Abstract
The conservation of cultural heritage has long garnered significant attention within the scientific community, particularly due to the biodeterioration processes driven by microbial colonization. These processes can severely compromise the aesthetic, chemical, and physical integrity of artworks. While traditional chemical biocides are widely used, they present notable drawbacks, including toxicity, chemical instability, and the risk of inducing microbial resistance. Accordingly, efforts to expand the repertoire of molecules with biocidal activity are of utmost significance. In this study, we report the synthesis and characterization of selenium-based biocides with biocidal activity. Characterization was performed using NMR spectroscopy and gas chromatography–mass spectrometry (GC-MS). The biocidal efficacy of these compounds was evaluated via algal growth inhibition tests (OECD 201), employing Raphidocelis subcapitata as a model organism. Our results indicate that certain seleno-sugars exhibit a dose-dependent inhibition of algal growth, suggesting superior biocidal activity compared to conventional agents. Notably, one compound demonstrated an optimal balance of efficacy and chemical stability and was selected for subsequent in vivo testing.
1. Introduction
As reported by the International Center for the Study of Conservation and Restoration of Cultural Property (ICCROM), more than 60% of cultural property stored in uncontrolled environments exhibits signs of deterioration, in particular biodeterioration [1].
The term “biodeterioration” refers to the physical, chemical, and/or aesthetic alterations of a material induced directly or indirectly by the metabolic activity of living organisms.
Microbial biofilms have been identified as a primary factor contributing to the biodeterioration of stone monuments, exerting a negative impact on both the aesthetic appearance and the structural integrity of the materials [2]. Biofilms are composed of complex communities of microorganisms, including autotrophic and heterotrophic Bacteria, Fungi, Algae, Cyanobacteria, and Lichens [3,4]. These microorganisms adhere to surfaces and are immersed in an extracellular polymeric matrix (EPS) composed mainly of polysaccharides.
The process of biofilm formation occurs through multiple stages. Initially, pioneer microorganisms, including cyanobacteria and microalgae, attach to the stone surface [5]. Consequently, microcolonies emerge, producing EPS, thereby establishing a protected environment favoring the colonization of microorganisms, including Fungi and heterotrophic Bacteria [6]. This process affects both indoor and outdoor artifacts.
The role of EPS in the protective response of microorganisms to adverse environmental conditions (including dehydration and UV exposure) is well documented [7].
To preserve cultural heritage artifacts effectively, it is essential to develop strategies that prevent and remove microbial communities while minimizing the impact on original surfaces and maintaining the integrity of historic materials [8].
The management of biodeterioration can be approached by using different indirect and direct methodologies, whose selection depends on the biodeteriogens present, their degree of diffusion, the prevailing environmental conditions, and the artifact’s state of preservation [9]. As the term suggests, indirect methods do not act directly on the artwork but rather aim to modify or limit the effects of environmental factors that promote deterioration. These factors include, but are not limited to, temperature, pH, and light. These methods are particularly employed for works stored indoors and are regarded as environmentally sustainable, as they do not entail direct manipulation of the artifact [10]. Nevertheless, the efficacy of these measures is frequently constrained, as they can address only a portion of the underlying problem. Direct methods can be categorized into three distinct classifications: physical, biological, and chemical.
A variety of physical methods are employed to address this issue, including the application of UV-C light [11], the use of gamma radiation [12], and the implementation of laser or mechanical cleaning procedures for surfaces [13]; these methods have the disadvantage of failing to guarantee results over the long term. Biological methods primarily entail the utilization of biocides of natural provenance [14,15]. Conversely, chemical methods entail the utilization of synthetic biocides [16,17,18]. Frequently, these techniques are used in combination with each other. For example, the mechanical removal of biofilm is frequently performed after preliminary treatment with biocides to complement its effectiveness [19,20].
In this context, any contribution to the development of innovative methods for eliminating microbial communities is of critical importance—especially when the selected molecules are not harmful to the environment or to the restorers themselves.
In recent years, scientific interest has increasingly focused on selenium-based compounds, owing to selenium’s distinctive chemical properties that set it apart from other elements [21].
In biological systems, selenium displays a dual behavior, acting either as an antioxidant or a prooxidant depending on its chemical form, concentration, and the physiological environment. It can disrupt cellular redox balance by directly oxidizing thiol groups or indirectly generating reactive oxygen species (ROS), ultimately leading to oxidative stress and cellular damage [21,22].
The biocidal potential of selenium compounds has previously been documented, including in U.S. Patent No. 9,370,187 B2 [23]. These biocidal formulations typically include at least one selenium atom capable of forming Se− species, which can generate damaging free radicals against a wide range of target organisms.
Against this backdrop, the present study aimed to investigate a class of selenium-based biocides for the prevention of biodeterioration in cultural heritage materials, namely seleno-sugars that represent a class of compounds characterized by a distinctive structural modification: the replacement of an oxygen atom within the sugar backbone with a selenium atom. This substitution produces sugar isosteres that exhibit unique chemical and biological properties [21].
The research began with the synthesis of organo-selenium compounds, specifically seleno-sugars derived from d-mannose and d-ribose. These molecules were selected based on previous studies demonstrating their favorable cell permeability, a key property considered critical for biocidal efficacy due to the requirement for penetration into biological systems, while concurrently exhibiting a complete lack of cytotoxicity toward human immortalized keratinocytes [24].
To achieve comprehensive structural characterization, the synthesized compounds were analyzed using nuclear magnetic resonance (NMR) spectroscopy and gas chromatography–mass spectrometry (GC-MS).
The biocidal efficacy of selected compounds was assessed through a growth inhibition assay (OECD 201 [25]), employing the unicellular alga Raphidocelis subcapitata [26], once known as Pseudokirchneriella subcapitata and very well known for its fast growth in laboratory conditions and sensitivity to environmental stresses, as a model organism from the ones suggested by the protocol.
The efficacy demonstrated by selenium in the development of biocides paves the way for the design of new antimicrobial compounds capable of acting on a broad spectrum of microorganisms without compromising operators’ safety during use.
2. Materials and Methods
All the reagents were acquired (Aldrich, Fluka, and Sigma) at the highest purity available and used without further purification. Thin-layer chromatography was performed with silicagel plates, Merck 60 F254, and the display of the products on TLC was accomplished with UV lamp lighting, molecular iodine, and in H2SO4–EtOH (95:5) with further heating until the development of color. The column chromatographies were carried out using 70–230 mesh silica gel (Merck). The NMR spectra were recorded on Bruker DRX (400MHz) by Bruker Corporation, Karlsruhe, Germany and Varian Inova Marker (500MHz) by Varian, Inc., Palo Alto, California, spectrometers in CDCl3 solution unless otherwise specified. The chemical shifts are reported in ppm (δ). The TopSpin 4.0.6 software package was used for the analysis.
2.1. Synthesis
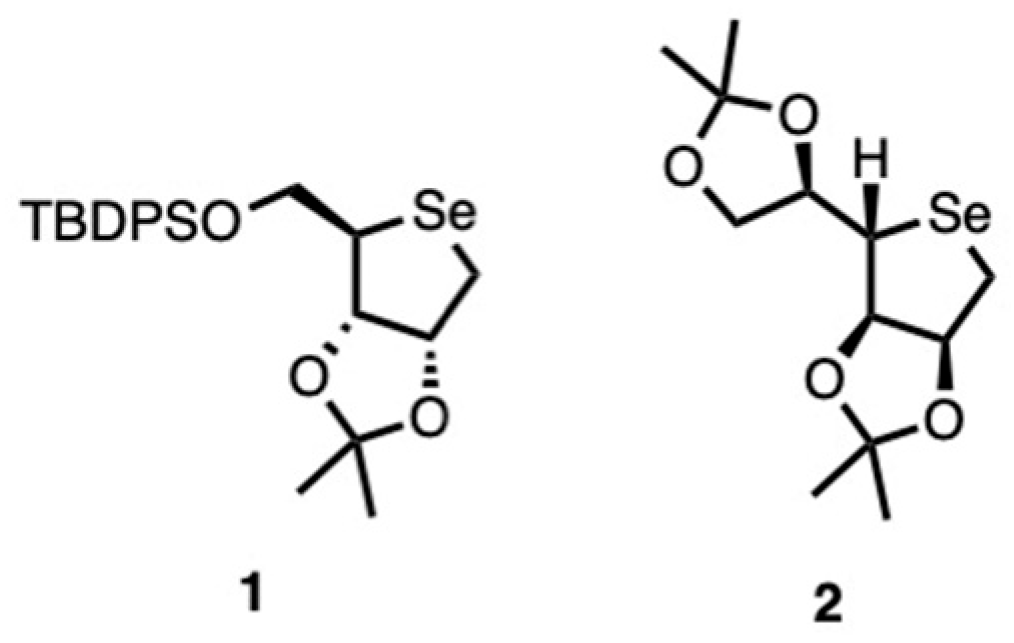
To obtain novel selenium-based biocides, two classes of seleno-sugars were synthesized (Figure 1).
Figure 1.
Classes of seleno-sugars.
Specifically, the key intermediate 1 was prepared from a commercially available d-ribonolactone derivative, following a strategy (Scheme 1) previously reported in the literature [27].
Scheme 1.
Synthetic procedure for the preparation of the seleno-compounds 7, 8, and 9, [27].
The synthesis strategy began with the preparation of compound 4. To achieve this, d-ribonolactone 3 was treated with mesyl chloride (MsCl) under basic conditions to afford an intermediate bearing a mesyl group at the C-5 hydroxyl position. This functionalization is crucial for facilitating the subsequent stereochemical inversion at the C-4 chiral center in compound 4. The latter was selectively protected at the primary hydroxyl at C-5 by introduction of the tert-butyldiphenylsilyl (TBDPS) group. The resulting protected lactone was then reduced with sodium borohydride (NaBH4) to afford the corresponding derivative in quantitative yields. This intermediate was subsequently subjected to a double mesylation reaction with mesyl chloride, introducing mesylate leaving groups at the C-1 and C-4 positions. The presence of these two activated leaving groups enabled a key modification in which the ring oxygen was replaced by a selenium atom, affording scaffold 1.
To introduce an acetyl group at the anomeric position, a Pummerer rearrangement was performed in the presence of acetic anhydride at 100 °C, following the oxidation of compound 1 with meta-chloroperbenzoic acid (m-CPBA), yielding compound 6.
Both compounds 1 and 6 underwent partial deprotection at C-5 by treatment with tetrabutylammonium fluoride (TBAF), affording compounds 7 and 8, respectively. On the other hand, the complete deprotection of compound 6 was accomplished to afford the fully deprotected product 9.
Likewise, to synthesize the homologues of compounds 7 and 8, we employed a strategy previously described in the literature, starting from commercially available d-mannose (Scheme 2) [28].
Scheme 2.
Synthetic procedure for the preparation of the seleno-compounds 11 and 12, [28].
In this case, the protection of the hydroxyl groups at the C-2/C-3 and C-4/C-5 positions of d-mannose was first achieved simultaneously as isopropylidene acetals. The resulting intermediate was then converted in high yield into the desired d-deoxytalose seleno-sugar 2 using the same reaction sequence described for the previous scaffold.
The introduction of an acetyl group in compound 2 was accomplished using the same methodology employed for the lower homolog. Selective removal of the protecting group at the C-5 and C-6 positiond in compounds 2 and 10 was finally achieved using bismuth(III) chloride as Lewis acid, thereby affording compounds 11 and 12, respectively.
2.2. NMR
Nuclear magnetic resonance spectra were acquired on Bruker DRX (400 MHz) and Varian Inova Marker (500 MHz) spectrometers in a deuterated chloroform (CDCl3) solution, unless otherwise indicated. Chemical shifts are reported in parts per million (ppm) and the coupling constants in Hertz (Hz).
2.3. GC-MS
Samples were derivatized to reduce the polarity of the free hydroxyl groups. Derivatization occurred with 50 µL N,O-bis-(trimethylsilyl)acetamide (TMS; Supelco 15222) for 45 min at 90 °C.
Analysis and characterization were conducted using an Agilent GC 7820A coupled with a 5975 MS detector. Samples were solubilized in hexane (50 mg/L) and 1µ of solution was injected. Each analysis was conducted in triplicate.
The carrier gas used in all the methods was helium. A method involving a mass range of 30 to 600 Dalton (Da) with a solvent delay of 5–50 min was used. The initial temperature was 70 °C, for about 2 min, with a temperature of 230 °C reached with an increase of 20 °C/min, followed by 240 °C and 270 °C. The maximum temperature reached by the instrument was 325 °C.
2.4. Biocidal Activity Assay
A toxicological evaluation of synthetic seleno-sugar compounds was carried out following the OECD Test Guideline No. 201 (Freshwater Algae and Cyanobacteria, Growth Inhibition Test), using the unicellular green microalga Raphidocelis subcapitata as the model species due to its consistent and standardized sensitivity to chemical perturbations [29]. Unialgal, non-axenic cultures of R. subcapitata were obtained from the Algal Collection of the University of Naples Federico II (A.C.U.F. strain number 228; https://www.acuf.net/ (accessed on 8 September 2025)) and propagated in Bold’s Basal Medium (BBM) under tightly controlled conditions (24 ± 0.1 °C, 280 rpm orbital agitation, constant illumination at 20 μmol photons m−2 s−1) to reach the exponential growth phase prior to treatment.
Each seleno-sugar was solubilized in an aqueous vehicle containing 5% (v/v) DMSO and subsequently tested across a concentration gradient consisting of five levels (40, 20, 10, 5, and 2.5 mg L−1). Experimental exposures were performed in 1 mL volumes distributed across six biological replicates per concentration. The experimental design also incorporated three control conditions—untreated culture medium, solvent control (5% DMSO), and a positive control using Biotin T—all prepared in parallel with six biological replicates each. Exposure was carried out in 24-well microplates maintained under the same incubation parameters for a duration of 72 h. Each group of biological replicates (six for each of the aforementioned conditions) was inoculated along one of the horizontal lines of the 24-well microplate, from A to D.
Following incubation, algal physiological status was assessed via spectrophotometric and spectrofluorometric endpoints. Cell density and pigment concentrations (chlorophyll a, chlorophyll b, and carotenoids) were determined at 750 nm, 450 nm, 490 nm, and 531 nm, respectively, using a Victor multilabel plate reader after 30 s of orbital shaking. Fluorescence emissions specific to chlorophyll a and b were additionally quantified using the instrument’s fluorescence detection mode. All readouts were conducted in technical triplicates to ensure analytical robustness. Averaged values were subsequently employed to construct concentration–response profiles for each compound. For substance SD3, the dose–response curve was fitted using a non-linear four-parameter logistic regression model (non-linear least squares fit; scipy.optimize.curve_fit) to derive the IC50 value (defined as the concentration required to inhibit 50% of algal growth) [30].
3. Results and Discussion
In order to evaluate the synthesis with a high degree of certainty, structural characterization by NMR and GC-MS was performed on each sample as described in the Materials and Methods section. Our results (reported in the Supplementary Materials) indicate the correct structure of each analyzed molecule. For each spectrum, all fragments related to TMS and its derivatives, as well as the fragmentation of the molecule under investigation that contains selenium, were identified.
Growth Inhibition Test—In Vitro Assay
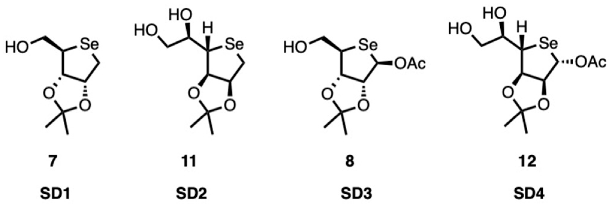
The effect of four different substances (denoted as SD1, SD2, SD3, and SD4; Figure 2) was evaluated by ecotoxicological testing according to OECD 201 guidelines.
Figure 2.
Novel selenium-based biocides.
This involves monitoring algal growth in the presence of potentially toxic substances for a period of 72 h. The measurements comprised physiological and biochemical parameters, including cell density (750 nm), pigment content (carotenoids, chlorophyll a and b), and the fluorescence of chlorophyll a. All substances negatively affected algal growth to a greater or lesser extent.
The biocidal efficacy of the substances was evaluated by calculating the percentage of inhibition compared with the mean values obtained from the controls. The results indicate that the substances analyzed exhibit distinct behaviors. The graphs presented are based on overall averages, calculated from biological averages and technical repeat averages, derived from six replicates for each assay, each measured in triplicate.
In the case of SD1, as shown in Figure 3, growth is increasingly inhibited from 2.5 mg/L to a maximum at 10 mg/L. However, a marked dose-dependent effect is not observed. The absence of a dose-dependent response indicates that the substance exhibits low biocidal efficacy or has already reached a state of “saturation” at lower dosages.
Figure 3.
Averages of optical densities (ODs) measured for progressively growing concentrations of the SD1 substance on 1 mL cultures of Raphidocelis subcapitata, indicating cell density, carotenoids, chlorophyll a and chlorophyll b abundances. Two negative controls (Control− and Control DMSO) and the positive control (Control+) are also shown on the right.
A comparison of the behavior of SD2 and SD1 reveals a lack of a discernible dose–response trend (Figure 4), suggesting that the two subjects exhibit similar responses to the experimental conditions. In this case, the photosynthetic pigments appear to be less impacted by the substance, which provides further confirmation of low biocidal activity.
Figure 4.
Averages of optical densities (ODs) measured for progressively growing concentrations of the SD2 substance on 1 mL cultures of Raphidocelis subcapitata, indicating cell density, carotenoids, chlorophyll a and chlorophyll b abundances. Two negative controls (Control− and Control DMSO) and the positive control (Control+) are also shown on the right.
Conversely, the substance SD3 has been observed to induce significant growth inhibition at as low a concentration as 5 mg/L, as highlighted in Figure 5. However, this inhibition does not become more pronounced with increasing concentration. The trend of the curve suggests modest toxic activity, which is useful for our purposes.
Figure 5.
Averages of optical densities (ODs) measured for progressively growing concentrations of the SD3 substance on 1 mL cultures of Raphidocelis subcapitata, indicating cell density, carotenoids, chlorophyll a and chlorophyll b abundances. Two negative controls (Control− and Control DMSO) and the positive control (Control+) are also shown on the right.
Among all tested substances, SD4 exhibited (at higher concentrations) behavior that was consistently the opposite of the desired effect (Figure 6). This profile, highlighting an almost stimulatory action, indicates that SD4 is not only ineffective as a biocide, but may potentially promote algal growth. This may be attributable to SD4 acting as a source of nutrients or by stimulating photosynthetic activity. Substances exhibiting such characteristics are contraindicated for utilization as biocidal agents.
Figure 6.
Averages of optical densities (ODs) measured for progressively growing concentrations of the SD4 substance on 1 mL cultures of Raphidocelis subcapitata, indicating cell density, carotenoids, chlorophyll a and chlorophyll b abundances. Two negative controls (Control− and Control DMSO) and the positive control (Control+) are also shown on the right.
Subsequently, to inquire about the potentialities of SD3 as an active biocide, the spectrum of tested concentrations was widened, extending it to higher concentrations, specifically of 160 and 80 mg/L, and to a lower one of 1.25 mg/L.
The new series of measurements, shown in Figure 7, demonstrated a clear dose-dependent effect, indicating that as the concentration increased, there was a progressive and marked reduction in all the parameters tested. The inhibitory effect of the substance was observed to be significant at concentrations as low as 40 mg/L, with these levels being comparable to those of the positive control at the highest concentration tested (160 mg/L).
Figure 7.
Averages of optical densities (ODs) measured at a wider spectrum of eight different concentrations of the SD3 substance on 1 mL cultures of Raphidocelis subcapitata, indicating cell density, carotenoids, chlorophyll a and chlorophyll b abundances. Two negative controls (Control− and Control DMSO) and the positive control (Control+) are also shown on the right.
In view of the consistent biological response exhibited by substance SD3, the dose–response curve and related IC50 value, shown in Figure 8, were preliminarily estimated in order to characterize its toxicological profile.
Figure 8.
Dose–response curve (sigmoid fit) of substance SD3 on Raphidocelis subcapitata. The IC50 is shown as the concentration to inhibit the growth of 50% of cells: 49.99 mg/L.
The sigmoid fit exhibits a high degree of correlation with the experimental points, demonstrating an increase in inhibition with increasing concentration. The IC50 was estimated as 49.99 mg/L (±15.26), and the associated p-value was 0.031, indicating a statistically significant deviation from zero.
In light of the findings, it was determined that the analysis of a fifth substance, designated SD5-11 (Figure 9), would be undertaken.
Figure 9.
Narrower analog of d-selenioribose.
The substance under study was selected based on its structural similarity to the molecule previously analyzed. A notable distinction between the two is the presence of an isopropylidene-protecting group in the former. In comparison with SD3, this molecule constitutes a narrower analog of ribose, further characterized by the presence of an acetyl group, a factor that endows it with greater cell permeability.
Once more, the decision was made to proceed with a progression of concentrations from 1.25 mg/L up to 160 mg/L. The data trend (Figure 10) manifests an evident increase in algal growth as the concentration of the substance rises, a phenomenon previously observed with substance SD4; the progressive increase in treated samples was, however, never comparable to the vitality shown by both negative controls. This finding indicates that the test substance may be partially assimilated and utilized by the model organism as a nutrient source.
Figure 10.
Averages of optical densities (ODs) measured at eight different concentrations of the SD5 substance on 1 mL cultures of Raphidocelis subcapitata, indicating cell density, carotenoids, chlorophyll a and chlorophyll b abundances. Two negative controls (Control− and Control DMSO) and the positive control (Control+) are also shown on the right.
4. Conclusions
This paper presents the design, synthesis, and biological evaluation of a novel class of selenium-based biocides developed to protect cultural heritage materials from bio-deterioration while remaining safe for use by restorers. Microbial colonization by bacteria, fungi, and algae poses a significant threat to historical artifacts and architectural surfaces, often resulting in irreversible chemical and physical degradation. Addressing this challenge requires innovative and sustainable preservation strategies. Selenium, owing to its unique redox chemistry and known biological activity, was explored in this study as a key component in the development of new biocidal agents. Efforts were made to minimize the environmental impact of the synthetic approach by using stoichiometric amounts of solvents and naturally occurring monosaccharides, such as D-mannose and D-ribose, as starting materials. These sugars were functionalized to produce a series of seleno-sugar derivatives designed to mimic natural substrates while incorporating selenium atoms to confer oxidative antimicrobial activity. The resulting compounds were comprehensively characterized using Nuclear Magnetic Resonance (NMR) spectroscopy and Gas Chromatography–Mass Spectrometry (GC-MS), confirming their structural integrity and purity. A central aspect of the molecular design involved converting the starting monosaccharides into their isopropylidene derivatives, which altered the polarity of the sugar cores and enhanced their cellular uptake. Experimental results in fact indicated that compound SD5 exhibits lower toxicity compared to SD3, likely due to structural differences—specifically, the presence of the isopropylidene group in SD3. Upon cellular uptake, the redox properties of selenium contributed to the destruction of test microorganisms, primarily through the generation of reactive oxygen species (ROS). To evaluate the biological efficacy, the synthesized compounds were tested using the OECD 201 algal growth inhibition assay—a standardized protocol for assessing the toxicity of chemicals to aquatic primary producers. The freshwater green microalga Raphidocelis subcapitata was selected as the model organism due to its sensitivity to toxicants and its relevance in eco-toxicological studies. The assay provided IC50 values (half-maximal effective concentrations) as quantitative indicators of biocidal activity. The bioassay results revealed that one of the synthesized compounds exhibited significant algicidal activity, characterized by a clear dose–response relationship and an IC50 value indicative of strong inhibitory effects. The bioassay results revealed that one of the synthesized compounds, i.e., SD3, exhibited significant algicidal activity, characterized by a clear dose–response relationship and an IC50 value of 49.99 mg/L (p-value: 0.031), indicative of potent inhibitory effects. Interestingly, SD4 exhibited biphasic, concentration-dependent effects: it stimulated algal growth at lower concentrations but inhibited it at higher concentrations. This hormetic behavior suggests a more complex mechanism of action, potentially involving sub-lethal oxidative stress responses or metabolic activation pathways. These findings highlight both the potential and the complexity of using selenium-based compounds in biocidal applications. Further studies are warranted to elucidate the underlying mechanisms of action, evaluate long-term environmental impacts (unpublished results will be available shortly) and refine the chemical structures for targeted application in the conservation of cultural heritage. In conclusion, this study reports the successful synthesis and validation of the antimicrobial activity of selenium-functionalized sugars, laying the groundwork for their further development as operator-safe biocides. Taking into account the highlighted toxicity of SD3 to the algal model organism, it is reasonable to expect a similar response from taxonomically related aeroterrestrial strains. The next steps will focus on the evaluation of dose-effect response from previously isolated algal strains involved in the biodeterioration of mosaics and plasters in the Archaeological Park of Baia’s Thermal Baths; analyses of environmental samples and taxonomic annotation of algal strains such as Stichococcus bacillaris and Jenufa aeroterrestrica are discussed in another article currently under review. The results contribute to the growing body of research aimed at integrating advanced chemical strategies into the sustainable preservation of vulnerable cultural assets.
Supplementary Materials
The following supporting information can be downloaded at https://www.mdpi.com/article/10.3390/heritage8090374/s1, Figure S1: Mass spectra of 1,4-deoxy-2,3-O-isopropyldene-4-seleno-D-ribose; Table S1: Fragment of 1,4-deoxy-2,3-O-isopropyldene-4-seleno-D-ribose; Figure S2: Mass spectra of 1,4-deoxy-2,3-O-isopropyldene-4-seleno-D-talose; Table S2: Fragment of 1,4-deoxy-2,3-O-isopropyldene-4-seleno-D-talose; Figure S3: Mass spectra of O-acetyl-2,3-isopropyldene-4-deoxy-4-seleno-D-ribose; Table S3: Fragment of O-acetyl-2,3-isopropyldene-4-deoxy-4-seleno-D-ribose; Figure S4: Mass spectra of O-acetyl-4-deoxy-2,3-O-isopropylidene-4-seleno-D-talose; Table S4: Fragment of O-acetyl-4-deoxy-2,3-O-isopropylidene-4-seleno-D-talose; Figure S5: Mass spectra of O-acetyl 4-deoxy-4-seleno-d-ribose; Table S5: Fragment of O-acetyl 4-deoxy-4-seleno-d-ribose.
Author Contributions
Conceptualization, A.C. and S.P.; supervision, A.C., S.P., M.D.N., A.P. and P.C.; synthesis, S.P., M.D.N., C.L. and R.L.; GC-MS analysis, M.M. and C.L.; NMR analysis, S.P., M.D.N., C.L. and R.L.; biological assay, A.D.R., A.P. and P.C.; data curation, M.M., A.D.R., C.L. and M.D.N.; project administration, A.C.; funding acquisition, S.P., P.C. and A.P.; writing—original draft preparation, A.C.; writing—review and editing, M.M., M.D.N. and A.D.R. All authors have read and agreed to the published version of the manuscript.
Funding
This research was funded by (ITA) Project PE 0000020 CHANGES—CUP B53C22003780006 NRP Mission 4 Component 2 Investment 1.3, funded by the European Union—NextGenerationEU.
Data Availability Statement
Data is contained within the article or Supplementary Material: The original contributions presented in this study are included in the article/Supplementary Material. Further inquiries can be directed to the corresponding authors.
Acknowledgments
This work was financially supported by the Project PE 0000020 CHANGES—CUP [B53C22003780006], PNRR Missione 4 Componente 2 Investimento 1.3– Next Generation EU. R.L. acknowledges support from the University of Napoli Federico II (Finanziamento di Ateneo—prot. n.154143). R.L. acknowledges support from the University of Napoli Federico II (Finanziamento di Ateneo—prot.n.154143). The authors would also like to acknowledge Mauro Sassi and Urs Lohring from Analytical Characterization-Novartis, Biochemiestrasse 10—Kundl (Austria) for kindly donating the GC-MS instrument used for this project to the Department of Chemical Sciences, Federico II Napoli (Italy).
Conflicts of Interest
The authors declare no conflicts of interest.
Correction Statement
This article has been republished with a minor correction to the Data Availability Statement. This change does not affect the scientific content of the article.
Abbreviations
The following abbreviations are used in this manuscript:
| NMR | Nuclear magnetic resonance |
| GC-MS | Gas chromatography–mass spectrometry |
| OECD | Algal growth inhibition tests |
| EPS | Extracellular polymeric matrix |
| ROS | Reactive oxygen species |
| TBDPS | Tert-butyldiphenylsilyl group. |
| m-CPBA | Meta-chloroperbenzoic acid |
| TBAF | Tetrabutylammonium fluoride |
| A.C.U.F | Algal Collection of the University of Naples Federico II |
| BBM | Bold’s Basal Medium |
| ODs | Optical densities |
References
- ICCROM; UNESCO. International Storage Survey 2011; ICCROM: Rome, Italy, 2011. [Google Scholar]
- Negi, A.; Sarethy, I.P. Microbial biodeterioration of cultural heritage: Events, colonization, and analyses. Microb. Ecol. 2019, 78, 1014–1029. [Google Scholar] [CrossRef]
- Miller, A.Z.; Sanmartín, P.; Pereira-Pardo, L.; Dionísio, A.; Sáiz-Jiménez, C.; Macedo, M.F.; Prieto, B. Bioreceptivity of building stones: A review. Sci. Total Environ. 2012, 426, 1–12. [Google Scholar] [CrossRef]
- Di Carlo, E.; Barresi, G.; Palla, F. Biodeterioration. In Biotechnology and Conservation of Cultural Heritage; Springer: Cham, Switzerland, 2022. [Google Scholar] [CrossRef]
- Ferrari, C.; Santunione, G.; Libbra, A.; Muscio, A.; Sgarbi, E.; Siligardi, C.; Barozzi, G.S. Review on the influence of biological deterioration on the surface properties of building materials: Organisms, materials, and methods. IJDNE 2015, 10, 21–39. [Google Scholar] [CrossRef]
- Tiano, P. Biodegradation of cultural heritage: Decay mechanisms and control methods. In Seminar Article; Department of Conservation and Restoration, New University of Lisbon: Lisbon, Portugal, 2022; pp. 7–12. [Google Scholar]
- Gorbushina, A.A. Life on the Rocks. Environ. Microbiol. 2007, 9, 1613–1631. [Google Scholar] [CrossRef] [PubMed]
- Cirone, M.; Figoli, A.; Galiano, F.; La Russa, M.F.; Macchia, A.; Mancuso, R.; Ricca, M.; Rovella, N.; Taverniti, M.; Ruffolo, S.A. Innovative methodologies for the conservation of cultural heritage against biodeterioration: A review. Coatings 2023, 13, 1986. [Google Scholar] [CrossRef]
- Gaylarde, C.C.; Morton, L.G. Deteriogenic biofilms on buildings and their control: A review. Biofouling 1999, 14, 59–74. [Google Scholar] [CrossRef]
- Koul, B.; Upadhyay, H. Fungi-mediated biodeterioration of household materials, libraries, cultural heritage and its control. In Fungi and Their Role in Sustainable Development: Current Perspectives; Springer: Singapore, 2018; pp. 597–615. [Google Scholar] [CrossRef]
- Borderie, F.; Alaoui-Sossé, B.; Aleya, L. Heritage materials and biofouling mitigation through UV-C irradiation in show caves: State-of-the-art practices and future challenges. ESPR 2015, 22, 4144–4172. [Google Scholar] [CrossRef] [PubMed]
- Chaudhuri, A.; Bhattacharyya, S.; Chakraborty, A.; Mukherjee, S.; Sudarshan, M.; Ghosh, C.K.; Chaudhuri, P. Inhibitory effect of UV and gamma radiation for fungal biodeterioration of concrete: A short-term study for sustainable conservation. J. Cult. Herit. 2024, 66, 316–325. [Google Scholar] [CrossRef]
- Mascalchi, M.; Osticioli, I.; Riminesi, C.; Cuzman, O.A.; Salvadori, B.; Siano, S. Preliminary investigation of combined laser and microwave treatment for stone biodeterioration. Stud. Conserv. 2015, 60, S19–S27. [Google Scholar] [CrossRef]
- Komar, M.; Derese, N.; Szymczak, K.; Nowicka-Krawczyk, P.; Gutarowska, B. Natural Plant Oils as Anti—Algae Biocides for Sustainable Application in Cultural Heritage Protection. Sustainability 2025, 17, 6996. [Google Scholar] [CrossRef]
- Rotolo, V.; Barresi, G.; Di Carlo, E.; Giordano, A.; Lombardo, G.; Crimi, E.; Costa, E.; Bruno, M.; Palla, F. Plant extracts as green potential strategies to control the biodeterioration of cultural heritage. Int. J. Conserv. Sci. 2016, 839–846. [Google Scholar]
- Rajkowska, K.; Koziróg, A.; Otlewska, A.; Piotrowska, M.; Nowicka-Krawczyk, P.; Brycki, B.; Kunicka-Styczyńska, A.; Gutarowska, B. Quaternary ammonium biocides as antimicrobial agents protecting historical wood and brick. Acta Biochim. Pol. 2016, 63, 153–159. [Google Scholar] [CrossRef]
- Kakakhel, M.A.; Wu, F.; Gu, J.D.; Feng, H.; Shah, K.; Wang, W. Controlling biodeterioration of cultural heritage objects with biocides: A review. Int. Biodeterior. Biodegrad. 2019, 143, 104721. [Google Scholar] [CrossRef]
- Li, T.; Zhang, H.; Tan, X.; Zhang, R.; Wu, F.; Ma, Q.; Zhang, B.; Su, B. Cu nanoparticles, a candidate biocide for the conservation of stone monuments against biodeterioration. J. Build. Eng. 2024, 98, 111043. [Google Scholar] [CrossRef]
- Cappitelli, F.; Cattò, C.; Villa, F. The Control of Cultural Heritage Microbial Deterioration. Microorganisms 2020, 8, 1542. [Google Scholar] [CrossRef] [PubMed]
- Warscheid, T.; Braams, J. Biodeterioration of stone: A review. Int. Biodeterior. Biodegrad. 2000, 46, 343–368. [Google Scholar] [CrossRef]
- Mangiavacchi, F.; Coelho Dias, I.F.; Di Lorenzo, I.; Grzes, P.; Palomba, M.; Rosati, O.; Bagnoli, L.; Marini, F.; Santi, C.; Lenardao, E.J.; et al. Sweet Selenium: Synthesis and Properties of Selenium-Containing Sugars and Derivatives. J. Pharm. 2020, 13, 211. [Google Scholar] [CrossRef] [PubMed]
- Karthik, K.K.; Cheriyan, B.V.; Rajeshkumar, S.; Gopalakrishnan, M. A review on selenium nanoparticles and their biomedical applications. Biomed. Technol. 2024, 6, 61–74. [Google Scholar] [CrossRef]
- Reid, T.; Spallholz, J.; Hanes, R.E. Selenium-Based Biocidal Formulations and Methods of Use Thereof. U.S. Patent No. 9,370,187 B2, 21 June 2016. [Google Scholar]
- Cimmino, G.; De Nisco, M.; Piccolella, S.; Gravina, C.; Pedatella, S.; Pacifico, S. Novel Synthesized Seleno-glycoconjugates as Cosmeceutical Ingredients: Antioxidant Activity and In Vitro Skin Permeation. Eur. J. Med. Chem. Rep. 2024, 12, 100240. [Google Scholar] [CrossRef]
- OECD. Test No. 201: Freshwater Alga and Cyanobacteria, Growth Inhibition Test. In OECD Guidelines for the Testing of Chemicals, Section 2; OECD Publishing: Paris, France, 2011. [Google Scholar]
- Suzuki, S.; Yamaguchi, H.; Nakajima, N.; Kawachi, M. Raphidocelis subcapitata (=Pseudokirchneriella subcapitata) provides an insight into genome evolution and environmental adaptations in the Sphaeropleales. Sci. Rep. 2018, 8, 8058. [Google Scholar] [CrossRef]
- Serpico, L.; De Nisco, M.; Cermola, F.; Manfra, M.; Pedatella, S. Stereoselective synthesis of selenium-containing glycoconjugates via the mitsunobu reaction. Molecules 2021, 26, 2541. [Google Scholar] [CrossRef] [PubMed]
- González, C.; De Nisco, M.; Lemos, R.; Cimmino, G.; Pérez-Badell, Y.; Pacifico, S.; Pedatella, S. New Glycoconjugates Containing Selenium and Polyphenols. Stereoselective Synthesis by Pummerer-like Rearrangement. Eur. J. Org. Chem. 2025, 28, e202500291. [Google Scholar] [CrossRef]
- Machado, M.D.; Soares, E.V. Features of the microalga Raphidocelis subcapitata: Physiology and applications. Appl. Microbiol. Biotechnol. 2024, 108, 219. [Google Scholar] [CrossRef] [PubMed]
- Straetemans, R. Nonlinear modeling of dose-response data. In Modeling Dose-Response Microarray Data in Early Drug Development Experiments Using R: Order-Restricted Analysis of Microarray Data; Springer: Berlin/Heidelberg, Germany, 2012; pp. 43–66. [Google Scholar] [CrossRef]
Disclaimer/Publisher’s Note: The statements, opinions and data contained in all publications are solely those of the individual author(s) and contributor(s) and not of MDPI and/or the editor(s). MDPI and/or the editor(s) disclaim responsibility for any injury to people or property resulting from any ideas, methods, instructions or products referred to in the content. |
© 2025 by the authors. Licensee MDPI, Basel, Switzerland. This article is an open access article distributed under the terms and conditions of the Creative Commons Attribution (CC BY) license (https://creativecommons.org/licenses/by/4.0/).











