustrate a convex trade-off between capital expenditure and operational flow time, indicating that substantial reductions in time necessitate strategic investments in higher-capacity equipment fleets. Furthermore, the analysis underscores a significant conflict between achieving extreme operational efficiency and adhering to facility design standards, as reducing time or energy consumption beyond a specific point requires deviations from optimal space allocation policies. Ultimately, a “Best Compromise Solution” is determined that harmonizes near-optimal operational efficiency with strict compliance to spatial constraints, providing a resilient framework for sustainable manufacturing logistical planning. Full article
(This article belongs to the Special Issue Operations Research in Optimization of Supply Chain Management)
Show Figures

Figure 1

28 pages, 2587 KB  
Article
Drivers of Carbon Emission Efficiency in the Construction Industry: Evidence from the Yangtze River Economic Belt
by Min Chen, Shuqi Fan, Yuan Gao, Vishwa Akalanka Udaya Bandara Konara Mudiyanselage and Lili Zhang
Buildings 2026, 16(2), 384; https://doi.org/10.3390/buildings16020384 - 16 Jan 2026
Viewed by 122
Abstract
Carbon emission reduction in the construction industry is pivotal for global carbon emission reduction, yet the lack of coordination mechanisms within the sector limits its effectiveness. This study examines the Yangtze River Economic Belt from 2010 to 2022, capturing the spatial and temporal [...] Read more.
Carbon emission reduction in the construction industry is pivotal for global carbon emission reduction, yet the lack of coordination mechanisms within the sector limits its effectiveness. This study examines the Yangtze River Economic Belt from 2010 to 2022, capturing the spatial and temporal evolution characteristics and key influencing factors of carbon emission efficiency in the construction industry (CEECI) to achieve coordinated emission reduction. Using the super-efficiency Slack-Based Measure (SBM) model and the Malmquist–Luenberger (ML) index, the study analyzes changes in CEECI, revealing significant regional variations: downstream, midstream, and upstream regions demonstrated average values of 1.10, 1.00, and 0.68, respectively. Resource redundancy is a major issue affecting CEECI, with energy redundancy rates exceeding 20%. The ML index indicates continuous improvement in CEECI, with technological change (TC) contributing the most to this improvement, as shown by index decomposition. Spatial analysis using Moran’s index (Moran’s I) revealed significant positive spatial autocorrelation, with distinct “high-high” (H-H) and “low-low” (L-L) clustering patterns, suggesting that regions with high CEECI positively influence their neighbors. Finally, we built a spatial econometric model to identify key influencing factors, including industrialization level, construction industry production level, energy consumption structure, human resources, and internal innovation levels, which directly or indirectly impact CEECI to varying degrees. These findings highlight the importance of regional coordination and targeted policy interventions to enhance carbon emission efficiency in the construction industry, addressing resource redundancy and leveraging technological advancements to contribute to global carbon reduction goals. Full article
Show Figures

Figure 1

26 pages, 12455 KB  
Article
Analysis of Geometric Wave Impedance Effect and Stress Wave Propagation Mechanism in Slack Wire Ropes
by Enze Zhou, Yonglei Dai, Ge Wang, Kaijie Yang, Runyuan Zheng and Lin Li
Appl. Sci. 2026, 16(2), 754; https://doi.org/10.3390/app16020754 - 11 Jan 2026
Viewed by 180
Abstract
The dynamic behavior of relaxed steel wire ropes under slowly varying pulse loads is dominated by the geometric wave impedance effect caused by the helical geometric topology. This study proposes a numerical analysis framework based on high-fidelity parametric solid modeling and implicit dynamics [...] Read more.
The dynamic behavior of relaxed steel wire ropes under slowly varying pulse loads is dominated by the geometric wave impedance effect caused by the helical geometric topology. This study proposes a numerical analysis framework based on high-fidelity parametric solid modeling and implicit dynamics to investigate a Seale-type 6×19S-WSC steel wire rope. Under baseline conditions without pretension and friction, the helical structure forces significant modal conversion and geometric scattering of the axially incident waves, producing an energy attenuation effect akin to “geometric filtering”. Parametric analysis varying the core wire diameter reveals that the helical structure causes the axial wave speed to decrease by orders of magnitude compared to the material’s inherent wave speed. Furthermore, changes in core wire size induce a non-monotonic variation in the dynamic response, revealing a competitive mechanism between overall stiffness increase and a “dynamic decoupling” effect caused by interlayer gaps. This study confirms the dominant role of geometric wave impedance in the dynamic performance of relaxed steel wire ropes. Full article
Show Figures

Figure 1

22 pages, 344 KB  
Article
The Impact of Green Supply Chain Pressures on Corporate Sustainability: The Role of Resource-Intensive Pathways and Financial Constraints
by Qiyuan Fan, Jiajun Liu and Wenwen Yu
Sustainability 2026, 18(2), 694; https://doi.org/10.3390/su18020694 - 9 Jan 2026
Viewed by 266
Abstract
Despite growing interest in sustainable supply chains, we still know relatively little about how environmental requirements transmitted from key customers along the supply chain affect firms’ productivity and long-run economic sustainability. To address this gap, we introduce the notion of green supply chain [...] Read more.
Despite growing interest in sustainable supply chains, we still know relatively little about how environmental requirements transmitted from key customers along the supply chain affect firms’ productivity and long-run economic sustainability. To address this gap, we introduce the notion of green supply chain pressure, downstream customers’ explicit green and low-carbon requirements on suppliers, and examine its implications for firm-level productivity and the mechanisms involved. Using a panel of Chinese A-share listed firms over 2014–2024, we construct a novel text-based index of green supply chain pressure by combining supply-chain relationship data with MD&A disclosures of major customers. Firm-level economic sustainability is measured by Levinsohn–Petrin total factor productivity, with Olley–Pakes estimates used for robustness. Fixed-effects regressions with industry–year and city–year controls show that stronger green supply chain pressure is associated with significantly higher productivity. Mediation analysis reveals that this effect operates partly through three resource-intensive adjustment channels: (i) a higher share of green patents in total innovation, (ii) capital deepening via a higher share of digital and intelligent fixed assets in total net fixed assets, and (iii) human capital upgrading through a larger proportion of highly educated employees. Interaction models further indicate that financing constraints critically condition these gains: the productivity effect of green supply chain pressure is stronger for firms with greater financial slack, and for high-tech, green-attribute and larger firms. Overall, the results highlight supply chain-based governance as a powerful complement to formal regulation for promoting long-run economic sustainability at the firm level. Full article
(This article belongs to the Section Economic and Business Aspects of Sustainability)
35 pages, 2970 KB  
Article
Sustainable Land-Use Policy: Land Price Circuit Breaker
by Jianhua Wang
Sustainability 2025, 17(24), 11232; https://doi.org/10.3390/su172411232 - 15 Dec 2025
Viewed by 326
Abstract
Rising residential land prices push up housing prices and worsen credit misallocation. These patterns emerge amid cyclical real estate fluctuations and heavy land-based public finance. Such pressures undermine macroeconomic stability and sustainable land-use. The land price circuit breaker is widely applied with a [...] Read more.
Rising residential land prices push up housing prices and worsen credit misallocation. These patterns emerge amid cyclical real estate fluctuations and heavy land-based public finance. Such pressures undermine macroeconomic stability and sustainable land-use. The land price circuit breaker is widely applied with a price cap and state dependence, yet its trigger mechanism and interaction with inflation targeting remain underexplored. This study addresses three core questions. First, how does the circuit breaker’s discrete trigger and rule-switching logic differ from traditional static price ceilings? Second, can the mechanism, via the collateral channel, restrain excessive land price hikes, improve credit allocation, and, thereby, stabilize land price dynamics and long-run macroeconomic performance? Third, how does the circuit breaker interact with inflation targeting, and through which endogenous channels does a strict target dampen housing prices and raise activation probability? This study develops a multi-sector DSGE model with an embedded land price circuit breaker. The price cap is modeled as an occasionally binding constraint. A dynamic price band and trigger indicator capture the policy’s switch between slack and binding states. The framework incorporates interactions among local governments, the central bank, developers, and households. It also links firms and the secondary housing market. Under different inflation-targeting rules, this study uses impulse responses, an event study, and welfare analysis to assess trigger conditions and macroeconomic effects. The findings are threefold. First, a strict inflation target increases the probability of a circuit breaker being triggered. It channels housing-demand shocks toward land prices and creates a “nominal anchor–relative price constraint” linkage. Second, once activated, the circuit breaker narrows the gap between land price and house-price growth. It weakens the procyclicality of collateral values. It also restrains credit expansion by impatient households. These effects redirect credit toward firms, improve corporate financing, reduce the decline in investment, and accelerate output recovery. Third, the circuit breaker limits new land supply and shifts demand toward the secondary housing market. This generates a supply-side effect that releases existing stock and stabilizes prices, thereby weakening the amplification mechanism of housing cycles. This study identifies the endogenous trigger logic and cross-market transmission of the land price circuit breaker under a strict inflation target. It shows that the mechanism is not merely a price-management tool in the land market but a systemic policy variable that links the real estate, finance, and fiscal sectors. By dampening real estate procyclicality, improving credit allocation, and stabilizing macroeconomic fluctuations, the mechanism offers new insights for sustainable land-use policy and macroeconomic stabilization. Full article
(This article belongs to the Section Economic and Business Aspects of Sustainability)
Show Figures

Figure 1

14 pages, 1572 KB  
Article
Comparative Assessment of Microbial Colonization and Tissue Reaction Among Three Suture Materials: A Randomized Controlled Trial
by José Manuel Alarcón Cordovilla, María Victoria Olmedo-Gaya, María Teresa Arias-Moliz, Adela Baca García, David Sánchez-Porras, María Pilar Quesada-García and María Nuria Romero-Olid
Antibiotics 2025, 14(12), 1265; https://doi.org/10.3390/antibiotics14121265 - 15 Dec 2025
Viewed by 360
Abstract
Background: The aim of this study was to evaluate and compare the bacterial colonization, cytotoxicity, immune response, and clinical parameters of three different suture materials: multifilament silk (Silk®), monofilament nylon (Daclon®), and expanded polytetrafluoroethylene monofilament (PTFE®), in [...] Read more.
Background: The aim of this study was to evaluate and compare the bacterial colonization, cytotoxicity, immune response, and clinical parameters of three different suture materials: multifilament silk (Silk®), monofilament nylon (Daclon®), and expanded polytetrafluoroethylene monofilament (PTFE®), in surgical extractions of impacted mandibular third molars. Methods: This randomized controlled clinical trial was conducted on twenty-one patients requiring surgical extraction of an impacted third mandibular molar. A bayonet-shaped flap was sutured using all three materials in each patient. Bacterial cell counting and qPCR were assessed for microbiological analysis. In vitro cytotoxicity was studied with the metabolic activity WST-1 assay. Inflammatory response was evaluated through histological analysis. Clinical parameters—healing, handling, slack, pain, swelling and trimus—were recorded. Statistical significance was set at p ≤ 0.05. Results: Monofilament sutures accumulated fewer bacteria and DNA copies than Silk® (p < 0.05). The WST-1 assay revealed non-cytotoxic effects. Silk® presented an immune response with lymphocyte-like cells. The highest values of pain and inflammation were reached at 48 h, with a significant correlation between them (p < 0.05). Silk and nylon were more manageable than PTFE (p < 0.001), and nylon had less slack (p < 0.001). Conclusions: Silk showed the poorest microbiological and histological performance, with higher levels of bacterial colonization and a more pronounced inflammatory response compared to the other types of suture. Clinically, it offered better handling than PTFE (PTFE®), comparable to nylon (Daclon®), but it exhibited greater slack, which could prove less favorable for wound stability. None of the sutures showed in vitro cytotoxicity. Monofilament sutures, particularly nylon (Daclon®), showed better outcomes, acceptable handling, less bacterial colonization, and a milder inflammatory response. Full article
Show Figures

Figure 1

26 pages, 5161 KB  
Article
Active Heave Compensation for Ship–Cable–Body Systems via Real-Time PID-OrcFxAPI Framework and Multi-Maneuver Performance Analysis
by Lei Tan, Mengjie Jiang and Chaohe Chen
J. Mar. Sci. Eng. 2025, 13(12), 2287; https://doi.org/10.3390/jmse13122287 - 1 Dec 2025
Viewed by 443
Abstract
In harsh marine environments, during the operation of the Ship–Cable–Body coupled system, the towed cable may become slack or taut, and tension oscillations may occur, leading to cable breakage or launch and recovery system (LARS) damage, underscoring the need for effective compensation control. [...] Read more.
In harsh marine environments, during the operation of the Ship–Cable–Body coupled system, the towed cable may become slack or taut, and tension oscillations may occur, leading to cable breakage or launch and recovery system (LARS) damage, underscoring the need for effective compensation control. Traditional offline and static simulation methods fail to capture the system’s dynamics, leading to inaccurate validation of control strategies. To address this, we propose a real-time dynamic modeling framework using the OrcFxAPI, enabling millisecond-level bidirectional interaction between the towed body’s motion and LARS commands. By integrating a Python 3.10-based PID controller with OrcFxAPI, the framework achieves real-time active heave compensation (AHC) in deep-sea towing, dynamically adjusting cable length and payout speed based on feedback to suppress vibrations. Unlike prior studies focused on launch and recovery, this work systematically evaluates AHC performance during typical operations (hovering, linear and turning motion), and compares system responses with and without compensation. Results show the AHC framework significantly improves towed body stability, reduces tension fluctuations, and keeps tension within safe working limits (SWLs), while identifying critical cable payout speed thresholds for practical operation. The approach validates the use of OrcFxAPI for high-fidelity real-time coupling analysis and provides a reliable tool for optimizing control and design of deep-sea towing systems. Full article
(This article belongs to the Section Ocean Engineering)
Show Figures

Figure 1

27 pages, 451 KB  
Article
How Does Smart Logistics Influence Enterprise Innovation? Evidence from China
by Shuhui Xu, Yaodong Zhou and Yanan Wang
Systems 2025, 13(12), 1076; https://doi.org/10.3390/systems13121076 - 28 Nov 2025
Viewed by 855
Abstract
In the current external environment characterized by intensified supply chain uncertainties, promoting supply chain digitalization has become a critical pathway for enterprises to enhance their innovation capabilities. As a core component of digital supply chains, studying the role of smart logistics in enterprise [...] Read more.
In the current external environment characterized by intensified supply chain uncertainties, promoting supply chain digitalization has become a critical pathway for enterprises to enhance their innovation capabilities. As a core component of digital supply chains, studying the role of smart logistics in enterprise innovation holds significant theoretical value and practical importance. Based on the government work reports of prefecture-level cities in China from 2013 to 2022, this study employs a keyword frequency statistics approach to construct a city-level indicator for the development level of smart logistics. It examines the effect of smart logistics on innovation in China’s A-share listed companies, along with its underlying mechanisms and heterogeneity. The empirical results show that smart logistics can significantly promote enterprise innovation capability. The mechanism analysis indicates that smart logistics drives enterprise innovation by leveraging the talent effect, the organizational slack optimization effect, and the data element multiplier effect. Further heterogeneity analysis reveals that the innovation-promoting effect of smart logistics is more significant for enterprises in industries with high competition intensity. Moreover, in enterprises with high information transparency, the promoting effect of smart logistics on innovation is more pronounced. The research conclusions provide theoretical support and policy implications for integrating smart logistics into regional innovation ecosystems and for designing differentiated policies. Full article
(This article belongs to the Section Supply Chain Management)
Show Figures

Figure 1

16 pages, 2182 KB  
Article
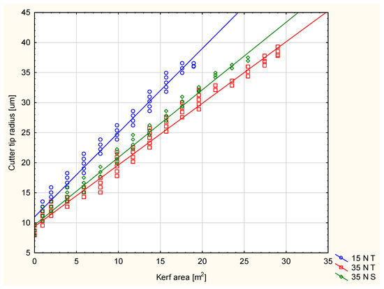
Impact of Feed Force and Initial Chain Tension on Chipper Chain Wear in Gasoline-Powered Chainsaws
by Adam Maciak and Magda Kubuśka-Orłowska
Forests 2025, 16(12), 1763; https://doi.org/10.3390/f16121763 - 22 Nov 2025
Viewed by 301
Abstract
The aim of the present study was to determine the effects of initial chain tension and feed force on the wear rate of chipper chain cutters in gasoline-powered chainsaws. Wear was assessed by measuring the tip radius as cutter dulling has a considerable [...] Read more.
The aim of the present study was to determine the effects of initial chain tension and feed force on the wear rate of chipper chain cutters in gasoline-powered chainsaws. Wear was assessed by measuring the tip radius as cutter dulling has a considerable influence on chainsaw performance. Tests were carried out for three feed force values: 15 N, 35 N, and 70 N, and for two initial tension settings—a tight chain and a slack chain. The tests also measured cutting efficiency per unit of kerf area. The experiments involved pine wood and were conducted on a specially designed test rig that maintained a constant feed force. The tip radius was determined by means of a microscope and computer image analysis software. Wear intensity over time was evaluated using the dulling coefficient. The results showed that the applied initial chain tension and feed force significantly affected the cutter wear rate, which was significantly higher at lower feed force values. The wear rate was also increased by lower initial chain tension, which can be explained by greater cutter deflection from the kerf plane. Full article
(This article belongs to the Special Issue New Insights into Wood Cutting and Wood Processing)
Show Figures

Figure 1

25 pages, 319 KB  
Article
Non-Financial Factors and Financial Returns: The Impact of Linking ESG Metrics to Executive Compensation on Corporate Financial Performance
by Tengteng Ding, Yiqiang Zhou and Lianghua Chen
Sustainability 2025, 17(22), 10220; https://doi.org/10.3390/su172210220 - 15 Nov 2025
Viewed by 2342
Abstract
Although the practice of linking Environmental, Social, and Governance (ESG) metrics to executive compensation (ESG compensation) has become increasingly common worldwide, consistent evidence of its economic consequences for corporate value remains limited. Drawing on agency theory and a sustainable governance perspective, this study [...] Read more.
Although the practice of linking Environmental, Social, and Governance (ESG) metrics to executive compensation (ESG compensation) has become increasingly common worldwide, consistent evidence of its economic consequences for corporate value remains limited. Drawing on agency theory and a sustainable governance perspective, this study examines how responsibility-oriented incentive mechanisms translate into corporate financial performance. Using textual data from a large sample of Chinese listed companies and employing the BERT deep learning model for empirical analysis, the results show that ESG compensation significantly improves subsequent financial performance. Further analysis reveals that this effect is primarily driven by incentives related to the environmental and social dimensions of compensation structures. In addition, ESG compensation enhances firms’ ESG rating performance and reduces rating divergence, thereby lowering stakeholders’ transaction costs. The moderating analysis indicates that managerial ability and financial slack both strengthen the positive effect of ESG compensation on financial performance. Overall, this study uncovers the internal mechanism through which ESG compensation promotes corporate value creation and clarifies its practical implications for sustainable corporate governance. Full article
22 pages, 493 KB  
Article
From ESG Performance to Corporate Resilience: Evidence from China’s Manufacturing Industry
by Hongying Liu, Wenjing Fan and Chaohong Li
Sustainability 2025, 17(21), 9672; https://doi.org/10.3390/su17219672 - 30 Oct 2025
Viewed by 1292
Abstract
Against the backdrop of global sustainable development goals, the resilience of manufacturing enterprises has become a critical topic. It serves as an important benchmark for assessing ability to coordinate environmental responsibilities and economic benefits. It also plays a pivotal role in driving the [...] Read more.
Against the backdrop of global sustainable development goals, the resilience of manufacturing enterprises has become a critical topic. It serves as an important benchmark for assessing ability to coordinate environmental responsibilities and economic benefits. It also plays a pivotal role in driving the green transformation of industries and sustainable social development. To examine the relationship between environmental, social, and governance (ESG) performance and corporate resilience, as well as their underlying mechanisms, this study develops a research model incorporating moderating and mediating effects. Using a sample of manufacturing listed companies in China’s Shanghai and Shenzhen A-share markets covering the period 2011–2023, the study systematically investigates the impact of ESG performance on corporate resilience. The results indicate that ESG performance significantly enhances corporate resilience, and this conclusion remains valid under various robustness tests. Further mechanism analysis reveals that ESG performance effectively promotes corporate resilience by improving resource allocation efficiency, with analyst attention exerting a positive moderating effect in this process. Heterogeneity analysis reveals that the promoting effect of ESG performance on corporate resilience is more significant in technology-intensive and labor-intensive industries, high environmental sensitivity industries, markets with intense competition, and firms with low resource slack. This study not only expands the theoretical explanatory framework in the fields of corporate sustainable development and organizational resilience but also provides policy and management implications for manufacturing firms to achieve green transformation and sustainable competitiveness through ESG practices in an uncertain environment. Full article
Show Figures

Figure 1

27 pages, 6702 KB  
Article
Study on Motion Performance and Mooring Tension Response of 16 MW Tension Leg Platform Floating Wind Turbine Under Extreme Environmental Conditions
by Xiaolong Yang, Yu Zhang, Shengwei Yan, Weihong Yu, Shunhang Lu, Haoshuang Wang and Wei Shi
J. Mar. Sci. Eng. 2025, 13(11), 2063; https://doi.org/10.3390/jmse13112063 - 29 Oct 2025
Viewed by 839
Abstract
This paper presents a 16 MW typhoon-resistant Tension Leg Platform floating offshore wind turbine (TLP FOWT) designed for the South China Sea. The survivability of the TLP FOWT under extreme environmental conditions is investigated through an integrated time-domain coupled analysis numerical model. The [...] Read more.
This paper presents a 16 MW typhoon-resistant Tension Leg Platform floating offshore wind turbine (TLP FOWT) designed for the South China Sea. The survivability of the TLP FOWT under extreme environmental conditions is investigated through an integrated time-domain coupled analysis numerical model. The accuracy of the numerical model is calibrated by comparing its results with experimental data. In comparisons of mooring system static stiffness tests and white noise tests, the results from the calibrated numerical model show good agreement with the experimental data. Regarding the free decay tests and the statistical time-domain response results, the most significant discrepancies are only 1.17% and 6.91%, respectively. Subsequently, the time-domain response of the numerical model was investigated under extreme South China Sea conditions, configured according to the IEC 61400-3-2 design load conditions. The safety of the design was then evaluated against ABS specifications. The analysis yielded maximum platform motion amplitudes and inclinations of 34.99 m (less than 30% of water depth) and below 1°, respectively. Under both 50-year and 500-year return period conditions, the platform maintained stable TLP motion characteristics with no tendon slackness, evidenced by a minimum tendon tension of 107.23 kN. All motion responses and tendon tensions complied with the ABS safety factors, confirming the design’s capability to ensure safe operation throughout its service life. The present work provides valuable insights for the design and risk assessment of future large-scale TLP FOWTs. Full article
(This article belongs to the Section Ocean Engineering)
Show Figures

Figure 1

21 pages, 3252 KB  
Article
Carbon-Oriented Eco-Efficiency of Cultivated Land Utilization Under Different Ownership Structures: Evidence from Arid Oases in Northwest China
by Jianlong Zhang, Weizhong Liu, Hongqi Wu, Ling Xie and Suhong Liu
Sustainability 2025, 17(21), 9369; https://doi.org/10.3390/su17219369 - 22 Oct 2025
Viewed by 410
Abstract
Cultivated land (CL) is essential for human survival, as its coordinated utilization plays a crucial role in both food production and ecological protection. In this study, we focus on Aksu, a typical oasis in arid areas of Xinjiang, to explore how to improve [...] Read more.
Cultivated land (CL) is essential for human survival, as its coordinated utilization plays a crucial role in both food production and ecological protection. In this study, we focus on Aksu, a typical oasis in arid areas of Xinjiang, to explore how to improve the eco-efficiency of cultivated land utilization (ECLU) from the perspective of carbon emissions under different ownership structures. The goal is to provide policy support for the sustainable intensification of CL in Aksu. The super-efficiency slack-based measure (Super-SBM) model was used to calculate the ECLU, while the carbon emissions coefficient method was employed to estimate cultivated land carbon emissions (CLCE). Additionally, the random forest regression (RFR) model was utilized to analyze differences in CLCE between collective and state-owned cultivated lands. Finally, a Geo-detector analysis was conducted to identify driving factors of CLCE. The findings indicate that the overall ECLU values in Aksu initially increased and subsequently decreased over time. During the study period, Kalpin showed the highest ECLU, followed by Wensu and Wushi. The total CLCE in Aksu demonstrated an initial increase followed by a decrease, but the overall trend was growth, from 3.7 t in 2008 to 5.63 t in 2019, on average. It was observed that carbon emissions from state-owned cultivated land were greater than those from collective cultivated land, and carbon emissions from non-food crops were higher than those from food crops. Furthermore, spatial heterogeneity was evident in the CLCE. The single factor detection results showed that the Local_GDP (q = 0.763, representing the explanatory power of the Local_GDP on cultivated land carbon emissions) was identified as the main driver of CLCE in Aksu. The interactive detection results indicated that the Local_GDP and Farmer income (0.839) had stronger effects on CLCE in Aksu than any other two factors. It was also found that ownership of CL directly affects CLCE and indirectly affects the ECLU. In conclusion, it is necessary to formulate corresponding countermeasures for improving the ECLU involving government intervention, as well as cooperation with farmers and other stakeholders, to address these issues effectively within Aksu’s agricultural sector. Full article
Show Figures

Figure 1

27 pages, 1272 KB  
Article
Efficiency Assessments and Regional Disparities of Green Cold Chain Logistics for Agricultural Products: Evidence from the Three Northeastern Provinces of China
by Chao Chen, Sixue Liu and Xiaojia Zhang
Sustainability 2025, 17(21), 9367; https://doi.org/10.3390/su17219367 - 22 Oct 2025
Viewed by 955
Abstract
Balancing the development of agricultural cold chain logistics with ecological conservation remains a critical challenge for green cold chain logistics in China’s three northeastern provinces. This study evaluates the efficiency of green cold chain logistics to promote synergy between logistics development and ecological [...] Read more.
Balancing the development of agricultural cold chain logistics with ecological conservation remains a critical challenge for green cold chain logistics in China’s three northeastern provinces. This study evaluates the efficiency of green cold chain logistics to promote synergy between logistics development and ecological sustainability. Using CiteSpace for keyword co-occurrence analysis and literature extraction, an evaluation index system comprising eight input and output indicators was constructed. The super-efficiency Slacks-Based Measure (SBM) model and the Malmquist–Luenberger (ML) productivity index were employed to assess efficiency from static and dynamic perspectives, respectively. Kernel density estimation was used to examine spatial distribution patterns, and the Dagum Gini coefficient was applied to decompose regional disparities. The results indicate that (1) overall efficiency remains relatively low, with ML index changes primarily driven by technological progress; (2) substantial regional differences exist among the three provinces in terms of distribution location, shape, and degree of polarization; and (3) inter-regional disparities are the main source of variation. A Tobit model further identified the key influencing factors, indicating that the level of economic development, growth of the tertiary industry, and informatization are the main drivers. These findings provide valuable insights for optimizing regional green cold chain logistics and promoting sustainable agricultural development. Full article
(This article belongs to the Section Economic and Business Aspects of Sustainability)
Show Figures

Figure 1

Back to TopTop