Sign in to use this feature.

Years

Between: -

Subjects

remove_circle_outline
remove_circle_outline
remove_circle_outline
remove_circle_outline
remove_circle_outline
remove_circle_outline
remove_circle_outline
remove_circle_outline
remove_circle_outline

Journals

remove_circle_outline
remove_circle_outline
remove_circle_outline
remove_circle_outline
remove_circle_outline
remove_circle_outline
remove_circle_outline
remove_circle_outline
remove_circle_outline
remove_circle_outline
remove_circle_outline
remove_circle_outline
remove_circle_outline
remove_circle_outline

Article Types

Countries / Regions

remove_circle_outline
remove_circle_outline
remove_circle_outline
remove_circle_outline
remove_circle_outline
remove_circle_outline
remove_circle_outline

Search Results (814)

Search Parameters:
Keywords = risk of multiple hazards

Order results
Result details
Results per page
Select all
Export citation of selected articles as:
21 pages, 16405 KB  
Article
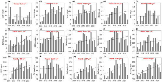
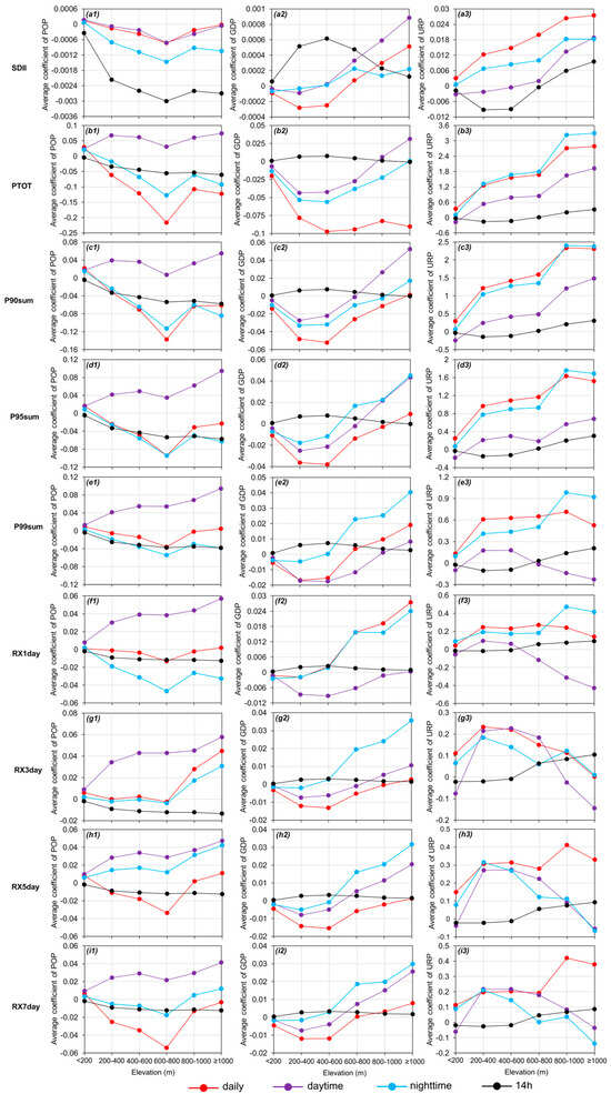
Spatially Explicit Relationships Between Urbanization and Extreme Precipitation Across Distinct Topographic Gradients in Liuzhou, China
by Chaogui Lei, Yaqin Li, Chaoyu Pan, Jiannan Zhang, Siwei Yin, Yuefeng Wang, Kebing Chen, Qin Yang and Longfei Han
Water 2026, 18(1), 47; https://doi.org/10.3390/w18010047 - 23 Dec 2025
Abstract
Understanding extreme precipitation (EP) evolution is crucial for global climate adaptation and hazardous disasters prevention. However, spatial non-stationarity of urbanization relationships with EP variations has been rarely discussed in a complex topographic context. Taking the city Liuzhou in China as the example, this [...] Read more.
Understanding extreme precipitation (EP) evolution is crucial for global climate adaptation and hazardous disasters prevention. However, spatial non-stationarity of urbanization relationships with EP variations has been rarely discussed in a complex topographic context. Taking the city Liuzhou in China as the example, this study separately quantified the evolution of EP intensity, magnitude, duration, and frequency on different temporal scales with Innovative Trend Analysis (ITA). Based on a finer spatial (5 km grid) scale and multiple temporal (daily, daytime, nighttime, and 14 h) scale analyses, it innovatively identified spatially varying urbanization effects on EP with more details in different elevations. Our results indicate that: (1) from 2009 to 2023, EP events became more intense, persistent, and frequent, particularly for higher-grade EPs and in the steeper north of Liuzhou; (2) despite the globally negative correlations, spatial correlations between comprehensive urbanization (CUB) and each EP index on individual temporal scales were still explicitly categorized into four types using LISA maps—high-high, high-low, low-low, and low-high; (3) Geographically Weighted Regression (GWR) was demonstrated to precisely explain the response of most EP characteristics to multiple manifestation of urbanization with respect to population (POP), economy (GDP), and urban area (URP) expansion (adjusted R2: 0.5–0.8). The predictive accuracy of GWR on urbanization and EPs was spatially non-stationary and variable with temporal scales. The local influential strength and direction varied significantly with elevations. The most significant and positive influences of three urbanization predictors on EPs occurred at different elevation grades, respectively. Compared with POP and GDP, urban area percent (URP) was indicated to positively relate to EP changes in more areas of Liuzhou. The spatial and quantitative relationships between urbanization and EPs can help to guide effective urban planning and location-specific management of flood risks. Full article
(This article belongs to the Special Issue Water, Geohazards, and Artificial Intelligence, 2nd Edition)
Show Figures

Figure 1

19 pages, 1071 KB  
Article
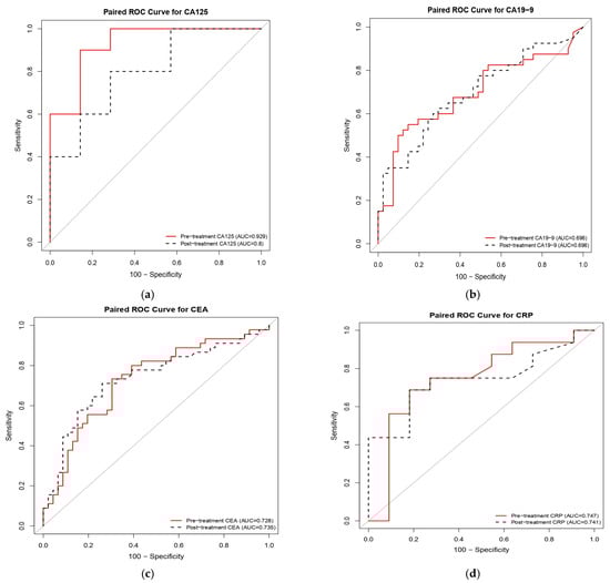
Prognostic Factors and Biomarker Performance in Patients with Colorectal Cancer Receiving Reduced-Dose 5-Fluorouracil Therapy: A Retrospective Cohort Analysis
by Mei-Wen Chen, Jing-Jim Ou and Cheng-Shyong Chang
J. Clin. Med. 2026, 15(1), 71; https://doi.org/10.3390/jcm15010071 (registering DOI) - 22 Dec 2025
Abstract
Background: Patients with colorectal cancer (CRC) have varying responses to 5-fluorouracil (5-FU) treatment, particularly reduced-dose regimens. Inflammatory and tumor-associated serum biomarkers, such as carcinoembryonic antigen (CEA), carbohydrate antigen 19-9 (CA19-9), and cancer antigen 125, may refine prognostic assessment. However, their combined performance in [...] Read more.
Background: Patients with colorectal cancer (CRC) have varying responses to 5-fluorouracil (5-FU) treatment, particularly reduced-dose regimens. Inflammatory and tumor-associated serum biomarkers, such as carcinoembryonic antigen (CEA), carbohydrate antigen 19-9 (CA19-9), and cancer antigen 125, may refine prognostic assessment. However, their combined performance in patients with CRC receiving reduced-dose 5-FU remains understudied. This retrospective study evaluated the prognostic value of multiple biomarkers in these patients, aiming to identify optimal combinations for personalized therapeutic strategies and improved clinical outcomes. Methods: Data (2017–2023) on patients’ clinicopathological characteristics and pretreatment serum biomarker levels were collected from a medical center in central Taiwan. Dose classification followed institutional standards. Reduced-dose chemotherapy was confirmed from patients’ medical records. Intergroup comparisons, receiver operating characteristic curve analysis, logistic regression, Cox proportional hazards modeling, and survival analysis were performed. Furthermore, a multivariate prognostic nomogram was constructed. Results: The study cohort comprised 95 patients receiving reduced-dose 5-FU. Univariate analyses highlighted cigarette smoking, advanced stage, poor tumor differentiation, and elevated pretreatment CEA level as significant predictors of mortality. Multivariate analysis indicated tumor differentiation grade and pretreatment CEA level as significant independent predictors. Cancer antigen 125, CEA, and CA19-9 exhibited robust discriminatory performance. The multivariate nomogram exhibited acceptable discrimination. Conclusions: Tumor differentiation, disease stage, and pretreatment CEA level emerged as independent predictors of overall survival in patients with CRC receiving reduced-dose 5-FU. Serum biomarkers, particularly CEA and CA19-9, may be included in comprehensive prognostic models alongside clinicopathological characteristics. The validated prognostic nomogram may support personalized risk stratification and individualized dose-adjusted chemotherapy. Full article
(This article belongs to the Special Issue Advances and Perspectives in Cancer Diagnostics and Treatment)
Show Figures

Figure 1

18 pages, 3482 KB  
Systematic Review
Efficacy and Safety of Newly Diagnosed Multiple Myeloma Combination Therapies: A Systematic Review Integrating Network Meta-Analysis and Real-World Vigilance Study
by Yanjun Liu, Ying Zhang, Wenhui Yang, Haoyan Du, Shijie Sun, Zuojing Li and Dongsheng Zong
Pharmaceuticals 2026, 19(1), 18; https://doi.org/10.3390/ph19010018 - 21 Dec 2025
Abstract
Background: Although anti-CD38 monoclonal antibody-based regimens are standard care for newly diagnosed multiple myeloma (NDMM), direct comparative efficacy and comprehensive real-world safety data remain scarce. Methods: We conducted a systematic review and Bayesian network meta-analysis (NMA) of randomized controlled trials (RCTs). [...] Read more.
Background: Although anti-CD38 monoclonal antibody-based regimens are standard care for newly diagnosed multiple myeloma (NDMM), direct comparative efficacy and comprehensive real-world safety data remain scarce. Methods: We conducted a systematic review and Bayesian network meta-analysis (NMA) of randomized controlled trials (RCTs). Efficacy was assessed using hazard ratios (HRs) for progression-free survival and odds ratios (ORs) for response rates, with treatment rankings evaluated by Surface Under the Cumulative Ranking (SUCRA) values. Separately, adverse event reports for daratumumab, bortezomib, lenalidomide, and dexamethasone (D_VRd) regimens were extracted from the US FDA Adverse Event Reporting System (FAERS) (Q1 2015–Q2 2025). Statistical analyses were performed using R (4.3.3) and STATA (16.0). Results: The NMA included 33 RCTs. For the primary efficacy endpoints, compared to the standard bortezomib, lenalidomide, and dexamethasone (VRd) regimen, both D_VRd (OR = 3.21, 95% CI: 2.46–4.26; HR = 0.48, 95% CI: 0.38–0.63) and isatuximab plus VRd (Isa_VRd) (OR = 1.71, 95% CI: 1.25–2.32; HR = 0.66, 95% CI: 0.51–0.85) regimens demonstrated superior efficacy. Subsequent pharmacovigilance analysis of D_VRd identified 11,714 FAERS reports, yielding 197 significant adverse drug event signals (64 unlabeled). These signals primarily affected elderly males and showed a bimodal distribution pattern. Conclusions: Combination regimens containing anti-CD38 monoclonal antibodies demonstrate superiority in achieving deep remission and survival benefits, with D_VRd and Isa_VRd regimens showing particularly outstanding performance. However, efficacy and safety profiles vary across different combination regimens. Real-world data analysis further indicates that the D_VRd regimen carries several safety risk signals that remain underappreciated and exhibits a bimodal time distribution pattern. These findings provide new evidence to guide clinical decision-making and risk-stratified monitoring. Full article
(This article belongs to the Section Biopharmaceuticals)
33 pages, 3754 KB  
Article
Analyzing OSHA Construction Accident Reports Using BERTopic Topic Modeling for Thematic Insights
by Yuntao Cao, Ziyi Qu, Shujie Wu, Yuting Chen, Martin Skitmore, Xingguan Ma and Jun Wang
Buildings 2026, 16(1), 10; https://doi.org/10.3390/buildings16010010 - 19 Dec 2025
Viewed by 57
Abstract
Hazards at construction sites can lead to severe accidents, posing significant risks to worker safety, financial stability, and public confidence in industry safety standards. As a result, understanding and preventing these accidents has become increasingly critical. Although previous studies have examined historical accidents [...] Read more.
Hazards at construction sites can lead to severe accidents, posing significant risks to worker safety, financial stability, and public confidence in industry safety standards. As a result, understanding and preventing these accidents has become increasingly critical. Although previous studies have examined historical accidents through detailed reports, few have systematically applied automated natural language processing (NLP) techniques to uncover hidden topics and patterns in large datasets without manual intervention. This study addresses this gap by applying topic modeling to 22,623 accident reports from the Occupational Safety and Health Administration (OSHA) spanning 2004 to 2023. The results demonstrate that BERTopic substantially outperforms the traditional LDA model across multiple accident datasets, achieving higher topic coherence and topic diversity. Leveraging contextual embeddings, BERTopic identifies nuanced risk scenarios, occupation–accident patterns, and temporal trends that earlier text-mining approaches often overlooked. The findings also generate actionable managerial insights, including peak accident periods, vulnerable worker groups, and scenario-specific risk factors. Overall, this study provides a clearer and more data-driven understanding of construction accident mechanisms through advanced topic modeling. Applying BERTopic for topic extraction and content analysis introduces a novel and effective approach to analyzing construction accident reports. The insights derived provide valuable guidance for decision-makers in risk mitigation and accident prevention, while helping to rebuild public confidence in safety standards. Moreover, the approach’s reproducibility and potential for broader safety applications contribute to fostering a safer construction environment. Full article
Show Figures

Figure 1

16 pages, 1376 KB  
Article
Antibiotic Exposure in School Children in Tropical Environments: Impact of Dietary Habits and Potential Health Risks
by Lin Zhao, Xin-Yu Wang, Yang Xiang, Ting-Ting Xu, Shi-Jian Liu, Xiao-Ya Lin and Ying Guo
Toxics 2025, 13(12), 1089; https://doi.org/10.3390/toxics13121089 - 18 Dec 2025
Viewed by 97
Abstract
Due to their wide application, there is a large amount of residual antibiotics in our environment and food, raising concerns about health risks to children. In this study, 302 primary-school students in Hainan Province, China, were recruited to collect urine samples and questionnaires. [...] Read more.
Due to their wide application, there is a large amount of residual antibiotics in our environment and food, raising concerns about health risks to children. In this study, 302 primary-school students in Hainan Province, China, were recruited to collect urine samples and questionnaires. The internal exposure levels of sixteen antibiotics and three metabolites in urine were determined by high-performance liquid chromatography–tandem mass spectrometry (HPLC-MS/MS), and the contents of DNA oxidative damage markers, 8-hydroxy-2′-deoxyguanosine (8-OHdG) and lipid peroxidation marker malondialdehyde (MDA), were also measured. Antibiotics and their metabolites were frequently detected, with a total concentration of < LOD-4.58 × 103 ng/mL. Binary logistic regression analysis revealed that the detection frequency of DFs of antibiotics was associated with animal-derived foods, such as red meat with fluoroquinolones (FQs) (OR = 76.4, 95% CI 1.68–3479), poultry with norfloxacin (NFX) (OR = 6.56, 95% CI 1.08–39.9), and aquatic products with ciprofloxacin (CIP) (OR = 3.96, 95% CI 1.32–11.9). Cumulative risk assessment based on microbial effects showed a hazard index of 3.5 for children, mainly driven by azithromycin (45.6%), oxytetracycline (18.1%), and CIP (33.9%). Multiple linear regression indicated that lipid peroxidation was significantly associated with high quantiles of three antibiotic classes, while DNA oxidation was positively correlated with all antibiotic classes except FQs. These findings indicate that children in Hainan are widely exposed to antibiotics. Although the exposure levels are generally low, chronic low-dose antibiotic exposure may contribute to disease development and oxidative stress damage. Full article
Show Figures

Graphical abstract

32 pages, 7211 KB  
Article
Risk Assessment of Roof Water Inrush in Shallow Buried Thick Coal Seam Using FAHP-CV Comprehensive Weighting Method: A Case Study of Guojiawan Coal Mine
by Chao Liu, Xiaoyan Chen, Zekun Li, Jun Hou, Jinjin Tian and Dongjing Xu
Water 2025, 17(24), 3571; https://doi.org/10.3390/w17243571 - 16 Dec 2025
Viewed by 138
Abstract
Roof water inrush is a major hazard threatening coal mine safety. This paper addresses the risk of roof water inrush during mining in the shallow-buried Jurassic coalfield of Northern Shaanxi, taking the Guojiawan Coal Mine as a case study. A systematic framework of [...] Read more.
Roof water inrush is a major hazard threatening coal mine safety. This paper addresses the risk of roof water inrush during mining in the shallow-buried Jurassic coalfield of Northern Shaanxi, taking the Guojiawan Coal Mine as a case study. A systematic framework of “identification of main controlling factors–coupling of subjective and objective weighting–GIS-based spatial evaluation” is proposed. An integrated weighting system combining the Fuzzy Analytic Hierarchy Process (FAHP) and the Coefficient of Variation (CV) method is innovatively adopted. Four weight optimization models, including Linear Weighted Method, Multiplicative Synthesis Normalization Method, Minimum Information Entropy Method, and Game Theory Method, are introduced to evaluate 10 main controlling factors, including the fault strength index and sand–mud ratio. The results indicate that the GIS-based vulnerability evaluation model using the Multiplicative Synthesis Normalization Method achieves the highest accuracy, with a Spearman correlation coefficient of 0.9961. This model effectively enables five-level risk zoning and accurately identifies high-risk areas. The evaluation system and zoning results developed in this paper can provide a direct scientific basis for the design of water prevention engineering and precise countermeasures in the Guojiawan Coal Mine and other mining areas with similar geological conditions. Full article
Show Figures

Figure 1

24 pages, 4712 KB  
Article
A Century of Data: Machine Learning Approaches to Drought Prediction and Trend Analysis in Arid Regions
by Moncef Bouaziz, Mohamed Amine Abid, Emna Medhioub and André John
Water 2025, 17(24), 3567; https://doi.org/10.3390/w17243567 - 16 Dec 2025
Viewed by 295
Abstract
Droughts are among the most critical natural hazards affecting agricultural productivity, water resources, and food security worldwide, with climate change intensifying their frequency and severity. Accurate monitoring and forecasting of drought events are therefore essential for effective risk management and sustainable resource planning. [...] Read more.
Droughts are among the most critical natural hazards affecting agricultural productivity, water resources, and food security worldwide, with climate change intensifying their frequency and severity. Accurate monitoring and forecasting of drought events are therefore essential for effective risk management and sustainable resource planning. In this study, we systematically evaluated the performance of four machine learning approaches—Support Vector Regression (SVR), Random Forest (RF), K-Nearest Neighbor (kNN), and Linear Regression (LR)—for tracking and predicting the Standardized Precipitation Index (SPI) at multiple temporal scales (1, 3, 6, 9, 12, 18, and 24 months). We utilized a century-long precipitation dataset from a meteorological station in south-eastern Tunisia to compute SPI values and forecast drought occurrences. The Mann–Kendall trend test was applied to assess the presence of significant trends in the monthly SPI series. The results revealed upward trends in SPI 12, SPI 18, and SPI 24, indicating decreasing drought severity over longer time scales, while SPI 1, SPI 3, SPI 6, and SPI 9 did not exhibit statistically significant trends. Model efficacy was assessed using a suite of statistical metrics: mean square error (MSE), root mean square error (RMSE), mean absolute error (MAE), and the correlation coefficient (R). While all models exhibited robust predictive performance, Support Vector Regression (SVR) proved superior, achieving the highest accuracy across both short- and long-term time horizons. These findings highlight the effectiveness of machine learning approaches in drought forecasting and provide critical insights for regional water resource management, agricultural planning, and ecological sustainability. Full article
(This article belongs to the Special Issue Rainfall Variability, Drought, and Land Degradation)
Show Figures

Figure 1

11 pages, 432 KB  
Article
Guts, Glucose, and Gallbladders: The Protective Role of GLP-1/GIP Receptor Agonists Against Biliary Complications in Patients with Type 2 Diabetes and Inflammatory Bowel Disease
by Muhammad Ali Ibrahim Kazi, Sanmeet Singh and Nowreen Haq
J. Clin. Med. 2025, 14(24), 8882; https://doi.org/10.3390/jcm14248882 - 16 Dec 2025
Viewed by 389
Abstract
Background: Patients with type 2 diabetes mellitus (T2DM) and inflammatory bowel disease (IBD) face elevated risk of hepatobiliary complications. The biliary safety of GLP-1 and dual GLP-1/GIP receptor agonists in this population is uncertain. Methods: We conducted a retrospective cohort study [...] Read more.
Background: Patients with type 2 diabetes mellitus (T2DM) and inflammatory bowel disease (IBD) face elevated risk of hepatobiliary complications. The biliary safety of GLP-1 and dual GLP-1/GIP receptor agonists in this population is uncertain. Methods: We conducted a retrospective cohort study using the TrinetX LIVE global health research network. Adults (≥18 years) with coexisting T2DM and IBD were assigned to exposure (semaglutide or tirzepatide) or comparator (no GLP-1/GIP therapy) cohorts. The index was first prescription (or matched date). Primary outcomes—cholelithiasis, cholecystitis, choledocholithiasis, and cholangitis—were identified by ICD-10 codes. Propensity score matching (1:1 greedy nearest neighbor; caliper 0.1 SD) balanced demographics, comorbidities, GI surgeries, and antidiabetic medications. Results: After propensity score matching, 32,052 patients were included (16,026 per cohort), achieving excellent covariate balance with standardized mean differences < 0.1 for nearly all variables. GLP-1/GIP agonist use was associated with significantly lower risks of multiple biliary complications. Cholelithiasis occurred in 3.5% of GLP-1/GIP users compared with 6.3% of nonusers (risk ratio [RR] 1.81, 95% CI 1.64–2.00; hazard ratio [HR] 1.27, 95% CI 1.14–1.41; p < 0.001). Cholecystitis similarly occurred less frequently among users (0.8% vs. 2.2%; RR 2.74, 95% CI 2.24–3.34; HR 1.85, 95% CI 1.50–2.27; p < 0.001). Choledocholithiasis was also reduced in the GLP-1/GIP cohort (0.6% vs. 1.5%; RR 2.72, 95% CI 2.14–3.46; HR 1.90, 95% CI 1.48–2.44; p < 0.001). Cholangitis events were rare in both groups (0.1% vs. 0.2%) with no significant difference on survival analysis (HR 1.07, 95% CI 0.58–1.97; p = 0.08). Conclusions: In adults with T2DM and IBD, GLP-1 and dual GLP-1/GIP receptor agonists are associated with substantially reduced risks of gallstone-related complications. These real-world data support the gastrointestinal safety of GLP-1–based therapy in a high-risk population and suggest possible biliary protective effects warranting prospective, agent-specific studies. Full article
Show Figures

Figure 1

21 pages, 3772 KB  
Article
Integrated Multi-Source Data Fusion Framework Incorporating Surface Deformation, Seismicity, and Hydrological Indicators for Geohazard Risk Mapping in Oil and Gas Fields
by Mohammed Al Sulaimani, Rifaat Abdalla, Mohammed El-Diasty, Amani Al Abri, Mohamed A. K. EL-Ghali and Ahmed Tabook
Earth 2025, 6(4), 157; https://doi.org/10.3390/earth6040157 - 12 Dec 2025
Viewed by 189
Abstract
Oil and gas fields in subsidence-prone regions face multiple hazards that threaten the resilience of their infrastructure. This study presents an integrated risk mapping framework for the Yibal field in the Sultanate of Oman, utilizing remote sensing and geophysical data. Multi-temporal PS-InSAR analysis [...] Read more.
Oil and gas fields in subsidence-prone regions face multiple hazards that threaten the resilience of their infrastructure. This study presents an integrated risk mapping framework for the Yibal field in the Sultanate of Oman, utilizing remote sensing and geophysical data. Multi-temporal PS-InSAR analysis from 2010 to 2023 revealed cumulative surface deformation and tilt anomalies. Micro-seismic and fault proximity data assessed subsurface stress, while a flood risk map-based surface deformation-adjusted elevation captured hydrological susceptibility. All datasets were standardized into five risk zones (ranging from very low to very high) and combined through a weighted overlay analysis, with an emphasis on surface deformation and micro seismic factors. The resulting risk map highlights a central corridor of high vulnerability where subsidence, seismic activity, and drainage pathways converge, overlapping critical infrastructure. The results demonstrate that integrating geomechanical and hydrological factors yields a more accurate assessment of infrastructure risk than single-hazard approaches. This framework is adaptable to other petroleum fields, enhancing infrastructure protection (e.g., pipelines, flowlines, wells, and other oil and gas facilities), and supporting sustainable field management. Full article
(This article belongs to the Section AI and Big Data in Earth Science)
Show Figures

Figure 1

22 pages, 20345 KB  
Article
Scenario Analysis of Heavy Metal Ecological Risk in Cropland Soils from Livestock and Poultry Manure Application: A Case Study of Hunan Province, China
by Xia Li, Liying Yang, Jingxian Qi, Jingwen Xu, Xiaoyan Zhang, Jiamin Zhao, Zhicheng Shen and Huading Shi
Agronomy 2025, 15(12), 2841; https://doi.org/10.3390/agronomy15122841 - 11 Dec 2025
Viewed by 222
Abstract
Heavy metals in livestock and poultry manure cause significant contamination; however, there is currently a lack of scenario analysis research on soil pollution risks under the influence of manure application. This study integrated multiple methods, including multi-source data fusion, heavy metal emission accounting, [...] Read more.
Heavy metals in livestock and poultry manure cause significant contamination; however, there is currently a lack of scenario analysis research on soil pollution risks under the influence of manure application. This study integrated multiple methods, including multi-source data fusion, heavy metal emission accounting, and ecological risk assessment, to investigate regional soil heavy metal pollution risks under baseline and improved scenarios of manure application, using Hunan Province, China, as a case study. The results indicate that pig manure (49.5%) and cattle manure (47.6%) are the primary sources of heavy metal emissions from livestock and poultry manure. The heavy metal loads on cropland (g/ha) were as follows: Cd (0.51), Hg (0.027), As (0.87), Pb (4.69), Cr (5.38), Cu (93.10), Zn (131.05), and Ni (5.07). Among the eight heavy metals, Cd poses the most prominent soil pollution risk. Under the baseline scenario (100% manure application), the study area exhibited an overall moderate ecological hazard level after 37 years of continuous application, with 71.93% of the cropland classified as Risk Level II and 7.04% as Risk Level III. After 184 years, a strong ecological hazard level was reached, with 54.93% of the cropland classified as Risk Level III and 19.64% as Risk Level IV. Under improved scenarios (75%, 50%, and 25% manure application), the overall moderate ecological hazard level was reached after 49, 74, and 147 years of continuous application, respectively. This study provides a theoretical and methodological basis for regional soil heavy metal pollution control and source analysis. Full article
(This article belongs to the Special Issue Risk Assessment of Heavy Metal Pollution in Farmland Soil)
Show Figures

Figure 1

12 pages, 1699 KB  
Article
Sleep Quality and Its Association with Quality of Life and Mortality in Hemodialysis Patients
by Norihito Yoshida, Tatsuki Tanaka, Yusuke Suzuki, Sadamu Takahashi, Mai Hitaka, Shingo Ishii, Keisuke Yamazaki and Yasushi Ohashi
J. Clin. Med. 2025, 14(24), 8729; https://doi.org/10.3390/jcm14248729 - 10 Dec 2025
Viewed by 223
Abstract
Sleep disturbances are highly prevalent in hemodialysis (HD) patients and are associated with impaired quality of life (QOL) and poor outcomes. However, the independent impact of sleep quality on QOL and mortality in this population remains unclear. Methods: In this multicenter observational study, [...] Read more.
Sleep disturbances are highly prevalent in hemodialysis (HD) patients and are associated with impaired quality of life (QOL) and poor outcomes. However, the independent impact of sleep quality on QOL and mortality in this population remains unclear. Methods: In this multicenter observational study, 346 HD patients completed the Kidney Disease Quality of Life–Short Form (KDQOL-SF). A composite sleep score was derived from sleep-related items, and patients were stratified into tertiles (Q1–Q3). Clinical characteristics, QOL outcomes, and survival were compared across tertiles. Associations between sleep quality and QOL domains were assessed using linear regression, while Cox proportional hazards models were applied to evaluate mortality risk. Results: Patients in the lowest tertile (Q1) consistently demonstrated significantly lower scores across multiple SF-36 and kidney-disease-specific QOL domains compared with Q2 and Q3 (all p < 0.001). Kaplan–Meier analysis showed lower cumulative survival in Q1 (log-rank p = 0.012). In Cox models, Q1 was associated with higher mortality compared to Q3 in both unadjusted (HR, 2.58; 95% CI, 1.46–4.54; p = 0.001) and adjusted models (Model 3: HR, 2.04; 95% CI, 1.11–3.77; p = 0.023). The associations between Q1 and Q2 were attenuated after full adjustment (HR, 1.88; 95% CI, 0.98–3.60; p = 0.058). Conclusions: Poor sleep quality was independently associated with impaired QOL and increased all-cause mortality in HD patients. These associations remained significant even after adjustment for inflammation and dialysis adequacy, suggesting that sleep quality reflects a distinct pathophysiological condition and may serve as an important, potentially modifiable indicator of patient well-being and prognosis. Full article
(This article belongs to the Special Issue Current Updates and Advances in Hemodialysis)
Show Figures

Graphical abstract

41 pages, 12040 KB  
Article
Beyond Salt Mining: Urban Subsidence Hotspots Characterization in Maceió (Brazil), 2016–2024
by Thyago Anthony Soares Lima, Magdalena Stefanova Vassileva, Zhuge Xia and Silvio Jorge Coelho Simões
Remote Sens. 2025, 17(24), 3974; https://doi.org/10.3390/rs17243974 - 9 Dec 2025
Viewed by 442
Abstract
Land subsidence in Maceió, Brazil, has triggered a significant urban crisis, resulting in widespread evacuations, population displacement, and, in some cases, the partial or complete destruction of neighborhoods. However, the full extent and underlying mechanisms beyond the mining epicenter have remained unclear. This [...] Read more.
Land subsidence in Maceió, Brazil, has triggered a significant urban crisis, resulting in widespread evacuations, population displacement, and, in some cases, the partial or complete destruction of neighborhoods. However, the full extent and underlying mechanisms beyond the mining epicenter have remained unclear. This study presents a comprehensive, city-wide subsidence assessment (2016–2024) that tests a multi-mechanistic hypothesis. SBAS-InSAR (Sentinel-1) ground-motion data are integrated with geological and geomorphological context, well-density mapping, and physical–environmental and morphological metrics to delineate and characterize subsiding zones. The results reveal several patterns of deformation: in addition to the central bowl associated with rock salt mining, a peripheral, elongated corridor extends along the Mundaú Lagoon shoreline, diffuse low-gradient zones occur within the coastal urban belt, and a peri-urban subsidence corridor is identified. The identifyed subsidence areas cover approximately 55 km2 (10.8% of the city), with about 5 km2 exhibiting rates exceeding 10 mm yr−1. These patterns correspond to sedimentary plains and areas of intensive well use, extending far beyond the salt mining crisis zone. The primary contribution of this work is the identification of multiple subsidence mechanisms through an integrated analytical workflow, demonstrating that subsidence in Maceió constitutes a compound hazard that progressively increases city-wide risks of flooding, coastal and lagoonal erosion and slope instabilities, with direct consequences for structural integrity. The findings underscore the urgent need for risk-management strategies that address mining legacies, uncontrolled groundwater abstraction, and proper urban planning to prevent future crises. Full article
(This article belongs to the Section Remote Sensing in Geology, Geomorphology and Hydrology)
Show Figures

Figure 1

14 pages, 2860 KB  
Article
Longitudinal Health Risk Assessment of Neonicotinoid Exposure and Its Association with Dietary Sources in School-Aged Children: A Prospective Cohort Study
by Boya Zhang, Yiming Dai, Jiming Zhang, Zheng Wang, Jiayun Ding, Xingzu Zhou, Xiaojuan Qi and Zhijun Zhou
Toxics 2025, 13(12), 1058; https://doi.org/10.3390/toxics13121058 - 5 Dec 2025
Viewed by 346
Abstract
Neonicotinoid insecticides (NNIs) are globally pervasive, and toxicological evidence indicates potential adverse effects from low-dose exposure in non-targeted organisms. Humans may be exposed to NNIs through multiple pathways, such as ingestion and inhalation, with dietary intake recognized as the dominant exposure route. However, [...] Read more.
Neonicotinoid insecticides (NNIs) are globally pervasive, and toxicological evidence indicates potential adverse effects from low-dose exposure in non-targeted organisms. Humans may be exposed to NNIs through multiple pathways, such as ingestion and inhalation, with dietary intake recognized as the dominant exposure route. However, longitudinal evidence characterizing evolving exposure patterns in rural children remains scarce. We evaluated temporal trends and dietary determinants of NNI exposure among 643 children at ages 7, 10, and 14 years in the Sheyang Mini Birth Cohort Study. Twelve NNIs and six metabolites in urine samples were measured using UPLC-HRMS; estimated daily exposure doses and hazard index (HI) were calculated, and linear mixed models were used to evaluate dietary determinants of NNI exposure. Widespread exposure was observed (ΣNNIs detection: 98.8–100%), and although cumulative risks remained below safety thresholds, both medians and upper bounds of HI increased with age (0.0007 to 0.0074; 0.2045 to 0.4054). Notably, exposure composition shifted, with declining imidacloprid and emerging dominance of clothianidin (CLO) and thiamethoxam (THM). Fruit and vegetable intakes were positively associated with ΣNNIs, whereas cereals, poultry, and eggs showed inverse associations, with more pronounced effects observed in boys. These findings indicated persistent yet evolving exposure risks in school-aged children, highlighting fruits and vegetables as major contributors. Although current toxicological risk appears low, the transition toward CLO and THM—compounds with limited chronic toxicity data—underscores the need for continued biomonitoring and targeted exposure mitigation. Full article
(This article belongs to the Special Issue Biomonitoring of Toxic Elements and Emerging Pollutants)
Show Figures

Graphical abstract

15 pages, 1444 KB  
Article
Durvalumab Is Associated with Prolonged Progression-Free Survival, While Concomitant Chemoradiotherapy May Improve Both Locoregional and Local Control in Elderly Patients with Unresectable NSCLC Stage III: Subanalysis of the Austrian Radio-Oncological Lung Cancer Study Association Registry (ALLSTAR)
by Franz Zehentmayr, Josef Karner, Markus Stana, Elvis Ruznic, Barbara Zellinger, Marisa Klebermass, Ayurzana Purevdorj, Georg Gruber, Danijela Minasch, Martin Heilmann, Raphaela Moosbrugger, Falk Roeder and Brane Grambozov
Med. Sci. 2025, 13(4), 305; https://doi.org/10.3390/medsci13040305 - 5 Dec 2025
Viewed by 280
Abstract
Introduction: The incidence of NSCLC increases with age, with a median of approximately 70 years at diagnosis. Historically, treatment strategies for locally advanced cancers have been developed predominantly in younger populations, often excluding elderly patients who may present with multiple comorbidities, severely impaired [...] Read more.
Introduction: The incidence of NSCLC increases with age, with a median of approximately 70 years at diagnosis. Historically, treatment strategies for locally advanced cancers have been developed predominantly in younger populations, often excluding elderly patients who may present with multiple comorbidities, severely impaired lung function, or decreased performance status, leading to a lack of age-relevant clinical data. Therefore, we performed a subanalysis of real-world data from the ALLSTAR study to investigate the impact of durvalumab and the radiation regimen (sequential versus concurrent) on clinical outcome in elderly patients with unresectable stage III NSCLC. Methods: We included a total of 171 patients in this subanalysis. All patients were diagnosed with unresectable stage III NSCLC. Patients were divided into two age groups, ≥70 (41%) and <70 years (59%). All of them received curative chemoradiotherapy with (66%) or without (34%) durvalumab. Results: Patients were followed up for a median time of 25.1 months (range: 3.3–52.1). In the elderly group, patients who did not receive durvalumab consolidation had a median PFS of 17 months (95%-CI: 12.4—not reached) and a higher risk of progression (HR = 2.2; 95%-CI: 1–4.6) than those treated with durvalumab, which had a median PFS of 37 months (95%-CI: 24.5—not reached). This difference was statistically significant (log rank p = 0.026). Moreover, the Cox model yielded a hazard ratio suggesting a higher risk of locoregional (HR = 3.8; 95%-CI: 1.28–11.48; log rank p-value =0.01) as well as local recurrence (HR = 5.5: 95%-CI: 1.67–18.1: p-value =0.002) in patients who received sequential chemoradiotherapy compared to those with concomitant chemoradiotherapy in the same age group. In an exploratory analysis based on a Mann–Whitney U test, we did not find significant difference in toxicity between the two age groups. Conclusions: Durvalumab was associated with prolonged progression-free survival, while concomitant radiotherapy showed a trend towards improvement in locoregional and local control in patients aged ≥70. There was no significant difference in treatment toxicity found in the exploratory Mann–Whitney U analysis between the two age groups. Full article
Show Figures

Figure 1

25 pages, 3453 KB  
Article
High-Frame-Rate Camera-Based Vibration Analysis for Health Monitoring of Industrial Robots Across Multiple Postures
by Tuniyazi Abudoureheman, Hayato Otsubo, Feiyue Wang, Kohei Shimasaki and Idaku Ishii
Appl. Sci. 2025, 15(23), 12771; https://doi.org/10.3390/app152312771 - 2 Dec 2025
Viewed by 313
Abstract
Accurate vibration measurement is crucial for maintaining the performance, reliability, and safety of automated manufacturing environments. Abnormal vibrations caused by faults in gears or bearings can degrade positional accuracy, reduce productivity, and, over time, significantly impair production efficiency and product quality. Such vibrations [...] Read more.
Accurate vibration measurement is crucial for maintaining the performance, reliability, and safety of automated manufacturing environments. Abnormal vibrations caused by faults in gears or bearings can degrade positional accuracy, reduce productivity, and, over time, significantly impair production efficiency and product quality. Such vibrations may also disrupt supply chains, cause financial losses, and pose safety risks to workers through collisions, falling objects, or other operational hazards. Conventional vibration measurement techniques, such as wired accelerometers and strain gauges, are typically limited to a few discrete measurement points. Achieving multi-point measurements requires numerous sensors, which increases installation complexity, wiring constraints, and setup time, making the process both time-consuming and costly. The integration of high-frame-rate (HFR) cameras with Digital Image Correlation (DIC) enables non-contact, multi-point, full-field vibration measurement of robot manipulators, effectively addressing these limitations. In this study, HFR cameras were employed to perform non-contact, full-field vibration measurements of industrial robots. The HFR camera recorded the robot’s vibrations at 1000 frames per second (fps), and the resulting video was decomposed into individual frames according to the frame rate. Each frame, with a resolution of 1920 × 1080 pixels, was divided into 128 × 128 pixel blocks with a 64-pixel stride, yielding 435 sub-images. This setup effectively simulates the operation of 435 virtual vibration sensors. By applying mask processing to these sub-images, eight key points representing critical robot components were selected for multi-point DIC displacement measurements, enabling effective assessment of vibration distribution and real-time vibration visualization across the entire manipulator. This approach allows simultaneous capture of displacements across all robot components without the need for physical sensors. The transfer function is defined in the frequency domain as the ratio between the output displacement of each robot component and the input excitation applied by the shaker mounted on the end-effector. The frequency–domain transfer functions were computed for multiple robot components, enabling accurate and full-field vibration analysis during operation. Full article
(This article belongs to the Special Issue Innovative Approaches to Non-Destructive Evaluation)
Show Figures

Figure 1

Back to TopTop