Sign in to use this feature.

Years

Between: -

Subjects

remove_circle_outline
remove_circle_outline
remove_circle_outline
remove_circle_outline
remove_circle_outline
remove_circle_outline
remove_circle_outline
remove_circle_outline
remove_circle_outline

Journals

remove_circle_outline
remove_circle_outline
remove_circle_outline
remove_circle_outline
remove_circle_outline
remove_circle_outline

Article Types

Countries / Regions

remove_circle_outline
remove_circle_outline

Search Results (501)

Search Parameters:
Keywords = selenium compounds

Order results
Result details
Results per page
Select all
Export citation of selected articles as:
20 pages, 2006 KB  
Article
Foliar-Selenium-Induced Modulation of Volatile Organic Compounds in Rice Grains: A Comparative Study of Sodium Selenite and Nano-Selenium
by Yin Xiong, Yingying Hu, Ruomeng Li, Haoyue Cheng, Yulin Wu, Xuhong Tian, Yibo Chen, Jingbo Zhou, Lei Zhao and Chongrong Wang
Foods 2025, 14(19), 3399; https://doi.org/10.3390/foods14193399 - 30 Sep 2025
Abstract
Rice aroma is influenced by many factors, including selenium (Se) fertilizer. In this study, we investigated the effects of different Se species on the volatile organic compounds (VOCs) in three indica rice varieties over 2022 and 2023 by forliar spray. The VOCs were [...] Read more.
Rice aroma is influenced by many factors, including selenium (Se) fertilizer. In this study, we investigated the effects of different Se species on the volatile organic compounds (VOCs) in three indica rice varieties over 2022 and 2023 by forliar spray. The VOCs were analyzed using HS-SPME-GC-MS. The results showed that both Se nanoparticles (SeNPs) and sodium selenite (Na2SeO3) significantly increased the contents of most VOCs in all three varieties, with SeNPs exhibiting a more pronounced effect. PCA and OPLS-DA revealed distinct clustering of the VOCs based on Se treatments and rice varieties. By variable importance in projection (VIP) analysis with FDR correction, Na2SeO3 yielded 7 markers, whereas SeNP treatment identified 18. Every marker detected under Na2SeO3 was fully encompassed within the SeNPs set. Three-factor ANOVA indicated that there are significant interaction effects among Se species, rice variety, and planting year. Additionally, the effect sizes were evaluated in the key VOCs to quantify the effect of Se species, rice variety, and planting year. The findings highlight Se fertilizers to enhance rice aroma and suggest selecting appropriate Se species and rice varieties for aroma improvement. Full article
11 pages, 739 KB  
Brief Report
Amyotrophic Lateral Sclerosis Patients Show Higher Urinary Levels of Lead and Copper: A Pilot Case-Control Study
by Ana Santurtún, Lucía Pérez-Soberón, María José Sedano and Javier Riancho
Biomedicines 2025, 13(10), 2385; https://doi.org/10.3390/biomedicines13102385 - 29 Sep 2025
Abstract
Background/Objectives: Amyotrophic Lateral Sclerosis (ALS) is the most frequent neurodegenerative disease affecting motor neurons. Sporadic ALS cases, which represent over 90% of the total, result from the interaction between genetic predisposition, aging, and environmental factors. Regarding natural environmental risk factors, the analysis of [...] Read more.
Background/Objectives: Amyotrophic Lateral Sclerosis (ALS) is the most frequent neurodegenerative disease affecting motor neurons. Sporadic ALS cases, which represent over 90% of the total, result from the interaction between genetic predisposition, aging, and environmental factors. Regarding natural environmental risk factors, the analysis of the role of exposure to heavy metals is of particular interest due to the well-known neurological effects of certain compounds. This study aims to compare the levels of heavy metals in urine samples in a cohort of patients with ALS who have not changed their living environment with the levels found in healthy controls (HCs). Methods: A cross-sectional case-control (14 patients with ALS vs. 28 HC) observational study was conducted in which urine samples were analyzed for five heavy metals (lead, manganese, selenium, copper, and zinc) using Inductively Coupled Plasma Mass Spectrometry (ICP-MS). Results: The patients with ALS showed significantly higher urine levels of lead (p < 0.001) and copper (p = 0.007) and a subtle increase in manganese concentrations (p = 0.043). Urine samples reflect recent exposures, so if the source of metals was related to the residential environment (the patients in the present study had not moved), dietary habits, or certain activities or hobbies that had not changed since diagnosis, it would be representative. Conclusions: In this pilot study, patients with ALS presented higher urinary levels of lead, manganese, and copper. Future larger studies are needed to elucidate the precise role of these heavy metals in ALS pathogenesis. Full article
Show Figures

Figure 1

15 pages, 2703 KB  
Article
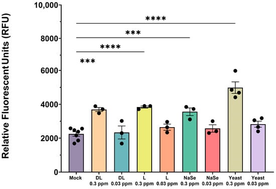
Differential Effects of Selenium Compounds on Mitochondrial Function in PRRSV-Infected Porcine Alveolar Macrophages
by Abigail Williams, Christina Bourne, John Byrne, Chaitawat Sirisereewan, Brittany M. Pecoraro and Elisa Crisci
Viruses 2025, 17(10), 1303; https://doi.org/10.3390/v17101303 - 26 Sep 2025
Abstract
Selenium (Se) is a trace mineral with antioxidant and anti-inflammatory properties. Se deficiency increases oxidative stress and immunosuppression. In swine, dietary Se supplementation enhances immunity and growth, and previous studies suggest it protects immune cells during viral infection. Porcine reproductive and respiratory syndrome [...] Read more.
Selenium (Se) is a trace mineral with antioxidant and anti-inflammatory properties. Se deficiency increases oxidative stress and immunosuppression. In swine, dietary Se supplementation enhances immunity and growth, and previous studies suggest it protects immune cells during viral infection. Porcine reproductive and respiratory syndrome virus (PRRSV) causes severe respiratory and reproductive failure in swine, resulting in annual losses of 1.2 billion USD. Vaccine efficacy is hampered by the virus’s high mutation rate, requiring alternative approaches. This study examines the effects of organic (DL-Selenomethionine, L-Selenomethionine, yeast-selenium) and inorganic (sodium selenite) Se on PRRSV infection in vitro. Porcine alveolar macrophages, the primary target of PRRSV in the lung, were isolated from healthy animals and infected with PRRSV-2 with or without Se. Mitochondrial function, gene expression, oxidative stress, and viral load were assessed post-infection. DL-selenomethionine showed increased glycolytic and mitochondrial ATP production relative to other compounds, suggesting improved mitochondrial function. No antiviral activity against PRRSV was observed. Transcriptome analysis revealed infection-driven modulation, with upregulation of IL6, IL8, IL1B1, MX1, and TXNRD1, but Se had no significant effect. While Se did not exhibit antiviral activity in vitro, its enhancement of mitochondrial function offers additional insight supporting its potential immunomodulatory benefits observed in previous in vivo studies. Full article
(This article belongs to the Special Issue Porcine Viruses 2025)
Show Figures

Figure 1

18 pages, 1354 KB  
Article
Investigating the Molecular Impact of GGMSC on Redox and Metabolic Pathways in Pancreatic Cancer Cells
by Arun Kumar Selvam, Mehran Ghaderi, Joakim Dillner, Shaheen Majeed and Mikael Björnstedt
Antioxidants 2025, 14(10), 1163; https://doi.org/10.3390/antiox14101163 - 25 Sep 2025
Abstract
Pancreatic ductal adenocarcinoma (PDAC) remains a highly aggressive malignancy with limited treatment options. Targeting metabolic vulnerabilities and disrupting redox stress pathways has gained increasing attention as a potential therapeutic strategy. γ-Glutamyl-selenomethylselenocysteine (GGMSC) is a selenium-containing compound structurally related to seleno-L-methylselenocysteine (MSC), which has [...] Read more.
Pancreatic ductal adenocarcinoma (PDAC) remains a highly aggressive malignancy with limited treatment options. Targeting metabolic vulnerabilities and disrupting redox stress pathways has gained increasing attention as a potential therapeutic strategy. γ-Glutamyl-selenomethylselenocysteine (GGMSC) is a selenium-containing compound structurally related to seleno-L-methylselenocysteine (MSC), which has shown anticancer potential in preclinical models, although its molecular effects in PDAC are not well defined. In this study, we investigated the transcriptomic response to high-dose GGMSC in two PDAC cell lines, CAPAN-2 and HPAF-II. RNA sequencing and cytotoxicity assays revealed marked sensitivity to GGMSC in CAPAN-2 cells, associated with activation of oxidative stress and ferroptosis-related pathways, alongside downregulation of metabolic and cell cycle genes. Conversely, HPAF-II cells displayed limited transcriptional alterations and maintained proliferative and metabolic programs. These findings offer insights into the molecular mechanisms underlying GGMSC-induced transcriptional responses in PDAC and suggest potential avenues for future investigations of selenium-based therapies in pancreatic cancer. Full article
Show Figures

Graphical abstract

29 pages, 2847 KB  
Article
Effect of Selenium Fortification on Growth Performance and Nutritional Compounds of Kale (Brassica oleracea L. Var. acephala DC.)
by Xiu-Ying Zeng, Han Liao, Le-Cheng Shen, Qi Zou, Ting-Ting Lv, Mei Wang and Xiao-Yin Wang
Foods 2025, 14(18), 3283; https://doi.org/10.3390/foods14183283 - 22 Sep 2025
Viewed by 283
Abstract
This study aims to investigate the effects of selenium (Se) fortification on growth performance and the Se content in kale using Se fertilizer, and it determines the influences of Se fortification on the metabolic profile of kale using quasi-targeted metabolomics. The results showed [...] Read more.
This study aims to investigate the effects of selenium (Se) fortification on growth performance and the Se content in kale using Se fertilizer, and it determines the influences of Se fortification on the metabolic profile of kale using quasi-targeted metabolomics. The results showed that Se fortification increased the plant height and leaf weight of kale, up-regulated the total Se content and decreased the chlorophyll and total phenolic contents in kale leaf. Se fortification elevated selenate (Se(IV)), selenite (Se(VI)), selenocystine (SeCys2), Se-methylselenocysteine (Se-MeSeCys) and selenomethionine (SeMet) contents, as well as total contents of Se in different forms in kale leaf. Se fortification also changed the metabolic profile of kale leaf, via six particular types of compounds (amino acid and its derivatives; organic acid and its derivatives; carbohydrates and its derivatives; lipids; flavonoids; organoheterocyclic compounds) and eight metabolic pathways (alanine, aspartate and glutamate metabolism; amino sugar and nucleotide sugar metabolism; sulfur metabolism; starch and sucrose metabolism; taurine and hypotaurine metabolism; glycolysis/gluconeogenesis; fructose and mannose metabolism; nitrogen metabolism). Moreover, 24 metabolic biomarkers were screened for kale leaf affected by Se fortification. Furthermore, correlations were observed between metabolic biomarkers and Se contents as well as speciation. These results indicate that Se fortification has a significant influence on the growth performance and nutritional compounds of kale, providing references for the future study on the production and bioactivity of Se-enriched kale. Full article
Show Figures

Graphical abstract

21 pages, 1821 KB  
Article
Seedling Priming with Selenium Enhances the Biofortification Strategies in the Production of Broccoli Florets
by Anyela Pierina Vega Quispe, Everton Geraldo de Morais, Debora Teixeira Prado, Gilson Gustavo Lucinda Machado, Pedro Antônio Namorato Benevenute, João Victor da Costa Cezar, Eduardo Valério de Barros Vilas Boas, Guilherme Lopes and Luiz Roberto Guimarães Guilherme
Agronomy 2025, 15(9), 2207; https://doi.org/10.3390/agronomy15092207 - 17 Sep 2025
Viewed by 270
Abstract
Agronomic biofortification strategies have been used to increase selenium (Se) concentrations in edible parts, with broccoli cultivation showing high potential. Recent studies have demonstrated that prior application of selected elements during the seedling phase (priming) can enhance agronomic biofortification when this element is [...] Read more.
Agronomic biofortification strategies have been used to increase selenium (Se) concentrations in edible parts, with broccoli cultivation showing high potential. Recent studies have demonstrated that prior application of selected elements during the seedling phase (priming) can enhance agronomic biofortification when this element is applied during the adult phase; however, no such effect has yet been reported for Se. Additionally, Se concentration in broccoli florets may be affected by post-harvest processing, thus determining losses is essential in the agronomic biofortification process. This study aimed to determine whether seedling production with priming using selenium (Se) could enhance different agronomic biofortification strategies for Se, and to evaluate the effect of post-processing on the Se concentration in broccoli. Seedlings were produced with and without priming (75 mg L−1 of Se), and different application methods (soil and foliar), sources, and doses of Se were tested on Se concentration in broccoli florets. Foliar application strategies for Se were more effective than soil application for producing Se-biofortified broccoli. Seedlings produced and subjected to Se application to promote the priming effect enhanced Se absorption and increased Se concentration in broccoli florets. However, the highest Se absorption with a dry mass concentration exceeding 18 mg kg−1 reduced broccoli production, except for Se applied via multi-nutrient fertilizer. Foliar fertilization strategies using 50 g of Se ha−1 via multi-nutrient fertilizer, Se + organic compounds, and sodium selenate, along with the use of seedlings produced with priming and the application of 50 g of Se ha−1 via multi-nutrient fertilizer using seedlings produced without priming, can provide Se amounts reaching the human dietary requirement of 60–70 µg day−1, based on the adequate daily consumption of broccoli (40 g of broccoli). Different processing stages do not cause significant losses of Se in biofortified florets. Therefore, it is concluded that seedlings produced with priming combined with foliar Se applications are effective strategies for promoting agronomic biofortification of Se in broccoli florets for the human diet. Full article
(This article belongs to the Special Issue Soil Health to Human Health)
Show Figures

Figure 1

14 pages, 2217 KB  
Article
Evaluation of Selenium-Based Biocides with Biocidal Potential for Cultural Heritage Applications
by Marco Morelli, Alessandro De Rosa, Chiara Luongo, Paola Cennamo, Antonino Pollio, Reinier Lemos, Mauro De Nisco, Silvana Pedatella and Andrea Carpentieri
Heritage 2025, 8(9), 374; https://doi.org/10.3390/heritage8090374 - 11 Sep 2025
Viewed by 312
Abstract
The conservation of cultural heritage has long garnered significant attention within the scientific community, particularly due to the biodeterioration processes driven by microbial colonization. These processes can severely compromise the aesthetic, chemical, and physical integrity of artworks. While traditional chemical biocides are widely [...] Read more.
The conservation of cultural heritage has long garnered significant attention within the scientific community, particularly due to the biodeterioration processes driven by microbial colonization. These processes can severely compromise the aesthetic, chemical, and physical integrity of artworks. While traditional chemical biocides are widely used, they present notable drawbacks, including toxicity, chemical instability, and the risk of inducing microbial resistance. Accordingly, efforts to expand the repertoire of molecules with biocidal activity are of utmost significance. In this study, we report the synthesis and characterization of selenium-based biocides with biocidal activity. Characterization was performed using NMR spectroscopy and gas chromatography–mass spectrometry (GC-MS). The biocidal efficacy of these compounds was evaluated via algal growth inhibition tests (OECD 201), employing Raphidocelis subcapitata as a model organism. Our results indicate that certain seleno-sugars exhibit a dose-dependent inhibition of algal growth, suggesting superior biocidal activity compared to conventional agents. Notably, one compound demonstrated an optimal balance of efficacy and chemical stability and was selected for subsequent in vivo testing. Full article
Show Figures

Figure 1

34 pages, 2505 KB  
Systematic Review
The Roles of Micronutrition and Nutraceuticals in Enhancing Wound Healing and Tissue Regeneration: A Systematic Review
by Cristina Stanescu, Iulia Chiscop, Daniela Mihalache, Monica Boev, Camelia Tamas and Gabriela Stoleriu
Molecules 2025, 30(17), 3568; https://doi.org/10.3390/molecules30173568 - 31 Aug 2025
Viewed by 1915
Abstract
Micronutrients and nutraceuticals play crucial roles in wound healing and tissue regeneration, supporting various physiological processes. This review aims to synthesize and evaluate the functions of various micronutrients and nutraceuticals, emphasizing the synergistic interactions among different nutrients that facilitate wound healing processes. A [...] Read more.
Micronutrients and nutraceuticals play crucial roles in wound healing and tissue regeneration, supporting various physiological processes. This review aims to synthesize and evaluate the functions of various micronutrients and nutraceuticals, emphasizing the synergistic interactions among different nutrients that facilitate wound healing processes. A thorough literature review was performed using electronic databases, including PubMed, Scopus, Web of Science, Embase, Google Scholar, and Cochrane Library, to identify molecular studies, animal models, randomized controlled trials, and observational human studies published up to January 2000. Two independent reviewers screened the articles, extracted data, and evaluated the Risk of Bias using the Risk of Bias 2 (RoB 2) tool for the 190 studies that met the inclusion criteria. Evidence suggests that bioactive compounds found in functional foods and dietary supplements can help prevent chronic conditions and promote wellness beyond basic nutrition. Vitamins A, C, and E, as well as minerals such as zinc, selenium, and iron, are essential for cell proliferation and the formation of new tissues. Additionally, nutraceuticals, including omega-3 fatty acids, glutamine, arginine, and polyphenols, exhibit anti-inflammatory and antioxidant properties, which promote healing and reduce the risk of infection. Probiotics and other bioactive compounds in nutraceuticals contribute to maintaining the balance of microbiota, reducing inflammation, and stimulating cell regeneration. Significant variability was noted in study design, sample size, intervention dosage, and outcome measures. This evidence underscores the necessity for further well-designed clinical trials to determine the optimal dosages and combinations for specific wound types across diverse patient populations. This systematic review was prospectively registered in PROSPERO (ID: 1072091). Full article
(This article belongs to the Section Food Chemistry)
Show Figures

Figure 1

17 pages, 304 KB  
Article
Comprehensive Profiling of Essential Elements and Organic and Inorganic Contaminants in Dromedary Camels from the Canary Islands: A Baseline for Nutritional and Environmental Assessment
by Andrea Acosta-Dacal, Adrián Melián Henríquez, Juan Alberto Corbera, Ana Macías-Montes, Manuel Zumbado, Norberto Ruiz-Suárez, José Luis Martín-Barrasa, Octavio P. Luzardo and María Teresa Tejedor-Junco
Vet. Sci. 2025, 12(9), 829; https://doi.org/10.3390/vetsci12090829 - 29 Aug 2025
Viewed by 670
Abstract
Dromedary camels raised under semi-extensive management can act as One Health sentinels for environmental exposures and food chain surveillance, yet serum reference information remains scarce. Our objective was to provide the most comprehensive assessment to date of physiological and toxicological serum profiles in [...] Read more.
Dromedary camels raised under semi-extensive management can act as One Health sentinels for environmental exposures and food chain surveillance, yet serum reference information remains scarce. Our objective was to provide the most comprehensive assessment to date of physiological and toxicological serum profiles in dromedary camels (Camelus dromedarius) from the Canary Islands. We included 114 clinically healthy animals of different sex, age, and reproductive status. Serum samples were analyzed for essential, toxic, and potentially toxic elements using inductively coupled plasma mass spectrometry (ICP-MS). In addition, a high-throughput multi-residue method based on QuEChERS extraction followed by UHPLC-MS/MS and GC-MS/MS was used to screen for 360 organic compounds, including pesticides, veterinary drugs, human pharmaceuticals, and persistent organic pollutants. Essential elements showed biologically consistent variations according to sex, age group, and pregnancy status. Males had higher levels of selenium and copper, while calves showed elevated concentrations of manganese and zinc. Pregnant females exhibited lower iron, zinc, and selenium levels, consistent with increased fetal demand. These results provide preliminary reference values for healthy camels, stratified by physiological status. In contrast, classical toxic elements such as arsenic, mercury, lead, and cadmium were found at very low or undetectable concentrations. Several potentially toxic elements, including barium, strontium, and rare earth elements, were detected sporadically but without toxicological concern. Only 13 organic compounds (3.6%) were detected in any sample, and concentrations were consistently low. The most prevalent was the PAH acenaphthene (55.3%), followed by the fungicide procymidone and the PAH fluorene. Notably, no residues of the usually detected 4,4′-DDE or PCB congeners were found in any sample. These findings confirm the low environmental and dietary exposure of camels under low-intensity farming systems and highlight their value as sentinel species for food safety and environmental monitoring. Full article
(This article belongs to the Section Veterinary Biomedical Sciences)
25 pages, 1253 KB  
Article
In Vitro Bioaccessibility and Speciation of Toxic and Nutritional Trace Elements in Brazil Nuts
by Astrid Barkleit, Jiyoung Eum, Diana Walther, Daniel Butscher, Sebastian Friedrich, Katharina Müller and Jerome Kretzschmar
Int. J. Mol. Sci. 2025, 26(17), 8312; https://doi.org/10.3390/ijms26178312 - 27 Aug 2025
Viewed by 720
Abstract
Brazil nuts (Bertholletia excelsa), mainly from the Amazon, are notable for their exceptionally high selenium (Se) content and are widely consumed as a natural dietary supplement. They also contain potentially harmful elements, including barium (Ba), and exhibit an unusual capacity to [...] Read more.
Brazil nuts (Bertholletia excelsa), mainly from the Amazon, are notable for their exceptionally high selenium (Se) content and are widely consumed as a natural dietary supplement. They also contain potentially harmful elements, including barium (Ba), and exhibit an unusual capacity to accumulate radioactive radium (Ra). In this study, we quantified the concentrations of Se, Ba, strontium (Sr), lanthanum (La), europium (Eu), and the radionuclides 226Ra and 228Ra, and assessed their in vitro bioaccessibility—data largely unavailable for these elements to date. Se was highly bioaccessible (≈85%), whereas Ba and Ra, both chemo- and/or radiotoxic, exhibited low bioaccessibility (≈2% each). Nuclear magnetic resonance (NMR) spectroscopy revealed Se to occur predominantly as selenomethionine (SeMet), alongside phytate, amino acids, peptides, and other polar low-molecular-weight compounds. The influence of Brazil nut flour (BNF) on Eu(III) speciation in simulated gastrointestinal fluids, and the effect of chelating agents such as ethylenediaminetetraacetic acid (EDTA), diethylenetriaminepentaacetic acid (DTPA), and the hydroxypyridinone 3,4,3-LI(1,2-HOPO) were investigated using time-resolved laser-induced fluorescence spectroscopy (TRLFS). Results indicate that the food matrix has only a minor impact on the decorporation efficacy of these chelators. These findings provide novel insights into the bioaccessibility and chemical speciation of nutritionally and toxicologically relevant elements in Brazil nuts. Full article
(This article belongs to the Special Issue Macro- and Micronutrients in Health and Diseases)
Show Figures

Graphical abstract

18 pages, 531 KB  
Article
Selenium Biotransformation and Fractionation of Selenopeptide from Germinated Perilla (Perilla frutescens) Seeds
by Tanaporn Monkhai, Saroat Rawdkuen, Suphat Phongthai, Pornrawin Pakdeebamrung, Naphatsawan Singhadechachai, Apinya Chaikaew, Pornchai Rachtanapun and Pipat Tangjaidee
Foods 2025, 14(17), 2988; https://doi.org/10.3390/foods14172988 - 27 Aug 2025
Viewed by 549
Abstract
Plant-based bioactive compounds have been recognized as promising alternatives to conventional chemical treatments. Selenium (Se), a trace element, can be incorporated into proteins to enhance the bioactivity of plant-derived peptides. Perilla frutescens seeds are high-protein plants that have shown the ability to absorb [...] Read more.
Plant-based bioactive compounds have been recognized as promising alternatives to conventional chemical treatments. Selenium (Se), a trace element, can be incorporated into proteins to enhance the bioactivity of plant-derived peptides. Perilla frutescens seeds are high-protein plants that have shown the ability to absorb Se and biosynthesize selenopeptides. This study examined Se biotransformation during the germination of perilla seeds to synthesize selenoprotein, investigating enzymatic hydrolysis using Alcalase and Flavourzyme as single enzymes, as well as their combinations. The results showed that Alcalase hydrolysates produced Se-peptides with the highest degree of hydrolysis and antioxidant activity. Hydrolysates were purified via ultrafiltration and size-exclusion chromatography, and Se-peptides were characterized by LC-MS/MS. Nine peptides containing Se-binding residues such as cysteine, methionine, and glutamic acid confirmed successful Se incorporation. The Se-peptides demonstrated strong antioxidant activity (ABTS: 66.30%, FRAP: 54.93%), ACE inhibition (83.87%), and cytotoxicity against A549 lung cancer cells (85.88% viability). Compared to non-Se-peptides, Se-enriched peptides showed superior bioactivity, highlighting their potential as functional ingredients in food and pharmaceutical applications. Full article
(This article belongs to the Section Food Nutrition)
Show Figures

Graphical abstract

27 pages, 6669 KB  
Article
Molecular Regulation of Phenylpropanoid and Flavonoid Biosynthesis Pathways Based on Transcriptomic and Metabolomic Analyses in Oat Seedlings Under Sodium Selenite Treatment
by Jianxia Ma, Xiaozhuo Wu, Huichun Xie, Guigong Geng and Feng Qiao
Biology 2025, 14(9), 1131; https://doi.org/10.3390/biology14091131 - 26 Aug 2025
Viewed by 555
Abstract
Selenium can be absorbed and utilized by plants, influencing their growth by altering their physiological metabolism. In this study, based on plant physiology methods, compared to the CK treatment, the height and leaf length of oat seedlings under the T0.02 (0.02 g/kg Na [...] Read more.
Selenium can be absorbed and utilized by plants, influencing their growth by altering their physiological metabolism. In this study, based on plant physiology methods, compared to the CK treatment, the height and leaf length of oat seedlings under the T0.02 (0.02 g/kg Na2SeO3) treatment significantly increased by 18.36% and 15.81%, respectively (p < 0.05). Under the T0.1 (0.1 g/kg Na2SeO3) treatment, the levels of malondialdehyde (MDA), proline, soluble sugar content, and peroxidase (POD) activity significantly increased (p < 0.05). However, the seedling height and leaf length under the T0.1 treatment significantly decreased by 33.24% and 23.25%, respectively. Additionally, the contents of chlorophyll a, chlorophyll b, and carotenoids, as well as ascorbate peroxidase (APX) activity and the superoxide anion radical generation rate (O2) significantly decreased (p < 0.05). The total selenium, organic selenium, and inorganic selenium contents, as measured by the atomic fluorescence spectroscopy method, were also increased in oat seedling roots and leaves under T0.1 treatment (p < 0.05). Selenium had a high coefficient of mobility from root to leaf of 6.01 under T0.02 and 4.65 under T0.1 treatment, and from soil to leaf of 4.98 under T0.02 and 4.55 under T0.1 treatment. Through untargeted metabolomics, six differential phenylpropanoid compounds and 18 differential flavonoid compounds were found in oat seedlings. Based on transcriptomic analysis of oat seedlings, 29 DEGs associated with phenylpropanoid metabolism and 13 DEGs related to flavonoid biosynthesis were identified. Over 60% of the genes (25/42) in the phenylpropanoid and flavonoid biosynthesis pathway were associated with the accumulation of about 74% (20/27) of the compounds in oat leaves. Based on transcriptomic and metabolomics analysis, there were nine major genes (including PAL1, PAL4, CHS2, PAL7, POD3, PAL6, CCR1, CCR4, POD4) modulating the metabolism of phenylpropanoid and flavonoid biosynthesis pathway. This study offers novel insights and genetic resources for exploring the mechanisms underlying plant responses to selenium treatment, thereby further enhancing selenium tolerance in plants. Full article
Show Figures

Figure 1

32 pages, 3656 KB  
Review
Selenium Compounds and Their Bioactivities: Molecular Mechanisms and Prospects for Functional Food and Therapeutic Applications
by Xue Hou, Zhiyong Wang and Mu Peng
Plants 2025, 14(17), 2622; https://doi.org/10.3390/plants14172622 - 23 Aug 2025
Viewed by 723
Abstract
Selenium (Se) is an essential trace element for the human body and plays a vital role in various physiological processes. Plants serve not only as a major dietary source of selenium but also as natural biofactories capable of synthesizing a wide range of [...] Read more.
Selenium (Se) is an essential trace element for the human body and plays a vital role in various physiological processes. Plants serve not only as a major dietary source of selenium but also as natural biofactories capable of synthesizing a wide range of organic selenium compounds. The bioavailability and toxicity of selenium are highly dependent on its chemical form, which can exert varying effects on human physiology. Among these, organic selenium species exhibit higher bioavailability, lower toxicity, and greater structural diversity. In recent years, plant-derived selenium-containing compounds—selenium-enriched proteins, peptides, polysaccharides, polyphenols, and nanoselenium—have garnered increasing scientific attention. Through a systematic search of databases including PubMed, Web of Science, and Scopus, this review provides a comprehensive overview of selenium uptake and transformation in plants, selenium metabolism in humans, and the classification, composition, structural features, and biological activities of plant-derived selenium compounds, thereby providing a theoretical basis for future research on functional foods and nutritional interventions. Full article
(This article belongs to the Topic Nutritional and Phytochemical Composition of Plants)
Show Figures

Figure 1

33 pages, 1724 KB  
Review
Retinal Gatekeepers: Molecular Mechanism and Therapeutic Role of Cysteine and Selenocysteine
by Eleonora Maceroni, Annamaria Cimini, Massimiliano Quintiliani, Michele d’Angelo and Vanessa Castelli
Biomolecules 2025, 15(8), 1203; https://doi.org/10.3390/biom15081203 - 21 Aug 2025
Viewed by 847
Abstract
Oxidative stress is a key contributor to retinal degeneration, as the retina is highly metabolically active and exposed to constant light stimulation. This review explores the crucial roles of cysteine and selenocysteine in redox homeostasis and retinal protection. Cysteine, primarily synthesized via the [...] Read more.
Oxidative stress is a key contributor to retinal degeneration, as the retina is highly metabolically active and exposed to constant light stimulation. This review explores the crucial roles of cysteine and selenocysteine in redox homeostasis and retinal protection. Cysteine, primarily synthesized via the transsulfuration pathway, is the rate-limiting precursor for glutathione (GSH), the most abundant intracellular antioxidant. Selenocysteine enables the enzymatic activity of selenoproteins, particularly glutathione peroxidases (GPXs), which counteract reactive oxygen species (ROS). Experimental evidence from retinal models confirms that depletion of cysteine or selenocysteine results in impaired antioxidant defense and photoreceptor death. Furthermore, dysregulation of these amino acids contributes to the pathogenesis of age-related macular degeneration (AMD), retinitis pigmentosa (RP), and diabetic retinopathy (DR). Therapeutic approaches including N-acetylcysteine, selenium compounds, and gene therapy targeting thioredoxin systems have demonstrated protective effects in preclinical studies. Targeting cysteine and selenocysteine-dependent systems, as well as modulating the KEAP1–NRF2 pathway, may offer promising strategies for managing retinal neurodegeneration. Advancing our understanding of redox mechanisms and their role in retinal cell viability could unlock new precision treatment strategies for retinal diseases. Full article
Show Figures

Figure 1

24 pages, 4458 KB  
Review
Selenium-Enriched Microorganisms: Metabolism, Production, and Applications
by Lin Luo, Xue Hou, Dandan Yi, Guangai Deng, Zhiyong Wang and Mu Peng
Microorganisms 2025, 13(8), 1849; https://doi.org/10.3390/microorganisms13081849 - 7 Aug 2025
Cited by 1 | Viewed by 1195
Abstract
Microorganisms, as abundant biological resources, offer significant potential in the development of selenium-enrichment technologies. Selenium-enriched microorganisms not only absorb, reduce, and accumulate selenium efficiently but also produce various selenium compounds without relying on synthetic chemical processes. In particular, nano-selenium produced by these microorganisms [...] Read more.
Microorganisms, as abundant biological resources, offer significant potential in the development of selenium-enrichment technologies. Selenium-enriched microorganisms not only absorb, reduce, and accumulate selenium efficiently but also produce various selenium compounds without relying on synthetic chemical processes. In particular, nano-selenium produced by these microorganisms during cultivation has garnered attention due to its unique physicochemical properties and biological activity, making it a promising raw material for functional foods and pharmaceutical products. This paper reviews selenium-enriched microorganisms, focusing on their classification, selenium metabolism, and transformation mechanisms. It explores how selenium is absorbed, reduced, and transformed within microbial cells, analyzing the biochemical processes by which inorganic selenium is converted into organic and nano-selenium forms. Finally, the broad applications of selenium-enriched microbial products in food, medicine, and agriculture are explored, including their roles in selenium-rich foods, nano-selenium materials, and disease prevention and treatment. Full article
(This article belongs to the Special Issue Exploring the Diversity of Microbial Applications)
Show Figures

Figure 1

Back to TopTop