Sign in to use this feature.

Years

Between: -

Subjects

remove_circle_outline
remove_circle_outline
remove_circle_outline
remove_circle_outline
remove_circle_outline
remove_circle_outline
remove_circle_outline
remove_circle_outline
remove_circle_outline

Journals

remove_circle_outline
remove_circle_outline
remove_circle_outline
remove_circle_outline
remove_circle_outline
remove_circle_outline
remove_circle_outline

Article Types

Countries / Regions

remove_circle_outline
remove_circle_outline
remove_circle_outline
remove_circle_outline

Search Results (403)

Search Parameters:
Keywords = scaled plate structures

Order results
Result details
Results per page
Select all
Export citation of selected articles as:
18 pages, 4029 KB  
Article
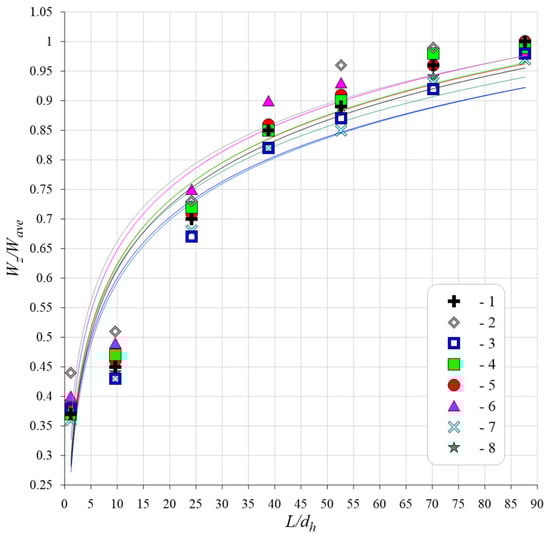
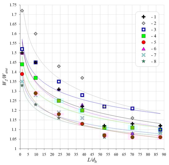
Effects of the Orifice and Absorber Grid Designs on Coolant Mixing at the Inlet of an RITM-Type SMR Fuel Assembly
by Anton Riazanov, Sergei Dmitriev, Denis Doronkov, Aleksandr Dobrov, Aleksey Pronin, Dmitriy Solntsev, Tatiana Demkina, Daniil Kuritsin and Danil Nikolaev
Fluids 2025, 10(11), 278; https://doi.org/10.3390/fluids10110278 (registering DOI) - 24 Oct 2025
Abstract
This article presents the results of an experimental study on the hydrodynamics of the coolant at the inlet of the fuel assembly in the RITM reactor core. The importance of these studies stems from the significant impact that inlet flow conditions have on [...] Read more.
This article presents the results of an experimental study on the hydrodynamics of the coolant at the inlet of the fuel assembly in the RITM reactor core. The importance of these studies stems from the significant impact that inlet flow conditions have on the flow structure within a fuel assembly. A significant variation in axial velocity and local flow rates can greatly affect the heat exchange processes within the fuel assembly, potentially compromising the safety of the core operation. The aim of this work was to investigate the effect of different designs of orifice inlet devices and integrated absorber grids on the flow pattern of the coolant in the rod bundle of the fuel assembly. To achieve this goal, experiments were conducted on a scaled model of the inlet section of the fuel assembly, which included all the structural components of the actual fuel assembly, from the orifice inlet device to the second spacer grids. The test model was scaled down by a factor of 5.8 from the original fuel assembly. Two methods were used to study the hydrodynamics: dynamic pressure probe measurements and the tracer injection technique. The studies were conducted in several sections along the length of the test model, covering its entire cross-section. The choice of measurement locations was determined by the design features of the test model. The loss coefficient (K) of the orifice inlet device in fully open and maximally closed positions was experimentally determined. The features of the coolant flow at the inlet of the fuel assembly were visualized using axial velocity plots in cross-sections, as well as concentration distribution plots for the injected tracer. The geometry of the inlet orifice device at the fuel assembly has a significant impact on the pattern of axial flow velocity up to the center of the fuel bundle, between the first and second spacing grids. Two zones of low axial velocity are created at the edges of the fuel element cover, parallel to the mounting plates, at the entrance to the fuel bundle. These unevennesses in the axial speed are evened out before reaching the second grid. The attachment plates of the fuel elements to the diffuser greatly influence the intensity and direction of flow mixing. A comparative analysis of the effectiveness of two types of integrated absorber grids was performed. The experimental results were used to justify design modifications of individual elements of the fuel assembly and to validate the hydraulic performance of new core designs. Additionally, the experimental data can be used to validate CFD codes. Full article
(This article belongs to the Special Issue Heat Transfer in the Industry)
Show Figures

Figure 1

16 pages, 7510 KB  
Article
Experimental Study on Hydrodynamic Characteristics of Streamlined-Layout Double-Row Floating Breakwaters with Wing Plates
by Yu Xu, Yucheng Sui, Jian Zhang, Hao Lin and Zhifeng Wang
J. Mar. Sci. Eng. 2025, 13(11), 2038; https://doi.org/10.3390/jmse13112038 (registering DOI) - 24 Oct 2025
Abstract
Floating breakwater layouts require flexible adjustment to accommodate sheltered area bathymetry. However, most studies have focused solely on straight layouts and have neglected the influence of complex nearshore bathymetry and structures. This work investigates streamlined-layout double-row floating breakwaters with wing plates designed for [...] Read more.
Floating breakwater layouts require flexible adjustment to accommodate sheltered area bathymetry. However, most studies have focused solely on straight layouts and have neglected the influence of complex nearshore bathymetry and structures. This work investigates streamlined-layout double-row floating breakwaters with wing plates designed for a specific port. Wave attenuation performance, motion responses, mooring tensions, and surface wave pressures under realistic nearshore conditions are systematically evaluated through a water tank experiment. The results demonstrate that the wave attenuation performance improves as incident wave height and period decrease, with the attenuation rate increasing by 6.32~11.05%. However, both the motion responses and the uplift pressures on the head and tail modules change slightly. The maximum prototype-scale changes in the maximum amplitudes of surge, heave, and pitch are +0.0625 m, −0.488 m, and +3.8523°, respectively, and the uplift pressures on the head and tail modules exhibit maximum changes of +2.3 kPa and −5.6 kPa, respectively. Additionally, wave reflection induced by nearshore structures influences both harbor tranquility and breakwater motion response. Full article
(This article belongs to the Section Coastal Engineering)
Show Figures

Figure 1

27 pages, 7638 KB  
Article
Concurrent Multiscale Modelling of Thermomechanical Responses of Heterogeneous Partition Walls
by Shige Wang, Sen Yang, Yang Li, Lian Huang, Yanming Xu, Heng Zhang and Pei Li
Materials 2025, 18(20), 4744; https://doi.org/10.3390/ma18204744 - 16 Oct 2025
Viewed by 278
Abstract
Partition walls are widely used in engineering structures, and their thermomechanical performance has a significant influence on overall safety and durability. Under extreme conditions, such as high temperatures, these walls are subjected to complex thermal expansion, stress development, and deformation, which may compromise [...] Read more.
Partition walls are widely used in engineering structures, and their thermomechanical performance has a significant influence on overall safety and durability. Under extreme conditions, such as high temperatures, these walls are subjected to complex thermal expansion, stress development, and deformation, which may compromise structural stability. Analyzing full-field deformation of parathion walls with high accuracy is a burden for classical fine-scale finite element methods. To address these challenges, this study applies a multiscale finite element method to investigate the coupled thermomechanical behavior of partition walls, providing a more computationally efficient alternative to conventional single-scale models. The method effectively captures thermal–mechanical interactions in walls composed of solid steel, porous steel, and composite plates. Numerical simulations confirm the accuracy and efficiency of the proposed approach, demonstrating its suitability for practical engineering applications. The results offer a reliable basis for optimizing partition wall design, improving energy performance, and ensuring structural integrity under demanding operating conditions. Full article
(This article belongs to the Special Issue Modelling of Deformation Characteristics of Materials or Structures)
Show Figures

Figure 1

29 pages, 5154 KB  
Article
Spatial-Frequency-Scale Variational Autoencoder for Enhanced Flow Diagnostics of Schlieren Data
by Ronghua Yang, Hao Wu, Rongfei Yang, Xingshuang Wu, Yifan Song, Meiying Lü and Mingrui Wang
Sensors 2025, 25(19), 6233; https://doi.org/10.3390/s25196233 - 8 Oct 2025
Viewed by 460
Abstract
Schlieren imaging is a powerful optical sensing technique that captures flow-induced refractive index gradients, offering valuable visual data for analyzing complex fluid dynamics. However, the large volume and structural complexity of the data generated by this sensor pose significant challenges for extracting key [...] Read more.
Schlieren imaging is a powerful optical sensing technique that captures flow-induced refractive index gradients, offering valuable visual data for analyzing complex fluid dynamics. However, the large volume and structural complexity of the data generated by this sensor pose significant challenges for extracting key physical insights and performing efficient reconstruction and temporal prediction. In this study, we propose a Spatial-Frequency-Scale variational autoencoder (SFS-VAE), a deep learning framework designed for the unsupervised feature decomposition of Schlieren sensor data. To address the limitations of traditional β-variational autoencoder (β-VAE) in capturing complex flow regions, the Progressive Frequency-enhanced Spatial Multi-scale Module (PFSM) is designed, which enhances the structures of different frequency bands through Fourier transform and multi-scale convolution; the Feature-Spatial Enhancement Module (FSEM) employs a gradient-driven spatial attention mechanism to extract key regional features. Experiments on flat plate film-cooled jet schlieren data show that SFS-VAE can effectively preserve the information of the mainstream region and more accurately capture the high-gradient features of the jet region, reducing the Root Mean Square Error (RMSE) by approximately 16.9% and increasing the Peak Signal-to-Noise Ratio (PSNR) by approximately 1.6 dB. Furthermore, when integrated with a Transformer for temporal prediction, the model exhibits significantly improved stability and accuracy in forecasting flow field evolution. Overall, the model’s physical interpretability and generalization ability make it a powerful new tool for advanced flow diagnostics through the robust analysis of Schlieren sensor data. Full article
(This article belongs to the Section Optical Sensors)
Show Figures

Figure 1

33 pages, 10540 KB  
Article
Impact Response of a Thermoplastic Battery Housing for Transport Applications
by Aikaterini Fragiadaki and Konstantinos Tserpes
Batteries 2025, 11(10), 369; https://doi.org/10.3390/batteries11100369 - 5 Oct 2025
Viewed by 410
Abstract
The transition to electric mobility has intensified efforts to develop battery technologies that are not only high-performing but also environmentally sustainable. A critical element in battery system design is the structural housing, which must provide effective impact protection to ensure passenger safety and [...] Read more.
The transition to electric mobility has intensified efforts to develop battery technologies that are not only high-performing but also environmentally sustainable. A critical element in battery system design is the structural housing, which must provide effective impact protection to ensure passenger safety and prevent catastrophic failures. This study examines the impact response of an innovative sheet molding compound (SMC) composite battery housing, manufactured from an Elium resin modified with Martinal ATH matrix, reinforced with glass fibers, that combines fire resistance and recyclability, unlike conventional thermoset and metallic housings. The material was characterized through standardized mechanical tests, and its impact performance was evaluated via drop-weight experiments on plates and a full-scale housing. The impact tests were conducted at varying energy levels to induce barely visible impact damage (BVID) and visible impact damage (VID). A finite element model was developed in LS-DYNA using the experimentally derived material properties and was validated against the impact tests. Parametric simulations of ground and pole collisions revealed the critical velocity thresholds at which housing deformation begins to affect the first battery cells, while lower-energy impacts were absorbed without compromising the pack. The study provides one of the first combined experimental and numerical assessments of Elium SMC in battery enclosures, emphasizing its potential as a sustainable alternative for next-generation battery systems for transport applications. Full article
(This article belongs to the Section Battery Performance, Ageing, Reliability and Safety)
Show Figures

Graphical abstract

20 pages, 74841 KB  
Article
Autonomous Concrete Crack Monitoring Using a Mobile Robot with a 2-DoF Manipulator and Stereo Vision Sensors
by Seola Yang, Daeik Jang, Jonghyeok Kim and Haemin Jeon
Sensors 2025, 25(19), 6121; https://doi.org/10.3390/s25196121 - 3 Oct 2025
Viewed by 437
Abstract
Crack monitoring in concrete structures is essential to maintaining structural integrity. Therefore, this paper proposes a mobile ground robot equipped with a 2-DoF manipulator and stereo vision sensors for autonomous crack monitoring and mapping. To facilitate crack detection over large areas, a 2-DoF [...] Read more.
Crack monitoring in concrete structures is essential to maintaining structural integrity. Therefore, this paper proposes a mobile ground robot equipped with a 2-DoF manipulator and stereo vision sensors for autonomous crack monitoring and mapping. To facilitate crack detection over large areas, a 2-DoF motorized manipulator providing linear and rotational motions, with a stereo vision sensor mounted on the end effector, was deployed. In combination with a manual rotation plate, this configuration enhances accessibility and expands the field of view for crack monitoring. Another stereo vision sensor, mounted at the front of the robot, was used to acquire point cloud data of the surrounding environment, enabling tasks such as SLAM (simultaneous localization and mapping), path planning and following, and obstacle avoidance. Cracks are detected and segmented using the deep learning algorithms YOLO (You Only Look Once) v6-s and SFNet (Semantic Flow Network), respectively. To enhance the performance of crack segmentation, synthetic image generation and preprocessing techniques, including cropping and scaling, were applied. The dimensions of cracks are calculated using point clouds filtered with the median absolute deviation method. To validate the performance of the proposed crack-monitoring and mapping method with the robot system, indoor experimental tests were performed. The experimental results confirmed that, in cases of divided imaging, the crack propagation direction was predicted, enabling robotic manipulation and division-point calculation. Subsequently, total crack length and width were calculated by combining reconstructed 3D point clouds from multiple frames, with a maximum relative error of 1%. Full article
Show Figures

Figure 1

16 pages, 3175 KB  
Article
Defects Identification in Ceramic Composites Based on Laser-Line Scanning Thermography
by Yalei Wang, Jianqiu Zhou, Leilei Ding, Xiaohan Liu and Senlin Jin
J. Compos. Sci. 2025, 9(10), 532; https://doi.org/10.3390/jcs9100532 - 1 Oct 2025
Viewed by 395
Abstract
Infrared thermography non-destructive testing technology has been widely used in the defect detection of composite structures due to its advantages, including non-contact operation, rapidity, low cost, and high precision. In this study, a laser-line scanning system combined with an infrared thermography was developed, [...] Read more.
Infrared thermography non-destructive testing technology has been widely used in the defect detection of composite structures due to its advantages, including non-contact operation, rapidity, low cost, and high precision. In this study, a laser-line scanning system combined with an infrared thermography was developed, along with a corresponding dynamic sequence image reconstruction method, enabling rapid localization of surface damages. Then, high-precision quantitative characterization of defect morphology in reconstructed images was achieved by integrating an edge gradient detection algorithm. The reconstruction method was validated through finite element simulations and experimental studies. The results demonstrated that the laser-line scanning thermography effectively enables both rapid localization of surface damages and precise quantitative characterization of their morphology. Experimental measurements of ceramic materials indicate that the relative error in detecting crack width is about 6% when the crack is perpendicular to the scanning direction, and the relative error gradually increases when the angle between the crack and the scanning direction decreases. Additionally, an alumina ceramic plate with micrometer-width cracks is inspected by the continuous laser-line scanning thermography. The morphology detection results are completely consistent with the actual morphology. However, limited by the spatial resolution of the thermal imager in the experiment, the quantitative identification of the crack width cannot be carried out. Finally, the proposed method is also effective for detecting surface damage of wrinkles in ceramic matrix composites. It can localize damage and quantify its geometric features with an average relative error of less than 3%, providing a new approach for health monitoring of large-scale ceramic matrix composite structures. Full article
(This article belongs to the Section Composites Modelling and Characterization)
Show Figures

Figure 1

22 pages, 68111 KB  
Article
Mechanistic Interpretation of Fretting Wear in Z10C13 Steel Under Displacement–Load Coupling
by Ruizhi Li, Bozhen Sun, Zhen Meng, Yigang Wang, Jing Ni and Haohan Zhang
Lubricants 2025, 13(9), 421; https://doi.org/10.3390/lubricants13090421 - 19 Sep 2025
Viewed by 448
Abstract
Considering that the ferritic stainless steel Z10C13 support plate material in nuclear power equipment tends to undergo fretting wear during service, this paper systematically investigates the effect of varying normal loads (10–50 N) and displacement amplitudes (15–75 μm) on its fretting response and [...] Read more.
Considering that the ferritic stainless steel Z10C13 support plate material in nuclear power equipment tends to undergo fretting wear during service, this paper systematically investigates the effect of varying normal loads (10–50 N) and displacement amplitudes (15–75 μm) on its fretting response and wear mechanisms. Through ball-on-flat fretting wear experiments, together with macro- and micro-scale observations of wear scars, it is revealed that normal load primarily controls the contact intensity and the extent of adhesion, whereas displacement amplitude mainly affects the slip amplitude and features of fatigue damage. The results show that the fretting system’s dissipated energy increases nonlinearly with both load and amplitude, and their coupled effect significantly exacerbates interfacial damage. The wear scar morphology evolves from a shallow bowl shape to a structure characterized by multiple spalling pits and propagating fatigue cracks. An equivalent hardness-corrected Archard model is proposed based on the experimental data. The model captures the nonlinear dependence of equivalent material hardness on both load and amplitude. As a result, it accurately predicts wear volume (R2=0.9838), demonstrating its physical consistency and modeling reliability. Overall, this study elucidates the multi-scale damage evolution mechanism of Z10C13 under fretting conditions and provides a theoretical foundation and methodological support for wear-resistant design, life prediction, and safety evaluation of nuclear power support structures. Full article
Show Figures

Figure 1

25 pages, 5005 KB  
Article
A Study on the Evolution Law of the Early Nonlinear Plastic Shock Response of a Ship Subjected to Underwater Explosions
by Kun Zhao, Xuan Yao, Renjie Huang, Hao Chen, Xiongliang Yao and Qiang Yin
J. Mar. Sci. Eng. 2025, 13(9), 1768; https://doi.org/10.3390/jmse13091768 - 13 Sep 2025
Viewed by 389
Abstract
Early-stage dynamic responses of naval structures under underwater explosion shock loads exhibit high-frequency, intense amplitude fluctuations and short durations, serving as critical factors for the development of plastic deformation and other damage characteristics. These structural dynamics demonstrate prominent nonlinear and non-stationary features. This [...] Read more.
Early-stage dynamic responses of naval structures under underwater explosion shock loads exhibit high-frequency, intense amplitude fluctuations and short durations, serving as critical factors for the development of plastic deformation and other damage characteristics. These structural dynamics demonstrate prominent nonlinear and non-stationary features. This study focuses on the nonlinear evolutionary patterns of early-stage plastic shock responses in underwater explosion-impacted ship structures. Utilizing phase space reconstruction, unimodal mapping, and symbolic dynamics theory, we analyze the nonlinear and non-stationary characteristics along with their evolutionary patterns in experimental data. First, scaled model experiments under varying shock factors were conducted based on a stiffened cylindrical shell prototype, investigating the spatiotemporal evolution of nonlinear and non-stationary dynamic responses under different shock loads while characterizing their uncertainty features. Second, model tests were performed on deck-type cabin structures and plate frameworks derived from a naval vessel’s deck prototype, further analyzing the evolutionary patterns of early-stage plastic dynamic responses and verifying the method’s effectiveness and universality. Research findings indicate that (1) early-stage plastic shock responses of ships under underwater explosions exhibit multiple dynamical behaviors including chaotic motion, periodic motion, and quasi-periodic motion, and (2) during the initial plastic phase, orbital parameters approximate 0.8, providing guidance for test condition setup and initial parameter selection in underwater explosion experiments on naval structures. Full article
(This article belongs to the Section Ocean Engineering)
Show Figures

Figure 1

13 pages, 2327 KB  
Article
Single-Shot Sub-Picosecond Ultrafast Microscopic Imaging Utilizing Spatial-Frequency Multiplexing for Ultrafast Laser-Induced Plasma Visualization
by Hang Li, Yahui Li, Yang Shang, Mengmeng Yue, Duan Luo, Yanhua Xue, Guilong Gao and Jinshou Tian
Nanomaterials 2025, 15(18), 1410; https://doi.org/10.3390/nano15181410 - 12 Sep 2025
Viewed by 513
Abstract
Ultrafast laser processing can produce micro/nanostructures, which is of great interest in advanced manufacturing. Ultrafast laser-induced events include non-equilibrium dynamic phenomena, occurring on the femtosecond to picosecond time scale and nanometer to micron space scale. Single-shot ultrafast imaging can provide multiple time-correlated evolution [...] Read more.
Ultrafast laser processing can produce micro/nanostructures, which is of great interest in advanced manufacturing. Ultrafast laser-induced events include non-equilibrium dynamic phenomena, occurring on the femtosecond to picosecond time scale and nanometer to micron space scale. Single-shot ultrafast imaging can provide multiple time-correlated evolution frames in one non-repeatable event with a temporal resolution of sub-picoseconds. However, previous approaches suffer from degraded spatial resolution, which is a bottleneck in microscopic imaging. For the spatial-frequency multiplexing methods based on structured illumination, a reconstruction strategy was proposed utilizing the frames’ conjugate symmetry in the Fourier domain. The spatial resolution is double that of the traditional algorithm by evaluating with synthetic data, revealing that the reconstruction resolution can reach the diffraction limitation. A two-frame microscopic system was constructed with a frame interval of 300 fs and a maximum spatial resolution of 1.4 μm. The interaction between a femtosecond laser and a fused silica glass plate was captured in a single shot and the dynamic evolution of the induced plasma was observed, verifying the application feasibility in ultrafast laser processing, providing experimental observations for interaction mechanism research and theoretical model optimization. Full article
(This article belongs to the Special Issue Ultrafast Laser Micro-Nano Welding: From Principles to Applications)
Show Figures

Figure 1

17 pages, 10657 KB  
Article
Ultrashort Pulsed Laser Fabrication of High-Performance Polymer-Film-Based Moulds for Rapid Prototyping of Microfluidic Devices
by Pieter Daniël Haasbroek, Mischa Wälty, Michael Grob and Per Magnus Kristiansen
J. Manuf. Mater. Process. 2025, 9(9), 313; https://doi.org/10.3390/jmmp9090313 - 12 Sep 2025
Viewed by 1571
Abstract
Microfluidic device prototyping demands rapid, cost-effective, and high-precision mould fabrication, yet ultrashort pulsed laser structuring of polymer inserts remains underexplored. This study presents a novel method for fabricating microfluidic mould inserts using femtosecond (fs) laser ablation of polyimide (PI) films, achieving high precision [...] Read more.
Microfluidic device prototyping demands rapid, cost-effective, and high-precision mould fabrication, yet ultrashort pulsed laser structuring of polymer inserts remains underexplored. This study presents a novel method for fabricating microfluidic mould inserts using femtosecond (fs) laser ablation of polyimide (PI) films, achieving high precision from design to prototype. PI films (250 µm) were structured using a 355 nm fs laser (300 fs, 500 kHz, 0.95 J/cm2) in a photochemically dominated ablation regime and bonded to reusable steel plates. Injection moulding trials with cyclic olefin copolymer (COC) and polymethyl methacrylate (PMMA) were conducted with diverse designs, including concentration gradient generators (CGG), organ-on-chip (OOC) with 20 µm bridges, and double emulsion droplet generators (DEDG) with 100–500 µm channels, ensuring robustness across complex geometries. The method achieved near 1:1 replication (errors < 2%, microchannel height tolerances < 1%, Sa = 0.02 µm in channels, 0.26 µm in laser-structured areas), machining times under 2 h, and mould durability over 100 cycles without significant deterioration. The PI’s heat-retarding effect mimicked variothermal moulding, ensuring complete micro-penetration without specialised equipment. By reducing material costs using PI films and reusable steel plates, enabling rapid iterations within hours, and supporting industry-compatible prototyping, this approach lowers barriers for small-scale labs. It enables rapid prototyping of diagnostic lab-on-chip devices and supports decentralised manufacturing for biomedical, chemical, and environmental applications, offering a versatile, cost-effective tool for early-stage development. Full article
Show Figures

Figure 1

20 pages, 11493 KB  
Article
Evaluation of Numerical Methods for Dispersion Curve Estimation in Viscoelastic Plates
by Jabid E. Quiroga, Octavio A. González-Estrada and Miguel Díaz-Rodríguez
Eng 2025, 6(9), 240; https://doi.org/10.3390/eng6090240 - 11 Sep 2025
Viewed by 1071
Abstract
This study aims to evaluate the effectiveness of five analytical and semi-analytical methods for estimating Lamb wave dispersion in viscoelastic plates—the Rayleigh–Lamb solution, the Global Matrix Method (GMM), the Semi-Analytical Finite Element (SAFE) method, the Scaled Boundary Finite Element Method (SBFEM), and the [...] Read more.
This study aims to evaluate the effectiveness of five analytical and semi-analytical methods for estimating Lamb wave dispersion in viscoelastic plates—the Rayleigh–Lamb solution, the Global Matrix Method (GMM), the Semi-Analytical Finite Element (SAFE) method, the Scaled Boundary Finite Element Method (SBFEM), and the Legendre Polynomial Method (LPM). The Rayleigh–Lamb equations are solved using an optimized Newton–Raphson algorithm, enhancing computational efficiency while maintaining comparable accuracy. The SAFE method exhibited a remarkable balance between computational efficiency and physical accuracy, outperforming SBFEM at high frequencies. For epoxy and high-performance polyethylene (HPPE) plates, the SAFE method and the LPM significantly outperform the GMM in relation to computational efficiency, with errors below 1% for fundamental symmetric and antisymmetric modes across the tested frequency range of 0 to 100 kHz. In addition, the ability of the SAFE method to accurately predict both phase velocity and attenuation in viscous media supports their use in guided-wave-based structural health monitoring applications. Among the investigated approaches, the SAFE method emerges as the most robust and accurate for viscoelastic plates, while the SBFEM and LPM show limitations at higher frequencies. This study provides a quantitative and methodological foundation for selecting and implementing numerical methods for guided wave analysis, emphasizing the dual necessity of physical fidelity and numerical stability. Full article
Show Figures

Figure 1

18 pages, 4603 KB  
Article
Mechanism of Load Transfer and Deformation Coordination for a Novel Sliding-Type Connection Structure in Bridge Widening: Model Test and Numerical Investigations
by Wenqing Wu, Zheng Liu, Jiyang Liu, Dan Liu, Liang Chen and Wenwei Wang
Buildings 2025, 15(17), 3248; https://doi.org/10.3390/buildings15173248 - 8 Sep 2025
Viewed by 1223
Abstract
In lateral-joint-widening projects of multi-span continuous concrete box girder bridges, significant discrepancies in longitudinal shrinkage, creep deformation, and vertical displacement between the existing and newly added bridge sections can lead to stress concentration and subsequent concrete cracking. Notably, such incompatibility often results in [...] Read more.
In lateral-joint-widening projects of multi-span continuous concrete box girder bridges, significant discrepancies in longitudinal shrinkage, creep deformation, and vertical displacement between the existing and newly added bridge sections can lead to stress concentration and subsequent concrete cracking. Notably, such incompatibility often results in pronounced overall lateral bending deformation, which compromises the structural safety and service reliability of the widened bridge. To address these challenges, this study proposes a novel sliding-type transverse connection structure. This innovative connection enables the independent development of longitudinal shrinkage and creep deformation in the new bridge superstructure relative to the old one through a sliding mechanism, thereby effectively mitigating stress concentration and minimizing overall bending deformation caused by differential deformations. To validate the feasibility and elucidate the load transfer mechanism of the proposed structure, both scaled model tests and finite element simulations were conducted. The results indicate that the connection not only effectively coordinates longitudinal deformation differences and accommodates vertical deformation between the flange plates of the new and old bridges, but also ensures efficient transverse load transfer through shear force transmission. The structural behavior is primarily governed by shear stress distribution. These findings demonstrate that the sliding-type transverse connection significantly improves deformation compatibility in bridge widening applications, thereby enhancing the mechanical performance and safety reliability of the overall structure. Full article
Show Figures

Figure 1

22 pages, 6320 KB  
Article
Mechanisms of Overburden and Surface Damage Conduction in Shallow Multi-Seam Mining
by Guojun Zhang, Shigen Fu, Yunwang Li, Mingbo Chi and Xizhong Zhao
Eng 2025, 6(9), 235; https://doi.org/10.3390/eng6090235 - 8 Sep 2025
Viewed by 330
Abstract
Focusing on the issues of severe mining pressure and discontinuous surface deformation caused by the large-scale mining of multiple coal seams, and taking into account the research background of Shigetai Coal Mine in Shendong Mining Area, this study adopts physical similarity simulation, theoretical [...] Read more.
Focusing on the issues of severe mining pressure and discontinuous surface deformation caused by the large-scale mining of multiple coal seams, and taking into account the research background of Shigetai Coal Mine in Shendong Mining Area, this study adopts physical similarity simulation, theoretical analysis, and on-site verification methods to carry out research on rock migration, stress evolution, and overlying rock fracture mechanism at shallow burial depths and in multiple-coal-seam mining. The research results indicate that as the working face advances, the overlying rock layers break layer by layer, and the intact rock mass on the outer side of the main fracture forms an arched structure and expands outward, showing a pattern of layer-by-layer breaking of the overlying rock and slow settlement of the loose layer. The stress of the coal pillars on both sides in front of and behind the workplace shows an increasing trend followed by a decreasing trend before and after direct top fracture. The stress on the bottom plate of the goaf increases step by step with the collapse of the overlying rock layer, and its increment is similar to the gravity of the collapsed rock layer. When mining multiple coal seams, when the fissures in the overlying strata of the current coal seam penetrate to the upper coal seam, the stress in this coal seam suddenly increases, and the pressure relief effect of the upper coal seam is significant. Based on the above laws, three equilibrium structural models of overlying strata were established, and the maximum tensile stress and maximum shear stress yield strength criteria were used as stability criteria for overlying strata structures. The evolution mechanism of mining damage caused by layer-by-layer fracturing and the upward propagation of overlying strata was revealed. Finally, the analysis of the hydraulic support working resistance during the backfilling of the 31,305 working face in Shigetai Coal Mine confirmed the accuracy of the similarity simulation and theoretical model. The above research can provide support for key theoretical and technological research on underground mine safety production, aquifer protection, surface ecological restoration, and source loss reduction and control. Full article
Show Figures

Figure 1

20 pages, 5084 KB  
Article
Stability Enhancement and Bifurcation Mitigation in Nonlinear Inner Plate Oscillations Through PD Control
by Ashraf Taha EL-Sayed, Rageh K. Hussein, Yasser A. Amer and Marwa A. EL-Sayed
Machines 2025, 13(9), 828; https://doi.org/10.3390/machines13090828 - 8 Sep 2025
Viewed by 488
Abstract
Axially moving wings offer remarkable aerodynamic efficiency and adaptability; however, they are highly susceptible to detrimental vibrations that may compromise flight stability and structural integrity. Previous studies have mainly focused on simplified linear models or passive control approaches, leaving the nonlinear dynamic behavior [...] Read more.
Axially moving wings offer remarkable aerodynamic efficiency and adaptability; however, they are highly susceptible to detrimental vibrations that may compromise flight stability and structural integrity. Previous studies have mainly focused on simplified linear models or passive control approaches, leaving the nonlinear dynamic behavior and active vibration suppression insufficiently addressed. To overcome these limitations, this study models the wing as a simplified cantilever plate and investigates its nonlinear dynamics under varying load conditions. A proportional–derivative (PD) controller is employed, and approximate analytical solutions to the governing equations are derived using the multiple-scale perturbation method (MSPM). The system’s response under primary resonance is analyzed through frequency response and bifurcation studies, while stability is assessed using the Routh–Hurwitz criterion. Analytical findings are validated with numerical simulations in MATLAB R2023b. Furthermore, the influence of key structural parameters on system dynamics and controller performance is examined. The results demonstrate that the PD controller effectively suppresses vibrations, offering a reliable solution for enhancing the stability of axially moving wing systems. Full article
Show Figures

Figure 1

Back to TopTop