Sign in to use this feature.

Years

Between: -

Subjects

remove_circle_outline
remove_circle_outline
remove_circle_outline
remove_circle_outline
remove_circle_outline
remove_circle_outline
remove_circle_outline
remove_circle_outline
remove_circle_outline

Journals

remove_circle_outline
remove_circle_outline
remove_circle_outline
remove_circle_outline
remove_circle_outline
remove_circle_outline
remove_circle_outline
remove_circle_outline

Article Types

Countries / Regions

remove_circle_outline
remove_circle_outline
remove_circle_outline
remove_circle_outline
remove_circle_outline
remove_circle_outline
remove_circle_outline

Search Results (653)

Search Parameters:
Keywords = silica minerals

Order results
Result details
Results per page
Select all
Export citation of selected articles as:
20 pages, 4862 KB  
Article
An Investigation of Cracks in PK-Section Concrete Beams at Early Ages
by Zepeng Zhang, Jia Wang, Hongsheng Li, Xuefei Shi and Bin Huang
Buildings 2026, 16(2), 460; https://doi.org/10.3390/buildings16020460 - 22 Jan 2026
Viewed by 6
Abstract
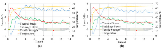
Early age cracking induced by cement hydration heat in a 37.6 m-wide PK-section concrete box girder was investigated through full-scale field testing and numerical simulation. Material properties, temperature, and strain were measured, and the obtained thermal and mechanical parameters were used to simulate [...] Read more.
Early age cracking induced by cement hydration heat in a 37.6 m-wide PK-section concrete box girder was investigated through full-scale field testing and numerical simulation. Material properties, temperature, and strain were measured, and the obtained thermal and mechanical parameters were used to simulate temperature and stress distributions during cantilever casting. Results show that direct casting on the foundation cap led to extensive vertical cracking in diaphragms, where tensile stresses exceeded concrete strength, corresponding to a cracking index of approximately 1.8, with thermal-to-shrinkage stress ratios up to 3:1 in critical regions. Under cantilever construction conditions, significant transverse stress occurred only at the diaphragm bottom, reaching a cracking index of about 1.6, with a thermal-to-shrinkage ratio of 2:1. Reducing casting temperature lowered thermal stress by 0.1 MPa/°C, while adding 0.9 kg/m3 polypropylene fibers increased early-age tensile strength by 15%. Optimized mix design or the inclusion of mineral admixtures such as silica fume further reduced shrinkage. The combined application of these measures effectively mitigated early-age cracking risk, providing practical guidance for the construction of wide-box girders in subtropical climates. Full article
Show Figures

Figure 1

22 pages, 13298 KB  
Article
Contribution from Subducted Continental Materials to Ultrapotassic Lamprophyre Dykes Associated with Gold Mineralization in the Baiyun Area, Liaodong Peninsula, NE China
by Chenggui Lin, Jingwen Mao, Zhicheng Lv, Xin Chen, Tingjie Yan, Zhizhong Cheng, Zhenshan Pang and Jianling Xue
Minerals 2026, 16(1), 96; https://doi.org/10.3390/min16010096 - 19 Jan 2026
Viewed by 106
Abstract
Ultrapotassic lamprophyre dykes are spatially closely related to gold deposits in collision tectonic belts. However, the potential implication of these lamprophyre dykes to gold deposits remains poorly constrained. Abundant ultrapotassic lamprophyre dykes in the Baiyun gold deposit of Liaodong Peninsula, NE China, are [...] Read more.
Ultrapotassic lamprophyre dykes are spatially closely related to gold deposits in collision tectonic belts. However, the potential implication of these lamprophyre dykes to gold deposits remains poorly constrained. Abundant ultrapotassic lamprophyre dykes in the Baiyun gold deposit of Liaodong Peninsula, NE China, are closely associated with Au orebodies. This presents an excellent opportunity to investigate the genesis and tectonic significance of these dykes, as well as their potential connection to gold mineralization. Here, based on LA-ICPMS zircon U-Pb age, petrogeochemistry, and Sr-Nd-Hf isotopic composition characteristics, we studied the ultrapotassic lamprophyre dykes in the Baiyun gold deposit. Zircon U-Pb dating of lamprophyre dykes is 225.7 ± 1.3 Ma, which is consistent with the previous auriferous pyrite Re-Os data results within error, indicating that the lamprophyre dykes and gold deposits formed simultaneously in the Late Triassic, which coincided with the exhumation of the deeply subducted South Chin Block (SCB). The lamprophyre dykes belong to the shoshonitic series (K2O + Na2O = 6.39–7.57 wt.%, K2O/Na2O = 3.99–8.74) and are enriched with magnesium (MgO = 5.33–6.40 wt.%, Mg# = 58–65), barium (Ba = 2225–3046 ppm), and strontium (Sr = 792–927 ppm), and their (87Sr/86Sr)i isotopic composition ranges from 0.712514 to 0.714831, εNd(t) ranges from −15.4 to −14.1, and zircon εHf(t) values range from −14.3 to −12.5. These correspond to Paleoproterozoic model ages between 2.1 and 2.3 Ga, which are comparable to the ultra-high-pressure metamorphic rocks with the SCB nature found in the Dabie–Sulu orogenic belt. The results demonstrate that the overlying lithospheric mantle was possibly metasomatized by subducted SCB-derived melts before magma generation under the North China Block (NCB) in the Late Triassic. The lamprophyre dykes with high Nb/U and Th/Yb values, enriched Ba, Sr, REE, Na2O + K2O, K2O/Na2O, and the LOI demonstrate that the metasomatic agents were hydrous, high-pressure melts. These melts likely resulted from the partial melting of subducted continental crust, which is attributed to phengite breakdown in the subduction continental channel. The silica-rich melts migrate from the plate into the sub-continental lithospheric mantle (SCLM) and form potassic- and volatile-enriched metasomatized SCLM. Subsequently, the partial melting of metasomatized SCLM due to the decompression and thinning may be the main mechanism to generate the syn-exhumation ultrapotassic magma in a post-collision setting. This study suggests that the SCLM, metasomatized by melts derived from continental crust, plays a key role in generating volatile-rich hydrous SCLM during the continental subduction and collision stage. In contrast, during the post-collision stage, as tectonic forces transition from compressional to extensional, the abundant volatiles and ultrapotassic magma produced from the partially melted and metasomatized lithospheric mantle may significantly contribute to the transportation, enrichment, and precipitation of gold through magmatic-hydrothermal processes, facilitating the formation of gold deposits. Full article
(This article belongs to the Section Mineral Geochemistry and Geochronology)
Show Figures

Figure 1

12 pages, 3500 KB  
Article
Hydrogeochemical Characteristics and Formation Mechanism of Metasilicic Acid Mineral Water at Taoping Water Source Area
by Dian Liu, Ximin Bai, Xuegang Wang, Shengpin Yu, Tian Li and Fei Deng
Water 2026, 18(2), 249; https://doi.org/10.3390/w18020249 - 17 Jan 2026
Viewed by 168
Abstract
Northwestern Jiangxi Province is rich in metasilicic acid (as H2SiO3) mineral water resources. Investigating their hydrogeochemical characteristics and formation mechanism is crucial for the rational utilization of water resources and the sustainable development of the local mineral water industry. [...] Read more.
Northwestern Jiangxi Province is rich in metasilicic acid (as H2SiO3) mineral water resources. Investigating their hydrogeochemical characteristics and formation mechanism is crucial for the rational utilization of water resources and the sustainable development of the local mineral water industry. Taking the Taoping water source area in northwestern Jiangxi as a case study, 11 sets of groundwater and surface water samples were systematically collected. By comprehensively applying mathematical statistics, ionic ratios, and isotopic analyses, the hydrogeochemical characteristics and formation processes of metasilicic acid-type mineral water were examined. The results indicate that: (1) The mineral waters in the area are weakly alkaline and belong to the metasilicic acid type, with concentrations ranging from 22.0 to 67.0 mg/L, of which 75% exceed 30 mg/L. (2) The primary hydrochemical types are HCO3–Ca·Na, HCO3–Ca·Mg, and HCO3–Ca. Analysis of stable isotopes (δ18O and δ2H) and tritium (3H) indicates that metasilicic acid mineral water is primarily recharged by atmospheric precipitation, with an apparent groundwater age of approximately 60 years. (3) The enrichment of metasilicic acid primarily results from the weathering and leaching of silicate minerals, coupled with cation exchange. K+ and Na+ are mainly derived from silicate minerals such as feldspars and halite, whereas Ca2+ and Mg2+ originate primarily from carbonate minerals like calcite and dolomite. During recharge, atmospheric precipitation infiltrates the aquifer, dissolving aluminosilicate and siliceous minerals in the surrounding rocks, thereby releasing metasilicic acid into the groundwater and ultimately forming the metasilicic acid-type mineral water. Full article
(This article belongs to the Section Hydrogeology)
Show Figures

Figure 1

17 pages, 3839 KB  
Article
Characteristics of Steel Slag and Properties of High-Temperature Reconstructed Steel Slag
by Zhiqiang Xu and Xiaojun Hu
Metals 2026, 16(1), 85; https://doi.org/10.3390/met16010085 - 13 Jan 2026
Viewed by 128
Abstract
The chemical composition, mineral composition, and mineral distribution characteristics of steel slag were characterized through petrographic analysis, X-ray diffraction (XRD), and particle size analysis. Limestone, silica, and silicomanganese slag were blended with converter steel slag to fabricate a reconstructed steel slag. Through burden [...] Read more.
The chemical composition, mineral composition, and mineral distribution characteristics of steel slag were characterized through petrographic analysis, X-ray diffraction (XRD), and particle size analysis. Limestone, silica, and silicomanganese slag were blended with converter steel slag to fabricate a reconstructed steel slag. Through burden calculation, the chemical composition ratio of this reconstructed steel slag approximated the silicate phase region. The high-temperature reconstruction process outside the furnace was simulated through reheating. The composition, structure, and cementitious characteristics of the reconstructed steel slag were investigated through X-ray diffraction (XRD), FactSage software (FactSage version 7.0 (GTT-Technologies, Aachen, Germany, 2015))analysis, scanning electron microscopy–energy dispersive spectroscopy (SEM–EDS) analysis, setting time determination, compressive strength measurement, and thermodynamic computation. The findings indicated that the primary mineral compositions of the reconstructed steel slag were predominantly silicates, such as Ca3Al2O6, Ca2SiO4, Ca2MgSi2O7, Ca2Al(AlSiO7), Ca2(SiO4), and FeAlMgO4. In comparison with the original steel slag, these compositions underwent substantial alterations. The α′-C2S phase appears at 1100 K and gradually transforms into α-C2S at 1650 K. The liquid phase begins to precipitate at approximately 1550 K. Spinel exists in the temperature range from 1300 to 1700 K, and Ca3MgSi2O8 melts into the liquid phase at 1400 K. As the temperature increases to 1600 K, the minerals C2AF, Ca2Fe2O5, and Ca2Al2O5 gradually melt into the liquid phase. Melilite melts into the liquid phase at 1700 K. It was observed that the initial and final setting times of the reconstructed steel slag exhibited reductions of 7 and 43 min, respectively, in comparison to those of the original steel slag. In comparison with steel slag, the compressive strength of the reconstructed steel slag exhibited an increase of 0.6 MPa at the 3-day strength stage, 1.6 MPa at the 7-day strength stage, and 3.4 MPa at the 28-day strength stage. The reduction in setting time and the enhancement in compressive strength verified the improved cementitious activity of the reconstructed steel slag. Thermodynamic calculations of the principal reactions of the reconstructed steel slag at elevated temperatures verified that the primary reaction at 1748 K is thermodynamically favorable. Full article
Show Figures

Graphical abstract

17 pages, 3334 KB  
Article
Roasting of Spodumene with Calcite at Atmospheric Pressure—Implications of Trace Potassium
by Enrique Garcia-Franco, María-Pilar Martínez-Hernando, Roberto Paredes, Yolanda Sanchez-Palencia, Pedro Mora and Marcelo F. Ortega
Metals 2026, 16(1), 59; https://doi.org/10.3390/met16010059 - 2 Jan 2026
Viewed by 469
Abstract
Lithium is an essential material for lightweight batteries. Traditional mining of soluble salts expanded to include the extraction of hard rocks, which requires their solubilization through roasting. Among hard lithium rocks, spodumene has recently received attention from the scientific community. Its metallurgical processing [...] Read more.
Lithium is an essential material for lightweight batteries. Traditional mining of soluble salts expanded to include the extraction of hard rocks, which requires their solubilization through roasting. Among hard lithium rocks, spodumene has recently received attention from the scientific community. Its metallurgical processing can be classified according to the type of reagents, as well as the operating temperature and pressure. The use of calcium carbonate as a natural alkali avoids aggressive chemicals such as sulfuric acid or caustic soda. In this article, 0.5 g of jewelry-grade spodumene was loaded into a ceramic crucible with 2.5 g of reducing agent in a tandem of roasting at 1050 °C-1 bar-30 min and leaching with neutral water at 90 °C-1 bar-20 min at a water/clinker mass ratio of 25. Measurements by XRD, ICP-OES, and SEM-EDX suggest a pathway of spodumene cracking because of poor contact with the reductant. Potassium present in the crucible acts as a flux and encapsulates spodumene crystals, causing lithium to end up bound to silica. While lithium metasilicate is barely soluble in water, leaching potassium aluminate hoards in the liquid. The empirical observations were supported with thermodynamic spontaneity studies, which required compiling the mineral properties based on open reference tabulations. Full article
Show Figures

Figure 1

10 pages, 1492 KB  
Article
A Coral- and Goose Down-Inspired Coating with Integrated Anti-Scaling and Heat Retention for Energy Conservation
by Ran Zhao, Zhihao Shang, Xiaosong Deng, Jinze Lan and Jingxin Meng
Biomimetics 2026, 11(1), 22; https://doi.org/10.3390/biomimetics11010022 - 1 Jan 2026
Viewed by 301
Abstract
Scaling and thermal loss on the surfaces of industrial equipment and pipelines usually lead to increased energy consumption and reduced operational efficiency. To solve these severe problems, developing advanced coatings with the dual functions of scale resistance and thermal insulation is an effective [...] Read more.
Scaling and thermal loss on the surfaces of industrial equipment and pipelines usually lead to increased energy consumption and reduced operational efficiency. To solve these severe problems, developing advanced coatings with the dual functions of scale resistance and thermal insulation is an effective approach. Inspired by the antifouling agents released from corals and the thermal insulation of goose down, we herein have developed a bioinspired hollow silica microsphere-based (BHSM) coating, exhibiting the synergistic effect of anti-scaling and thermal insulation properties. The BHSM coating is composed of aluminum phosphate (AP) as an inorganic adhesive and scale inhibitor, and hollow silica microspheres (HSMs) as a thermal insulator. In brief, the effective anti-scaling capability comes from released phosphate ions of AP adhesive for chelating with mineral ions, while the high thermal insulation results from the internal air of the HSMs. Compared to the stainless steel (SS 304), the BHSM coating exhibited ~86% scale reduction. Furthermore, the extremely low thermal conductivity of the HSMs endows the BHSM coating with excellent thermal insulation, resulting in a 20% reduction in heat loss relative to the SS 304 surface. Thus, this work presents a promising strategy for anti-scaling and thermal insulation in industrial equipment and pipelines. Full article
(This article belongs to the Section Biomimetic Surfaces and Interfaces)
Show Figures

Graphical abstract

20 pages, 9889 KB  
Article
Compositional and Mineralogical Diversity of Jezero Western Fan, Mars, Revealed by Elemental Observations
by Wenbo Huang, Haijun Cao, Yanqing Xin, Changqing Liu, Jiayuan Cui, Yiyi Zhao, Bin Xue and Zongcheng Ling
Remote Sens. 2026, 18(1), 140; https://doi.org/10.3390/rs18010140 - 31 Dec 2025
Viewed by 461
Abstract
The NASA Mars 2020 Mission Perseverance rover has conducted a four-Martian-year scientific campaign in the Jezero western fan, a typical fluvial–deltaic–lacustrine system on Mars. Equipped with the Planetary Instrument for X-ray Lithochemistry (PIXL) and SuperCam, the rover has collected high-resolution elemental data from [...] Read more.
The NASA Mars 2020 Mission Perseverance rover has conducted a four-Martian-year scientific campaign in the Jezero western fan, a typical fluvial–deltaic–lacustrine system on Mars. Equipped with the Planetary Instrument for X-ray Lithochemistry (PIXL) and SuperCam, the rover has collected high-resolution elemental data from abraded rock outcrops, providing a detailed geochemical and mineralogical characterization of key stratigraphic units. This work presents a systematic analysis of these targets, revealing distinct geochemical trends. Rocks from the delta front, upper fan, and margin units are enriched in Mg and Fe (e.g., mafic to ultramafic lithologies) and are depleted in Si, Al, Na, and Ca. These units share comparable mineral parageneses and exhibit pervasive alteration textures, in contrast to the more limited alteration observed in crater floor targets. Despite this, we also discussed insights derived from elemental data: (1) Low to medium chemical index of alteration (CIA) and modified index of alteration (MIA) values indicate limited silicate weathering. (2) Localized enrichments in Cl and Br suggest episodic mobilization of brines. (3) The presence of high-silica phases near the margin unit further points to hydrothermal processes. These observations suggest that sedimentation and diagenesis in the Jezero western delta were shaped by a complex interplay of fluvial, lacustrine, and localized hydrothermal processes. Full article
(This article belongs to the Special Issue Planetary Remote Sensing and Applications to Mars and Chang’E-6/7)
Show Figures

Graphical abstract

19 pages, 39940 KB  
Article
Key Factors Impacting the Decomposition Rate of REE Silicates During Sulfuric Acid Treatment
by Yves Thibault, Joanne Gamage McEvoy and Dominique Duguay
Minerals 2026, 16(1), 31; https://doi.org/10.3390/min16010031 - 27 Dec 2025
Viewed by 376
Abstract
The decomposition of silicates in sulfuric acid to extract rare earth elements (REE) is typically characterized by the formation of an amorphous silica layer surrounding the receding crystal that may act as a passivation barrier limiting the rate of mineral dissolution. In this [...] Read more.
The decomposition of silicates in sulfuric acid to extract rare earth elements (REE) is typically characterized by the formation of an amorphous silica layer surrounding the receding crystal that may act as a passivation barrier limiting the rate of mineral dissolution. In this context, sulfuric acid treatment experiments coupled with detailed characterization of the evolution of the decomposition reaction were performed on natural allanite (CaREEAl2Fe2+Si3O11O[OH]), as well as synthetic neodymium disilicate (Nd2Si2O7), orthosilicate (Ca2Nd8(SiO4)6O2), and orthophosphate (NdPO4) phases in order to investigate if there are key factors, operating on a wide range of silicates, that negatively impact REE recovery. While, as expected, the acid strength is the driver in promoting the decomposition of the orthophosphate, for the silicates investigated, no matter their crystalline structure and chemical resistance, there is a severe passivation mechanism at play in concentrated H2SO4. However, in all cases, this effect can be minimized by water dilution, which strongly enhances sulfate-forming cation transfer across the produced amorphous silica layer. Taking into consideration this distinct characteristic of the mode of decomposition of silicates in sulfuric acid should help in defining optimal extraction strategies. Full article
Show Figures

Figure 1

35 pages, 4169 KB  
Article
Rare Inclusions of Coexisting Silicate Glass and Cu-PGM Sulfides in Pt-Fe Nuggets, Northwest Ecuador: Fractionation, Decompression Exsolutions, and Partial Melting
by B. Jane Barron and Lawrence Barron
Minerals 2025, 15(12), 1329; https://doi.org/10.3390/min15121329 - 18 Dec 2025
Viewed by 334
Abstract
Pt-Fe alloys with abundant inclusions are from the Camumbi River placer deposit, Ecuador. They are derived from unknown Alaskan–Uralian-type intrusion(s) within the Late Cretaceous Naranjal accreted terrane. Compositions of our previously documented chilled silicate glass inclusions are increasingly fractioned from hydrous ferrobasalt to [...] Read more.
Pt-Fe alloys with abundant inclusions are from the Camumbi River placer deposit, Ecuador. They are derived from unknown Alaskan–Uralian-type intrusion(s) within the Late Cretaceous Naranjal accreted terrane. Compositions of our previously documented chilled silicate glass inclusions are increasingly fractioned from hydrous ferrobasalt to rhyolite in terms of TAS (total alkalis vs. silica). Their liquid lines of descent change from tholeiitic to the calc-alkaline magma series. Here, we document seven rare composite inclusion parageneses of Cu–PGM (platinum-group mineral) sulfides, each coexisting with and exsolved from related fractionated silicate glass (melt). Differentiation is dominated by fractional crystallization in PGM bulk compositions from tholeiitic silicate melts at the highest T (temperature): ~1018 °C. Silicate glass inclusions following the lower T calc-alkaline trend coexist with sulfide PGM parageneses that were likely differentiated, in terms of Pt-Rh-Pd and BMs (base metals), by incongruent melting due to decompression and S-degassing at ~983–830 °C. S-saturated sulfide melts become S-undersaturated below 845 °C. The calculated temperatures are for silicate glass. Pt-rich braggite shows increasing fractionation towards Pd-rich vysotskite within one inclusion paragenesis. A late braggite–vysotskite fractionation trend shows decreasing minor base metals (BMs). Thiospinels are dominated by cuprorhodsite. Minor thiospinels indicate Fe and then strong Ni enrichment at the lowest T. Decompression exsolutions, deflation, and the partial melting of some sulfide inclusion parageneses support rapid ascent to higher crustal levels within a deep-sourced cumulate intrusion. Full article
Show Figures

Figure 1

23 pages, 6609 KB  
Article
Study on Efficient Separation of Amorphous Silica from High-Alumina Coal Gangue
by Jingnan Hong, Weibing Ma, Hongwei Zhang and Naihe Yi
Minerals 2025, 15(12), 1317; https://doi.org/10.3390/min15121317 - 16 Dec 2025
Viewed by 290
Abstract
Coal gangue, a major industrial solid waste from coal mining and processing, requires efficient alumina and silica separation for high-value utilization. This study focused on mineral reaction mechanisms and characteristics of coal gangue during calcination and alkaline leaching. Results showed calcination at 900–1200 [...] Read more.
Coal gangue, a major industrial solid waste from coal mining and processing, requires efficient alumina and silica separation for high-value utilization. This study focused on mineral reaction mechanisms and characteristics of coal gangue during calcination and alkaline leaching. Results showed calcination at 900–1200 °C altered its phase composition, affecting silica separation efficiency, with the optimal calcination range being 960–1120 °C. Poorly crystallized mullite and Al2O3 in calcined gangue were insoluble under low-alkaline and low-temperature conditions. On the contrary, amorphous silica is soluble and forms a sodium silicate solution in the proper alkaline conditions. This characteristic facilitates the efficient separation of alumina and silica. It was determined that the suitable conditions for silica removal from coal gangue are as follows: 1080 °C calcination for 90 min, leaching at 75 °C with 200 g/L NaOH (solid–liquid ratio of 1:4) for 4 h. Under these selected conditions, the silica leaching efficiency was 77.31%, the alumina leaching efficiency was 12.21%, the Na2O content in the leached residue was 1.94%, and the mass ratio of alumina to silica (A/S) in the leached residue increased from 0.88 to 3.42. A potential desilication mechanism was also analyzed. Full article
(This article belongs to the Section Mineral Processing and Extractive Metallurgy)
Show Figures

Figure 1

19 pages, 3608 KB  
Article
Transforming Low-Value Quartz into Electronic-Grade Spherical SiO2 via a Morphology-Directed Hydrothermal Alkaline Process
by Yiqin Zhang, Hongjuan Sun, Tongjiang Peng, Saeed Rehman, Shize Chen, Lingyan Chu and Tao Chen
Minerals 2025, 15(12), 1296; https://doi.org/10.3390/min15121296 - 11 Dec 2025
Viewed by 457
Abstract
The conventional production of electronic-grade, high-purity, spherical silicon dioxide (SiO2) faces challenges of high raw material costs and poor control over particle morphology. This study presents an alternative route using low-cost, powdered quartz as a starting material. The quartz was first [...] Read more.
The conventional production of electronic-grade, high-purity, spherical silicon dioxide (SiO2) faces challenges of high raw material costs and poor control over particle morphology. This study presents an alternative route using low-cost, powdered quartz as a starting material. The quartz was first purified by flotation to remove any associated minerals, such as talc. Subsequently, deep purification was achieved through a hydrothermal alkaline process, which leveraged the distinct leaching kinetics of SiO2 and impurity ions (Al3+, Ca2+, Fe3+) under precisely controlled hydrothermal conditions (10 mL/g liquid-to-solid ratio, 3 mol/L NaOH, 200 °C, 8 h). This step yielded a sodium silicate solution with a purity of 99.999%. Spherical SiO2 particles were then synthesized from solutions of varying moduli via chemical precipitation. The condensation kinetics of silicate anionic species (Qn) during acidification were investigated, revealing how the Qn distribution governs the final particle size and morphology. The optimal product exhibited excellent characteristics: a sphericity ≥ 0.98, a median particle size (D50) of 400–500 nm, and a narrow particle size distribution (polydispersity index, PDI of 0.178–0.192). These properties surpass the requirements for the QYG-H Type 002 grade specified in the Chinese National Standard GB/T 32661-2016 (“Spherical Silica Powder”) and meet the standard for electronic-grade spherical SiO2. This work provides a fundamental insight into morphology control and a feasible technical pathway for the value-added utilization of powdered quartz and the production of electronic-grade spherical SiO2 with a narrow particle size distribution. Full article
(This article belongs to the Section Mineral Processing and Extractive Metallurgy)
Show Figures

Graphical abstract

21 pages, 4931 KB  
Article
Collaborative Optimization Design of Fluidity-Mechanical Properties of Grouting Material and Micro-Mechanism for Semi-Flexible Pavement
by Ping Wu, Junjie Lin, Ping Li, Zucan Jin, Fuyang Guan, Chaofan Wang and Yiduo Zhang
Coatings 2025, 15(12), 1466; https://doi.org/10.3390/coatings15121466 - 10 Dec 2025
Viewed by 281
Abstract
Semi-Flexible Pavement (SFP) combines the flexibility of asphalt concrete and the rigidity of cement concrete to provide excellent high-temperature rutting resistance in the summer. However, its application is often limited by the fluidity and mechanical properties of cement-based grouting materials. This study systematically [...] Read more.
Semi-Flexible Pavement (SFP) combines the flexibility of asphalt concrete and the rigidity of cement concrete to provide excellent high-temperature rutting resistance in the summer. However, its application is often limited by the fluidity and mechanical properties of cement-based grouting materials. This study systematically optimized the mix ratios of three types of grouting materials (cement-based, mineral-modified, and polymer-enhanced) using response surface methodology combined with orthogonal tests. The effects of water–binder ratio (W/B), sand–binder ratio (S/B), mineral admixtures and polymer additives on the key properties of grouting materials were systematically studied. By using Scanning Electron Microscopy (SEM) and X-ray Diffraction (XRD), the evolution of the mixture microstructure and the mechanism of performance change were also analyzed. The test results show that the optimal mix ratio of the cement-based grouting material is W/B = 0.46 and S/B = 0.15; the optimal mix ratio of the mineral grouting material is to replace part of the cement with fly ash (9%), silica fume (6%) and microspheres (3%). Microscopic tests show that fly ash effectively inhibits bleeding; silica fume and fly ash promote the formation of calcium silicate hydrate (C-S-H) gel; microspheres optimize the rheology of the slurry; and the synergistic effect of silica fume and microspheres reduces the internal pores of the grouting material, achieving high fluidity, low bleeding rate and excellent mechanical properties of the grouting material. The polymer-reinforced grouting material is an enhanced slurry formed by adding high-performance water reducer (0.8%), rubber powder (2%) and coupling agent (0.9%) to the optimal mineral grouting material. The combined effect of rubber powder and coupling agent significantly improves the adhesive property between the grouting material and the asphalt interface, making it more suitable for the road performance of SFP in low-temperature environments. Full article
(This article belongs to the Special Issue Surface Treatments and Coatings for Asphalt and Concrete)
Show Figures

Figure 1

18 pages, 3430 KB  
Article
Deep Eutectic Solvents as a Sustainable Approach for Silica Recovery from Rice Husk
by Célio S. Faria-Júnior, Lucas dos Santos Silva, Armando L. C. Cunha, Filipe S. Buarque and Bernardo Dias Ribeiro
Molecules 2025, 30(24), 4697; https://doi.org/10.3390/molecules30244697 - 8 Dec 2025
Viewed by 563
Abstract
Rice husk is a lignocellulosic biomass rich in silica, which, when disposed of inappropriately, represents an environmental hazard. This study investigated the application of deep eutectic solvents (DES) as a green and efficient approach to the rice husk fractionation, combining the selective dissolution [...] Read more.
Rice husk is a lignocellulosic biomass rich in silica, which, when disposed of inappropriately, represents an environmental hazard. This study investigated the application of deep eutectic solvents (DES) as a green and efficient approach to the rice husk fractionation, combining the selective dissolution of lignin and sugars with the purification of the silica-rich inorganic fraction. Six different DES were produced from choline chloride or betaine with different hydrogen bond donors and characterized for water content and pH. The DES based on carboxylic acids was more acidic, which favored the cleavage of ester and glycosidic bonds in the biomass. The TGA, XRF, SEM, and XRD analyses revealed that the lactic acid-based DES promoted better removal of lignin and mineral impurities, resulting in a purer silica with an amorphous morphology. The 110 °C condition was the most effective in preserving the thermal integrity of the organic (sugars and lignin) and inorganic (silica-rich ash) fractions. The results highlight the potential of DES as selective, sustainable, and tunable solvents for the valorization of agricultural waste, achieving biosilica with SiO2 purity exceeding 80% and lignin removal above 70%, reinforcing the potential of DES as sustainable solvents for agricultural waste valorization. Full article
Show Figures

Graphical abstract

21 pages, 29822 KB  
Article
Research on Deep Learning-Based Identification Methods for Geological Interface Types and Their Application in Mineral Exploration Prediction—A Case Study of the Gouli Region in Qinghai, China
by Yawen Zong, Linfu Xue, Jianbang Wang, Peng Wang and Xiangjin Ran
Minerals 2025, 15(12), 1281; https://doi.org/10.3390/min15121281 - 4 Dec 2025
Viewed by 300
Abstract
Geological interfaces are crucial elements governing deposit formation, such as silica–calcium surfaces, intrusive contact interfaces, and unconformities can serve as key symbols for mineral exploration prediction. Geological maps provide relatively detailed representations of primary geological interfaces and their interrelationships. However, in previous mineral [...] Read more.
Geological interfaces are crucial elements governing deposit formation, such as silica–calcium surfaces, intrusive contact interfaces, and unconformities can serve as key symbols for mineral exploration prediction. Geological maps provide relatively detailed representations of primary geological interfaces and their interrelationships. However, in previous mineral resource predictions, the type differences in different geological interfaces were ignored, and the types of different geological interfaces vary greatly, thus affecting the validity of the mineral prediction results. Manual interpretation and analysis of geological interfaces involve substantial workloads and make it difficult to effectively apply the rich geological information depicted on geological maps to mineral exploration prediction processes. Therefore, this study proposes a model for intelligent identification of geological interface types based on deep learning. The model extracts the attribute information, such as the age and lithology of the geological bodies on both sides of the geological boundary arc, based on the digital geological map of the Gouli gold mining area in Dulan County, Qinghai Province, China. The learning dataset comprising 5900 sets of geological interface types was constructed through manual annotation of geological interfaces. The arc segment is taken as the basic element; the model adopts natural language processing technology to conduct word vector embedding processing on the text attribute information of geological bodies on both sides of the geological interface. The processed embedding vectors are fed into the convolutional neural network (CNN) for training to generate the geological interface type recognition model. This method can effectively identify the type of geological interface, and the identification accuracy can reach 96.52%. Through quantitative analysis of the spatial relationship between different types of geological interfaces and ore points, it is known that they have a good correlation in spatial distribution. Experimental results show that the proposed method can effectively improve the accuracy and efficiency of geological interface recognition, and the accuracy of mineral prediction can be improved to some extent by adding geological interface type information in the process of mineral prediction. Full article
(This article belongs to the Section Mineral Exploration Methods and Applications)
Show Figures

Figure 1

16 pages, 3617 KB  
Article
Thermochemical Characterization of Coconut Husk, Rice Husk, and Mineral Coal: A Comparative Assessment for Energy Applications
by Stiven J. Sofán-Germán, Fabio L. Acuña-Izquierdo, Jesús D. Rhenals-Julio, Karen P. Cacua Madero and Jorge M. Mendoza-Fandiño
Biomass 2025, 5(4), 77; https://doi.org/10.3390/biomass5040077 - 1 Dec 2025
Viewed by 882
Abstract
This study provides a comparative thermochemical analysis of coconut husk, rice husk and mineral coal, assessing their potential for use in sustainable energy applications. Standardised proximate and ultimate analyses, thermogravimetric (TGA/DTG) evaluations and combustibility index measurements were performed under identical laboratory conditions to [...] Read more.
This study provides a comparative thermochemical analysis of coconut husk, rice husk and mineral coal, assessing their potential for use in sustainable energy applications. Standardised proximate and ultimate analyses, thermogravimetric (TGA/DTG) evaluations and combustibility index measurements were performed under identical laboratory conditions to ensure consistent comparisons could be made. Coconut husk exhibited the lowest ignition temperature (320.88 °C) and the highest combustibility index (2.385). This indicates its suitability for rapid combustion and biochar production. Its low ash and sulphur content enhances its environmental performance. Rice husk demonstrated moderate thermal behaviour and a high ash yield owing to its elevated silica content, suggesting greater potential for non-energy applications, such as silica recovery and advanced materials production. Mineral coal displayed the highest carbon content and calorific value (24.38 MJ/kg), reflecting high energy density, but also a considerable sulphur content that raises environmental concerns. Unlike many studies that address these materials separately, this work provides a direct, side-by-side comparison under controlled conditions. This offers practical insights for selecting materials in energy systems. The results reinforce the potential of agro-industrial residues in cleaner energy strategies, while emphasising the need for emission control measures when using fossil fuels. Full article
Show Figures

Figure 1

Back to TopTop