Sign in to use this feature.

Years

Between: -

Subjects

remove_circle_outline
remove_circle_outline
remove_circle_outline
remove_circle_outline
remove_circle_outline
remove_circle_outline
remove_circle_outline
remove_circle_outline
remove_circle_outline

Journals

Article Types

Countries / Regions

remove_circle_outline
remove_circle_outline
remove_circle_outline

Search Results (399)

Search Parameters:
Keywords = robot tactile

Order results
Result details
Results per page
Select all
Export citation of selected articles as:
11 pages, 881 KB  
Article
Recurrence Patterns After Complete Cytoreduction for Advanced Ovarian Cancer: Robotic Versus Open Surgery
by Yossi Tzur, Yoav Brezinov, Tomer Bar-Noy, Amber Yasmeen, Melica Nourmoussavi Brodeur, Shannon Salvador, Walter H. Gotlieb and Susie Lau
Curr. Oncol. 2026, 33(2), 71; https://doi.org/10.3390/curroncol33020071 - 26 Jan 2026
Viewed by 114
Abstract
Background: Complete cytoreduction remains the primary surgical objective in advanced ovarian cancer and concerns persist that robotic surgery may result in distinct recurrence patterns and worse oncologic outcomes due to technical limitations, such as the use of pneumoperitoneum, the restricted visualization, and the [...] Read more.
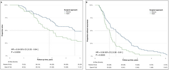
Background: Complete cytoreduction remains the primary surgical objective in advanced ovarian cancer and concerns persist that robotic surgery may result in distinct recurrence patterns and worse oncologic outcomes due to technical limitations, such as the use of pneumoperitoneum, the restricted visualization, and the lack of tactile evaluation. Methods: We retrospectively identified 125 consecutive patients with advanced epithelial ovarian cancer who attained the best outcome surgery can achieve, and compared the outcome of these patients based on whether complete cytoreduction was achieved by laparotomy or robotic surgery. The primary objective was to compare recurrence patterns and secondary analyses assessed perioperative, postoperative, and survival outcomes. Results: Among 125 patients who had complete cytoreduction (78 robotic; 47 open), baseline characteristics were largely comparable, except for higher rates of interval cytoreduction (84.6% vs. 61.7%, p < 0.01) and more PARP inhibitor use (19.2% vs. 6.4%, p = 0.048) in the robotic group. Recurrence patterns did not differ. Operative and postoperative outcomes were likewise comparable. Median disease-free and overall survival were longer in the robotic group. Conclusions: Among patients achieving complete cytoreduction, recurrence patterns and oncologic outcomes were comparable between robotic and open surgery, suggesting that the route of attaining complete cytoreduction did not influence the outcome. Full article
(This article belongs to the Special Issue Innovation in Gynecologic Cancer Surgery)
Show Figures

Graphical abstract

16 pages, 12168 KB  
Article
Real-Time Segmentation of Tactile Paving and Zebra Crossings for Visually Impaired Assistance Using Embedded Visual Sensors
by Yiqiang Jiang, Shicheng Yan and Jianyang Liu
Sensors 2026, 26(3), 770; https://doi.org/10.3390/s26030770 - 23 Jan 2026
Viewed by 152
Abstract
This study aims to address the safety and mobility challenges faced by visually impaired individuals. To this end, a lightweight, high-precision semantic segmentation network is proposed for scenes containing tactile paving and zebra crossings. The network is successfully deployed on an intelligent guide [...] Read more.
This study aims to address the safety and mobility challenges faced by visually impaired individuals. To this end, a lightweight, high-precision semantic segmentation network is proposed for scenes containing tactile paving and zebra crossings. The network is successfully deployed on an intelligent guide robot equipped with a high-definition camera and a Huawei Atlas 310 embedded computing platform. To enhance both real-time performance and segmentation accuracy on resource-constrained devices, an improved G-GhostNet backbone is designed for feature extraction. Specifically, it is combined with a depthwise separable convolution-based Coordinate Attention module and a redesigned Atrous Spatial Pyramid Pooling (ASPP) module to capture multi-scale contextual features. A dedicated decoder efficiently fuses multi-level features to refine segmentation of tactile paving and zebra crossings. Experimental results demonstrate that the proposed model achieves mPA of 97% and 93%, mIoU of 94% and 86% for tactile paving and zebra crossing segmentation, respectively, with an inference speed of 59.2 fps. These results significantly outperform several mainstream semantic segmentation networks, validating the effectiveness and practical value of the proposed method in embedded systems for visually impaired travel assistance. Full article
(This article belongs to the Section Sensing and Imaging)
Show Figures

Figure 1

14 pages, 8570 KB  
Article
Enhancing Robotic Grasping Detection Using Visual–Tactile Fusion Perception
by Dongyuan Zheng and Yahong Chen
Sensors 2026, 26(2), 724; https://doi.org/10.3390/s26020724 - 21 Jan 2026
Viewed by 211
Abstract
With the advancement of tactile sensors, researchers increasingly integrate tactile perception into robotics, but only for tasks such as object reconstruction, classification, recognition, and grasp state assessment. In this paper, we rethink the relationship between visual and tactile perception and propose a novel [...] Read more.
With the advancement of tactile sensors, researchers increasingly integrate tactile perception into robotics, but only for tasks such as object reconstruction, classification, recognition, and grasp state assessment. In this paper, we rethink the relationship between visual and tactile perception and propose a novel robotic grasping detection method based on visual–tactile perception. Initially, we construct a visual–tactile dataset containing the grasp stability for each potential grasping position. Next, we introduce a novel Grasp Stability Prediction Module (GSPM) to generate a grasp stability probability map, providing prior knowledge regarding grasp stability to the grasp detection network for each possible grasp position. Finally, the map is multiplied element-wise with the corresponding colored image and inputted into the grasp detection network. Experimental results demonstrate that our novel visual–tactile fusion method significantly enhances robotic grasping detection accuracy. Full article
(This article belongs to the Section Sensors and Robotics)
Show Figures

Figure 1

11 pages, 4063 KB  
Article
Dry-Transferred MoS2 Films on PET with Plasma Patterning for Full-Bridge Strain-Gauge Sensors
by Jinkyeong Kim, Minjae Lee, Wooseung Lee, Minseok Lee, Chang-Mo Kang, Daewoong Jung, Hyunwoo Son, Eunyoung Kim, Sangwoo Chae and Joonhyub Kim
Sensors 2026, 26(2), 585; https://doi.org/10.3390/s26020585 - 15 Jan 2026
Viewed by 201
Abstract
In this study, a high-performance MoS2-based strain-gauge pressure was sensor fabricated entirely below 80 °C, enabling direct integration onto flexible polyethylene terephthalate (PET) substrates. The sensor comprised a three-layer MoS2 channel (~2 nm) patterned via dry transfer and O2 [...] Read more.
In this study, a high-performance MoS2-based strain-gauge pressure was sensor fabricated entirely below 80 °C, enabling direct integration onto flexible polyethylene terephthalate (PET) substrates. The sensor comprised a three-layer MoS2 channel (~2 nm) patterned via dry transfer and O2/Ar plasma etching, interfaced with Cr/Au electrodes. This wafer-scale and cost-effective fabrication route preserves the crystallinity of the film and prevents substrate degradation. The sensor achieved a gauge factor of ~104 under compression, representing a fifty-fold improvement over conventional metal foil gauges (~2), with a linear response across both compressive and tensile regimes. Mechanical robustness was confirmed through repeated bending and tape adhesion tests, with no degradation in electrical performance. When configured as a Wheatstone bridge, this device exhibits normalized sensitivity suitable for real-time monitoring, with response and recovery times below 200 ms. These results establish O2/Ar-plasma-patterned MoS2 architectures as a scalable, cost-effective platform for next-generation flexible sensors, outperforming metal-foil technology in applications including seat-occupancy detection, wearable physiological monitoring, and tactile interfaces for soft robotics. Full article
Show Figures

Graphical abstract

13 pages, 7015 KB  
Article
Preload-Free Conformal Integration of Tactile Sensors on the Fingertip’s Curved Surface
by Lei Liu, Peng Ran, Yongyao Li, Tian Tang, Yun Hu, Jian Xiao, Daijian Luo, Lu Dai, Yufei Liu, Jiahu Yuan and Dapeng Wei
Biomimetics 2026, 11(1), 64; https://doi.org/10.3390/biomimetics11010064 - 12 Jan 2026
Viewed by 292
Abstract
Humans could sensitively perceive and identify objects through dense mechanoreceptors distributed on the skin of curved fingertips. Inspired by this biological structure, this study presents a general conformal integration method for flexible tactile sensors on curved fingertip surfaces. By adopting a spherical partition [...] Read more.
Humans could sensitively perceive and identify objects through dense mechanoreceptors distributed on the skin of curved fingertips. Inspired by this biological structure, this study presents a general conformal integration method for flexible tactile sensors on curved fingertip surfaces. By adopting a spherical partition design and an inverse mode auxiliary layering process, it ensures the uniform distribution of stress at different curvatures. The sensor adopts a 3 × 3 tactile array configuration, replicating the 3D curved surface distribution of human mechanoreceptors. By analyzing multi-point outputs, the sensor reconstructs contact pressure gradients and infers the softness or stiffness of touched objects, thereby realizing both structural and functional bionics. These sensors exhibit excellent linearity within 0–100 kPa (sensitivity ≈ 36.86 kPa−1), fast response (2 ms), and outstanding durability (signal decay of only 1.94% after 30,000 cycles). It is worth noting that this conformal tactile fingertip integration method not only exhibits uniform responses at each unit, but also has the preload-free advantage, and then performs well in pulse detection and hardness discrimination. This work provides a novel bioinspired pathway for conformal integration of tactile sensors, enabling artificial skins and robotic fingertips with human-like tactile perception. Full article
(This article belongs to the Special Issue Bionic Engineering Materials and Structural Design)
Show Figures

Graphical abstract

19 pages, 2708 KB  
Article
A TPU-Based 3D Printed Robotic Hand: Design and Its Impact on Human–Robot Interaction
by Younglim Choi, Minho Lee, Seongmin Yea, Seunghwan Kim and Hyunseok Kim
Electronics 2026, 15(2), 262; https://doi.org/10.3390/electronics15020262 - 7 Jan 2026
Viewed by 320
Abstract
This study outlines the design and evaluation of a biomimetic robotic hand tailored for Human–Robot Interaction (HRI), focusing on improvements in tactile fidelity driven by material choice. Thermoplastic polyurethane (TPU) was selected over polylactic acid (PLA) based on its reported elastomeric characteristics and [...] Read more.
This study outlines the design and evaluation of a biomimetic robotic hand tailored for Human–Robot Interaction (HRI), focusing on improvements in tactile fidelity driven by material choice. Thermoplastic polyurethane (TPU) was selected over polylactic acid (PLA) based on its reported elastomeric characteristics and mechanical compliance described in prior literature. Rather than directly matching human skin properties, TPU was perceived as providing a softer and more comfortable tactile interaction compared to rigid PLA. The robotic hand was anatomically reconstructed from an open-source model and integrated with AX-12A and MG90S actuators to simplify wiring and enhance motion precision. A custom PCB, built around an ATmega2560 microcontroller, enables real-time communication with ROS-based upper-level control systems. Angular displacement analysis of repeated gesture motions confirmed the high repeatability and consistency of the system. A repeated-measures user study involving 47 participants was conducted to compare the PLA- and TPU-based prototypes during interactive tasks such as handshakes and gesture commands. The TPU hand received significantly higher ratings in tactile realism, grip satisfaction, and perceived responsiveness (p < 0.05). Qualitative feedback further supported its superior emotional acceptance and comfort. These findings indicate that incorporating TPU in robotic hand design not only enhances mechanical performance but also plays a vital role in promoting emotionally engaging and natural human–robot interactions, making it a promising approach for affective HRI applications. Full article
Show Figures

Figure 1

22 pages, 4158 KB  
Article
A Soft-Pneumatic Actuator Array for Tactile Stimulation in Preterm Infants
by Franco Daiji Huemura Okumura, Sebastian Tuesta Pereda, Mahdi Tavakoli and Emir A. Vela
Actuators 2026, 15(1), 31; https://doi.org/10.3390/act15010031 - 5 Jan 2026
Viewed by 338
Abstract
Preterm infants in neonatal intensive care units (NICUs) experience impaired neurodevelopment and dysregulated stress responses, partly due to a lack of tactile stimulation. Although massage therapy offers proven therapeutic benefits by stimulating C-tactile afferents through (gentle) dynamic touch, existing methods are limited by [...] Read more.
Preterm infants in neonatal intensive care units (NICUs) experience impaired neurodevelopment and dysregulated stress responses, partly due to a lack of tactile stimulation. Although massage therapy offers proven therapeutic benefits by stimulating C-tactile afferents through (gentle) dynamic touch, existing methods are limited by clinical staff variability and resource constraints. This work presents a compact soft-pneumatic actuator array (SPAA) utilizing four nylon–TPU actuators (modules) connected in series or in parallel to perform a sequential actuation; this array is designed to deliver safe, shear-free, and massage-like normal compression tailored for preterm infants. Actuator performance was characterized using a load-cell and a pressure sensor under different preloads (10–30 g), establishing operating internal pressures of 20–50 kPa, which produced target force ranges between 0.1 and 0.3 N. Two SPAA architectures were evaluated: (i) parallel manifold with branch resistances and (ii) series chain with graded outlet resistances, using passive fluidic sequencing for controlled activation. The series configuration achieved repeatable sequential actuation with programmable delays, essential for mimicking therapeutic massage patterns. These results demonstrate that passive soft-pneumatic sequencing can reliably deliver dynamic tactile stimuli within neurophysiological and safety constraints, laying the groundwork for standardized, automated neonatal massage therapy in NICUs. Full article
Show Figures

Graphical abstract

15 pages, 2369 KB  
Article
The Effect of Tactile Feedback on the Manipulation of a Remote Robotic Arm via a Haptic Glove
by Christos Papakonstantinou, Konstantinos Giannakos, George Kokkonis and Maria S. Papadopoulou
Electronics 2025, 14(24), 4964; https://doi.org/10.3390/electronics14244964 - 18 Dec 2025
Viewed by 729
Abstract
This paper investigates the effect of tactile feedback on the power efficiency and timing of controlling a remote robotic arm using a custom-built haptic glove. The glove integrates flex sensors to monitor finger movements and vibration motors to provide tactile feedback to the [...] Read more.
This paper investigates the effect of tactile feedback on the power efficiency and timing of controlling a remote robotic arm using a custom-built haptic glove. The glove integrates flex sensors to monitor finger movements and vibration motors to provide tactile feedback to the user. Communication with the robotic arm is established via the ESP-NOW protocol using an Arduino Nano ESP32 microcontroller (Arduino, Turin, Italy). This study examines the impact of tactile feedback on task performance by comparing precision, completion time, and power efficiency in object manipulation tasks with and without feedback. Experimental results demonstrate that tactile feedback significantly enhances the user’s control accuracy, reduces task execution time, and enables the user to control hand movement during object grasping scenarios precisely. It also highlights its importance in teleoperation systems. These findings have implications for improving human–robot interaction in remote manipulation scenarios, such as assistive robotics, remote surgery, and hazardous environment operations. Full article
(This article belongs to the Special Issue Advanced Research in Technology and Information Systems, 2nd Edition)
Show Figures

Figure 1

28 pages, 8954 KB  
Article
Biomimetic Roll-Type Meissner Corpuscle Sensor for Gustatory and Tongue-Like Multifunctional Performance
by Kunio Shimada
Appl. Sci. 2025, 15(24), 12932; https://doi.org/10.3390/app152412932 - 8 Dec 2025
Viewed by 390
Abstract
The development of human-robot interfaces that support daily social interaction requires biomimetic innovation inspired by the sensory receptors of the five human senses (tactile, olfactory, gustatory, auditory, and visual) and employing soft materials to enable natural multimodal sensing. The receptors have a structure [...] Read more.
The development of human-robot interfaces that support daily social interaction requires biomimetic innovation inspired by the sensory receptors of the five human senses (tactile, olfactory, gustatory, auditory, and visual) and employing soft materials to enable natural multimodal sensing. The receptors have a structure formulated by variegated shapes; therefore, the morphological mimicry of the structure is critical. We proposed a spring-like structure which morphologically mimics the roll-type structure of the Meissner corpuscle, whose haptic performance in various dynamic motions has been demonstrated in another study. This study demonstrated the gustatory performance by using the roll-type Meissner corpuscle. The gustatory iontronic mechanism was analyzed using electrochemical impedance spectroscopy with an inductance-capacitance-resistance meter to determine the equivalent electric circuit and current-voltage characteristics with a potentiostat, in relation to the hydrogen concentration (pH) and the oxidation-reduction potential. In addition, thermo-sensitivity and tactile responses to shearing and contact were evaluated, since gustation on the tongue operates under thermal and concave-convex body conditions. Based on the established properties, the roll-type Meissner corpuscle sensor enables the iontronic behavior to provide versatile multimodal sensitivity among the five senses. The different condition of the application of the electric field in the production of two-types of A and B Meissner corpuscle sensors induces distinctive features, which include tactility for the dynamic motions (for type A) or gustation (for type B). Full article
Show Figures

Figure 1

24 pages, 17472 KB  
Article
A Biomimetic Roll-Type Tactile Sensor Inspired by the Meissner Corpuscle for Enhanced Dynamic Performance
by Kunio Shimada
Biomimetics 2025, 10(12), 817; https://doi.org/10.3390/biomimetics10120817 - 5 Dec 2025
Cited by 1 | Viewed by 523
Abstract
Highly sensitive bioinspired cutaneous receptors are essential for realistic human-robot interaction. This study presents a biomimetic tactile sensor morphologically modeled after the Meissner corpuscle, designed for high dynamic sensitivity achieved using a coiled configuration. Our proposed electrolytic polymerization technique with magnet-responsive hybrid fluid [...] Read more.
Highly sensitive bioinspired cutaneous receptors are essential for realistic human-robot interaction. This study presents a biomimetic tactile sensor morphologically modeled after the Meissner corpuscle, designed for high dynamic sensitivity achieved using a coiled configuration. Our proposed electrolytic polymerization technique with magnet-responsive hybrid fluid (HF) was employed to fabricate soft, elastic rubber sensors with embedded coiled electrodes. The coiled configuration, optimized by electrolytic polymerization, exhibited high responsiveness to dynamic motions including pressing, pinching, twisting, bending, and shearing. The mechanism of the haptic property was analyzed by electrochemical impedance spectroscopy (EIS), revealing that reactance variations define an equivalent electric circuit (EEC) whose resistance (Rp), capacitance (Cp), and inductance (Lp) change with applied force; these changes correspond to mechanical deformation and the resulting variation in the sensor’s built-in voltage. The roll-type Meissner-inspired sensor demonstrated fast-adapting behavior and broadband vibratory sensitivity, indicating its potential for high-performance tactile and auditory sensing. These findings confirm the feasibility of electrolytically polymerized hybrid fluid rubber as a platform for next-generation bioinspired haptic interfaces. Full article
(This article belongs to the Special Issue Smart Artificial Muscles and Sensors for Bio-Inspired Robotics)
Show Figures

Figure 1

13 pages, 22217 KB  
Article
Crosstalk Effects in a Dual ToF-Based Tactile–Proximity Sensing Platform Integrated in a Flat PMMA Light Guide
by Andrejs Ogurcovs, Ilze Aulika, Sergio Cartiel, Jorge Garcia-Pueyo and Adolfo Muñoz
Sensors 2025, 25(23), 7319; https://doi.org/10.3390/s25237319 - 2 Dec 2025
Viewed by 491
Abstract
We investigate crosstalk effects in a dual-modality tactile–proximity sensing system based on Time-of-Flight (ToF) technology integrated within a flat poly(methyl methacrylate) (PMMA) light guide. Building on the OptoSkin framework, we employ two commercially available TMF8828 multi-zone ToF sensors, one configured for tactile detection [...] Read more.
We investigate crosstalk effects in a dual-modality tactile–proximity sensing system based on Time-of-Flight (ToF) technology integrated within a flat poly(methyl methacrylate) (PMMA) light guide. Building on the OptoSkin framework, we employ two commercially available TMF8828 multi-zone ToF sensors, one configured for tactile detection via frustrated total internal reflection (FTIR) and the other for external proximity measurements through the same transparent substrate. Controlled experiments were conducted using a 2 cm2 silicone pad for tactile interaction and an A4-sized diffuse white target for proximity detection. Additional measurements with a movable PMMA sheet were performed to quantify signal attenuation, peak broadening, and confidence degradation under transparent-substrate conditions. The results demonstrate that the TMF8828 can simultaneously resolve both contact-induced scattering and distant reflections, but that localized interference zones occur when sensor fields of view overlap within the substrate. Histogram analysis reveals the underlying multi-path contributions, providing diagnostic insight not available from black-box ToF devices. These findings highlight both the opportunities and limitations of integrating multiple ToF sensors into transparent waveguides and inform design strategies for scalable robotic skins, wearable interfaces, and multi-modal human–machine interaction systems. Full article
(This article belongs to the Section Optical Sensors)
Show Figures

Figure 1

16 pages, 2961 KB  
Article
Numerical Investigation of Halbach-Array-Based Flexible Magnetic Sensors for Wide-Range Deformation Detection
by Yina Han, Shuaiqi Zhang, Chenglin Wen, Jie Han, Wenbin Kang and Zhiqiang Zheng
Sensors 2025, 25(23), 7240; https://doi.org/10.3390/s25237240 - 27 Nov 2025
Viewed by 677
Abstract
Flexible magnetic tactile sensors hold great promise for wearable electronics and intelligent robotics but often suffer from limited strain range and complex magnetic field variations due to rigid-soft coupling between the Hall sensor and magnetic layer. In this study, we propose a Halbach-array-based [...] Read more.
Flexible magnetic tactile sensors hold great promise for wearable electronics and intelligent robotics but often suffer from limited strain range and complex magnetic field variations due to rigid-soft coupling between the Hall sensor and magnetic layer. In this study, we propose a Halbach-array-based magnetic tactile sensor that structurally decouples the soft magnetic deformation layer from the rigid Hall sensing unit. The sensor embeds k = 2 Halbach-configured magnetic cubes within a PDMS matrix, while the Hall element is fixed at a remote, rigid location. Numerical analysis using COMSOL Multiphysics demonstrates that the Halbach configuration enhances magnetic field strength and uniformity, achieving mT-level detection even at a distance of 15 mm. Moreover, the Halbach array effectively reduces the field distribution from three-dimensional to one-dimensional, enabling stronger directionality, simplified data processing, and higher sensing frequency. This work establishes a theoretical framework for wide-range, high-precision magnetic tactile sensing through magnetic field tailoring, providing valuable guidance for the design of next-generation flexible sensors for wearable, robotic, and embodied intelligence applications. Full article
(This article belongs to the Special Issue Soft Sensors and Sensing Techniques (2nd Edition))
Show Figures

Figure 1

16 pages, 4407 KB  
Article
Impedance Control Method for Tea-Picking Robotic Dexterous Hand Based on WOA-KAN
by Xin Wang, Shaowen Li and Junjie Ou
Sensors 2025, 25(23), 7219; https://doi.org/10.3390/s25237219 - 26 Nov 2025
Viewed by 568
Abstract
Focusing on the mechanical characteristics of robotic dexterous hand tea-picking, this paper takes the harvesting of the premium tea Huangshan Maofeng as an example and proposes an adaptive impedance control method for tea-picking dexterous hands based on the Whale Optimization Algorithm (WOA) and [...] Read more.
Focusing on the mechanical characteristics of robotic dexterous hand tea-picking, this paper takes the harvesting of the premium tea Huangshan Maofeng as an example and proposes an adaptive impedance control method for tea-picking dexterous hands based on the Whale Optimization Algorithm (WOA) and Kolmogorov–Arnold Network (KAN). Firstly, within the impedance control framework, a KAN neural network with cubic B-spline functions as activation functions is introduced. Subsequently, the WOA is applied to optimize the B-splines, enhancing the network´s nonlinear fitting and global optimization capabilities, thereby achieving dynamic mapping and real-time adjustment of impedance parameters to improve the accuracy of tea bud contact force-tracking. Finally, simulation results show that under working conditions such as stiffness mutation and dynamic changes in desired force, the proposed method reduces the overshoot by 14.2% compared to traditional fixed-parameter impedance control, while the steady-state error is reduced by 99.89%. Experiments on tea-picking using a dexterous hand equipped with tactile sensors show that at a 50Hz control frequency, the maximum overshoot is about 6%, further verifying the effectiveness of the proposed control algorithm. Full article
(This article belongs to the Special Issue Recent Advances in Sensor Technology and Robotics Integration)
Show Figures

Figure 1

33 pages, 2771 KB  
Review
A Review of Integrated Approaches in Robotic Raspberry Harvesting
by Albert Suchopár, Jiří Kuře, Barbora Kuřetová and Monika Hromasová
Agronomy 2025, 15(12), 2677; https://doi.org/10.3390/agronomy15122677 - 21 Nov 2025
Viewed by 621
Abstract
Raspberry cultivation represents a high-value global industry; however, concerns regarding its sustainability have been raised due to the high costs and labour shortages associated with manual harvesting. These challenges represent significant motivators for the development of robotic systems. This review article analyses contemporary [...] Read more.
Raspberry cultivation represents a high-value global industry; however, concerns regarding its sustainability have been raised due to the high costs and labour shortages associated with manual harvesting. These challenges represent significant motivators for the development of robotic systems. This review article analyses contemporary robotic harvesting technologies, with a particular focus on integrated systems, machine vision and end-effectors. A review of the relevant literature was conducted in order to identify and compare the main development trends represented by academic and commercial prototypes. The analysis demonstrates that deep learning methodologies, most notably YOLO architectures, predominate within the domain of machine vision, thereby ensuring the effective identification and assessment of fruit ripeness. In order to ensure that the handling of the subject is done in a gentle manner, it is recommended that soft robotic end-effectors which are equipped with sensors and which minimise mechanical damage be used. In view of the fact that the number of studies focusing directly on raspberries is limited, the present study also analyses transferable technologies from other types of soft fruit. Consequently, future research should concentrate on integrating machine vision models that have been trained using raspberries and developing advanced soft end-effectors with integrated tactile sensors. Full article
(This article belongs to the Section Precision and Digital Agriculture)
Show Figures

Figure 1

16 pages, 3862 KB  
Article
Flexible Sensor Foil Based on Polymer Optical Waveguide for Haptic Assessment
by Zhenyu Zhang, Abu Bakar Dawood, Georgios Violakis, Ahmad Abdalwareth, Günter Flachenecker, Panagiotis Polygerinos, Kaspar Althoefer, Martin Angelmahr and Wolfgang Schade
Sensors 2025, 25(22), 6915; https://doi.org/10.3390/s25226915 - 12 Nov 2025
Viewed by 856
Abstract
Minimally Invasive Surgery is often limited by the lack of tactile feedback. Indeed, surgeons have traditionally relied heavily on tactile feedback to estimate tissue stiffness - a critical factor in both diagnostics and treatment. With this in mind we present in this paper [...] Read more.
Minimally Invasive Surgery is often limited by the lack of tactile feedback. Indeed, surgeons have traditionally relied heavily on tactile feedback to estimate tissue stiffness - a critical factor in both diagnostics and treatment. With this in mind we present in this paper a flexible sensor foil, based on polymer optical waveguide. This sensor has been applied for real-time contact force measurement, material stiffness differentiation and surface texture reconstruction. Interrogated by a commercially available optoelectronic device, the sensor foil offers precise and reproducible feedback of contact forces up to 5 N, with a minimal detectable limit of 0.1 N. It also demonstrates distinct optical attenuation responses when indenting silicone samples of varying stiffnesses under controlled displacement. When integrated onto a 3D-printed module resembling an endoscopic camera and manipulated by a robotic arm, the sensor successfully generated spatial stiffness mapsof a phantom. Moreover, by sliding over structures with varying surface textures, the sensor foil was able to reconstruct surface profiles based on the light attenuation responses. The results demonstrate that the presented sensor foil possesses great potential for surgical applications by providing additional haptic information to surgeons. Full article
(This article belongs to the Special Issue Waveguide-Based Sensors and Applications)
Show Figures

Figure 1

Back to TopTop