Numerical Study of Amplitude-Driven Flow Dynamics in Shocked Heavy-Fluid Layers
Abstract
1. Introduction
2. Problem Setup and Mathematical Formulation
2.1. Problem Setup
2.2. Governing Equations
2.3. Initial and Boundary Conditions
2.4. Post-Processing Diagnostics and Integral Measures
2.4.1. Vorticity Transport Equation
2.4.2. Spatially Integrated Vorticity Production Terms
2.4.3. Vorticity Extremes
2.4.4. Circulation Measures
2.4.5. Enstrophy
2.4.6. Kinetic Energy
3. Numerical Methodology and Validations
3.1. Numerical Methodology
3.2. Validation Study
4. Results and Discussion
4.1. Grid Refinement Study
4.2. Flow Field Evolution
4.3. Vorticity Generation Mechanism
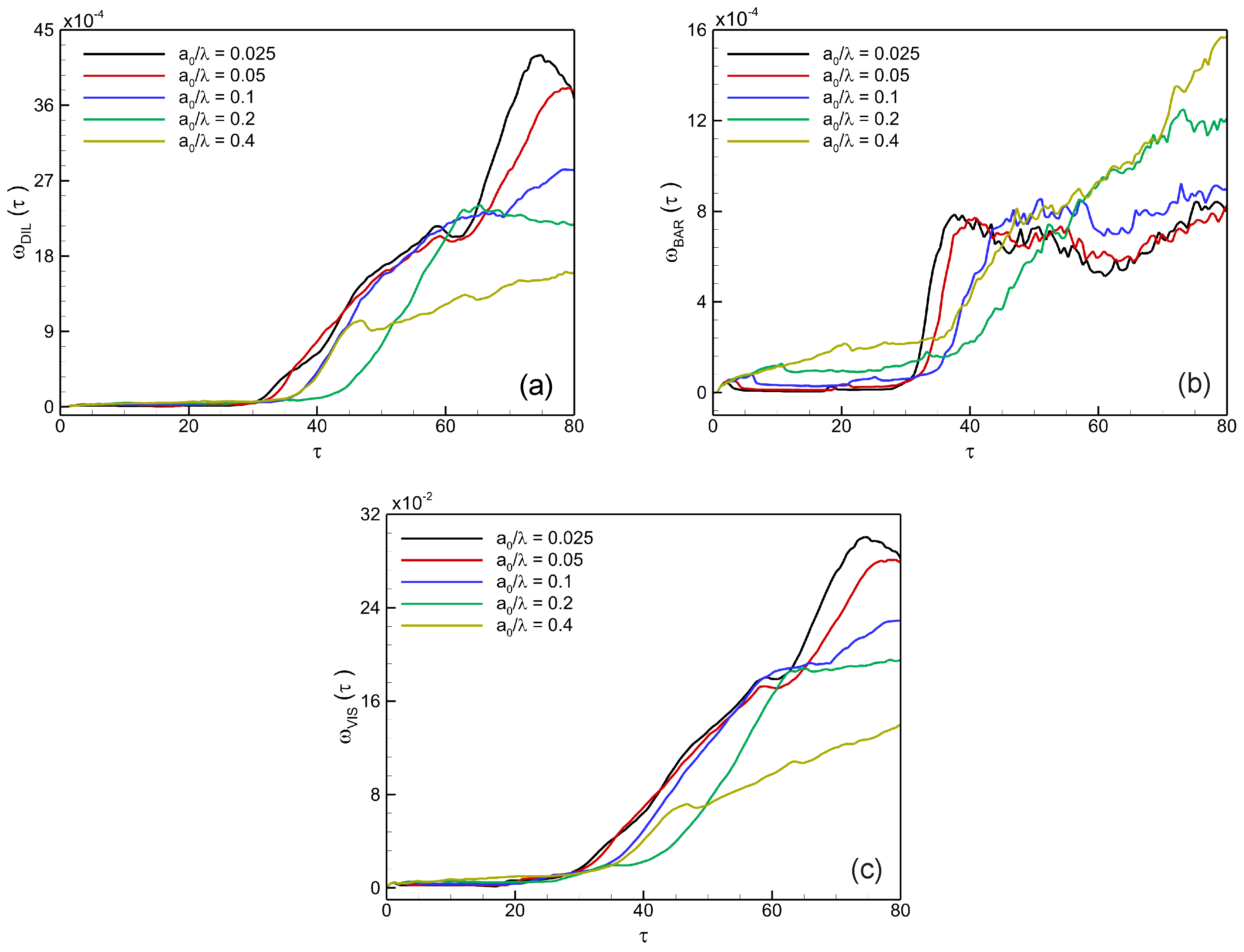
4.4. Spatially Integrated Vorticity Generation Mechanisms
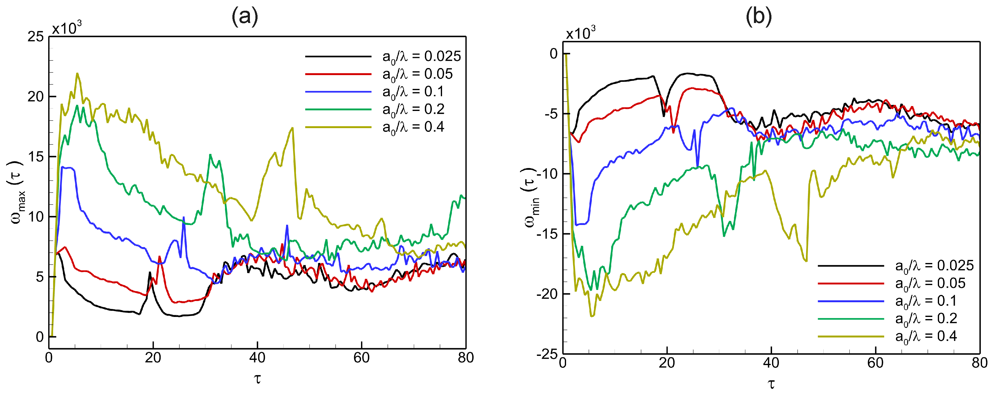
4.5. Temporal Evolution of Vorticity Extrema
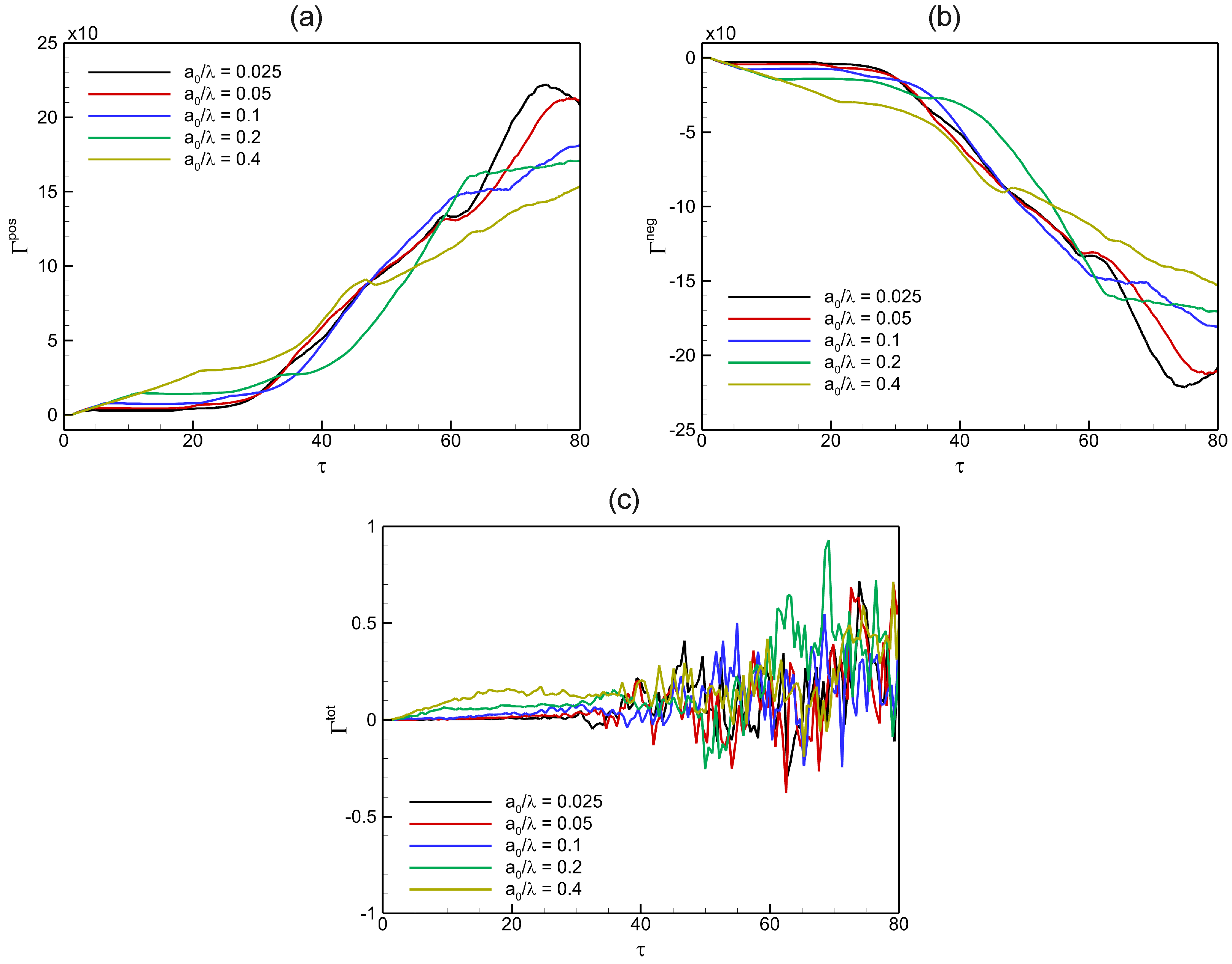
4.6. Circulation Analysis
4.7. Enstrophy Growth Mechanisms
4.8. Kinetic Energy Dynamics
4.9. Effect of Viscosity: Inviscid Versus Viscous Comparison
5. Conclusions and Outlook
Author Contributions
Funding
Data Availability Statement
Conflicts of Interest
References
- Zhou, Y. Hydrodynamic Instabilities and Turbulence: Rayleigh–Taylor, Richtmyer–Meshkov, and Kelvin–Helmholtz Mixing; Cambridge University Press: Cambridge, UK, 2024. [Google Scholar]
- Brouillette, M. The Richtmyer-Meshkov instability. Annu. Rev. Fluid Mech. 2002, 34, 445–468. [Google Scholar] [CrossRef]
- Richtmyer, R.D. Taylor instability in shock acceleration of compressible fluids. Commun. Pure Appl. Math. 1960, 13, 297–319. [Google Scholar] [CrossRef]
- Meshkov, E.E. Instability of the interface of two gases accelerated by a shock wave. Fluid Dyn. 1969, 4, 101. [Google Scholar] [CrossRef]
- Rayleigh, L. Investigation of the character of the equilibrium of an incompressible heavy fluid of variable density. Proc. Lond. Math. Soc. 1882, 1, 170–177. [Google Scholar] [CrossRef]
- Taylor, G.I. The instability of liquid surfaces when accelerated in a direction perpendicular to their planes. I. Proc. R. Soc. Lond. A 1950, 201, 192–196. [Google Scholar] [CrossRef]
- Betti, R.; Hurricane, O.A. Inertial-confinement fusion with lasers. Nat. Phys. 2016, 12, 435–448. [Google Scholar] [CrossRef]
- Zhou, Y.; Sadler, J.D.; Hurricane, O.A. Instabilities and mixing in inertial confinement fusion. Annu. Rev. Fluid Mech. 2025, 57, 197–225. [Google Scholar] [CrossRef]
- Arnett, W.D.; Bahcall, J.N.; Kirshner, R.P.; Woosley, S.E. Supernova 1987A. Annu. Rev. Astron. Astrophys. 1989, 27, 629–700. [Google Scholar] [CrossRef]
- Kuranz, C.C.; Park, H.S.; Huntington, C.M.; Miles, A.R.; Remington, B.A.; Plewa, T.; Trantham, M.R.; Robey, H.F.; Shvarts, D.; Shimony, A.; et al. How high energy fluxes may affect Rayleigh–Taylor instability growth in young supernova remnants. Nat. Commun. 2018, 27, 629–700. [Google Scholar] [CrossRef]
- Yang, J.; Kubota, T.; Zukoski, E.E. Applications of shock-induced mixing to supersonic combustion. AIAA J. 1993, 31, 854–862. [Google Scholar] [CrossRef]
- Crocco, V.L. Eine neue Stromfunktion für die Erforschung der Bewegung der Gase mit Rotation. ZAMM Z. Angew. Math. Mech. 1937, 17, 1–7. [Google Scholar] [CrossRef]
- Hayes, W.D. The vorticity jump across a gasdynamic discontinuity. J. Fluid Mech. 1957, 2, 595–600. [Google Scholar] [CrossRef]
- Kevlahan, N.K.R. The vorticity jump across a shock in a non-uniform flow. J. Fluid Mech. 1997, 341, 371–384. [Google Scholar] [CrossRef]
- Povftsky, A.; Ofengeim, D. Numerical study of interaction of a vortical density inhomogeneity with shock and expansion waves. Int. J. Comput. Fluid Dyn. 1999, 12, 165–176. [Google Scholar] [CrossRef]
- Velikovich, A.L.; Dimonte, G. Nonlinear perturbation theory of the incompressible Richtmyer-Meshkov instability. Phys. Rev. Lett. 1996, 76, 3112. [Google Scholar] [CrossRef] [PubMed]
- Nishihara, K.; Wouchuk, J.G.; Matsuoka, C.; Ishizaki, R.; Zhakhovsky, V.V. Richtmyer–Meshkov instability: Theory of linear and nonlinear evolution. Philos. Trans. R. Soc. A 2010, 368, 1769–1807. [Google Scholar] [CrossRef] [PubMed]
- Sadot, O.; Erez, L.; Alon, U.; Oron, D.; Levin, L.A.; Erez, G.; Ben-Dor, G.; Shvarts, D. Study of nonlinear evolution of single-mode and two-bubble interaction under Richtmyer-Meshkov instability. Phys. Rev. Lett. 1998, 80, 1654. [Google Scholar] [CrossRef]
- Collins, B.D.; Jacobs, J.W. PLIF flow visualization and measurements of the Richtmyer-Meshkov instability of an air/SF6 interface. J. Fluid Mech. 2002, 464, 113–136. [Google Scholar] [CrossRef]
- Jacobs, J.W.; Krivets, V.V. Experiments on the late-time development of single-mode Richtmyer–Meshkov instability. Phys. Fluids 2005, 17, 034105. [Google Scholar] [CrossRef]
- Jourdan, G.; Houas, L. High-amplitude single-mode perturbation evolution at the Richtmyer-Meshkov instability. Phys. Rev. Lett. 2005, 95, 204502. [Google Scholar] [CrossRef] [PubMed]
- Gorodnichev, K.; Zakharov, P.; Kuratov, S.; Menshov, I.; Gorodnichev, E. Theoretical and numerical analysis of density perturbation development induced by high velocity impact. Phys. Fluids 2018, 32, 034101. [Google Scholar] [CrossRef]
- Wright, C.E.; Abarzhi, S.I. Effect of adiabatic index on Richtmyer–Meshkov flows induced by strong shocks. Phys. Fluids 2021, 33, 046109. [Google Scholar] [CrossRef]
- Milovich, J.L.; Amendt, P.; Marinak, M.; Robey, H. Multimode short-wavelength perturbation growth studies for the National Ignition Facility double-shell ignition target designs. Phys. Plasmas 2004, 11, 1552–1568. [Google Scholar] [CrossRef]
- Desjardins, T.R.; Di Stefano, C.A.; Day, T.; Schmidt, D.; Merritt, E.C.; Doss, F.W.; Flippo, K.A.; Cardenas, T.; DeVolder, B.; Donovan, P.; et al. A platform for thin-layer Richtmyer-Meshkov at OMEGA and the NIF. High Energy Density Phys. 2019, 33, 100705. [Google Scholar] [CrossRef]
- Zhou, Y. Rayleigh–Taylor and Richtmyer–Meshkov instability induced flow, turbulence, and mixing-I. Phys. Rep. 2017, 720, 1–136. [Google Scholar]
- Zhou, Y. Rayleigh–Taylor and Richtmyer–Meshkov instability induced flow, turbulence, and mixing-II. Phys. Rep. 2017, 723, 1–160. [Google Scholar] [CrossRef]
- Zhou, Y. Review on hydrodynamic instabilities of a shocked gas layer. Sci. China-Phys. Mech. Astron. 2023, 66, 104701. [Google Scholar]
- Mikaelian, K.O. Normal modes and symmetries of the Rayleigh-Taylor instability in stratified fluids. Phys. Rev. Lett. 1982, 48, 1365. [Google Scholar] [CrossRef]
- Mikaelian, K.O. Richtmyer-Meshkov instabilities in stratified fluids. Phys. Rev. A 1985, 31, 410–419. [Google Scholar] [CrossRef]
- Mikaelian, K.O. Rayleigh–Taylor and Richtmyer–Meshkov instabilities in multilayer fluids with surface tension. Phys. Rev. A 1990, 42, 7211. [Google Scholar] [CrossRef]
- Mikaelian, K.O. Rayleigh–Taylor and Richtmyer–Meshkov instabilities in finite-thickness fluid layers. Phys. Fluids 1995, 7, 888–1292. [Google Scholar] [CrossRef]
- Jacobs, J.W.; Jenkins, D.G.; Klein, D.L.; Benjamin, R.F. Nonlinear growth of the shock-accelerated instability of a thin fluid layer. J. Fluid Mech. 1995, 295, 23–42. [Google Scholar] [CrossRef]
- Prestridge, K.; Vorobieff, P.; Rightley, P.M.; Benjamin, R.F. Validation of an instability growth model using particle image velocimtery measurement. Phys. Rev. Lett. 2000, 295, 4353–4356. [Google Scholar] [CrossRef]
- Liang, Y.; Luo, X. On shock-induced heavy-fluid-layer evolution. J. Fluid Mech. 2021, 920, A13. [Google Scholar] [CrossRef]
- Gowardhan, A.A.; Grinstein, F.F. Numerical simulation of Richtmyer– Meshkov instabilities in shocked gas curtains. J. Turbul. 2011, 12, N43. [Google Scholar] [CrossRef]
- Li, Y.; Samtaney, R.; Wheatley, V. The Richtmyer-Meshkov instability of a double-layer interface in convergent geometry with magnetohydrodynamics. J. Turbul. 2018, 3, 207–218. [Google Scholar] [CrossRef]
- Chen, Y.; Jin, T.; Liang, Z.; Zou, L. Numerical study of Richtmyer–Meshkov instability of light fluid layer with reshock. Phys. Fluids 2023, 35, 114103. [Google Scholar] [CrossRef]
- Xie, J.; Zhou, Z.; Wu, Y.; Si, T.; Luo, X. A neural network-based study on the growth rate of a shocked heavy gas layer. Phys. Fluids 2025, 37, 024101. [Google Scholar] [CrossRef]
- Singh, S. Numerical Simulations of Shock-driven Heavy Fluid Layer. J. Graph. Era Univ. 2025, 13, 75–90. [Google Scholar] [CrossRef]
- Msmali, A.H.; Singh, S.; Meetei, M.Z. Single-Mode Richtmyer–Meshkov Instability in Light Fluid Layer: Insights from Numerical Simulations. Axioms 2025, 14, 473. [Google Scholar] [CrossRef]
- Alsaeed, S.S.; Singh, S.; Alrubea, N.A. Numerical Investigation of Atwood Number Effects on Shock-Driven Single-Mode Stratified Heavy Fluid Layers. Mathematics 2025, 13, 3032. [Google Scholar] [CrossRef]
- Alsaeed, S.S.; Singh, S.; Alrubea, N.A. Layer Thickness Impact on Shock-Accelerated Interfacial Instabilities in Single-Mode Stratifications. Appl. Sci. 2025, 15, 10687. [Google Scholar] [CrossRef]
- Zhou, Z.; Xiao, Z. Richtmyer-Meshkov instability of a heavy gas layer in cylindrical geometry. Phys. D Nonlinear Phenom. 2025, 15, 134995. [Google Scholar] [CrossRef]
- Cong, Z.; Guo, X.; Zhou, Z.; Cheng, W.; Si, T. Freeze-out of perturbation growth for shocked heavy fluid layers by eliminating reverberating waves. J. Fluid Mech. 2024, 987, A10. [Google Scholar] [CrossRef]
- Wang, H.; Wang, H.; Zhai, Z.; Luo, X. High-amplitude effect on single-mode Richtmyer–Meshkov instability of a light–heavy interface. Phys. Fluids 2023, 35, 016106. [Google Scholar] [CrossRef]
- Shankar, S.K.; Kawai, S.; Lele, S.K. Two-dimensional viscous flow simulation of a shock accelerated heavy gas cylinder. Phys. Fluids 2013, 23, 024102. [Google Scholar] [CrossRef]
- Giordano, J.; Burtsche, Y. Richtmyer-Meshkov instability induced by shock-bubble interaction: Numerical and analytical studies with experimental validation. Phys. Fluids 2006, 18, 036102. [Google Scholar] [CrossRef]
- Chapman, S.; Cowling, T.G. The Mathematical Theory of Non-Uniform Gases: An Account of the Kinetic Theory of Viscosity, Thermal Conduction and Diffusion in Gases; Cambridge University Press: Cambridge, UK, 1990. [Google Scholar]
- Wilke, C.R. A viscosity equation for gas mixtures. J. Chem. Phys. 1950, 18, 517–519. [Google Scholar] [CrossRef]
- Singh, S.; Battiato, M.; Myong, R.S. Impact of bulk viscosity on flow morphology of shock-accelerated cylindrical light bubble in diatomic and polyatomic gases. Phys. Fluid. 2021, 33, 066103. [Google Scholar] [CrossRef]
- Singh, S.; Msmali, A.H.; Nelson, M.I. Unfolding of shocked hydrodynamic instability at SF6 elliptical interface: Physical insights from numerical simulations. Comput. Fluids 2024, 277, 106304. [Google Scholar] [CrossRef]
- Singh, S. Development of a 3D Discontinuous Galerkin Method for the Second-Order Boltzmann-Curtiss Based Hydrodynamic Models of Diatomic and Polyatomic Gases. Ph.D. Thesis, Gyeongsang National University, Jinju, Republic of Korea, 2018. [Google Scholar]
- Johnsen, E.; Colonius, T. Implementation of WENO schemes in compressible multicomponent flow problems. J. Comput. Phys. 2006, 219, 715–732. [Google Scholar] [CrossRef]
- Cockburn, B.; Shu, C.-W. The local discontinuous Galerkin method for time-dependent convection-diffusion systems. SIAM J. Numer. Anal. 1998, 35, 2440–2463. [Google Scholar] [CrossRef]
- Gottlieb, S.; Shu, C.-W.; Tadmor, E. Strong stability-preserving high-order time discretization methods. SIAM Rev. 2001, 43, 89–112. [Google Scholar] [CrossRef]
- Krivodonova, L. Limiters for high-order discontinuous Galerkin methods. J. Comput. Phys. 2007, 226, 879–896. [Google Scholar] [CrossRef]
- Alsaeed, S.S.; Singh, S. A mixed local discontinuous Galerkin scheme for capturing shock-driven instabilities in compressible multicomponent flows. AIMS Math. 2025, 10, 26389–26417. [Google Scholar] [CrossRef]
- Haas, J.F.; Sturtevant, B. Interaction of weak shock waves with cylindrical and spherical gas inhomogeneitiesn. J. Fluid Mech. 1987, 181, 41–76. [Google Scholar] [CrossRef]
- Quirk, J.J.; Karni, S. On the dynamics of a shock–bubble interaction. J. Fluid Mech. 1996, 318, 129–163. [Google Scholar] [CrossRef]
- Lele, S.K. Compact finite difference schemes with spectral-like resolution. J. Comput. Phys. 1992, 103, 16–42. [Google Scholar] [CrossRef]




















| Case | I | II | III | IV | V |
|---|---|---|---|---|---|
| (mm) | 2.5 | 5 | 10 | 20 | 40 |
| 0.025 | 0.05 | 0.1 | 0.2 | 0.4 |
| Gas | Heat Ratio () | Density () | Specific Heat () | Molecular Weight () |
|---|---|---|---|---|
| N2 | 1.40 | 28.0134 | ||
| SF6 | 1.09 | 128.491 |
Disclaimer/Publisher’s Note: The statements, opinions and data contained in all publications are solely those of the individual author(s) and contributor(s) and not of MDPI and/or the editor(s). MDPI and/or the editor(s) disclaim responsibility for any injury to people or property resulting from any ideas, methods, instructions or products referred to in the content. |
© 2025 by the authors. Licensee MDPI, Basel, Switzerland. This article is an open access article distributed under the terms and conditions of the Creative Commons Attribution (CC BY) license.
Share and Cite
Msmali, A.H.; Singh, S.; Ahmadini, A.A.H. Numerical Study of Amplitude-Driven Flow Dynamics in Shocked Heavy-Fluid Layers. Mathematics 2026, 14, 82. https://doi.org/10.3390/math14010082
Msmali AH, Singh S, Ahmadini AAH. Numerical Study of Amplitude-Driven Flow Dynamics in Shocked Heavy-Fluid Layers. Mathematics. 2026; 14(1):82. https://doi.org/10.3390/math14010082
Chicago/Turabian StyleMsmali, Ahmed Hussein, Satyvir Singh, and Abdullah Ali H. Ahmadini. 2026. "Numerical Study of Amplitude-Driven Flow Dynamics in Shocked Heavy-Fluid Layers" Mathematics 14, no. 1: 82. https://doi.org/10.3390/math14010082
APA StyleMsmali, A. H., Singh, S., & Ahmadini, A. A. H. (2026). Numerical Study of Amplitude-Driven Flow Dynamics in Shocked Heavy-Fluid Layers. Mathematics, 14(1), 82. https://doi.org/10.3390/math14010082

