Sign in to use this feature.

Years

Between: -

Subjects

remove_circle_outline
remove_circle_outline
remove_circle_outline
remove_circle_outline

Journals

Article Types

Countries / Regions

Search Results (13)

Search Parameters:
Keywords = signal-to-clutter-plus-noise ratio (SCNR)

Order results
Result details
Results per page
Select all
Export citation of selected articles as:
27 pages, 2847 KB  
Article
Hierarchical Beamforming Optimization for ISAC-Enabled RSU Systems in Complex Urban Environments
by Zhiyuan You, Na Lv, Guimei Zheng and Xiang Wang
Sensors 2025, 25(21), 6803; https://doi.org/10.3390/s25216803 - 6 Nov 2025
Viewed by 516
Abstract
Integrated Sensing and Communication (ISAC)-enabled Roadside Units (RSUs) encounter significant performance trade-offs between target sensing and multi-user communication in complex urban environments, where conventional optimization methods are prone to converging to local optima and joint optimization methods often yield sub-optimal results due to [...] Read more.
Integrated Sensing and Communication (ISAC)-enabled Roadside Units (RSUs) encounter significant performance trade-offs between target sensing and multi-user communication in complex urban environments, where conventional optimization methods are prone to converging to local optima and joint optimization methods often yield sub-optimal results due to conflicting objectives. To address the challenge of trade-off between sensing and communication performance, this paper proposes a hierarchical beamforming optimization solution designed to tackle joint sensing–communication problems in such scenarios. The overall optimization problem is decomposed into a two-level “leader-follower” structure. In the leader layer, we introduce a max–min strategy based on the bisection method to transform the non-convex Signal-to-Interference-plus-Noise Ratio (SINR) optimization problem into a second-order cone constraint problem and solve the communication beamforming vector. In the follower layer, the Signal-to-Clutter-plus-Noise Ratio (SCNR) maximization problem is converted into a Semi-Definite Programming (SDP) problem solved via the CVX toolbox. Additionally, we introduce a “spatiotemporal resource isolation” mechanism to project the sensing beam onto the null space of the communication channel. The hierarchical optimization solution jointly optimizes communication SINR and sensing SCNR, enabling an effective balance between sensing accuracy and communication reliability. Simulation results demonstrate the proposed method’s effectiveness in simultaneously improving sensing accuracy and communication reliability. Full article
(This article belongs to the Special Issue Integrated Sensing and Communication in IoT Applications)
Show Figures

Figure 1

21 pages, 3938 KB  
Article
Dynamic Incidence Angle Effects of Non-Spherical Raindrops on Rain Attenuation and Scattering for Millimeter-Wave Fuzes
by Bing Yang, Kaiwei Wu, Yanbin Liang, Shijun Hao and Zhonghua Huang
Sensors 2025, 25(21), 6779; https://doi.org/10.3390/s25216779 - 5 Nov 2025
Viewed by 485
Abstract
The dynamic variation of the incidence angle between the millimeter-wave (MMW) fuzes and non-spherical raindrops significantly affects detection performance. To address this issue, the influence of incidence angle on attenuation coefficient, volume reflectivity, and the signal-to-clutter-plus-noise ratio (SCNR) is systematically analyzed by employing [...] Read more.
The dynamic variation of the incidence angle between the millimeter-wave (MMW) fuzes and non-spherical raindrops significantly affects detection performance. To address this issue, the influence of incidence angle on attenuation coefficient, volume reflectivity, and the signal-to-clutter-plus-noise ratio (SCNR) is systematically analyzed by employing the realistic raindrop morphology described by the Beard and Chuang (BC) model and the invariant imbedding (IIM) T-matrix method. By integrating worst-case analysis, the critical incidence angle corresponding to the most severe performance degradation is identified, and the corresponding attenuation coefficient, volume reflectivity, and SCNR values are reconstructed. Numerical simulations demonstrate that for the BC model, the most severe impact on MMW signal propagation occurs at an incidence angle of 180°. Under this condition, the reconstructed attenuation coefficient and volume reflectivity increase by 45.88% and 28.27%, respectively, while the SCNR decreases by 27.35% at 60 GHz operating frequency and 100 mm/h rainfall rate, compared to the spherical raindrop model. This study provides a theoretical basis for calibrating design margins and optimizing anti-interference strategies for MMW fuzes operating in complex meteorological conditions. Full article
(This article belongs to the Section Electronic Sensors)
Show Figures

Figure 1

22 pages, 608 KB  
Article
A Low-Complexity Peak Searching Method for Jointly Optimizing the Waveform and Filter of MIMO Radar
by Yan Han, Defu Jiang, Yiyue Gao, Song Wang, Kanghui Jiang, Mingxing Fu and Ruohan Yu
Electronics 2025, 14(21), 4252; https://doi.org/10.3390/electronics14214252 - 30 Oct 2025
Viewed by 224
Abstract
This paper addresses the joint design of transmit waveforms and receive filters for multiple-input multiple-output (MIMO) radar systems in the presence of signal-dependent clutter and steering vector mismatch. A low-complexity peak searching algorithm is developed to maximize the output signal-to-clutter-plus-noise ratio (SCNR) under [...] Read more.
This paper addresses the joint design of transmit waveforms and receive filters for multiple-input multiple-output (MIMO) radar systems in the presence of signal-dependent clutter and steering vector mismatch. A low-complexity peak searching algorithm is developed to maximize the output signal-to-clutter-plus-noise ratio (SCNR) under a constant-modulus constraint. Different from existing approaches, this paper decomposes the receive filter into a spatial beamformer and a temporal filter to reduce the dimensionality of matrix inversion. The angular uncertainty of the target direction is discretized, and a peak searching strategy identifies the optimal error angle, which is then used to optimize the initial phases of the transmit waveform subcarriers. Based on the optimized initial phases, the estimates of the target angle and steering vector are updated, and the receive filter coefficients are further modified, thereby improving the output SCNR. Numerical simulations are provided to evaluate the performance of the proposed approach compared with existing mismatch-robust methods. The results show that the proposed method preserves inter-subcarrier orthogonality, achieves near-ideal output SCNR with reduced computational complexity, and enables real-time acquisition of more accurate target angles. Full article
(This article belongs to the Section Circuit and Signal Processing)
Show Figures

Figure 1

19 pages, 11796 KB  
Article
Improved Clutter Suppression and Detection of Moving Target with a Fully Polarimetric Radar
by Zhilong Zhao, Zhongkai Wen, Changhu Xue, Zhiying Cui, Xutao Hou, Haibin Zhu, Yaxin Mu, Zongqiang Liu, Zhenghuan Xia and Xin Liu
Remote Sens. 2025, 17(17), 2975; https://doi.org/10.3390/rs17172975 - 27 Aug 2025
Cited by 1 | Viewed by 1459
Abstract
Remote sensing of moving targets, particularly pedestrians on the road, is crucial for advanced driver assistance systems. However, pedestrian detection using the radar system remains an ongoing challenge due to the radar cross section (RCS) of pedestrians being much smaller than that of [...] Read more.
Remote sensing of moving targets, particularly pedestrians on the road, is crucial for advanced driver assistance systems. However, pedestrian detection using the radar system remains an ongoing challenge due to the radar cross section (RCS) of pedestrians being much smaller than that of the clutter. Existing radar systems and pedestrian detection methods predominantly rely on the single-polarization radar, while research on the fully polarized radar for pedestrian detection is relatively limited. In this paper, the L-band fully polarimetric radar system is developed for pedestrian detection, and based on the full polarized radar echo HH, HV, VH, and VV, a novel clutter suppression method is proposed, which integrates the optimal polarization states of antennas and optimal scattering characteristics of pedestrians. Moreover, the field experiment has been conducted, and the results demonstrate that the signal-to-clutter-plus-noise ratio (SCNR) of the total power signal of full-polarization echoes is higher than that of single-polarization echoes, and the proposed clutter suppression method is able to reduce the non-stationary clutter and the interference signal generated by the multipath effect, thereby improving the SCNR. Furthermore, the OTSU algorithm is employed to detect pedestrian targets using radar data before and after clutter suppression, and the results demonstrate that the proposed method yields superior detection performance. These findings justify the potential of fully polarimetric radar in enhancing pedestrian detection. Full article
(This article belongs to the Special Issue Remote Sensing Advances in Urban Traffic Monitoring (Second Edition))
Show Figures

Graphical abstract

26 pages, 4698 KB  
Article
Estimating Motion Parameters of Ground Moving Targets from Dual-Channel SAR Systems
by Kun Liu, Xiongpeng He, Guisheng Liao, Shengqi Zhu and Cao Zeng
Remote Sens. 2025, 17(3), 555; https://doi.org/10.3390/rs17030555 - 6 Feb 2025
Viewed by 1253
Abstract
In dual-channel synthetic aperture radar (SAR) systems, the estimation of the four-dimensional motion parameters of the ground maneuvering target is a critical challenge. In particular, when spatial degrees of freedom are used to enhance the target’s output signal-to-clutter-plus-noise ratio (SCNR), it is possible [...] Read more.
In dual-channel synthetic aperture radar (SAR) systems, the estimation of the four-dimensional motion parameters of the ground maneuvering target is a critical challenge. In particular, when spatial degrees of freedom are used to enhance the target’s output signal-to-clutter-plus-noise ratio (SCNR), it is possible to have multiple solutions in the parameter estimation of the target. To deal with this issue, a novel algorithm for estimating the motion parameters of ground moving targets in dual-channel SAR systems is proposed in this paper. First, the random sample consensus (RANSAC) and modified adaptive 2D calibration (MA2DC) are used to prevent the target’s phase from being distorted as a result of channel balancing. To address range migration, the RFRT algorithm is introduced to achieve arbitrary-order range migration correction for moving targets, and the generalized scaled Fourier transform (GSCFT) algorithm is applied to estimate the polynomial coefficients of the target. Subsequently, we propose using the synthetic aperture length (SAL) of the target as an independent equation to solve for the four-dimensional parameter information and introduce a windowed maximum SNR method to estimate the SAL. Finally, a closed-form solution for the four-dimensional parameters of ground maneuvering targets is derived. Simulations and real data validate the effectiveness of the proposed algorithm. Full article
(This article belongs to the Special Issue Advanced Techniques of Spaceborne Surveillance Radar)
Show Figures

Figure 1

20 pages, 8370 KB  
Article
Long Coherent Processing Intervals for ISAR Imaging: Combined Complex Signal Kurtosis and Data Resampling
by Wenao Ruan and Chang Liu
Remote Sens. 2024, 16(24), 4758; https://doi.org/10.3390/rs16244758 - 20 Dec 2024
Cited by 1 | Viewed by 927
Abstract
Airborne inverse synthetic aperture radar (ISAR) imaging of maneuvering targets is important for maritime surveillance. Long coherent processing intervals (CPIs) can bring better resolution and signal-to-clutter-plus-noise ratio (SCNR). Due to the change in the effective rotation vector (ERV), the conventional Range-Doppler (RD) algorithm [...] Read more.
Airborne inverse synthetic aperture radar (ISAR) imaging of maneuvering targets is important for maritime surveillance. Long coherent processing intervals (CPIs) can bring better resolution and signal-to-clutter-plus-noise ratio (SCNR). Due to the change in the effective rotation vector (ERV), the conventional Range-Doppler (RD) algorithm is not appropriate for producing a well-focused image. To resolve the above issue, we propose a long CPI imaging algorithm through ERV estimation and data resampling. This algorithm estimates the Doppler length of the sub-aperture image by complex signal kurtosis (CSK) at first. Then, the change in the ERV can be estimated because the ship Doppler length is always proportional to the ERV. Finally, the echo is resampled according to the estimation of the time-varying ERV to obtain the echo from a constant ERV. Computer simulation experiments and measured data have verified the effectiveness of the proposed method. Experimental results demonstrate that the proposed method can achieve ISAR imaging with longer CPIs at low SNR and inhomogeneous clutter. Full article
(This article belongs to the Special Issue SAR Images Processing and Analysis (2nd Edition))
Show Figures

Graphical abstract

30 pages, 10426 KB  
Article
Distributed Phased Multiple-Input Multiple-Output Radars for Early Warning: Observation Area Generation
by Dengsanlang Luo and Gongjian Wen
Remote Sens. 2024, 16(16), 3052; https://doi.org/10.3390/rs16163052 - 19 Aug 2024
Cited by 6 | Viewed by 2679
Abstract
This paper introduces a resource management approach for distributed multiple-input multiple-output (MIMO) radar systems equipped with phased array antennas. The approach focuses and adjusts narrow beams from all transmit and receive nodes to generate a regularly shaped observation area for reliable detection. Based [...] Read more.
This paper introduces a resource management approach for distributed multiple-input multiple-output (MIMO) radar systems equipped with phased array antennas. The approach focuses and adjusts narrow beams from all transmit and receive nodes to generate a regularly shaped observation area for reliable detection. Based on this, a structured early warning framework can be built by evenly arranging sufficient observation areas to cover the surveillance region and periodically scanning these areas for continuous monitoring. Observation area generation, a core technique for this framework, involves the joint optimization of beamforming weights for both transmit and receive nodes, as well as the beam dwell time. Our optimization strategy is designed to achieve two key objectives: minimizing beam dwell time to ensure rapid alerts for defense systems, and minimizing node transmit power to extend operational time while reducing the risk of intercept. To address the problem of observation area generation, we propose a two-stage method. The first stage uses the signal-to-clutter-plus-noise ratio (SCNR) as a new criterion to determine the transmit and receive beamforming weights. The second stage employs a power factor as an additional variable to scale the transmit beamforming weights under various beam dwell times, constructing a Pareto solution set for the problem. Numerical simulations validate the effectiveness of our method, demonstrating improved detection capabilities compared to monostatic phased array radar systems. Full article
Show Figures

Figure 1

18 pages, 3071 KB  
Article
Beam-Space Post-Doppler Reduced-Dimension STAP Based on Sparse Bayesian Learning
by Junxiang Cao, Tong Wang and Degen Wang
Remote Sens. 2024, 16(2), 307; https://doi.org/10.3390/rs16020307 - 11 Jan 2024
Cited by 5 | Viewed by 2247
Abstract
The space–time adaptive processing (STAP) technique can effectively suppress the ground clutter faced by the airborne radar during its downward-looking operation and thus can significantly improve the detection performance of moving targets. However, the optimal STAP requires a large number of independent identically [...] Read more.
The space–time adaptive processing (STAP) technique can effectively suppress the ground clutter faced by the airborne radar during its downward-looking operation and thus can significantly improve the detection performance of moving targets. However, the optimal STAP requires a large number of independent identically distributed (i.i.d) samples to accurately estimate the clutter plus noise covariance matrix (CNCM), which limits its application in practice. In this paper, we fully consider the heterogeneity of clutter in real-world environments and propose a sparse Bayesian learning-based reduced-dimension STAP method that achieves suboptimal clutter suppression performance using only a single sample. First, the sparse Bayesian learning (SBL) algorithm is used to estimate the CNCM using a single training sample. Second, a novel angular Doppler channel selection algorithm is proposed with the criterion of maximizing the output signal-to-clutter-noise ratio (SCNR). Finally, the reduced-dimension STAP filter is constructed using the selected channels. Simulation results show that the proposed algorithm can achieve suboptimal clutter suppression performance in extremely heterogeneous clutter environments where only one training sample can be used. Full article
Show Figures

Figure 1

17 pages, 4548 KB  
Article
Observations of Ionospheric Clutter at Near Equatorial High Frequency Radar Stations
by Thomas M. Cook, Eric J. Terrill, Carlos Garcia-Moreno and Sophia T. Merrifield
Remote Sens. 2023, 15(3), 603; https://doi.org/10.3390/rs15030603 - 19 Jan 2023
Cited by 1 | Viewed by 2286
Abstract
The temporal variation of received clutter and noise at a pair of oceanographic high frequency radars (HFR) operating near the geomagnetic equator in the Republic of Palau is investigated. Oceanographic HFRs process range-gated Doppler spectra from groundwave signals that are backscattered from the [...] Read more.
The temporal variation of received clutter and noise at a pair of oceanographic high frequency radars (HFR) operating near the geomagnetic equator in the Republic of Palau is investigated. Oceanographic HFRs process range-gated Doppler spectra from groundwave signals that are backscattered from the ocean’s surface to derive maps of ocean currents. The range performance of the radars exhibited a regular diurnal signal which is determined to be a result of both ionospheric clutter and noise. The increased Clutter plus Noise Floor (C+NF) decreases the Signal to Clutter plus Noise Ratio (SCNR) which, in turn, reduces the range and quality of ocean surface current measurement. Determining the nature and origin of this degradation is critical to QA/QC of existing HFR deployments as well as performance predictions of future installations. Nighttime impacts are most severe and negatively affect ocean surface current measurements as low SCNR is found to extend across the Doppler spectra at all ranges, challenging the ability of HFR to map the ocean surface current. Daytime degradation is less severe and presents itself in a way consistent with independent observations of ionospheric clutter, specifically the diurnal temporal pattern and range where the C+NF features occur. A timeseries analysis of SCNR and C+NF is pursued to understand this relationship using received range-dependent Doppler spectra and C+NF features using image segmentation techniques. Clutter plus noise features are classified into daytime, nighttime, and no-noise feature types. The diurnal structure and variability of these features are examined, and the occurrences of each feature type are calculated. The occurrences are compared with space weather indices including a measure of geomagnetic activity, namely the EE (Equatorial Electro Jet) index (determined from magnetometers measuring the earth’s magnetic field), as well as solar impacts using the F10.7 solar radio clutter index to assess the relationship of ionospheric conditions with HFR ocean surface current measurement. Full article
Show Figures

Graphical abstract

20 pages, 7585 KB  
Article
Ground Clutter Mitigation for Slow-Time MIMO Radar Using Independent Component Analysis
by Fawei Yang, Jinpeng Guo, Rui Zhu, Julien Le Kernec, Quanhua Liu and Tao Zeng
Remote Sens. 2022, 14(23), 6098; https://doi.org/10.3390/rs14236098 - 1 Dec 2022
Cited by 9 | Viewed by 3971
Abstract
The detection of low, slow and small (LSS) targets, such as small drones, is a developing area of research in radar, wherein the presence of ground clutter can be quite challenging. LSS targets, because of their unusual flying mode, can be easily shadowed [...] Read more.
The detection of low, slow and small (LSS) targets, such as small drones, is a developing area of research in radar, wherein the presence of ground clutter can be quite challenging. LSS targets, because of their unusual flying mode, can be easily shadowed by ground clutter, leading to poor radar detection performance. In this study, we investigated the feasibility and performance of a ground clutter mitigation method combining slow-time multiple-input multiple-output (st-MIMO) waveforms and independent component analysis (ICA) in a ground-based MIMO radar focusing on LSS target detection. The modeling of ground clutter under the framework of st-MIMO was first defined. Combining the spatial and temporal steering vector of st-MIMO, a universal signal model including the target, ground clutter, and noise was established. The compliance of the signal model for conducting ICA to separate the target was analyzed. Based on this, a st-MIMO-ICA processing scheme was proposed to mitigate ground clutter. The effectiveness of the proposed method was verified with simulation and experimental data collected from an S-band st-MIMO radar system with a desirable target output signal-to-clutter-plus-noise ratio (SCNR). This work can shed light on the use of ground clutter mitigation techniques for MIMO radar to tackle LSS targets. Full article
(This article belongs to the Special Issue Theory and Applications of MIMO Radar)
Show Figures

Figure 1

20 pages, 3729 KB  
Article
Multi-Resolution STAP for Enhanced Ultra-Low-Altitude Target Detection
by Haodong Li, Guisheng Liao, Jingwei Xu, Cao Zeng, Xiongpeng He and Pengfei Gao
Remote Sens. 2021, 13(21), 4212; https://doi.org/10.3390/rs13214212 - 20 Oct 2021
Cited by 4 | Viewed by 2471
Abstract
In this paper, an ultra-low-altitude target (ULAT) detection approach, referred to as the multi-resolution space-time adaptive processing (STAP), is proposed to enhance the target detection performance in a missile-borne radar system. In this respect, the whole base band is divided into a series [...] Read more.
In this paper, an ultra-low-altitude target (ULAT) detection approach, referred to as the multi-resolution space-time adaptive processing (STAP), is proposed to enhance the target detection performance in a missile-borne radar system. In this respect, the whole base band is divided into a series of equal-width and center-frequency-diverse sub-bands with the frequency diversity technique, which enhances the multipath-target coupled (MTC) effect with the decreased range resolution. Hence, it is feasible to exploit the multipath signal power to improve the output signal-to-clutter-plus-noise ratio (SCNR) performance of sub-band STAP. In this regard, the mechanism of the MTC effect is analyzed numerically for the efficient sub-band STAP. However, such SCNR improvement is achieved at the cost of target tracking performance loss. Hence, the full-band STAP is further applied for multipath-target separation based on the target range-Doppler locations detected by the joint multiple sub-bands ΣΔ-STAP, which also alleviates the dynamic target attenuation and the corresponding target Doppler history corruption within the long coherent processing interval (CPI). On this basis, the SCNR performance is further improved by applying coherent accumulation among sub-CPIs, in which the clutter suppression performance degradation and coherent accumulation loss of STAP are alleviated within the sub-CPIs. Numerical and measured results corroborate the effectiveness of ULAT detection with the considered multi-resolution STAP. Full article
Show Figures

Graphical abstract

16 pages, 5128 KB  
Article
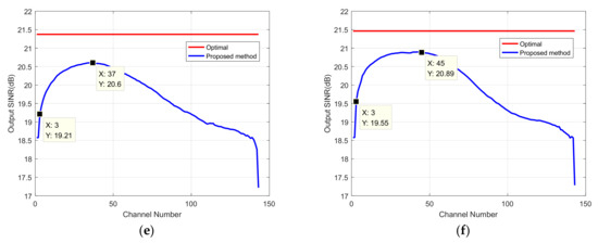
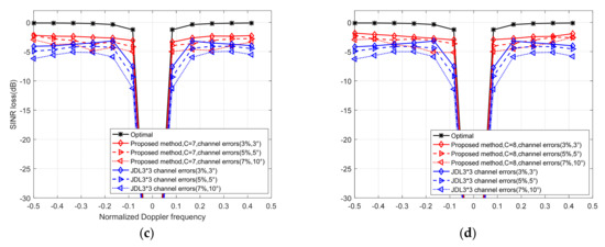
A Single-Dataset-Based Pre-Processing Joint Domain Localized Algorithm for Clutter-Suppression in Shipborne High-Frequency Surface-Wave Radar
by Liang Guo, Xin Zhang, Di Yao, Qiang Yang, Yang Bai and Weibo Deng
Sensors 2020, 20(13), 3773; https://doi.org/10.3390/s20133773 - 5 Jul 2020
Cited by 4 | Viewed by 3133
Abstract
Due to the motion of the platform, the spectrum of first-order sea clutter will widen and mask low-velocity targets such as ships in shipborne high-frequency surface-wave radar (HFSWR). Limited by the quantity of qualified training samples, the performance of the generally used clutter-suppression [...] Read more.
Due to the motion of the platform, the spectrum of first-order sea clutter will widen and mask low-velocity targets such as ships in shipborne high-frequency surface-wave radar (HFSWR). Limited by the quantity of qualified training samples, the performance of the generally used clutter-suppression method, space–time adaptive processing (STAP) degrades in shipborne HFSWR. To deal with this problem, an innovative training sample acquisition method is proposed, in the area of joint domain localized (JDL) reduced-rank STAP. In this clutter-suppression method, based on a single range of cell data, the unscented transformation is introduced as a preprocessing step to obtain adequate homogeneous secondary data and roughly estimated clutter covariance matrix (CCM). The accurate CCM is calculated by integrating the approximate CCM of different range of cells. Compared with existing clutter-suppression algorithms for shipborne HFSWR, the proposed approach has a better signal-to-clutter-plus-noise ratio (SCNR) improvement tested by real data. Full article
Show Figures

Figure 1

24 pages, 1067 KB  
Article
Low Probability of Intercept-Based Radar Waveform Design for Spectral Coexistence of Distributed Multiple-Radar and Wireless Communication Systems in Clutter
by Chenguang Shi, Fei Wang, Sana Salous and Jianjiang Zhou
Entropy 2018, 20(3), 197; https://doi.org/10.3390/e20030197 - 16 Mar 2018
Cited by 17 | Viewed by 7843
Abstract
In this paper, the problem of low probability of intercept (LPI)-based radar waveform design for distributed multiple-radar system (DMRS) is studied, which consists of multiple radars coexisting with a wireless communication system in the same frequency band. The primary objective of the multiple-radar [...] Read more.
In this paper, the problem of low probability of intercept (LPI)-based radar waveform design for distributed multiple-radar system (DMRS) is studied, which consists of multiple radars coexisting with a wireless communication system in the same frequency band. The primary objective of the multiple-radar system is to minimize the total transmitted energy by optimizing the transmission waveform of each radar with the communication signals acting as interference to the radar system, while meeting a desired target detection/characterization performance. Firstly, signal-to-clutter-plus-noise ratio (SCNR) and mutual information (MI) are used as the practical metrics to evaluate target detection and characterization performance, respectively. Then, the SCNR- and MI-based optimal radar waveform optimization methods are formulated. The resulting waveform optimization problems are solved through the well-known bisection search technique. Simulation results demonstrate utilizing various examples and scenarios that the proposed radar waveform design schemes can evidently improve the LPI performance of DMRS without interfering with friendly communications. Full article
(This article belongs to the Special Issue Radar and Information Theory)
Show Figures

Figure 1

Back to TopTop