Next Article in Journal
Advanced Topology Optimization: Methods and Applications
Previous Article in Journal
State-of-the-Art Overview of Smooth-Edged Material Distribution for Optimizing Topology (SEMDOT) Algorithm
 
 
Font Type:
Arial Georgia Verdana
Font Size:
Aa Aa Aa
Line Spacing:
Column Width:
Background:
Article

Method for Simulating Solar Panel Oscillations Considering Thermal Shock

by
Andrey V. Sedelnikov
* and
Alexandra S. Marshalkina
Institute of Aerospace Engineering, Samara National Research University, 34 Moskovskoye Shosse, 443086 Samara, Russia
*
Author to whom correspondence should be addressed.
Computation 2026, 14(2), 28; https://doi.org/10.3390/computation14020028
Submission received: 25 December 2025 / Revised: 18 January 2026 / Accepted: 22 January 2026 / Published: 24 January 2026
(This article belongs to the Section Computational Engineering)

Abstract

The purpose of this work is to develop an approximate method for simulating the oscillations of a solar panel with consideration of thermal shock, based on a simulated spacecraft system model. The influence of thermal shock is reduced to an additional rotation of the spacecraft. The mechanical system itself (the spacecraft model) consists of a main body (a rigid body) and a flexible solar panel. The solar panel performs natural oscillations. An analysis of the influence of thermal shock on the parameters of natural oscillations was conducted. Results of computer simulation for a spacecraft configuration with a single solar panel are presented.

1. Introduction

Modern spacecraft are equipped with large flexible solar panels for power generation and antennas for observation and communication [1]. The combination of large size, limited mass, and flexible structural components makes such systems sensitive even to minor external disturbances [2]. These disturbances cause unwanted vibrations, creating significant operational difficulties [3,4,5].
This article considers the natural oscillations of a solar panel. They occur both during the panel deployment process [6,7] and under the action of perturbations [8,9]. These oscillations must be accounted for when modeling the angular motion of the spacecraft and significantly influence its dynamics [10,11,12]. This underscores the relevance of a thorough analysis of oscillatory processes and the development of methods for their correct description.
The natural oscillations of a solar panel can also be caused by thermal shock itself. This is confirmed by publications from many authors (for example, [13,14,15]). Research conducted in [16] experimentally proves the presence of thermal vibrations of a solar array upon entering the orbital shadow zone, based on data from a CMOS camera installed on the spacecraft body. Article [17] established that vibration due to heating is a self-excited vibration, and its amplitude directly depends on the power of the heat flux. A more detailed analysis of solar panel oscillations is performed in reference [18]. It considers three main factors causing structural vibration: thermal load from solar radiation, the force of contact impact at the joint, and the corrective action of the spacecraft’s thrusters. These results show that when designing an orbital solar array system, it is necessary to consider both the presence of gaps in the joints and the influence of thermal shock.
This paper addresses the task of developing an approximate method to account for the influence of thermal shock on solar panel oscillations based on a mechanical model. This is important from the perspective of approximate calculations, since thermal shock itself is a sufficiently complex phenomenon. Its description is associated with the application of complex mathematical apparatus (for example, [19]). This is not always acceptable in practice for approximate calculations.

2. The Main Provisions of the Proposed Method and Adopted Assumptions

The following approach is proposed for modeling solar panel oscillations, taking into account the influence of thermal shock.
  • A reduced mechanical system (spacecraft model) is considered, in which the effect of thermal shock is mechanically equivalent to the spacecraft rotation it induces.
Modeling thermal shock implies the joint solution of thermal conductivity and thermoelasticity problems, which, due to nonlinear boundary conditions, can only be solved by numerical methods. In general, this process is complex and resource-intensive, especially given the limited computational capabilities of onboard computers. In this formulation, a reduced mechanical system is investigated, where the influence of thermal shock on the dynamics of the solar panel is considered as a rotation based on pre-obtained estimates. Paper [19], based on a series of mathematical transformations and derivations, presents an engineering approximation for the displacement of points on a plate because of thermal shock:
u z ( x ,   t ) = A l 4 t t + a x 4 l 4 4 x 3 l 3 + 6 x 2 l 2 ,     0 x l ,       t > 0 ,
where uz (x, t) is deflection of the solar panel points, dependent on the spatial coordinate x and time t (Figure 1); l is solar panel length; A and a are constants that depend on the material of the solar panel.
The limited accuracy of Equation (1) should be understood. It does not take into account the possible change in the thermophysical characteristics of the solar panel due to changes in temperature and redistribution of thermal stresses due to these changes. It should therefore be recognized that it represents an equivalence of macroscopic effects rather than an exact physical model. However, Equation (1) is quite suitable for an approximate assessment of the effect of temperature shock on the dynamics of the spacecraft. It will be shown later in numerical modeling.
2.
The solar panel is modeled as a cantilever beam.
Within the framework of the one-dimensional heat conduction problem [19], the deflection of the solar panel points does not depend on the transverse coordinate. From a mechanical standpoint (investigating the motion parameters of the points), this means the plate degenerates into a beam. In the one-dimensional formulation, the influence of thermal shock is the most significant, as shown in [20]. The choice of the fastening method is determined by the specifics of the physical problem statement, which assumes rigid fixation of the solar panel relative to the spacecraft body.
This is a significant simplification of the design of solar panels in terms of its dynamic characteristics. First of all, regarding the characteristics of natural vibrations, the plate can perform more complex types of vibrations, e.g., torsional oscillations. However, the temperature shock itself is a very fleeting phenomenon. Its characteristic flow time is about 1 s [11]. Therefore, the study of the temperature shock itself may allow this simplification. Moreover, in the paper [11], when considering the two-dimensional formulation of the thermal conductivity problem, static accounting of natural oscillations is proposed. It was based on the assumption that during the characteristic time of the temperature impact, the movements of the points of the solar panel due to their own vibrations are negligible. Therefore, fluctuations affect the temperature field only through the initial deformed state of the solar cell. This further explains the correctness of the proposed simplification.
3.
Thermal shock occurs at time t1 = 3 c.
We will assume that during the time interval [t0, t1), the solar panel undergoes free oscillations without external influences. It is subjected to a thermal shock at time t1 = 3 s. This assumption defines the modeling technique and the interpretation of the obtained results.

3. Mathematical Model

Figure 1 shows the model of the solar panel as a cantilever beam, corresponding to Assumptions 1–3. Within this problem statement, the solar panel will perform complex motion. The following notations are introduced in Figure 1: ω e and a e is the angular velocity and the translational acceleration, respectively, caused by the spacecraft rotation due to the thermal shock; a c is the Coriolis acceleration; a r is the acceleration of the relative motion from the solar panel’s natural oscillations; γ is the deflection angle of the beam from its initial undeformed position.
The relative motion of the beam arises from its natural oscillations, which are caused by the initial energy stored in the system. These are damped oscillations, described by a classical equation of the following form:
w = B Cos ( ω 0 t + φ 0 ) ,
where B is the amplitude of natural oscillations, m; ω0 is the natural frequency of oscillations; φ0 is the initial phase.
Accordingly, one can determine the velocity and acceleration of the relative motion by differentiating (2).
Let us consider the thermal shock from a mechanical perspective. Such rapid heating of the solar panel leads to its deformation, expressed as a deflection. This phenomenon is accompanied by a rotation of the panel’s cross-section. Thus, this impact on the solar panel induces a rotational motion of the spacecraft and constitutes the translational motion of the beam in this formulation.
Considering the first assumption, the acceleration of the translational motion can be defined as the second derivative of the function uz (Expression (1)):
a e = d 2 u z d t 2 2 u z t 2 .
The last approximate equality in (3) implies that the change in the x-coordinate of the beam’s points during its oscillations is negligibly small. The translational angular velocity caused by the thermal shock of the solar panel is determined from the fundamental equation of rotational dynamics:
ω e = M y I S C d t ,
where My is the moment from temperature shock, in the study [19], and is defined as follows:
M y = m S C l 0 l d 2 u z ( x , t ) d t 2   x   d x ,
where Isc is the corresponding component of the spacecraft’s inertia tensor.
In the original system, the problem of the thermal shock’s influence on the parameters of the solar panel’s natural oscillations is solved within a system of bodies: the fixed housing of the spacecraft and the solar panel, which is subject to natural oscillations and thermal shock. The assumptions made allow for the consideration of a reduced system. In this system, the influence of thermal shock is replaced by the rotation of the spacecraft. This rotation is caused by the moment (5). However, in this formulation, the oscillations occur in a moving coordinate system, leading to the emergence of Coriolis acceleration.
a c = 2 ω e V r .
We use the well-known classic expression for complete acceleration during complex movement (p. 176, [21]):
a a = a e + a r + a c .
where a r = w ¨ is the acceleration of relative motion.
We project this equation onto the z axis (Figure 1). The total acceleration of the complex motion, accounting for the influence of the thermal shock on the natural oscillations, is found as follows:
a z = a r Cos γ + a e Cos γ a c Sin γ ,
a z = w ¨ Cos γ + u ¨ z Cos γ 2 w ˙ Sin γ M y I S C d t ,
a z = w ¨ + u ¨ z Cos γ 2 w ˙ Sin γ M y I S C d t ,
where the angle γ is determined numerically, and the functions uz and w are given by Equations (1) and (2), respectively.

4. Results of Numerical Simulation and Their Analysis

The numerical simulations were performed using the Wolfram Mathematica 13.1 software package. A “Starlink” satellite with a single solar panel was chosen as the model spacecraft, and its main characteristics are provided in Appendix A Table A1 and Table A2 [22,23,24,25]. The phenomenon of thermal shock is considered when the spacecraft exits the shadowed part of the orbit into the sunlit segment. The deflection of the beam (the solar panel model) resulting from rapid heating is shown in Figure 2. Note that, in accordance with Assumption 3, this phenomenon occurs at time t1 = 3 s, in the interval t1 = 3 s. In the interval [t0, t1), the beam performed only its natural oscillations.
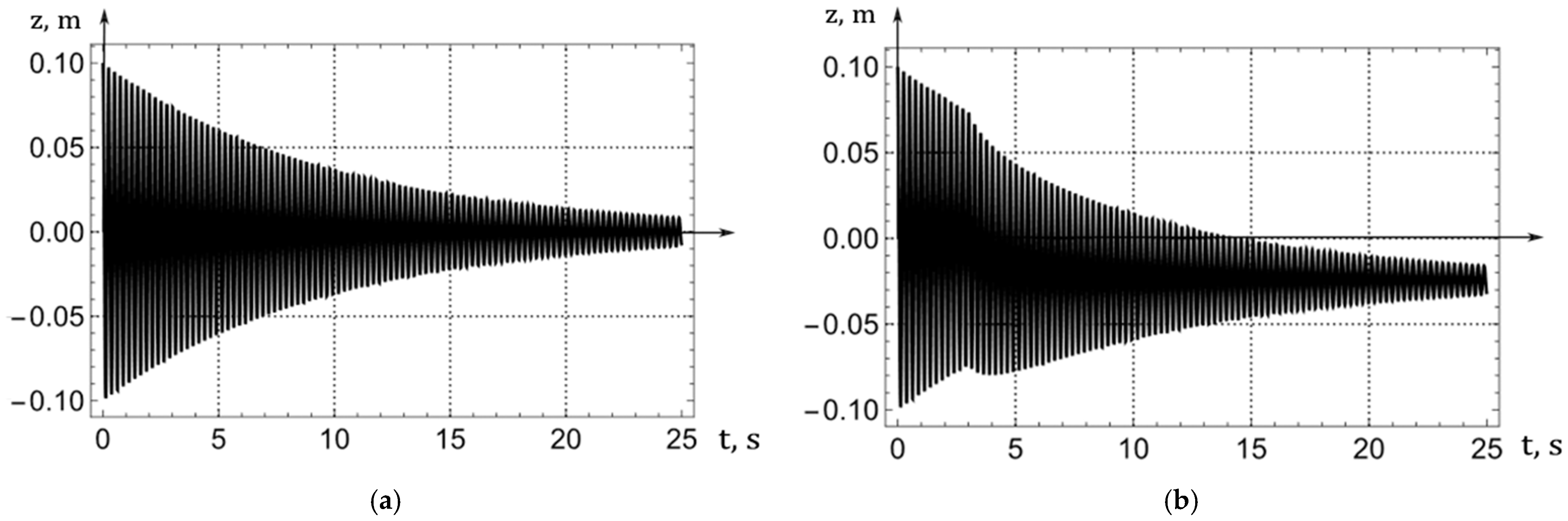
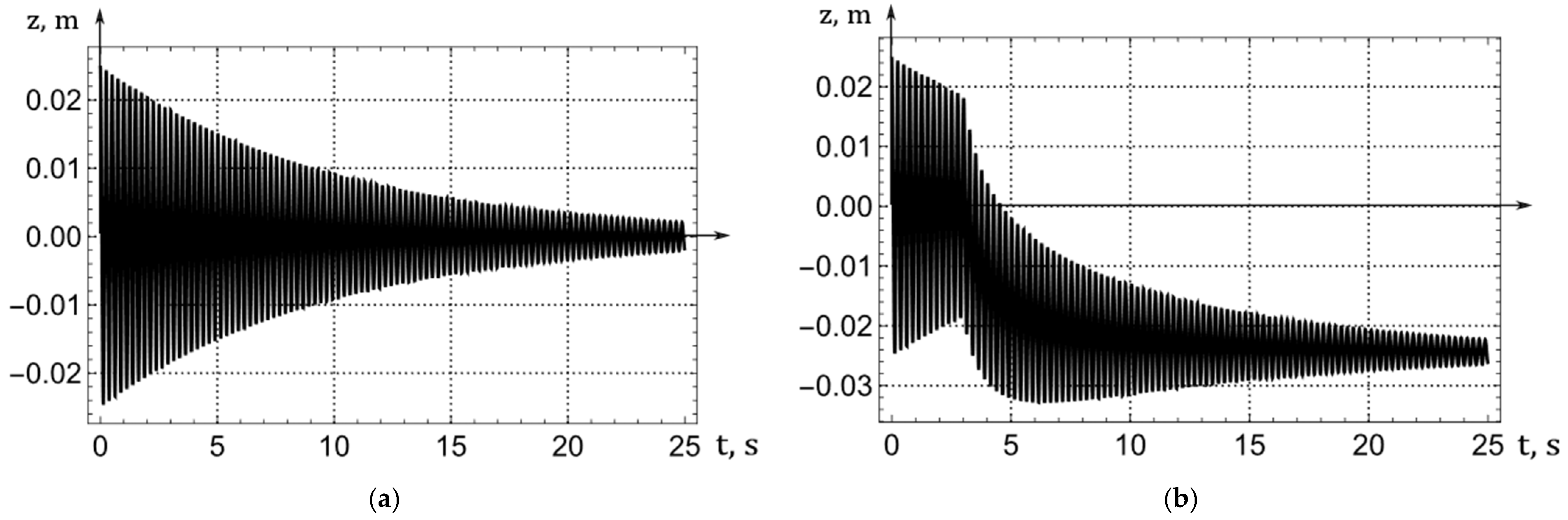
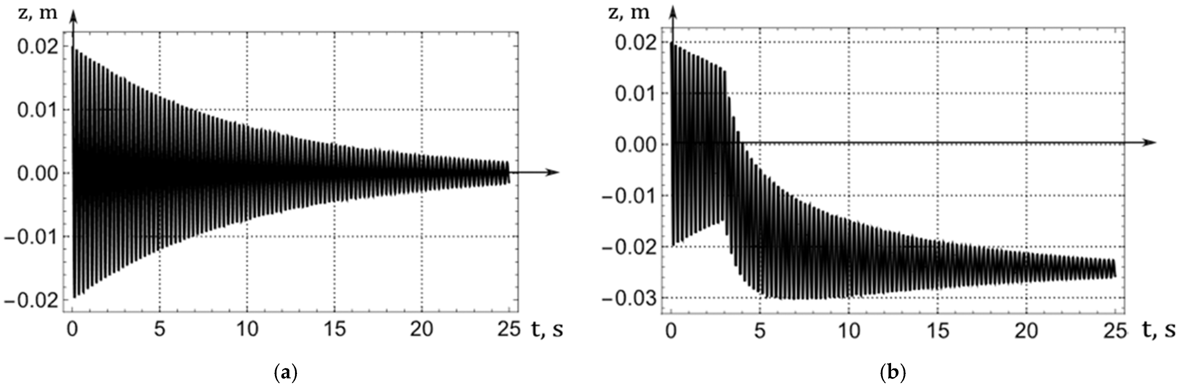
Three cases for the amplitude of natural oscillations were considered. The graphical results are presented in Figure 3, Figure 4 and Figure 5. In the first case, the amplitude of natural oscillations is smaller than the maximum value of the deflection magnitude (Figure 3). In the second case, the amplitude of natural oscillations is equal to the maximum value of the deflection magnitude (Figure 4). In the third case, the amplitude of natural oscillations is greater than the maximum value of the deflection magnitude (Figure 5).
The results demonstrate the significant influence of the thermal shock on the natural oscillations of the model studied. A shift in the equilibrium position, around which the oscillations occur, is observed. This new position depends on the temperature gradient (the temperature difference between the surface layers of the plate). This observation is confirmed in [7] based on the results of a computational experiment in ANSYS 2021 R2.
A joint analysis of Figure 3, Figure 4 and Figure 5 shows that the most pronounced effect of the thermal shock is observed for natural oscillations whose amplitude is of a smaller order of magnitude compared to the thermal deflection. This is due to the sensitivity of small oscillations to changes in temperature conditions and gradients, which affects their dynamic behavior.
In the considered example, both natural and thermally induced oscillations persist for a long time, while their amplitude decreases over time due to damping. From a practical standpoint, for spacecrafts performing mission tasks that are resistant to vibrations, such oscillations can be considered insignificant and neglected. However, for spacecraft whose operational quality depends on orientation accuracy and other parameters, the necessity of accounting for the influence of thermal shock when modeling the natural oscillations of a solar panel is emphasized.
Figure 6 shows the dependencies of the parameters described in the previous section.
Let us conduct a comparative analysis of the model’s total acceleration with and without considering the Coriolis acceleration. For this purpose, they are plotted on the same graph near t = 3 s (the time of the thermal shock occurrence according to Assumption 3).
Analysis of Figure 7 shows that at the moment of thermal shock, a slight shift in the total acceleration of the complex motion occurs. Approximately a couple of seconds later, the acceleration that accounts for this phenomenon converges with the simplified model. This behavior is explained by the fact that, due to the smallness of the angle γ , the Coriolis acceleration is negligible. Meanwhile, the translational acceleration tends towards zero by the seventh second of the simulation. Thus, a simplified model for constructing acceleration without accounting for Coriolis acceleration can be used in simulations. This indicates the applicability of the proposed method for accounting for thermal shock in approximate calculations.

5. Conclusions

Thus, this work has analyzed the influence of thermal shock on the parameters of natural oscillations of a solar panel based on the proposed reduced model. The proposed accounting method simplifies the assessment of the thermal shock’s influence and saves computational resources. This is especially important when using onboard spacecraft computers to formulate an effective control law for its angular motion.
The analysis of the results showed that under the influence of thermal shock, the equilibrium position of the oscillatory process shifts. Primarily, this is associated with the thermal deflection of the solar panel. The reduced model includes Coriolis acceleration. However, it is sufficiently small to be neglected in approximate calculations. This is explained by the fact that in the equation of total acceleration, it is projected with the sine of a small angle γ .
In the paper, an example was given with a spacecraft with one solar battery. This method is also applicable to spacecraft with an arbitrary number of solar panels. However, such a task will be solved with much more difficulty. Since some of the disturbances from various solar panels will be compensated. Some of the disturbances will add up and enhance the effect of the temperature shock. An example of the impact of a temperature shock on a spacecraft with two symmetrical panels is discussed in [26]. However, more complex situations are possible. These situations impose restrictions on the application of the proposed method. They are associated with the determination of the angular velocity of rotation of the given model of the spacecraft. The significant complication of determining the angular velocity neutralizes all the advantages of the proposed method for describing the temperature shock.
Another limitation of the proposed method is the significance of temperature shock disturbances compared to other disturbances. The proportionality of the values of these perturbations makes it possible to correctly use the proposed method. However, the determining influence of temperature shock disturbances makes the application of the proposed approach incorrect.
Considering that thermal shock regularly affects spacecraft, it must be taken into account when modeling solar panel dynamics. This is especially important for tasks where high accuracy in determining dynamic characteristics is crucial.

Author Contributions

Conceptualization, A.V.S.; methodology, A.V.S. and A.S.M.; software, A.V.S. and A.S.M.; validation, A.V.S. and A.S.M.; formal analysis, A.V.S.; investigation, A.V.S. and A.S.M.; resources, A.V.S.; data curation, A.V.S. and A.S.M.; writing—original draft preparation, A.V.S. and A.S.M.; writing—review and editing, A.V.S. and A.S.M.; visualization, A.V.S. and A.S.M.; supervision, A.V.S.; project administration, A.V.S.; funding acquisition, A.V.S. All authors have read and agreed to the published version of the manuscript.

Funding

The research was carried out at the expense of the grant of the Ministry of Education and Science of Russia for the implementation of a major scientific project within the framework of priority areas of scientific and technological development (agreement No. 075–15-2024–558 of 25.04.24).

Data Availability Statement

The data presented in this study are available on request from the corresponding author.

Conflicts of Interest

The authors declare no conflicts of interest.

Appendix A

Appendix A.1

Table A1. The main parameters of the Starlink satellite.
Table A1. The main parameters of the Starlink satellite.
ParameterDesignationValueDimension
Number of solar panelsi1-
Mass of the spacecraftmSC260kg
Mass of the solar panelmSP60kg
Overall dimensions of the spacecraft bodylSC × bSC × hSC3.2 × 1.6 × 0.2m
Overall dimensions of the solar panell × b × h9.6 × 3 × 0.06m
Component of the spacecraft inertia tensorISC591kg·m2

Appendix A.2

Table A2. The main parameters used in the simulation of temperature shock.
Table A2. The main parameters used in the simulation of temperature shock.
ParameterDesignationValueDimension
Panel material-MA2-
Densityρ1780kg/m3
Thermal conductivityλ96.3W/(m·K)
Young’s modulusE4 × 1010Pa
Coefficient of thermal expansionα2.6 × 10−51/K
Specific heat capacityc1130J/(kg·K)
Emissitivity factore0.3-
Stefan–Boltzmann constantΘ5.67 × 10−8W/(m2·K4)
Power of the external heat flowQ1400W/m2
Vacuum temperatureTc3K
Initial temperature of the panelT (x, y, z, 0)200K
Model parameters
(Equation (1))
A10−41/m3
a1s

References

  1. Xie, J.; Qin, J.; Cai, C.; Meng, F.; Pang, A. Closed-Loop Inner–Outer Dual-Loop Attitude Adjustment Control for Dual-Super Spacecraft with Pointing Constraints. Mathematics 2025, 13, 3748. [Google Scholar] [CrossRef]
  2. Li, J.; Kang, H.; Chen, Y.; Chen, X.; Liao, X. Mechanical damage of the composite structure in spacecraft solar array panels under hypervelocity impact. Thin-Walled Struct. 2026, 220, 114327. [Google Scholar] [CrossRef]
  3. Boretti, A. A narrative review of solar electric propulsion for space missions: Technological progress, market opportunities, geopolitical considerations, and safety challenges. J. Space Saf. Eng. 2025, 12, 549–559. [Google Scholar] [CrossRef]
  4. Sedelnikov, A.; Evtushenko, M.; Marshalkina, A. Analytical solution for thermoelastic response of a thin plate subjected to temperature shock. Int. Commun. Heat Mass Transf. 2025, 169, 109737. [Google Scholar] [CrossRef]
  5. Liu, F.; Zhu, D.; Li, S. Research progress on dynamics modeling and high-precision form-attitude cooperative control of ultra-large-scale flexible spacecraft. Sci. Sin.-Phys. Mech. Astron. 2025, 55, 224502. [Google Scholar] [CrossRef]
  6. Kim, D.-Y.; Choi, H.-S.; Lim, J.H. Experimental and Numerical Investigation of Solar Panels Deployment with Tape Spring Hinges Having Nonlinear Hysteresis with Friction Compensation. Appl. Sci. 2020, 10, 7902. [Google Scholar] [CrossRef]
  7. Sedelnikov, A.; Glushkov, S.; Evtushenko, M.; Skvortsov, Y.; Nikolaeva, A. Computer Simulation of the Natural Vibrations of a Rigidly Fixed Plate Considering Temperature Shock. Computation 2025, 13, 49. [Google Scholar] [CrossRef]
  8. Hu, W.; Chen, T.; Zhou, Z. Modelling and semi-active vibration control for spacecraft solar panels equipped with adjustable-stiffness magnetic joints. Aerosp. Sci. Technol. 2025, 165, 110453. [Google Scholar] [CrossRef]
  9. Shen, Y.; Wang, C.; Hua, Y.; Tan, S.; Zheng, Q.; Gao, J. Dynamic analysis and driving parameters study of bidirectional solar array system with multiple clearance joints. Meccanica 2025, 60, 953–972. [Google Scholar] [CrossRef]
  10. Shen, Z.; Hu, G. Thermally Induced Dynamics of a Spinning Spacecraft with an Axial Flexible Boom. J. Spacecr. Rocket. 2015, 52, 1503–1508. [Google Scholar] [CrossRef][Green Version]
  11. Sedelinkov, A.; Nikolaeva, A.; Serdakova, V.; Khnyryova, E. Technologies for Increasing the Control Efficiency of Small Spacecraft with Solar Panels by Taking into Account Temperature Shock. Technologies 2024, 12, 207. [Google Scholar] [CrossRef]
  12. Kumar, B.V.H. An Overview of Evolution of Lithium-Ion Based Battery Management Strategy for Low-Earth Orbit Nanosatellite. J. Aeronaut. Astronaut. Aviat. 2025, 57, 183–195. Available online: https://www.airitilibrary.com/Article/Detail/P20140627004-N202502220001-00005 (accessed on 24 December 2025).
  13. Yang, H.; Yang, R.; Wang, X. Design of a high-precision, high environmental adaptability temperature measurement system for environments with large temperature variations. AIP Adv. 2022, 12, 115214. [Google Scholar] [CrossRef]
  14. Wang, A.; Wang, S.; Wang, G. Hierarchical Control for Microgravity Vibration Isolation System: Collision Avoidance and Execution Enhancement. IEEE Trans. Aerosp. Electron. Syst. 2024, 60, 6084–6094. [Google Scholar] [CrossRef]
  15. Lorenzo, L.O.; Giacomuzzo, C.; Francesconi, A. Fragments analysis of an hypervelocity impact experiment on a solar array. Acta Astronaut. 2024, 214, 316–323. [Google Scholar] [CrossRef]
  16. Oda, M.; Hagiwara, Y.; Suzuki, S.; Nakamura, T.; Inaba, N.; Sawada, H.; Yoshii, M.; Goto, N. Measurement of Satellite Solar Array Panel Vibrations Caused by Thermal Snap and Gas Jet Thruster Firing. InTech 2011. [Google Scholar] [CrossRef][Green Version]
  17. Bi, Y.; Gao, W.; Fan, C.; Xiang, Z.; Du, C. Experimental study on thermally induced vibration of flexible solar cell wing simulator. J. Phys. Conf. Ser. 2024, 2882, 012068. [Google Scholar] [CrossRef]
  18. Li, Y.; Wang, C.; Huang, W. Rigid-flexible-thermal analysis of planar composite solar array with clearance joint considering torsional spring, latch mechanism and attitude controller. Nonlinear Dyn. 2019, 96, 2031–2053. [Google Scholar] [CrossRef]
  19. Sedelnikov, A.V.; Orlov, D.I.; Serdakova, V.V.; Nikolaeva, A.S. Investigation of the Stress-Strain State of a Rectangular Plate after a Temperature Shock. Mathematics 2023, 11, 638. [Google Scholar] [CrossRef]
  20. Nikolaeva, A.S.; Evtushenko, M.A.; Manukyan, L.A. Investigation of the accuracy of an approximate solution of the initial boundary value problem of thermal conductivity with boundary conditions of the third kind. Int. J. Math. Model. Numer. Optim. 2025, 15, 52–63. [Google Scholar] [CrossRef]
  21. Deleanu, D. Theoretical Mechanics. Theory and Applications; Nautica Publishing House: Constanta, Roumania, 2012; p. 298. [Google Scholar] [CrossRef]
  22. Pehterev, S.V.; Makarenko, S.I.; Kovalsky, A.A. Descriptive Model of Starlink Satellite Communication System. Syst. Control Commun. Secur. 2022, 4, 190–255. (In Russian) [Google Scholar] [CrossRef]
  23. Cakaj, S. The Parameters Comparison of the “Starlink” LEO Satellites Constellation for Different Orbital Shells. Front. Commun. Netw. 2021, 2, 643095. [Google Scholar] [CrossRef]
  24. Ren, S.; Yang, X.; Wang, R.; Liu, S.; Sun, X. The Interaction between the LEO Satellite Constellation and the Space Debris Environment. Appl. Sci. 2021, 11, 9490. [Google Scholar] [CrossRef]
  25. Zhang, W.; Wang, X.; Cui, W.; Zhao, Z.; Chen, S. Self-induced collision risk of the Starlink constellation based on long-term orbital evolution analysis. Astrodynamics 2023, 7, 445–453. [Google Scholar] [CrossRef]
  26. Sedelnikov, A.V.; Orlov, D.I.; Serdakova, V.V.; Nikolaeva, A.S. The Symmetric Formulation of the Temperature Shock Problem for a Small Spacecraft with Two Elastic Elements. Symmetry 2023, 15, 172. [Google Scholar] [CrossRef]
Figure 1. Solar panel point movement diagram.
Figure 1. Solar panel point movement diagram.
Computation 14 00028 g001
Figure 2. The dynamics of the beam deflection magnitude due to thermal shock.
Figure 2. The dynamics of the beam deflection magnitude due to thermal shock.
Computation 14 00028 g002
Figure 3. The natural oscillations of the plate for B = 0.02 m: (a) without thermal shock; (b) with thermal shock.
Figure 3. The natural oscillations of the plate for B = 0.02 m: (a) without thermal shock; (b) with thermal shock.
Computation 14 00028 g003
Figure 4. The natural oscillations of the plate for B = 0.025 m: (a) without thermal shock; (b) with thermal shock.
Figure 4. The natural oscillations of the plate for B = 0.025 m: (a) without thermal shock; (b) with thermal shock.
Computation 14 00028 g004
Figure 5. The natural oscillations of the plate for B = 0.1 m: (a) without thermal shock; (b) with thermal shock.
Figure 5. The natural oscillations of the plate for B = 0.1 m: (a) without thermal shock; (b) with thermal shock.
Computation 14 00028 g005
Figure 6. The model accelerations for A = 0.02 m: (a) translational acceleration; (b) Coriolis acceleration; (c) total acceleration according to Formula (7).
Figure 6. The model accelerations for A = 0.02 m: (a) translational acceleration; (b) Coriolis acceleration; (c) total acceleration according to Formula (7).
Computation 14 00028 g006
Figure 7. Comparison of the total acceleration constructed using the model with Coriolis acceleration (solid line) and without it (dashed line).
Figure 7. Comparison of the total acceleration constructed using the model with Coriolis acceleration (solid line) and without it (dashed line).
Computation 14 00028 g007
Disclaimer/Publisher’s Note: The statements, opinions and data contained in all publications are solely those of the individual author(s) and contributor(s) and not of MDPI and/or the editor(s). MDPI and/or the editor(s) disclaim responsibility for any injury to people or property resulting from any ideas, methods, instructions or products referred to in the content.

Share and Cite

MDPI and ACS Style

Sedelnikov, A.V.; Marshalkina, A.S. Method for Simulating Solar Panel Oscillations Considering Thermal Shock. Computation 2026, 14, 28. https://doi.org/10.3390/computation14020028

AMA Style

Sedelnikov AV, Marshalkina AS. Method for Simulating Solar Panel Oscillations Considering Thermal Shock. Computation. 2026; 14(2):28. https://doi.org/10.3390/computation14020028

Chicago/Turabian Style

Sedelnikov, Andrey V., and Alexandra S. Marshalkina. 2026. "Method for Simulating Solar Panel Oscillations Considering Thermal Shock" Computation 14, no. 2: 28. https://doi.org/10.3390/computation14020028

APA Style

Sedelnikov, A. V., & Marshalkina, A. S. (2026). Method for Simulating Solar Panel Oscillations Considering Thermal Shock. Computation, 14(2), 28. https://doi.org/10.3390/computation14020028

Note that from the first issue of 2016, this journal uses article numbers instead of page numbers. See further details here.

Article Metrics

Back to TopTop