Prognostic Factors and Biomarker Performance in Patients with Colorectal Cancer Receiving Reduced-Dose 5-Fluorouracil Therapy: A Retrospective Cohort Analysis
Abstract
1. Introduction
2. Materials and Methods
2.1. Study Design and Data Extraction
2.2. Treatment Regimen and Dose Classification
2.3. Statistical Analysis
3. Results
4. Discussion
5. Conclusions
Author Contributions
Funding
Institutional Review Board Statement
Informed Consent Statement
Data Availability Statement
Acknowledgments
Conflicts of Interest
Abbreviations
| BRAF | B-Raf proto-oncogene, serine/threonine kinase |
| KRAS | Kirsten rat sarcoma viral oncogene homolog |
| NRAS | Neuroblastoma RAS viral oncogene homolog |
| CRP | C-reactive protein |
| NLR | Neutrophil-to-Lymphocyte Ratio |
| CEA | Carcinoembryonic antigen |
| CA19-9 | Carbohydrate antigen 19-9 |
| CA125 | Cancer antigen 125 |
| AFP | Alpha-fetoprotein |
References
- International Agency for Research on Cancer. IARC Marks Colorectal Cancer Awareness Month 2025. Available online: https://www.iarc.who.int/news-events/iarc-marks-colorectal-cancer-awareness-month-2025/ (accessed on 25 August 2025).
- Darmadi, D.; Mohammadian-Hafshejani, A.; Kheiri, S. Global Disparities in Colorectal Cancer: Unveiling the Present Landscape of Incidence and Mortality Rates, Analyzing Geographical Variances, and Assessing the Human Development Index. J. Prev. Med. Hyg. 2024, 65, E499–E514. [Google Scholar] [CrossRef]
- Ministry of Health and Welfare, Department of Statistics (D.o.S). Statistics of Leading Causes of Death in Taiwan, 2025. Available online: https://dep.mohw.gov.tw/DOS/lp-5069-113.html (accessed on 31 August 2025).
- Health Promotion Administration, Ministry of Health and Welfare (M.o.H.a.W.). Taiwan Cancer Registry. Available online: https://www.hpa.gov.tw/EngPages/Detail.aspx?nodeid=1061&pid=6071 (accessed on 25 August 2025).
- Khatib, A.W.; Selub, S.M.; Uryvaey, A.; Baranseh, J.; Shai, A. Initiating Treatment with Low Fluorouracil Dose and Titrating According to Blood Levels in Patients Treated with a 46-Hour Continuous Infusion. Chemotherapy 2023, 68, 95–101. [Google Scholar] [CrossRef]
- Gamelin, E.; Delva, R.; Jacob, J.; Merrouche, Y.; Raoul, J.L.; Pezet, D.; Dorval, E.; Piot, G.; Morel, A.; Boisdron-Celle, M. Individual fluorouracil dose adjustment based on pharmacokinetic follow-up compared with conventional dosage: Results of a multicenter randomized trial of patients with metastatic colorectal cancer. J. Clin. Oncol. 2008, 26, 2099–2105. [Google Scholar] [CrossRef] [PubMed]
- Saif, M.W.; Choma, A.; Salamone, S.J.; Chu, E. Pharmacokinetically Guided Dose Adjustment of 5-Fluorouracil: A Rational Approach to Improving Therapeutic Outcomes. JNCI J. Natl. Cancer Inst. 2009, 101, 1543–1552. [Google Scholar] [CrossRef] [PubMed]
- Lee, J.J.; Beumer, J.H.; Chu, E. Therapeutic drug monitoring of 5-fluorouracil. Cancer Chemother. Pharmacol. 2016, 78, 447–464. [Google Scholar] [CrossRef]
- Wu, J.; Cai, Q.; Li, H.; Cai, H.; Gao, J.; Yang, G.; Zheng, W.; Xiang, Y.B.; Shu, X.O. Circulating C-reactive protein and colorectal cancer risk: A report from the Shanghai Men’s Health Study. Carcinogenesis 2013, 34, 2799–2803. [Google Scholar] [CrossRef]
- Pine, J.K.; Morris, E.; Hutchins, G.G.; West, N.P.; Jayne, D.G.; Quirke, P.; Prasad, K.R. Systemic neutrophil-to-lymphocyte ratio in colorectal cancer: The relationship to patient survival, tumour biology and local lymphocytic response to tumour. Br. J. Cancer 2015, 113, 204–211. [Google Scholar] [CrossRef] [PubMed]
- Yan, C.; Hu, Y.; Zhang, B.; Mu, L.; Huang, K.; Zhao, H.; Ma, C.; Li, X.; Tao, D.; Gong, J.; et al. The CEA-/lo colorectal cancer cell population harbors cancer stem cells and metastatic cells. Oncotarget 2016, 7, 80700–80715. [Google Scholar] [CrossRef]
- Lakemeyer, L.; Sander, S.; Wittau, M.; Henne-Bruns, D.; Kornmann, M.; Lemke, J. Diagnostic and Prognostic Value of CEA and CA19-9 in Colorectal Cancer. Diseases 2021, 9, 21. [Google Scholar] [CrossRef]
- Björkman, K.; Mustonen, H.; Kaprio, T.; Kekki, H.; Pettersson, K.; Haglund, C.; Böckelman, C. CA125: A superior prognostic biomarker for colorectal cancer compared to CEA, CA19-9 or CA242. Tumour Biol. 2021, 43, 57–70. [Google Scholar] [CrossRef]
- Feng, Y.; Li, Y.; Dai, W.; Mo, S.; Li, Q.; Cai, S. Clinicopathologic Features and Prognostic Factors in Alpha-Fetoprotein-Producing Colorectal Cancer: Analysis of 78 Cases. Cell. Physiol. Biochem. 2018, 51, 2052–2064. [Google Scholar] [CrossRef]
- Ma, Z.; Yang, S.; Yang, Y.; Luo, J.; Zhou, Y.; Yang, H. Development and validation of prediction models for the prognosis of colon cancer with lung metastases: A population-based cohort study. Front. Endocrinol. 2023, 14, 1073360. [Google Scholar] [CrossRef]
- Sudsawat Laohavinij, M.; Maneechavakajorn, J. Prognostic factors for survival in colorectal cancer patients. J. Med. Assoc. Thai 2010, 93, 1156–1166. [Google Scholar]
- Lișcu, H.D.; Verga, N.; Atasiei, D.I.; Badiu, D.C.; Dumitru, A.V.; Ultimescu, F.; Pavel, C.; Stefan, R.E.; Manole, D.C.; Ionescu, A.I. Biomarkers in Colorectal Cancer: Actual and Future Perspectives. Int. J. Mol. Sci. 2024, 25, 1535. [Google Scholar] [CrossRef] [PubMed]
- Zhang, W.; Li, Y.; Jia, J.; Yang, Y.; Hu, Y.; Wang, Y.; Wang, J. Prediction of 5-year postoperative survival and analysis of key prognostic factors in stage III colorectal cancer patients using novel machine learning algorithms. Front. Oncol. 2025, 15, 1604386. [Google Scholar] [CrossRef] [PubMed]
- Yadegar, A.; Dalvand, S.; Sharafkhah, M.; Sepanlou, S.G.; Poustchi, H.; Roshandel, G.; Sheikh, M.; Sadjadi, A.; Mohammadi, F.; Masoudi, S.; et al. Association between prediagnostic risk factors and survival after colorectal cancer diagnosis in Golesten cohort study. Sci. Rep. 2025, 15, 17621. [Google Scholar] [CrossRef]
- Tutan, M.B.; Canal, K.; Aslan, O.; Sezikli, İ.; Yüksek, M.A.; Topçu, R.; Turhan, V.B.; Kendirci, M.; Şahiner, İ.T. Prognostic Significance of Tumor and Inflammatory Markers in Disease-Free and Overall Survival Duration in Colonic Adenocarcinoma Patients. Cureus 2024, 16, e68667. [Google Scholar] [CrossRef]
- Li, J.; Hu, X.; Zhang, S. Preoperative C-reactive protein-albumin-lymphocyte index predicts survival outcomes in patients with stage I-III colorectal cancer: A retrospective cohort study. Oncol. Lett. 2025, 30, 535. [Google Scholar] [CrossRef] [PubMed]
- Cotan, H.T.; Emilescu, R.A.; Iaciu, C.I.; Orlov-Slavu, C.M.; Olaru, M.C.; Popa, A.M.; Jinga, M.; Nitipir, C.; Schreiner, O.D.; Ciobanu, R.C. Prognostic and Predictive Determinants of Colorectal Cancer: A Comprehensive Review. Cancers 2024, 16, 3928. [Google Scholar] [CrossRef]
- Fu, H.Y.; Zhang, Y.Y.; Huang, J.S.; Hu, J.X.; Bai, K.H.; Wang, Z.Q. Interim C-reactive protein levels predict the prognosis of patients with metastatic colorectal cancer receiving immunotherapy: A retrospective cohort study. Ther. Adv. Med. Oncol. 2025, 17, 17588359251356581. [Google Scholar] [CrossRef]
- Soler-González, G.; Sastre-Valera, J.; Viana-Alonso, A.; Aparicio-Urtasun, J.; García-Escobar, I.; Gómez-España, M.A.; Guillén-Ponce, C.; Molina-Garrido, M.J.; Gironés-Sarrió, R. Update on the management of elderly patients with colorectal cancer. Clin. Transl. Oncol. 2024, 26, 69–84. [Google Scholar] [CrossRef] [PubMed]
- Zhang, J.; Zhu, H.; Liu, W.; Miao, J.; Mao, Y.; Li, Q. Prognostic and predictive molecular biomarkers in colorectal cancer. Front. Oncol. 2025, 15, 1532924. [Google Scholar] [CrossRef] [PubMed]
- Huang, C.J.; Jiang, J.K.; Chang, S.C.; Lin, J.K.; Yang, S.H. Serum CA125 concentration as a predictor of peritoneal dissemination of colorectal cancer in men and women. Medicine 2016, 95, e5177. [Google Scholar] [CrossRef]
- Han, T.; Deng, S.; Xia, D.; Jin, K.; Mei, C. Clinical value of cystatin S in patients with colorectal cancer chemotherapy. Front. Oncol. 2025, 15, 1640646. [Google Scholar] [CrossRef] [PubMed]



| Characteristics | Values |
|---|---|
| Total number of patients (N) | 95 |
| Sex (M/F) | 55/40 (57.9%/42.1%) |
| Age (mean ± standard deviation (SD)) | 59.0 ± 10.7 (31–82) |
| Substance use | |
| Alcohol use | 17(17.9%) |
| Betel nut chewing | 8(8.4%) |
| Cigarette smoking | 27(28.4%) |
| Primary Site | |
| C18 Colon | 64(67.4%) |
| C19 Rectosigmoid Junction | 9(9.5%) |
| C20 Rectum | 22(23.1%) |
| Histology | |
| 8140 Adenocarcinoma | 95(100.0%) |
| Hepatitis | |
| HCV−/HBsAg− | 66(69.5%) |
| HCV unknown /HBsAg− | 5(5.3%) |
| HCV+/HBsAg− | 7(7.4%) |
| HCV−/HBsAg+ | 17(17.9%) |
| Clinical grade (preoperative biopsy) | |
| Well-differentiated | 24(25.3%) |
| Moderately differentiated | 47(49.5%) |
| Poorly differentiated | 3(3.2%) |
| Not assessable/Not available | 21(22.1%) |
| Pathological grade | |
| Well-differentiated | 7(7.4%) |
| Moderately differentiated | 76(80.0%) |
| Poorly differentiated | 5(5.3%) |
| Not assessable/Not available | 7(7.4%) |
| Perineural invasion | |
| No | 28(29.5%) |
| Yes | 61(64.2%) |
| Not assessable/Not available | 6(6.3%) |
| Lymphovascular invasion | |
| No | 8(8.4%) |
| Yes | 82(86.3%) |
| Not assessable/Not available | 5(5.3%) |
| AJCC 8th Edition | |
| II | 10(10.5%) |
| III | 46(48.4%) |
| IV | 39(41.1%) |
| ECOG | |
| 0 | 29(30.5%) |
| 1 | 60(63.2%) |
| 2 | 4(4.2%) |
| 3 | 2(2.1%) |
| Pretreatment CEA | |
| Positive | 49(51.6%) |
| Negative | 42(44.2%) |
| Not assessable/Not available | 4(4.2%) |
| Obstruction | |
| No | 81(85.3%) |
| Yes | 14(14.7%) |
| Perforation | |
| No | 94(98.9%) |
| Yes | 1(1.1%) |
| Microsatellite Instability Detection | |
| No loss of nuclear expression | 80(84.2%) |
| Loss of nuclear expression | 4(4.2%) |
| No detection | 11(11.6%) |
| BRAF | |
| Wild-type | 26(27.4%) |
| Mutated | 7(7.4%) |
| Not performed | 62(65.2%) |
| KRAS | |
| Wild-type | 60(63.2%) |
| Mutated | 29(30.5%) |
| Not performed | 6(6.3%) |
| NRAS | |
| Wild-type | 72(75.8%) |
| Mutated | 1(1.1%) |
| Not performed | 22(23.2%) |
| Characteristics | Univariable | ||
|---|---|---|---|
| OR | (95% CI) | p Value | |
| Age | 1.005 | 0.967–1.044 | 0.794 |
| Sex (M/F) | 0.843 | 0.373–1.896 | 0.680 |
| Substance use | |||
| Alcohol use (N/Y) | 0.750 | 0.254–2.151 | 0.592 |
| Betel nut chewing (N/Y) | 0.425 | 0.073–1.870 | 0.263 |
| Cigarette smoking (N/Y) | 0.343 | 0.128–0.859 | 0.022 * |
| Clinical grade (Preoperative Biopsy) | |||
| Well-differentiated | 1 | ||
| Moderately differentiated/Poorly differentiated | 4.452 | 1.605–13.653 | 0.004 * |
| Not assessable/Not available | 3.117 | 0.940–11.133 | 0.063 |
| Pathological grade | |||
| Well-differentiated | 1 | ||
| Moderately differentiated/Poorly differentiated | 0.433 | 0.074–1.915 | 0.275 |
| Not assessable/Not available | 0.354 | 0.039–2.609 | 0.311 |
| Hepatitis | |||
| HCV−/HBsAg− | 1 | ||
| HCV unknown /HBsAg− | 1.486 | 0.271–9.426 | 0.644 |
| HCV+/HBsAg− | 1.186 | 0.416–3.427 | 0.748 |
| HCV−/HBsAg+ | 1.365 | 0.308–6.530 | 0.679 |
| Perineural invasion | |||
| No | 1 | ||
| Yes | 0.615 | 0.246–1.498 | 0.286 |
| Not assessable/Not available | 3.434 | 0.633–34.941 | 0.161 |
| Lymphovascular invasion | |||
| No | 1 | ||
| Yes | 1.076 | 0.261–4.440 | 0.917 |
| Not assessable/Not available | 3.228 | 0.565–33.226 | 0.195 |
| AJCC 8th Edition for Colorectal Cancer | |||
| II | 1 | ||
| III | 0.582 | 0.150–2.400 | 0.440 |
| IV | 5.183 | 1.279–23.086 | 0.021 * |
| Pretreatment CEA | |||
| Negative | 1 | ||
| Positive | 4.954 | 2.092–12.348 | 0.001 * |
| Not assessable/Not available | 5.639 | 0.837–63.278 | 0.076 |
| Obstruction (N/Y) | 1.907 | 0.626–6.338 | 0.258 |
| BRAF | |||
| Wild-type | 1 | ||
| Mutated | 6.810 | 1.185–72.433 | 0.030 * |
| Not performed | 1.623 | 0.653–4.167 | 0.299 |
| KRAS | |||
| Wild-type | 1 | ||
| Mutated | 1.735 | 0.713–4.345 | 0.226 |
| Not performed | 0.634 | 0.104–3.097 | 0.577 |
| Characteristics | Multivariable | ||
|---|---|---|---|
| OR | (95% CI) | p Value | |
| Age | 1.016 | 0.943–1.098 | 0.680 |
| Sex (M/F) | 0.950 | 0.165–5.157 | 0.952 |
| Substance use | |||
| Alcohol use (N/Y) | 3.186 | 0.278–45.032 | 0.361 |
| Betel nut chewing (N/Y) | 105.092 | 2.436–7471.819 | 0.018 * |
| Cigarette smoking (N/Y) | 0.005 | 0.000–0.108 | 0.003 * |
| Clinical grade | |||
| Well-differentiated | 1 | ||
| Moderately differentiated/ Poorly differentiated | 36.153 | 3.299–949.513 | 0.010 * |
| Not assessable/Not available | 43.371 | 1.962–2489.013 | 0.033 * |
| Pathological grade | |||
| Well-differentiated | 1 | ||
| Moderately differentiated/Poorly differentiated | 0.053 | 0.001–1.078 | 0.079 |
| Not assessable/Not available | 0.001 | 0.000–0.128 | 0.012 * |
| Hepatitis | |||
| HCV−/HBsAg− | 1 | ||
| HCV unknown /HBsAg− | 7.537 | 0.107–946.719 | 0.372 |
| HCV+/HBsAg− | 0.326 | 0.027–3.171 | 0.346 |
| HCV−/HBsAg+ | 3.541 | 0.253–73.315 | 0.355 |
| Perineural invasion | |||
| No | 1 | ||
| Yes | 0.234 | 0.016–2.344 | 0.240 |
| Not assessable/Not available | 25.564 | 0.494–4781.408 | 0.148 |
| Lymphovascular invasion | |||
| No | 1 | ||
| Yes | 169.695 | 1.506–49,827.906 | 0.046 * |
| Not assessable/Not available | 21.386 | 0.139–4056.178 | 0.217 |
| AJCC 8th Edition for Colorectal Cancer | |||
| II | 1 | ||
| III | 0.229 | 0.007–9.959 | 0.392 |
| IV | 6.262 | 0.364–269.056 | 0.252 |
| Pretreatment CEA | |||
| Negative | 1 | ||
| Positive | 0.109 | 0.013–0.633 | 0.023 * |
| Not assessable/Not available | 0.361 | 0.002–71.085 | 0.704 |
| Obstruction (N/Y) | 4.844 | 0.235–148.629 | 0.327 |
| BRAF | |||
| Wild-type | 1 | ||
| Mutated | 91.049 | 1.686–19,396.700 | 0.055 |
| Not performed | 7.734 | 1.149–78.223 | 0.051 |
| KRAS | |||
| Wild-type | 1 | ||
| Mutated | 3.495 | 0.503–34.436 | 0.230 |
| Not performed | 0.030 | 0.001–0.600 | 0.030 |
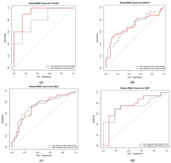
| Biomarker | N | Pretreatment | Posttreatment | p Value | ||||||||
|---|---|---|---|---|---|---|---|---|---|---|---|---|
| Sensitivity (%) | Specificity (%) | AUC (95% CI) | Youden’s Index Cut Point | p Value | Sensitivity (%) | Specificity (%) | AUC (95% CI) | Youden’s Index Cut Point | p Value | |||
| AFP | 68 | 65.62 | 19.44 | 0.552 (0.424–0.689) | 1.845 | 0.445 | 46.88 | 27.78 | 0.616 (0.477–0.745) | 2.335 | 0.090 | 0.158 |
| CA125 | 17 | 90.00 | 85.71 | 0.929 (0.771–1.000) | 13.155 | 0.001 * | 80.00 | 71.43 | 0.800 (0.571–0.971) | 12.540 | 0.003 * | 0.235 |
| CA19-9 | 81 | 55.00 | 85.37 | 0.696 (0.574–0.812) | 29.715 | 0.001 * | 62.50 | 70.73 | 0.696 (0.580–0.807) | 11.550 | 0.001 * | 0.987 |
| CEA | 91 | 73.33 | 69.57 | 0.728 (0.617–0.832) | 5.565 | 0.001 * | 71.11 | 73.91 | 0.735 (0.626–0.839) | 3.945 | 0.001 * | 0.850 |
| eGFR | 92 | 51.11 | 25.53 | 0.586 (0.469–0.706) | 82.500 | 0.153 | 42.22 | 42.55 | 0.556 (0.438–0.677) | 98.500 | 0.358 | 0.445 |
| NLR | 90 | 63.64 | 52.17 | 0.542 (0.419–0.664) | 2.720 | 0.499 | 88.64 | 26.09 | 0.551 (0.433–0.663) | 2.815 | 0.382 | 0.908 |
| CRP | 27 | 68.75 | 81.82 | 0.747 (0.528–0.926) | 1.695 | 0.015 * | 68.75 | 81.82 | 0.741 (0.534–0.909) | 2.530 | 0.012 * | 0.966 |
| PSA | 12 | 50.00 | 0.00 | 0.688 (0.250–1.000) | 0.465 | 0.327 | 50.00 | 0.00 | 0.656 (0.250–1.000) | 0.555 | 0.414 | 0.629 |
| Characteristics | Hazard Ratio | 95% CI | p Value |
|---|---|---|---|
| Age | 1.014 | 0.986–1.042 | 0.346 |
| Sex (M/F) | 0.756 | 0.423–1.350 | 0.345 |
| Substance use | |||
| Alcohol use (Y/N) | 1.387 | 0.686–2.803 | 0.362 |
| Betel nut chewing (Y/N) | 1.974 | 0.833–4.682 | 0.123 |
| Cigarette smoking (Y/N) | 1.936 | 1.082–3.463 | 0.026 * |
| Clinical grade | |||
| Well-differentiated | 1 | ||
| Moderately differentiated/ Poorly differentiated | 3.565 | 1.478–8.597 | 0.005 * |
| Not assessable/Not available | 2.313 | 0.854–6.261 | 0.099 |
| Pathological grade | |||
| Well-differentiated | 1 | ||
| Moderately differentiated/ Poorly differentiated | 0.798 | 0.313–2.030 | 0.635 |
| Not assessable/Not available | 0.743 | 0.177–3.122 | 0.685 |
| Perineural invasion | |||
| No | 1 | ||
| Yes | 1.863 | 0.922–3.764 | 0.083 |
| Not assessable/Not available | 5.039 | 1.712–14.830 | 0.003 * |
| Hepatitis | |||
| HCV−/HBsAg− | 1 | ||
| HCV unknown /HBsAg− | 2.475 | 0.743–8.248 | 0.140 |
| HCV+/HBsAg− | 1.273 | 0.606–2.672 | 0.523 |
| HCV−/HBsAg+ | 0.880 | 0.310–2.499 | 0.810 |
| Lymphovascular invasion | |||
| No | 1 | ||
| Yes | 1.146 | 0.407–3.228 | 0.797 |
| Not assessable/Not available | 3.517 | 0.858–14.423 | 0.081 |
| CRC staging (AJCC 8th Edition) | |||
| II | 1 | ||
| III | 0.760 | 0.244–2.360 | 0.634 |
| IV | 5.220 | 1.734–15.708 | 0.003 * |
| Pretreatment CEA | |||
| Negative | 1 | ||
| Positive | 3.338 | 1.721–6.476 | 0.000 * |
| Not assessable/Not available | 3.536 | 0.986–12.689 | 0.053 |
| Obstruction (N/Y) | 1.486 | 0.719–3.071 | 0.285 |
| BRAF | |||
| Wild-type | 1 | ||
| Mutated | 2.751 | 0.997–7.591 | 0.051 |
| Not performed | 1.489 | 0.726–3.057 | 0.278 |
| KRAS | |||
| Wild-type | 1 | ||
| Mutated | 1.636 | 0.903–2.963 | 0.104 |
| Not performed | 0.613 | 0.145–2.590 | 0.506 |
| Characteristics | Overall (N = 95) 1 | Low Risk (N = 32) 1 | Medium Risk (N = 31) 1 | High Risk (N = 32) 1 | p-Value 2 |
|---|---|---|---|---|---|
| Age | 59 (51–67) | 58 (51–64) | 59 (48–67) | 61 (56–72) | 0.309 |
| Sex | 0.749 | ||||
| Male | 55 (58%) | 17 (53%) | 18 (58%) | 20 (63%) | |
| Female | 40 (42%) | 15 (47%) | 13 (42%) | 12 (38%) | |
| Cigarette smoking | 27 (28%) | 6 (19%) | 11 (35%) | 10 (31%) | 0.308 |
| Pathological grade | 0.835 | ||||
| Well-differentiated | 7 (7.4%) | 2 (6.3%) | 2 (6.5%) | 3 (9.4%) | |
| Moderate/Poorly differentiated | 81 (85%) | 29 (91%) | 26 (84%) | 26 (81%) | |
| Unknown | 7 (7.4%) | 1 (3.1%) | 3 (9.7%) | 3 (9.4%) | |
| Clinical grade | 0.001 * | ||||
| Well-differentiated | 24 (25%) | 16 (50%) | 6 (19%) | 2 (6.3%) | |
| Moderate/Poorly differentiated | 50 (53%) | 9 (28%) | 17 (55%) | 24 (75%) | |
| Unknown | 21 (22%) | 7 (22%) | 8 (26%) | 6 (19%) | |
| AJCC 8th Edition | 0.001 * | ||||
| Stage II | 10 (11%) | 3 (9.4%) | 7 (23%) | 0 (0%) | |
| Stage III | 46 (48%) | 29 (91%) | 17 (55%) | 0 (0%) | |
| Stage IV | 39 (41%) | 0 (0%) | 7 (23%) | 32 (100%) | |
| Pretreatment CEA | 0.001 * | ||||
| Negative | 42 (44%) | 27 (84%) | 10 (32%) | 5 (16%) | |
| Positive | 49 (52%) | 5 (16%) | 19 (61%) | 25 (78%) | |
| Not assessable | 4 (4.2%) | 0 (0%) | 2 (6.5%) | 2 (6.3%) | |
| Univariable Analysis | Multivariable Analysis | |||||
|---|---|---|---|---|---|---|
| Characteristic | HR | 95% CI | p Value | HR | 95% CI | p Value |
| Age | 1.014 | 0.986–1.042 | 0.346 | 1.032 | 1.000–1.064 | 0.048 |
| Sex | ||||||
| Male | 1 | |||||
| Female | 0.756 | 0.423–1.350 | 0.345 | 0.844 | 0.403–1.767 | 0.653 |
| Cigarette smoking | ||||||
| No | 1 | |||||
| Yes | 1.936 | 1.082–3.463 | 0.026 * | 1.891 | 0.907–3.943 | 0.089 |
| Pathological grade | ||||||
| Well-differentiated | 1 | |||||
| Moderate/Poorly differentiated | 0.798 | 0.313–2.030 | 0.635 | 1.157 | 0.388–3.450 | 0.794 |
| Unknown | 0.743 | 0.177–3.122 | 0.685 | 1.479 | 0.300–7.298 | 0.631 |
| Clinical grade | ||||||
| Well-differentiated | 1 | |||||
| Moderate/Poorly differentiated | 3.565 | 1.478–8.597 | 0.005 * | 3.985 | 1.457–10.898 | 0.007 * |
| Unknown | 2.313 | 0.854–6.261 | 0.099 | 3.630 | 1.207–10.922 | 0.022 |
| AJCC 8th Edition | ||||||
| Stage II | 1 | |||||
| Stage III | 0.760 | 0.244–2.360 | 0.634 | 0.460 | 0.138–1.533 | 0.206 |
| Stage IV | 5.220 | 1.734–15.708 | 0.003 * | 2.894 | 0.884–9.477 | 0.079 |
| Pretreatment CEA | ||||||
| Negative | 1 | |||||
| Positive | 3.338 | 1.721–6.476 | 0.001 * | 2.416 | 1.161–5.026 | 0.018 * |
| Not assessable | 3.536 | 0.986–12.689 | 0.053 | 2.127 | 0.496–9.114 | 0.310 |
| Variable | Chi_Square | df | p_Value |
|---|---|---|---|
| Age | 7.061 | 1 | 0.008 * |
| Sex | 1.346 | 1 | 0.246 |
| Cigarette smoking | 12.155 | 1 | 0.001 * |
| Pathological grade | 7.679 | 2 | 0.022 * |
| Clinical grade | 1.194 | 2 | 0.551 |
| AJCC 8th Edition for Colorectal Cancer | 1.244 | 2 | 0.537 |
| Pretreatment CEA | 0.287 | 1 | 0.592 |
| GLOBAL | 29.159 | 10 | 0.001 * |
Disclaimer/Publisher’s Note: The statements, opinions and data contained in all publications are solely those of the individual author(s) and contributor(s) and not of MDPI and/or the editor(s). MDPI and/or the editor(s) disclaim responsibility for any injury to people or property resulting from any ideas, methods, instructions or products referred to in the content. |
© 2025 by the authors. Licensee MDPI, Basel, Switzerland. This article is an open access article distributed under the terms and conditions of the Creative Commons Attribution (CC BY) license.
Share and Cite
Chen, M.-W.; Ou, J.-J.; Chang, C.-S. Prognostic Factors and Biomarker Performance in Patients with Colorectal Cancer Receiving Reduced-Dose 5-Fluorouracil Therapy: A Retrospective Cohort Analysis. J. Clin. Med. 2026, 15, 71. https://doi.org/10.3390/jcm15010071
Chen M-W, Ou J-J, Chang C-S. Prognostic Factors and Biomarker Performance in Patients with Colorectal Cancer Receiving Reduced-Dose 5-Fluorouracil Therapy: A Retrospective Cohort Analysis. Journal of Clinical Medicine. 2026; 15(1):71. https://doi.org/10.3390/jcm15010071
Chicago/Turabian StyleChen, Mei-Wen, Jing-Jim Ou, and Cheng-Shyong Chang. 2026. "Prognostic Factors and Biomarker Performance in Patients with Colorectal Cancer Receiving Reduced-Dose 5-Fluorouracil Therapy: A Retrospective Cohort Analysis" Journal of Clinical Medicine 15, no. 1: 71. https://doi.org/10.3390/jcm15010071
APA StyleChen, M.-W., Ou, J.-J., & Chang, C.-S. (2026). Prognostic Factors and Biomarker Performance in Patients with Colorectal Cancer Receiving Reduced-Dose 5-Fluorouracil Therapy: A Retrospective Cohort Analysis. Journal of Clinical Medicine, 15(1), 71. https://doi.org/10.3390/jcm15010071
