Sign in to use this feature.

Years

Between: -

Subjects

remove_circle_outline
remove_circle_outline
remove_circle_outline
remove_circle_outline
remove_circle_outline
remove_circle_outline
remove_circle_outline
remove_circle_outline
remove_circle_outline

Journals

remove_circle_outline
remove_circle_outline
remove_circle_outline
remove_circle_outline
remove_circle_outline
remove_circle_outline
remove_circle_outline
remove_circle_outline
remove_circle_outline
remove_circle_outline
remove_circle_outline
remove_circle_outline
remove_circle_outline
remove_circle_outline

Article Types

Countries / Regions

remove_circle_outline
remove_circle_outline
remove_circle_outline
remove_circle_outline

Search Results (2,821)

Search Parameters:
Keywords = rough surface structure

Order results
Result details
Results per page
Select all
Export citation of selected articles as:
20 pages, 4301 KB  
Article
Chestnut Burr as a Multifunctional Filler for PLA-Based Bio-Composites: Processing, Characterization, and Antioxidant Functionality
by Tommaso Olmastroni, Simone Pepi, Milad Sarwari, Eugenio Paccagnini, Alfonso Trezza, Anna Visibelli, Pietro Lupetti, Agnese Magnani, Valter Travagli, Michela Geminiani and Annalisa Santucci
Appl. Sci. 2025, 15(21), 11743; https://doi.org/10.3390/app152111743 - 4 Nov 2025
Abstract
This study explores the valorization of chestnut burrs (Castanea sativa), an abundant agro-industrial residue, as a natural filler for polylactic acid (PLA)-based biocomposites with potential applications in additive manufacturing. PLA/chestnut burr composite filaments were prepared by melt extrusion with filler contents [...] Read more.
This study explores the valorization of chestnut burrs (Castanea sativa), an abundant agro-industrial residue, as a natural filler for polylactic acid (PLA)-based biocomposites with potential applications in additive manufacturing. PLA/chestnut burr composite filaments were prepared by melt extrusion with filler contents of 2.5%, 5%, 10%, and 15% w/w, and their chemical, thermal, morphological, and mechanical properties were systematically characterized. ATR-FTIR confirmed the absence of major chemical modifications of the PLA matrix. Thermogravimetric analysis (TGA) and differential scanning calorimetry (DSC), the latter performed on both the extruded filaments and the material after fused deposition modeling (FDM) 3D printing, revealed a slight decrease in thermal stability with increasing filler content, coupled with enhanced crystallinity. Mechanical properties analysis showed that the addition of chestnut burrs did not negatively impact the viscoelastic behavior of the filaments. Scanning electron microscopy (SEM) highlighted good filler dispersion up to 5% loading, while higher percentages led to increased surface roughness and microvoids. Importantly, antioxidant activity assays (DPPH, ABTS, FRAP, and Folin–Ciocâlteu) demonstrated that the incorporation of chestnut burr significantly enhanced the radical-scavenging capacity, reducing power, and total phenolic content (TPC) of PLA. These functionalities were preserved, and in some cases amplified, after FDM 3D printing, indicating that the processing conditions did not degrade the bioactive constituents. Overall, chestnut burrs are confirmed as an effective multifunctional filler for PLA, improving its antioxidant activity while maintaining structural and thermal performance, supporting the development of sustainable biocomposites for emerging applications. Full article
Show Figures

Figure 1

23 pages, 6818 KB  
Article
Enhanced Osseointegration, Osteogenic Differentiation and Adherence Behaviour of Healthy Human Osteoblasts on a Roughened Titanium Surface by Vitamin K2 and Vitamin D3
by Katharina Tscheu, Ann Kathrin Bergmann, Christoph V. Suschek and Uwe Maus
Materials 2025, 18(21), 5012; https://doi.org/10.3390/ma18215012 - 3 Nov 2025
Abstract
The number of endoprosthetic implants is constantly increasing. Successful osseointegration of the inserted material into the bone is essential for a prosthesis to remain in the bone as long as possible. In the clinical setting, a roughened titanium surface of implants is used [...] Read more.
The number of endoprosthetic implants is constantly increasing. Successful osseointegration of the inserted material into the bone is essential for a prosthesis to remain in the bone as long as possible. In the clinical setting, a roughened titanium surface of implants is used as standard to enable the best possible osseointegration. Vitamin K2 and vitamin D3 play a decisive role in dynamic bone metabolism and therefore also influence osseointegration. For the first time, we carried out in vitro investigations with clinically relevant cells, primary healthy human osteoblasts (hOBs). We qualitatively compared the adhesion behaviour of hOBs on a plastic surface, a smooth, regular titanium surface structure and a roughened, irregular titanium surface structure by scanning electron microscopy and fluorescence microscopy. The osteogenic behaviour and the osteogenic differentiation capacity were quantitatively investigated by analysing the activity of alkaline phosphatase and the alizarin red S assay under the influence of vitamin K2, vitamin D3 and the combination of both vitamins. It was shown that more adhesion points formed between the cells and the titanium on the rough surface structure. In addition, a solid cell network developed more quickly on this side, with cell runners forming in three-dimensional space, which means the interactions between the cells across different cell layers. On the other hand, a structured cell network also appeared on the regular smooth surface structure, which means that the network seems to be formed and built up along a defined structure. The addition of vitamins further increased the osteogenic differentiation capacity on the rough titanium surface structure. In particular, the isolated addition of vitamin K2 showed an improved osteogenic differentiation in the long-term observation, whereas the combined addition of both vitamins promoted the initial osteogenic differentiation. Vitamin K2, therefore, plays a greater role in osseointegration than previously assumed. This opens up new possibilities for the use of vitamin K2 during and after the surgical insertion of an implant. The use of vitamin K2 should be reconsidered for clinical applications in implant care and further investigated clinically. Full article
(This article belongs to the Section Biomaterials)
Show Figures

Figure 1

37 pages, 3750 KB  
Review
A Comprehensive Review of Discrete Element Method Studies of Granular Flow in Static Mixers
by Milada Pezo, Lato Pezo, Biljana Lončar, Predrag Kojić and Aleksandar Aca Jovanović
Processes 2025, 13(11), 3522; https://doi.org/10.3390/pr13113522 - 3 Nov 2025
Abstract
The Discrete Element Method (DEM) has become a cornerstone for analysing granular flow and mixing phenomena in static mixers. This review provides a comprehensive synthesis that distinguishes it from previous studies by: (i) covering a broad range of static mixer geometries, including Kenics, [...] Read more.
The Discrete Element Method (DEM) has become a cornerstone for analysing granular flow and mixing phenomena in static mixers. This review provides a comprehensive synthesis that distinguishes it from previous studies by: (i) covering a broad range of static mixer geometries, including Kenics, SMX, and Sulzer designs; (ii) integrating experimental validation methods, such as particle tracking, high-speed imaging, Particle Image Velocimetry (PIV), and X-ray tomography, to assess DEM predictions; and (iii) systematically analyzing computational strategies, including advanced contact models, hybrid DEM-CFD/FEM frameworks, machine learning surrogates, and GPU-accelerated simulations. Recent advances in contact mechanics—such as improved cohesion, rolling resistance, and nonspherical particle modelling—have enhanced simulation realism, while adaptive time-stepping and coarse-graining improve computational efficiency. DEM studies have revealed several non-obvious relationships between mixer geometry and particle dynamics. Variations in blade pitch, helix angle, and element arrangement significantly affect local velocity fields, mixing uniformity, and energy dissipation. Alternating left–right element orientations promote cross-sectional particle exchange and reduce stagnant regions, whereas higher pitch angles enhance axial transport but can weaken radial mixing. Particle–wall friction and surface roughness strongly govern shear layer formation and segregation intensity, demonstrating the need for geometry-specific optimization. Comparative analyses elucidate how particle–wall interactions and channel structure influence segregation, residence time, and energy dissipation. The review also identifies current limitations, highlights validation and scale-up challenges, and outlines key directions for developing faster, more physically grounded DEM models, providing practical guidance for industrial mixer design and optimization. Full article
(This article belongs to the Special Issue Industrial Applications of Modeling Tools)
Show Figures

Figure 1

12 pages, 6316 KB  
Article
Surface Texture, Wettability and Tribological Behavior of Titanium Nitride-Based Coatings Deposited on Ti6Al4V Titanium Alloy
by Katarzyna Piotrowska and Monika Madej
Materials 2025, 18(21), 5010; https://doi.org/10.3390/ma18215010 - 3 Nov 2025
Abstract
This study presents an analysis of two titanium nitride-based coatings, TiCN and TiN:Ag, deposited on Ti6Al4V alloy by physical vapour deposition (PVD). The investigation focused on the characterisation of surface geometric structure and wettability, tribological parameters, and osseointegration. The purpose of the study [...] Read more.
This study presents an analysis of two titanium nitride-based coatings, TiCN and TiN:Ag, deposited on Ti6Al4V alloy by physical vapour deposition (PVD). The investigation focused on the characterisation of surface geometric structure and wettability, tribological parameters, and osseointegration. The purpose of the study was to obtain a better understanding of the interactions between the implant surface and the surrounding tissues and body fluids, which are essential for ensuring long-term durability. The results revealed significant differences in surface stereometric parameters between the coatings, with TiN:Ag exhibiting higher roughness values. These variations were reflected in the wettability tests, where the coating with a more developed surface topography (TiN:Ag) demonstrated contact angle values approximately 15% higher than those of TiCN. In contrast, tribological tests indicated superior performance of the TiCN coating, which exhibited lower coefficients of friction in artificial saliva at pH 5.8 and 6.8—reduced by 20% and 36%, respectively, compared with TiN:Ag. The findings confirmed that surface topography exerts a decisive influence on both wettability and tribological behaviour of the coatings, aspects that must be considered in their design for implantological applications. Full article
(This article belongs to the Special Issue Surface Properties and Surface Characterization of Dental Materials)
Show Figures

Graphical abstract

17 pages, 4686 KB  
Article
Influence of SnCl2 and SnC2O4 Precursors on the Corrosion Protection of SnO2 Coatings on 304 Stainless Steel in 3% NaCl Solution
by Ana Karen Acero-Gutiérrez, Jesús Gilberto Godínez-Salcedo, Ricardo Cuenca-Álvarez, Ana Lilia Pérez-Flores, Margarita García-Hernández and Ángel de Jesús Morales-Ramírez
Coatings 2025, 15(11), 1277; https://doi.org/10.3390/coatings15111277 - 3 Nov 2025
Abstract
This work prepared SnO2 coatings on 304 stainless steel via the sol–gel and dip-coating techniques, using tin (II) chloride (SnCl2) and tin (II) oxalate (SnC2O4) as precursors. The crystal structure analyzed by X-ray Diffraction (XRD) confirmed [...] Read more.
This work prepared SnO2 coatings on 304 stainless steel via the sol–gel and dip-coating techniques, using tin (II) chloride (SnCl2) and tin (II) oxalate (SnC2O4) as precursors. The crystal structure analyzed by X-ray Diffraction (XRD) confirmed the cassiterite-type SnO2 in both cases. The corrosion resistance in a 3 wt.% NaCl solution was evaluated by polarization resistance (Rp) and anodic potentiodynamic polarization. Coatings derived from the SnC2O4 precursor demonstrated exceptional performance, reducing the corrosion rate by up to three orders of magnitude (from 0.0973 mpy for uncoated steel to 0.00015 mpy), corresponding to a protection efficiency of 99.8%. In contrast, coatings from the SnCl2 precursor increased the corrosion rate. X-ray Photoelectron Spectroscopy (XPS) analysis confirmed that this detrimental effect was due to the presence of chlorine (5.54 wt.%), which acted as an initiation site for pitting corrosion. Atomic force microscopy (AFM) and XRD of the effective SnC2O4-derived coatings revealed a homogeneous surface with low roughness and a textured cassiterite structure. The primary limitation of this work is that the sol–gel synthesis route using SnCl2 is unsuitable for corrosion protection in chloride environments due to the incorporation of aggressive chlorine ions, whereas the chlorine-free SnC2O4 precursor yields highly protective SnO2 coatings. Full article
(This article belongs to the Special Issue Anti-Corrosion Coatings: New Ideas to Make Them More Effective)
Show Figures

Figure 1

24 pages, 15484 KB  
Article
On the Process Optimization, Microstructure Characterization and Mechanical Performance of Ti65 Titanium Alloy Produced by Laser Powder Bed Fusion
by Yuan Meng, Xianglong Wang, Jinjun Wu, Haojie Wang, Ping Gan, Lei Lu, Chengjie Li, Tongling Ma, Jun Niu and Zhigang Zhang
Appl. Sci. 2025, 15(21), 11717; https://doi.org/10.3390/app152111717 - 3 Nov 2025
Abstract
Ti65 high-temperature titanium alloy, known for its exceptional high-temperature mechanical properties and oxidation resistance, demonstrates considerable potential for aerospace applications. Nevertheless, conventional manufacturing techniques are often inadequate for achieving high design freedom and fabricating complex geometries. This study presents a systematic investigation into [...] Read more.
Ti65 high-temperature titanium alloy, known for its exceptional high-temperature mechanical properties and oxidation resistance, demonstrates considerable potential for aerospace applications. Nevertheless, conventional manufacturing techniques are often inadequate for achieving high design freedom and fabricating complex geometries. This study presents a systematic investigation into the process optimization, microstructure characterization, and mechanical performance of Ti65 alloy produced by laser powder bed fusion (LPBF). Via meticulously designed single-track, multi-track, and bulk sample experiments, the influences of laser power (P), scanning speed (V), and hatch spacing (h) on molten pool behavior, defect formation, microstructural evolution, and surface roughness were thoroughly examined. The results indicate that under optimized parameters, the specimens attain ultra-high dimensional accuracy, with a near-full density (>99.99%) and reduced surface roughness (Ra = 3.9 ± 1.3 μm). Inadequate energy input (low P or high V) led to lack-of-fusion defects, whereas excessive energy (high P or low V) resulted in keyhole porosity. Microstructural analysis revealed that the rapid solidification inherent to LPBF promotes the formation of fine acicular α′-phase (0.236–0.274 μm), while elevated laser power or reduced scanning speed facilitated the development of coarse lamellar α′-martensite (0.525–0.645 μm). Tensile tests demonstrated that samples produced under the optimized parameters exhibit high ultimate tensile strength (1489 ± 7.5 MPa), yield strength (1278 ± 5.2 MPa), and satisfactory elongation (5.7 ± 0.15%), alongside elevated microhardness (446.7 ± 1.7 HV0.2). The optimized microstructure thereby enables the simultaneous achievement of high density and superior mechanical properties. The fundamental mechanism is attributed to precise control over volumetric energy density, which governs melt pool mode, defect generation, and solidification kinetics, thereby tailoring the resultant microstructure. This study offers valuable insights into defect suppression, microstructure control, and process optimization for LPBF-fabricated Ti65 alloy, facilitating its application in high-temperature structural components. Full article
Show Figures

Figure 1

18 pages, 12230 KB  
Article
Effects of Two-Level Surface Roughness on Superhydrophobicity
by Yanfei Wang, Mengdan You and Qiang Sun
Coatings 2025, 15(11), 1269; https://doi.org/10.3390/coatings15111269 - 2 Nov 2025
Viewed by 68
Abstract
Biomimetic superhydrophobic surfaces have become a focal point of recent research, driven by their promise in diverse applications. Among these, the lotus and rose effects are of particular interest due to their contrasting adhesion characteristics. Given that superhydrophobicity is closely related to the [...] Read more.
Biomimetic superhydrophobic surfaces have become a focal point of recent research, driven by their promise in diverse applications. Among these, the lotus and rose effects are of particular interest due to their contrasting adhesion characteristics. Given that superhydrophobicity is closely related to the hierarchical structures of these surfaces, investigating the effects of two-level roughness on superhydrophobicity is crucial. In our previous work, we introduced a wetting parameter (WRoughness), strongly correlated with the geometric characteristics of surface roughness, to elucidate the superhydrophobic behavior of solid surfaces. This parameter predicts the existence of a critical wetting parameter (WRoughness,c) during the Wenzel–Cassie transition. For two-level surface roughness composed of primary and secondary roughness, the WRoughness of the two-level surface is influenced by the geometric characteristics of both primary and secondary roughness. Furthermore, when secondary roughness is added to a primary roughness surface in the Wenzel state, the resulting two-level roughness can exhibit various superhydrophobic states, such as the Wenzel state, Wenzel–Cassie transition, or Cassie state, depending on the characteristics of the secondary roughness. To further investigate the influence of two-level roughness on superhydrophobicity, molecular dynamics (MD) simulations were also conducted. Full article
(This article belongs to the Special Issue Superhydrophobic Coatings, 2nd Edition)
Show Figures

Figure 1

33 pages, 4280 KB  
Review
Advances in Through-Hole Anodic Aluminum Oxide (AAO) Membrane and Its Applications: A Review
by Chin-An Ku and Chen-Kuei Chung
Nanomaterials 2025, 15(21), 1665; https://doi.org/10.3390/nano15211665 - 1 Nov 2025
Viewed by 169
Abstract
Anodic aluminum oxide (AAO) is a well-known nanomaterial template formed under specific electrochemical conditions. By adjusting voltage, temperature, electrolyte type, and concentration, various microstructural modifications of AAO can be achieved within its hexagonally arranged pore array. To enable broader applications or enhance performance, [...] Read more.
Anodic aluminum oxide (AAO) is a well-known nanomaterial template formed under specific electrochemical conditions. By adjusting voltage, temperature, electrolyte type, and concentration, various microstructural modifications of AAO can be achieved within its hexagonally arranged pore array. To enable broader applications or enhance performance, post-treatment is often employed to further modify its nanostructure after anodization. Among these post-treatment techniques, AAO membrane detachment methods have been widely studied and can be categorized into traditional etching methods, voltage reduction methods, reverse bias voltage detachment methods, pulse voltage detachment methods, and further anodization techniques. Among various delamination processes, the mechanism is highly related to the selectivity of wet etching, as well as the Joule heating and stress generated during the process. Each of these detachment methods has its own advantages and drawbacks, including processing time, complexity, film integrity, and the toxicity of the solutions used. Consequently, researchers have devoted significant effort to optimizing and improving these techniques. Furthermore, through-hole AAO membranes have been applied in various fields, such as humidity sensors, nanomaterial synthesis, filtration, surface-enhanced Raman scattering (SERS), and tribo-electrical nano-generators (TENG). In particular, the rough and porous structures formed at the bottom of AAO films significantly enhance sensor performance. Depending on specific application requirements, selecting or refining the appropriate processing method is crucial to achieving optimal results. As a versatile nanomaterial template, AAO itself is expected to play a key role in future advancements in environmental safety, bio-applications, energy technologies, and food safety. Full article
Show Figures

Graphical abstract

17 pages, 5800 KB  
Article
3D Printing of Shape Memory Resin for Orthodontic Aligners with Green Synthesized Antimicrobial ZnO Nanoparticles Coatings: Toward Bioactive Devices
by Airy Teramoto-lida, Rafael Álvarez-Chimal, Lorena Reyes-Carmona, Marco Antonio Álvarez-Pérez, Amaury Pozos-Guillen and Febe Carolina Vázquez-Vázquez
Bioengineering 2025, 12(11), 1193; https://doi.org/10.3390/bioengineering12111193 - 1 Nov 2025
Viewed by 207
Abstract
The development of bioactive dental materials with antimicrobial and biocompatible properties is important for improving clinical outcomes and reducing complications associated with intraoral devices. This study presents a novel approach that combines a 3D-printed shape-memory resin (TC-85DAC) with green-synthesized zinc oxide nanoparticles (ZnO [...] Read more.
The development of bioactive dental materials with antimicrobial and biocompatible properties is important for improving clinical outcomes and reducing complications associated with intraoral devices. This study presents a novel approach that combines a 3D-printed shape-memory resin (TC-85DAC) with green-synthesized zinc oxide nanoparticles (ZnO NPs) to enhance biological performance. ZnO NPs were synthesized using Dysphania ambrosioides extract, producing quasi-spherical particles with a crystalline hexagonal structure and sizes between 15 and 40 nm. Resin discs were coated with ZnO NPs at 10%, 20%, and 30%, then assessed for biocompatibility with human gingival fibroblasts and antibacterial activity against Porphyromonas gingivalis and Streptococcus mutans. Surface roughness was also considered with and without ZnO NPs. Biocompatibility assays revealed a concentration- and time-dependent increase in cell viability, with the highest values at 30% ZnO NPs after 72 h of exposure to the NPs. Antibacterial testing confirmed the inhibition of both species, with Porphyromonas gingivalis showing greater sensitivity. Surface roughness increased with higher ZnO NPs concentrations, significantly influencing biological interactions. The integration of green-synthesized ZnO NPs with shape-memory resin produced a multifunctional dental material with improved bioactivity. This sustainable strategy enables bioactive coatings on 3D-printed resins, with potential applications in the next generation of smart dental devices. Full article
Show Figures

Figure 1

23 pages, 7181 KB  
Article
Characteristics of the Mesostructure of 3D-Printed PLA/GNP Composites
by Mingju Lei, Pengfei Liu, Caiyun Niu, Yiyi Xu, Qiaowen Li, Xueru Liang and Hongfeng Chen
J. Compos. Sci. 2025, 9(11), 585; https://doi.org/10.3390/jcs9110585 - 1 Nov 2025
Viewed by 75
Abstract
This study investigates the influence of 3D printing process parameters on the mesoscopic structure of polylactic acid/graphene nanoplatelet (PLA/GNP) composites. A computational fluid dynamics (CFD) multiphase flow model was developed to simulate the deposition, flow, and solidification behavior of the molten composite during [...] Read more.
This study investigates the influence of 3D printing process parameters on the mesoscopic structure of polylactic acid/graphene nanoplatelet (PLA/GNP) composites. A computational fluid dynamics (CFD) multiphase flow model was developed to simulate the deposition, flow, and solidification behavior of the molten composite during the printing process. The effects of nozzle temperature (180–220 °C) and printing speed (30–50 mm/s) on the filament morphology, porosity, surface roughness, dimensional accuracy, and tensile strength of the printed parts were systematically examined. The accuracy of the model was validated by comparing simulation results with experimental data from scanning electron microscopy (SEM) observations and mechanical tests. The findings reveal that a higher nozzle temperature and a lower printing speed result in a flatter filament cross-section, which effectively reduces porosity and surface roughness, thereby enhancing print quality. Furthermore, a skewed deposition configuration achieves a denser structure and superior surface quality compared to an aligned configuration. The research uncovered a critical trade-off between dimensional accuracy and mechanical properties: low-temperature, low-speed conditions favor dimensional accuracy, whereas high-temperature, high-speed conditions improve tensile strength. A comprehensive analysis identified an optimal processing window at a nozzle temperature of 210–215 °C and a printing speed of 30–35 mm/s. This window balances performance, enabling the fabrication of composite parts with both high tensile strength (approximately 56 MPa) and excellent dimensional accuracy (root mean square deviation below 0.18 mm). This study provides a theoretical basis and process guidance for the application of 3D printing for high-performance PLA/GNP composites. Full article
(This article belongs to the Section Composites Modelling and Characterization)
Show Figures

Figure 1

27 pages, 6009 KB  
Article
The Impact of CO2 Laser Treatment on Kevlar® KM2+ Fibres Fabric Surface Morphology and Yarn Pull-Out Resistance
by Silvija Kukle, Lyubomir Lazov, Rynno Lohmus, Ugis Briedis, Imants Adijans, Ieva Bake, Vladimir Dunchev and Erika Teirumnieka
Polymers 2025, 17(21), 2931; https://doi.org/10.3390/polym17212931 - 31 Oct 2025
Viewed by 145
Abstract
Since direct laser surface texturing of polymers is an emerging area, considerable attention is given to this technique with the aim of forming a basis for follow-up research that could open the way for potential technological ideas and optimization in novel applications. Laser [...] Read more.
Since direct laser surface texturing of polymers is an emerging area, considerable attention is given to this technique with the aim of forming a basis for follow-up research that could open the way for potential technological ideas and optimization in novel applications. Laser pre-processing of ballistic textiles can raise surface roughness of smooth para-aramid fibres and as a result can improve the adhesion of functional coatings applied in following processing steps, thus opening new possibilities for material performance improvement. The impact resistance of ballistic fabric depends on the ability of its yarns in contact with the projectile absorb energy locally and disperse it to adjacent yarns without undergoing severe damage or failure. In addition to the yarn deformation and fracture, yarn resistance to pull-out contributes to the dissipation of impact energy significantly. The objective of this study is to optimize Kevlar® KM2+ fabric surface topographies by adjusting the continuous wave (CW) CO2 laser parameters in such a way that it increases the surface roughness and resistance to the yarn pull-out from the fabric without destroying the unique structure of the of Kevlar® KM2+ fibres. Experimental research measured data show increase in surface roughness by 50–53% and set of laser parameter variants have been obtained that allow for an increase in KM2+ 440D woven fabric yarns pull out force from fabric in the range from 50% up to 99% compared to the untreated one. Full article
(This article belongs to the Special Issue Technical Textile Science and Technology)
Show Figures

Figure 1

29 pages, 24699 KB  
Article
Noise Reduction for the Future ODYSEA Mission: A UNet Approach to Enhance Ocean Current Measurements
by Anaëlle Tréboutte, Cécile Anadon, Marie-Isabelle Pujol, Renaud Binet, Gérald Dibarboure, Clément Ubelmann and Lucile Gaultier
Remote Sens. 2025, 17(21), 3612; https://doi.org/10.3390/rs17213612 - 31 Oct 2025
Viewed by 85
Abstract
The ODYSEA (Ocean DYnamics and Surface Exchange with the Atmosphere) mission will provide simultaneous two-dimensional measurements of currents and winds for the first time. According to the ODYSEA radar concept, with a high incidence angle, current noise is primarily driven by backscattered power, [...] Read more.
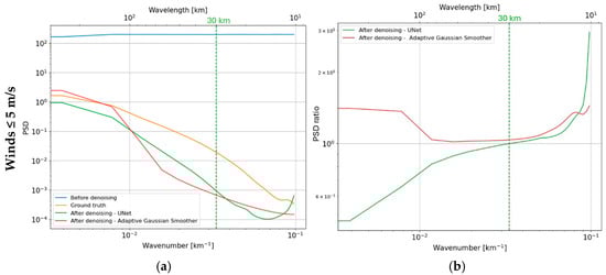
The ODYSEA (Ocean DYnamics and Surface Exchange with the Atmosphere) mission will provide simultaneous two-dimensional measurements of currents and winds for the first time. According to the ODYSEA radar concept, with a high incidence angle, current noise is primarily driven by backscattered power, which is triggered by wind speed. Therefore, random noise will affect the quality of observations. In low wind conditions, the absence of surface roughness increases the noise level considerably, to the point where the measurement becomes unusable, as the error can exceed 3 m/s at 5 km posting compared to mean current amplitudes of tens of cm/s. Winds higher than 7.5 m/s enable current measurements at 5 km posting with an RMS accuracy below 50 cm/s, but derivatives of currents will amplify noise, hampering the understanding of ocean dynamics and the interaction between the ocean and the atmosphere. In this context, this study shows the advantages and limitations of using noise-reduction algorithms. A convolutional neural network, a UNet inspired by the work of the SWOT (Surface Water and Ocean Topography) mission, is trained and tested on simulated radial velocities that are representative of the global ocean. The results are compared with those of classical smoothing: an Adaptive Gaussian Smoother whose filtering transfer function is optimized based on local wind speed (e.g., more smoothing in regions of low wind). The UNet outperforms the kernel smoother everywhere with our simulated dataset, especially in low wind conditions (SNR << 1) where the smoother essentially removes all velocities whereas the UNet mitigates random noise while preserving most of the signal of interest. Error is reduced by a factor of 30 and structures down to 30 km are reconstructed accurately. The UNet also enables the reconstruction of the main eddies and fronts in the relative vorticity field. It shows good robustness and stability in new scenarios. Full article
(This article belongs to the Section Ocean Remote Sensing)
Show Figures

Figure 1

23 pages, 3940 KB  
Article
Valorisation of Cocoa Waste into Edible Packaging Films: Physicochemical Characterisation and Potential Use as Edible Pouches with Enhanced Light Barrier, Mechanical and Antioxidant Properties
by Anna Łyczak, Isra Kirmani and Sabina Galus
Appl. Sci. 2025, 15(21), 11643; https://doi.org/10.3390/app152111643 - 31 Oct 2025
Viewed by 120
Abstract
This study presents the valorisation of cocoa waste (CW) by transforming it into edible packaging films using apple pectin (AP) as a gelling agent. Several properties, including microstructure, optical characteristics, sorption, wetting, barrier functionality, mechanical strength, structure, and antioxidant activity, were investigated. The [...] Read more.
This study presents the valorisation of cocoa waste (CW) by transforming it into edible packaging films using apple pectin (AP) as a gelling agent. Several properties, including microstructure, optical characteristics, sorption, wetting, barrier functionality, mechanical strength, structure, and antioxidant activity, were investigated. The analyses concluded that increasing the concentration of CW from 0 to 50% in pectin films enhanced UV light protection and caused a reorganisation in the film’s microstructure, resulting in both higher surface roughness and improved mechanical resistance. Specifically, the tensile strength increased from 7.28 to 19.14 MPa. The addition of CW reduced the lightness (parameter L*) from 82.58 to 28.58, making the films darker. Measurements of the water contact angle, which was in the range of 38.25 to 73.23; gas permeability, in the range from 5.53 to 19.52 × 10−16 g/m·Pa·s for oxygen and from 9.62 to 40.82 × 10−16 g/m·Pa·s for carbon dioxide; and adsorption indicated a reduction in water vapour sorption rates, suggesting that the films have average barrier properties against moisture. Fourier-transform infrared spectroscopy analysis confirmed no interactions between CW and the polymer matrix, showing the typical functional groups of pectin, such as carbonyl (C=O) and hydroxyl (-OH) groups. The incorporation of CW significantly increased the antioxidant properties of the developed films, attributed to the bioactive compounds present in CW. These films have potential for use as active food packaging thanks to the CW addition. They could be particularly beneficial for extending the shelf life of products sensitive to oxidation, such as oily products. Excellent sealability indicated suitability for use as pouches for fried products, such as instant coffee or powders. This study underscores the possibility of using apple pectin films with cocoa waste as sustainable components in eco-friendly packaging materials. This idea aligns with circular economic and waste reduction principles. This approach contributes to the development of innovative solutions for sustainable food packaging. Full article
Show Figures

Figure 1

20 pages, 9389 KB  
Article
Let Us Change the Aerodynamic Roughness Length as a Function of Snow Depth
by Jessica E. Sanow and Steven R. Fassnacht
Climate 2025, 13(11), 226; https://doi.org/10.3390/cli13110226 - 31 Oct 2025
Viewed by 76
Abstract
A shallow, seasonal snowpack is rarely homogeneous in depth, layer characteristics, or surface structure throughout an entire winter. Aerodynamic roughness length (z0) is typically considered a static parameter within hydrologic and atmospheric models. Here, we present observations showing z0 [...] Read more.
A shallow, seasonal snowpack is rarely homogeneous in depth, layer characteristics, or surface structure throughout an entire winter. Aerodynamic roughness length (z0) is typically considered a static parameter within hydrologic and atmospheric models. Here, we present observations showing z0 as a dynamic variable that is a function of snow depth (ds). This has a significant impact on sublimation modeling, especially for shallow snowpacks. Terrestrial LiDAR data were collected at nine different study sites in northwest Colorado from the 2019 to 2020 winter season to measure the spatial and temporal variability of the snowpack surface. These data were used to estimate the geometric z0 from 91 site visits. Values of z0 decrease during initial snow accumulation, as the snow conforms to the underlying terrain. Once the snowpack is sufficiently deep, which depends on the height of the ground surface roughness features, the surface becomes more uniform. As melt begins, z0 increases, when the snow surface becomes more irregular. The correlation value of z0 was altered by human disturbance at several of the sites. The z0 versus ds correlation was almost constant, regardless of the initial roughness conditions that only affected the initial z0. Full article
(This article belongs to the Special Issue Meteorological Forecasting and Modeling in Climatology)
Show Figures

Figure 1

21 pages, 8339 KB  
Article
Effects and Mechanisms of Attapulgite Clay-g-(AA-co-AAm) Hydrogel (ACH) in Alleviating Saline Stress in Spinach
by Yinhua Wang, Bingqin Teng, Haodong Zhang, Zhengqian Zhou, Yangbin Xin, Liqun Cai and Jun Wu
Plants 2025, 14(21), 3330; https://doi.org/10.3390/plants14213330 - 31 Oct 2025
Viewed by 131
Abstract
Soil salinization restricts the sustainable development of global agriculture, expanding at an annual rate of approximately 1 million hectares. In China, the total area of saline–alkali land reaches 170 million hectares, of which the arable land area exceeds 50 million hectares. The arid [...] Read more.
Soil salinization restricts the sustainable development of global agriculture, expanding at an annual rate of approximately 1 million hectares. In China, the total area of saline–alkali land reaches 170 million hectares, of which the arable land area exceeds 50 million hectares. The arid northwest region witnesses worsening soil salinization due to arid climate and improper irrigation practices, which seriously affects the yield of crops such as spinach (Spinacia oleracea L.). As a leafy vegetable with high nutritional value and economic significance, spinach exhibits growth inhibition, leaf yellowing, and disrupted physiological metabolism under saline–alkali stress. Therefore, this study investigates the alleviating effects and mechanisms of Attapulgite Clay-g-(AA-co-AAm) Hydrogel (ACH) on spinach under salt stress (NaCl) and alkaline stress (NaHCO3). The results show that ACH has a loose, porous structure. As the addition of Attapulgite Clay increases, the surface roughness and porosity improve while retaining organic functional groups (amide groups, carboxyl groups) and inorganic Si-O bonds, providing a structural foundation for stress mitigation. In terms of yield enhancement, ACH effectively alleviates salt–alkali stress: under severe salt stress (SS2), 0.2% ACH increased leaf area by 91% and leaf weight by 95.69%; under mild alkaline stress (AS1), 0.2% ACH increased leaf area by 46.3% and leaf weight by 46.21%; and under severe mixed salt–alkali stress (MS2), 0.4% ACH increased root weight by 49.83%. Physiologically, ACH reduced proline content (51.25% reduction under severe mixed stress) and malondialdehyde (MDA) content (68.98% reduction under severe alkaline stress) while increasing soluble sugar content (63.54% increase under mixed stress) and antioxidant enzyme activity (SOD, POD, CAT). In terms of ion regulation, ACH reduced Na+ accumulation in roots and leaves (61.12% reduction in roots and 36.4% reduction in leaves under severe salt stress) and maintained potassium–sodium balance. To conclude, ACH mitigates the adverse effects of salt–alkali stress by coordinately modulating spinach’s growth, physiological metabolic processes, and ion balance. This synergistic regulatory effect ultimately contributes to sustaining high yields of spinach. Full article
(This article belongs to the Section Plant Response to Abiotic Stress and Climate Change)
Show Figures

Figure 1

Back to TopTop