Aerodynamics of Short Intake at High Incidence †
Abstract
1. Introduction
2. Methodology
3. Results
3.1. Comparison Between Isolated and Installed LLF-DNW Intake Aerodynamics
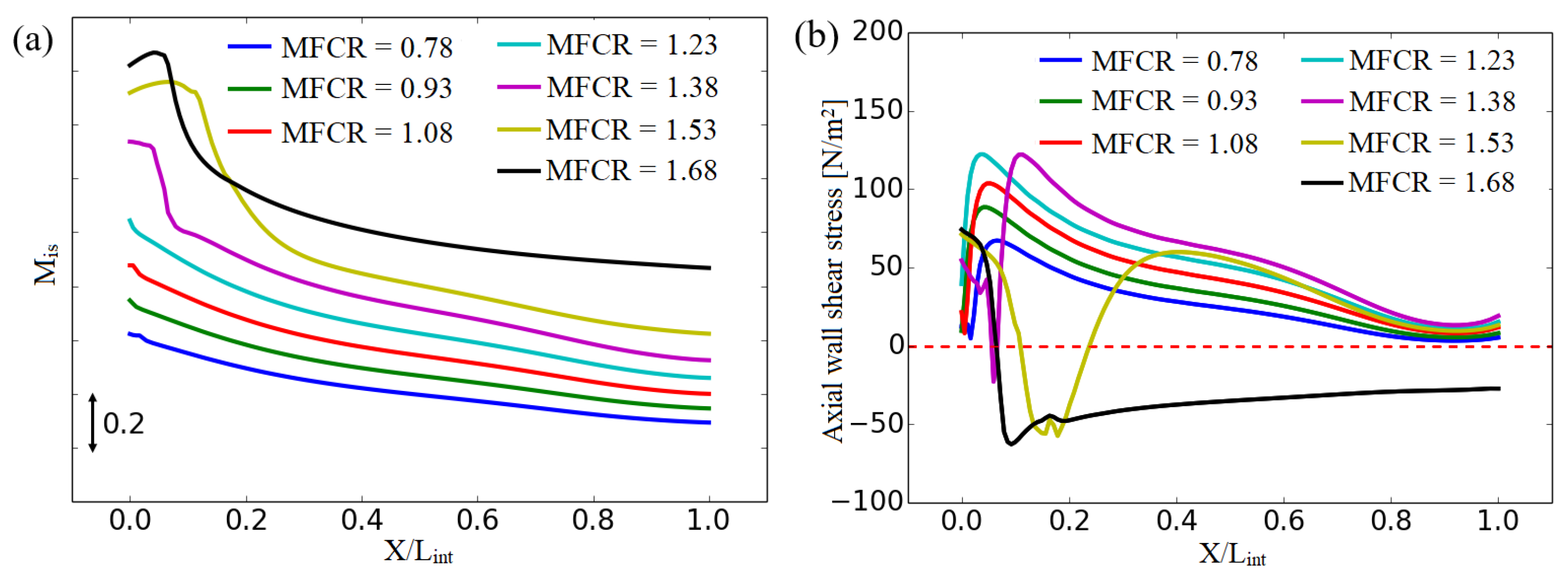
3.2. Intake Aerodynamics at High Incidence Angle

3.3. Full-Annulus Installed Computations
4. Conclusions
Author Contributions
Funding
Data Availability Statement
Conflicts of Interest
Nomenclature and Abbreviations
| Nomenclature | |
| A | Area |
| D | Diameter |
| Total pressure distortion metric | |
| in | Inches |
| L | Length |
| M | Mach number |
| Intake aero-line | |
| Subscripts | |
| crit | Critical |
| crit,1 | Critical at ≈ 1.0 |
| crit,2 | Critical at ≈ 1.5 |
| hi | Highlight |
| int | Intake |
| is | Isentropic |
| ref | Reference |
| 0 | Total |
| ∞ | Inlet working section |
| Abbreviations | |
| AIP | Aerodynamic interface plane |
| AoA | Angle of attack |
| HMP | Harmonic mixing plane |
| LLF-DNW | Large Low-Speed Facility of the German Dutch Wind Tunnels |
| Massflow capture ratio | |
| WT | Wind tunnel |
References
- Birch, N. 2020 Vision: The Prospects for Large Civil Aircraft Propulsion. Aeronaut. J. 2000, 104, 347–352. [Google Scholar] [CrossRef]
- Daggett, D. Ultra-Efficient Engine Technology Systems Integration and Environmental Assessment; Technical Report CR-2002-211754; NASA: Washington, DC, USA, 2002. [Google Scholar]
- Daggett, D.; Brown, S.; Kawat, R. Ultra-Efficient Engine Diameter Study; Technical Report CR-2003-212309; NASA: Washington, DC, USA, 2003. [Google Scholar]
- Boscagli, L.; MacManus, D.; Christie, R.; Sheaf, C. Effect of Unsteady Fan-Intake Interaction on Short Intake Design. J. Eng. Gas Turbines Power 2023, 146, 031008. [Google Scholar] [CrossRef]
- Sanchez-Moreno, F.; MacManus, D.; Hueso-Rebassa, J.; Tejero, F.; Matesanz-Garcia, J.; Sheaf, C. Optimization of Installed Compact and Robust Nacelles Using Surrogate Models. In Proceedings of the 33rd Congress of the International Council of the Aeronautical Sciences: ICAS 2022, Stockholm, Sweden, 4–9 September 2022. [Google Scholar]
- Hueso-Rebassa, J.; MacManus, D.; Tejero, F.; Goulos, I.; Sánchez-Moreno, F.; Sheaf, C. Design Optimisation of Non-Axisymmetric Exhausts for Installed Civil Aero-Engines. Aerosp. Sci. Technol. 2023, 142, 108700. [Google Scholar] [CrossRef]
- Tejero, F.; MacManus, D.; Goulos, I.; Sheaf, C. Propulsion Integration Study of Civil Aero-Engine Nacelles. Aeronaut. J. 2023, 128, 325–339. [Google Scholar] [CrossRef]
- Tejero, F.; MacManus, D.; Heidebrecht, A.; Sheaf, C. Artificial Neural Network for Preliminary Design and Optimisation of Civil Aero-engine Nacelles. Aeronaut. J. 2024, 128, 2261–2280. [Google Scholar] [CrossRef]
- Abdul-Kaiyoom, M.; Lamkin, A.; Yildrim, A.; Gray, J.S.; Mader, C.A.; Martins, J. Coupled Aeropropulsive Design Optimization of a Podded Electric Propulsor. Struct. Multidiscip. Optim. 2025, 68, 13. [Google Scholar] [CrossRef]
- Cao, T.; Vadlamani, N.R.; Tucker, P.G.; Smith, A.R.; Slaby, M.; Sheaf, C. Fan–Intake Interaction Under High Incidence. J. Eng. Gas Turbines Power 2016, 139, 041204. [Google Scholar] [CrossRef]
- Boscagli, L.; Christie, R.; MacManus, D.; Piovesan, T. Aerodynamics of a short intake in crosswind. Aerosp. Sci. Technol. 2022, 129, 107826. [Google Scholar] [CrossRef]
- Reid, C. The Response of Axial Flow Compressors to Intake Flow Distortion. In Proceedings of the ASME 1969 Gas Turbine Conference and Products Show, Cleveland, OH, USA, 9–13 March 1969; p. V001T01A029. [Google Scholar]
- Ma, Y.; Cui, J.; Vadlamani, N.R.; Tucker, P. Effect of Fan on Inlet Distortion: Mixed-Fidelity Approach. AIAA J. 2018, 56, 2350–2360. [Google Scholar] [CrossRef]
- Burlot, A.; Sartor, F.; Vergez, M.; Meheut, M.; Barrier, R. Method Comparison for Fan Performance in Short Intake Nacelle. In Proceedings of the 2018 Applied Aerodynamics Conference, Atlanta, GA, USA, 25–29 June 2018. AIAA Paper 2018-4204. [Google Scholar]
- Peters, A.; Spakovszky, Z.S.; Lord, W.K.; Rose, B. Ultrashort Nacelles for Low Fan Pressure Ratio Propulsors. J. Turbomach. 2014, 137, 021001. [Google Scholar] [CrossRef]
- Kennedy, S.; Robinson, T.; Spence, S.; Richardson, J. Computational Investigation of Inlet Distortion at High Angles of Attack. J. Aircr. 2014, 51, 361–376. [Google Scholar] [CrossRef]
- Silva, V.T.; Lundbladh, A.; Petit, O.; Xisto, C. Multipoint Aerodynamic Design of Ultrashort Nacelles for Ultrahigh-Bypass-Ratio Engines. J. Propuls. Power 2022, 38, 541–558. [Google Scholar] [CrossRef]
- Carnevale, M.; Wang, F.; Green, J.S.; Mare, L.D. Lip Stall Suppression in Powered Intakes. J. Propuls. Power 2016, 32, 161–170. [Google Scholar] [CrossRef]
- Magrini, A.; Benini, E. Study of Geometric Parameters for the Design of Short Intakes with Fan Modelling. Chin. J. Aeronaut. 2022, 35, 18–32. [Google Scholar] [CrossRef]
- Gunn, E.J.; Brandvik, T.; Wilson, M.J. Fan-Intake Coupling with Conventional and Short Intakes. In Turbo Expo: Power for Land, Sea, and Air; Volume 1: Aircraft Engine; Fans and Blowers; Marine; Wind Energy; Scholar Lecture; American Society of Mechanical Engineers: New York, NY, USA, 2021; p. V001T01A003. [Google Scholar]
- Coschignano, A.; Babinsky, H. Influence of Near-Leading Edge Curvature on the Performance of Aero-Engine Intake Lips at High-Incidence. In Proceedings of the 34th AIAA Applied Aerodynamics Conference, Washington, DC, USA, 13–17 June 2016. AIAA Paper 2016-3559. [Google Scholar]
- Coschignano, A.; Atkins, N.; Babinsky, H.; Serna, J. Effect of Reynolds Number on a Normal Shock Wave-Transitional Boundary-Layer Interaction over a Curved Surface. Exp. Fluids 2019, 60, 185. [Google Scholar] [CrossRef]
- Hodder, B.K. An Investigation of Engine Influence on Inlet Performance; Technical Report NASA CR-166136; NASA: Washington, DC, USA, 1981. [Google Scholar]
- Tejero, F.; MacManus, D.; Hueso-Rebassa, J.; Frey, Y.; Bousfield, I. Aerodynamics of a Short Intake at High Incidence. In Proceedings of the 16th European Turbomachinery Conference, ETC2025, Hannover, Germany, 24–25 March 2025. Paper ETC2025-298. [Google Scholar]
- Greitzer, E.M.; Mazzawy, R.S.; Fulkerson, D.A. Flow Field Coupling Between Compression System Components in Asymmetric Flow. J. Eng. Power 1978, 100, 66–72. [Google Scholar] [CrossRef]
- Roache, P. A Method for Uniform Reporting of Grid Refinement Studies. J. Fluids Eng. 1994, 116, 405–413. [Google Scholar] [CrossRef]
- Mohankumar, B.; Hall, C.; Wilson, M. Fan Aerodynamics With a Short Intake at High Angle of Attack. J. Turbomach. 2021, 143, 051003. [Google Scholar] [CrossRef]
- Moinier, P. Algorithm Developments for an Unstructured Viscous Flow Solver. Ph.D. Thesis, University of Oxford, Oxford, UK, 1999. [Google Scholar]
- Menter, F.R. Two-Equation Eddy-Viscosity Turbulence Models for Engineering Applications. AIAA J. 1994, 32, 1598–1605. [Google Scholar] [CrossRef]
- Crumpton, P.I.; Moinier, P.; Giles, M.B. An Unstructured Algorithm for High Reynolds Number Flows on Highly Stretched Grids. In Proceedings of the 10th International Conference on Numerical Methods for Fluid Dynamics, Swansea, UK, 21–25 July 1997. [Google Scholar]
- Misev, C.; Hills, N.J. Steepest Descent Optimisation of Runge–Kutta Coefficients for Second Order Implicit Finite Volume CFD Codes. J. Comput. Phys. 2018, 354, 576–592. [Google Scholar] [CrossRef]
- Sutherland, W. The Viscosity of Gases and Molecur Force. Philos. Mag. 1893, 5, 507–531. [Google Scholar] [CrossRef]
- Amirante, D.; Ganine, V.; Hills, N.; Nicholas, J.; Adami, P. A Coupling Framework for Multi-Domain Modelling and Multi-Physics Simulations. Entropy 2021, 23, 758. [Google Scholar] [CrossRef] [PubMed]
- Ganine, V.; Amirante, D.; Hills, N. Enhancing Performance and Scalability of Data Transfer Across Sliding Grid Interfaces for Time-Accurate Unsteady Simulations of Multistage Turbomachinery Flows. Comput. Fluids 2015, 115, 140–153. [Google Scholar] [CrossRef]
- Pullan, G.; Adamczyk, J.J. Filtering Mixing Planes for Low Reduced Frequency Analysis of Turbomachines. J. Turbomach. 2017, 139, 091009. [Google Scholar] [CrossRef]
- Mottaghian, P.; Yuan, J.; Piomelli, U. Boundary Layer Separation Under Strong Adverse Pressure Gradient over Smooth and Rough Walls. In Proceedings of the Direct and Large-Eddy Simulation X; Springer International Publishing: Cham, Switzerland, 2018; pp. 173–179. [Google Scholar]
- Carnevale, M.; Wang, F.; di Mare, L. Low Frequency Distortion in Civil Aero-engine Intake. J. Eng. Gas Turbines Power 2016, 139, 041203. [Google Scholar] [CrossRef]
- Ma, Y.; Vadlamani, V.R.; Cui, J.; Tucker, P. Comparative Studies of RANS Versus Large Eddy Simulation for Fan–Intake Interaction. J. Fluids Eng. 2018, 141, 031106. [Google Scholar] [CrossRef]
- Kalsi, H.S.; Tucker, P.G. Numerical Modelling of Shock Wave Boundary Layer Interactions in Aero-Engine Intakes at Incidence. In Proceedings of the ASME Turbo Expo 2018: Turbomachinery Technical Conference and Exposition, Oslo, Norway, 11–15 June 2018; Volume 1: Aircraft Engine; Fans and Blowers; Marine. [Google Scholar]













| Component | Coarse | Medium | Fine |
|---|---|---|---|
| Wind tunnel | |||
| Rig | |||
| Intake | |||
| Total |
Disclaimer/Publisher’s Note: The statements, opinions and data contained in all publications are solely those of the individual author(s) and contributor(s) and not of MDPI and/or the editor(s). MDPI and/or the editor(s) disclaim responsibility for any injury to people or property resulting from any ideas, methods, instructions or products referred to in the content. |
© 2026 by the authors. Published by MDPI on behalf of the EUROTURBO. Licensee MDPI, Basel, Switzerland. This article is an open access article distributed under the terms and conditions of the Creative Commons Attribution (CC BY-NC-ND) license.
Share and Cite
Tejero, F.; MacManus, D.; Hueso-Rebassa, J.; Frey Marioni, Y.; Bousfield, I. Aerodynamics of Short Intake at High Incidence. Int. J. Turbomach. Propuls. Power 2026, 11, 6. https://doi.org/10.3390/ijtpp11010006
Tejero F, MacManus D, Hueso-Rebassa J, Frey Marioni Y, Bousfield I. Aerodynamics of Short Intake at High Incidence. International Journal of Turbomachinery, Propulsion and Power. 2026; 11(1):6. https://doi.org/10.3390/ijtpp11010006
Chicago/Turabian StyleTejero, Fernando, David MacManus, Josep Hueso-Rebassa, Yuri Frey Marioni, and Ian Bousfield. 2026. "Aerodynamics of Short Intake at High Incidence" International Journal of Turbomachinery, Propulsion and Power 11, no. 1: 6. https://doi.org/10.3390/ijtpp11010006
APA StyleTejero, F., MacManus, D., Hueso-Rebassa, J., Frey Marioni, Y., & Bousfield, I. (2026). Aerodynamics of Short Intake at High Incidence. International Journal of Turbomachinery, Propulsion and Power, 11(1), 6. https://doi.org/10.3390/ijtpp11010006

