Spatially Explicit Relationships Between Urbanization and Extreme Precipitation Across Distinct Topographic Gradients in Liuzhou, China
Abstract
1. Introduction
2. Materials and Methods
2.1. Study Area
2.2. Data Description
2.3. Methods
2.3.1. Definition of EP Indices
2.3.2. Innovative Trend Analysis
2.3.3. Spatial Correlation Test
2.3.4. Geographically Weighted Regression Analysis
3. Results
3.1. Spatio-Temporal Variations in EPs
3.2. Spatial Dependency of EPs on Urbanization
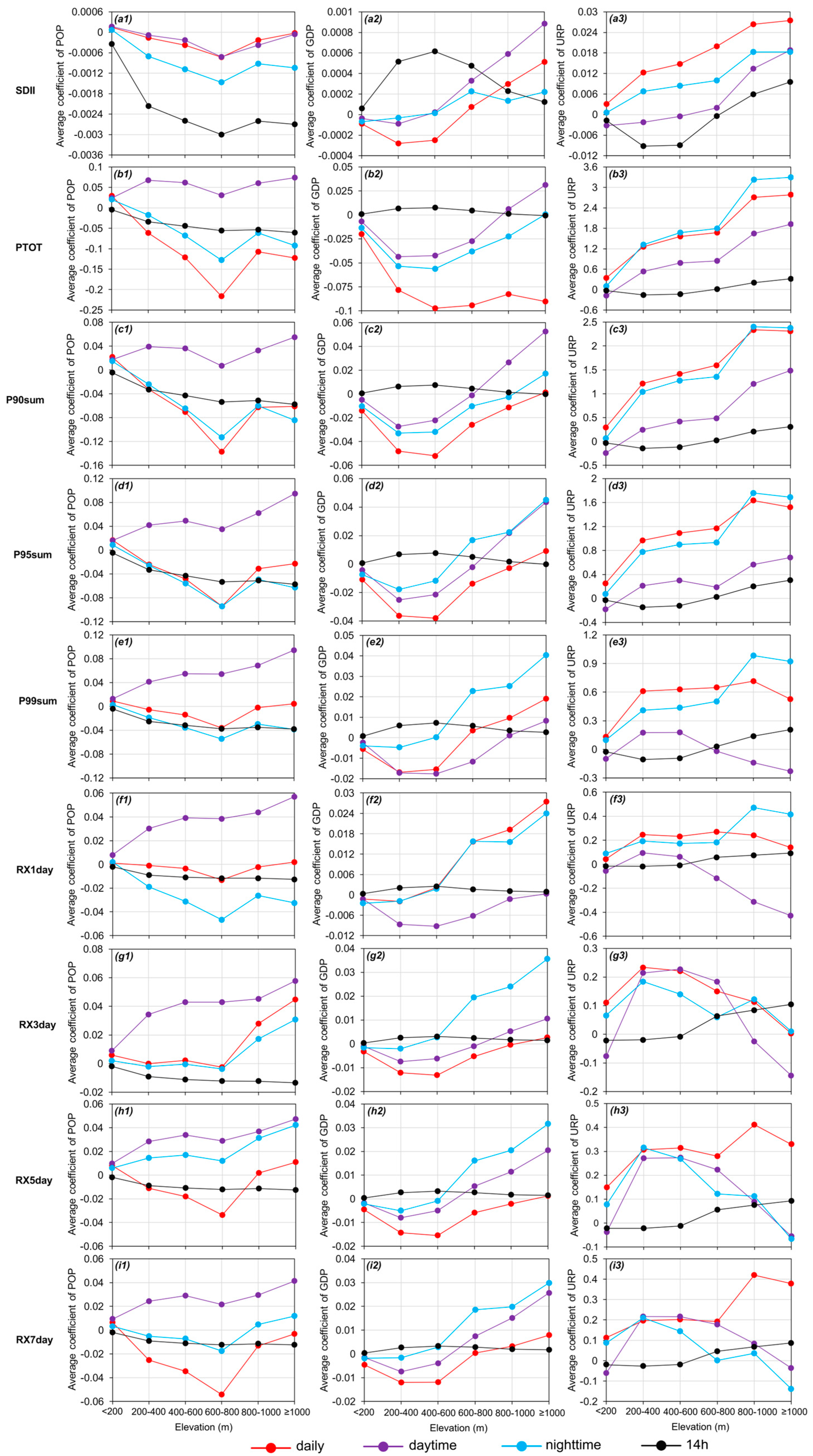
3.3. Spatially Varying Effects of Urbanization on EPs
4. Discussion
5. Conclusions
Author Contributions
Funding
Data Availability Statement
Acknowledgments
Conflicts of Interest
References
- Chen, F.; Wu, M.; Dong, M.; Yu, B. Comparison of the impacts of topography and urbanization on an extreme rainfall event in the Hangzhou Bay region. J. Geophys. Res. Atmos. 2022, 127, e2022JD037060. [Google Scholar] [CrossRef]
- Wanyama, D.; Bunting, E.L.; Weil, N.; Keellings, D. Delineating and characterizing changes in heat wave events across the United States climate regions. Clim. Change 2023, 176, 6. [Google Scholar] [CrossRef]
- Easterling, D.R.; Evans, J.L.; Groisman, P.Y.; Karl, T.R.; Kunkel, K.E.; Ambenje, P. Observed variability and trends in extreme climate events: A brief review. Bull. Am. Meteorol. Soc. 2000, 81, 417–426. [Google Scholar] [CrossRef]
- Zhao, Z.; Huo, A.; Liu, Q.; Yang, L.; Luo, C.; Ahmed, A.; Elbeltagi, A. Assessment of urban inundation and prediction of combined flood disaster in the middle reaches of Yellow river basin under extreme precipitation. J. Hydrol. 2024, 640, 131707. [Google Scholar] [CrossRef]
- de Souza, D.C.; Crespo, N.M.; da Silva, D.V.; Harada, L.M.; de Godoy, R.M.P.; Domingues, L.M.; Luiz, R.; Bortolozo, C.A.; Metodiev, D.; de Andrade, M.R.M. Extreme rainfall and landslides as a response to human-induced climate change: A case study at Baixada Santista, Brazil, 2020. Nat. Hazards 2024, 120, 10835–10860. [Google Scholar] [CrossRef]
- Eekhout, J.P.; Hunink, J.E.; Terink, W.; de Vente, J. Why increased extreme precipitation under climate change negatively affects water security. Hydrol. Earth Syst. Sci. 2018, 22, 5935–5946. [Google Scholar] [CrossRef]
- Wang, P.; Deng, X.; Zhou, H.; Qi, W. Responses of urban ecosystem health to precipitation extreme: A case study in Beijing and Tianjin. J. Clean. Prod. 2018, 177, 124–133. [Google Scholar] [CrossRef]
- Zeleňáková, M.; Gaňová, L.; Purcz, P.; Horský, M.; Satrapa, L.; Blišťan, P.; Diaconu, D. Mitigation of the adverse consequences of floods for human life, infrastructure, and the environment. Nat. Hazards Rev. 2017, 18, 05017002. [Google Scholar] [CrossRef]
- United Nations, Department of Economic and Social Affairs. Population Division (2019). In World Urbanization Prospects: The 2018 Revision (ST/ESA/SER.A/420); United Nations: New York, NY, USA, 2019. [Google Scholar]
- Tanoori, G.; Soltani, A.; Modiri, A. Machine learning for urban heat island (UHI) analysis: Predicting land surface temperature (LST) in urban environments. Urban Clim. 2024, 55, 101962. [Google Scholar] [CrossRef]
- Deilami, K.; Kamruzzaman, M.; Liu, Y. Urban heat island effect: A systematic review of spatio-temporal factors, data, methods, and mitigation measures. Int. J. Appl. Earth Obs. Geoinf. 2018, 67, 30–42. [Google Scholar] [CrossRef]
- Rajagopalan, P.; Lim, K.C.; Jamei, E. Urban heat island and wind flow characteristics of a tropical city. Sol. Energy 2014, 107, 159–170. [Google Scholar] [CrossRef]
- Huff, F.; Changnon, S. Precipitation modification by major urban areas. Bull. Am. Meteorol. Soc. 1973, 54, 1220–1233. [Google Scholar] [CrossRef]
- Yang, L.; Smith, J.A.; Baeck, M.L.; Bou-Zeid, E.; Jessup, S.M.; Tian, F.; Hu, H. Impact of urbanization on heavy convective precipitation under strong large-scale forcing: A case study over the Milwaukee–Lake Michigan region. J. Hydrometeorol. 2014, 15, 261–278. [Google Scholar]
- Shastri, H.; Paul, S.; Ghosh, S.; Karmakar, S. Impacts of urbanization on Indian summer monsoon rainfall extremes. J. Geophys. Res. Atmos. 2015, 120, 496–516. [Google Scholar] [CrossRef]
- Changnon, S.A. The La Porte weather anomaly—Fact or fiction? Bull. Am. Meteorol. Soc. 1968, 49, 4–11. [Google Scholar] [CrossRef]
- Shepherd, J.M. A review of current investigations of urban-induced rainfall and recommendations for the future. Earth Interact. 2005, 9, 1–27. [Google Scholar] [CrossRef]
- Donmez, B.; Donmez, K.; Diren-Ustun, D.H.; Unal, Y. Urbanization-induced changes in convective and frontal precipitation events in Ankara. Urban Clim. 2022, 46, 101316. [Google Scholar] [CrossRef]
- Lei, C.; Yu, Z.; Sun, X.; Wang, Y.; Yuan, J.; Wang, Q.; Han, L.; Xu, Y. Urbanization effects on intensifying extreme precipitation in the rapidly urbanized Tai Lake Plain in East China. Urban Clim. 2023, 47, 101399. [Google Scholar] [CrossRef]
- Pimonsree, S.; Limsakul, A.; Kammuang, A.; Kachenchart, B.; Kamlangkla, C. Urbanization-induced changes in extreme climate indices in Thailand during 1970–2019. Atmos. Res. 2022, 265, 105882. [Google Scholar]
- Golroudbary, V.R.; Zeng, Y.; Mannaerts, C.M.; Su, Z. Response of extreme precipitation to urbanization over the Netherlands. J. Appl. Meteorol. Climatol. 2019, 58, 645–661. [Google Scholar] [CrossRef]
- Tysa, S.K.; Ren, G.; Zhang, P.; Zhang, S. Impact of urbanization on regional extreme precipitation trends observed at China national station network. Weather Clim. Extrem. 2025, 48, 100760. [Google Scholar] [CrossRef]
- Gouraha, S.; Arya, D.S.; Srivastava, P. How urbanization and terrain characteristics shape precipitation and temperature patterns in complex geographies: A case study of the Doon Valley. Theor. Appl. Climatol. 2025, 156, 427. [Google Scholar] [CrossRef]
- Donmez, K.; Donmez, B.; Diren-Ustun, D.H.; Unal, Y. Boundary-dependent urban impacts on timing, pattern, and magnitude of heavy rainfall in Istanbul. Atmos. Res. 2023, 286, 106681. [Google Scholar]
- Rahmani, F.; Fattahi, M.H. Examining changes in daily rainfall patterns attributable to urbanization: A study of watershed hydrology transformation. Environ. Sci. Pollut. Res. 2025, 32, 18795–18819. [Google Scholar] [CrossRef]
- Huang, X.; Wang, D.; Ziegler, A.D.; Liu, X.; Zeng, H.; Xu, Z.; Zeng, Z. Influence of urbanization on hourly extreme precipitation over China. Environ. Res. Lett. 2022, 17, 044010. [Google Scholar] [CrossRef]
- Fu, Y.; Jiang, S.; Mao, Y.; Wu, G. Urbanization reshapes extreme precipitation metrics in typical urban agglomerations of Eastern China. Atmos. Res. 2024, 300, 107253. [Google Scholar] [CrossRef]
- Oh, S.-G.; Son, S.-W.; Min, S.-K. Possible impact of urbanization on extreme precipitation–temperature relationship in East Asian megacities. Weather Clim. Extrem. 2021, 34, 100401. [Google Scholar] [CrossRef]
- Li, Y.; Wang, W.; Chang, M.; Wang, X. Impacts of urbanization on extreme precipitation in the Guangdong-Hong Kong-Macau greater bay area. Urban Clim. 2021, 38, 100904. [Google Scholar] [CrossRef]
- Ter Maat, H.; Moors, E.; Hutjes, R.; Holtslag, A.; Dolman, A. Exploring the impact of land cover and topography on rainfall maxima in the Netherlands. J. Hydrometeorol. 2013, 14, 524–542. [Google Scholar] [CrossRef]
- Xu, X.; Huang, A.; Zhang, Y.; Yang, X.; Zhao, W. Impact of large-scale topography surrounding the Sichuan Basin on its regional hourly extreme precipitation in summer under specific weather patterns: Multi-case study. J. Geophys. Res. Atmos. 2025, 130, e2024JD042239. [Google Scholar]
- Prudhomme, C.; Reed, D.W. Relationships between extreme daily precipitation and topography in a mountainous region: A case study in Scotland. Int. J. Climatol. A J. R. Meteorol. Soc. 1998, 18, 1439–1453. [Google Scholar] [CrossRef]
- Li, Z.; He, Y.; Theakstone, W.H.; Wang, X.; Zhang, W.; Cao, W.; Du, J.; Xin, H.; Chang, L. Altitude dependency of trends of daily climate extremes in southwestern China, 1961–2008. J. Geogr. Sci. 2012, 22, 416–430. [Google Scholar] [CrossRef]
- Zhang, K.; Pan, S.; Cao, L.; Wang, Y.; Zhao, Y.; Zhang, W. Spatial distribution and temporal trends in precipitation extremes over the Hengduan Mountains region, China, from 1961 to 2012. Quat. Int. 2014, 349, 346–356. [Google Scholar] [CrossRef]
- Djebou, D.C.S.; Singh, V.P.; Frauenfeld, O.W. Analysis of watershed topography effects on summer precipitation variability in the southwestern United States. J. Hydrol. 2014, 511, 838–849. [Google Scholar] [CrossRef]
- Li, S.; Yang, S.; Ran, L. Impacts of changes in land cover and topography on a heavy precipitation event in Central Asia. Atmos. Ocean. Sci. Lett. 2022, 15, 100207. [Google Scholar] [CrossRef]
- Qin, N.X.; Wang, J.N.; Gao, L.; Hong, Y.; Huang, J.L.; Lu, Q.Q. Observed trends of different rainfall intensities and the associated spatiotemporal variations during 1958-2016 in Guangxi, China. Int. J. Climatol. 2021, 41, E2880–E2895. [Google Scholar] [CrossRef]
- Liu, M.X.; Xu, X.L.; Sun, A.Y.; Wang, K.L.; Liu, W.; Zhang, X.Y. Is southwestern China experiencing more frequent precipitation extremes? Environ. Res. Lett. 2014, 9, 14. [Google Scholar] [CrossRef]
- Liu, L.; Xu, Z.X. Regionalization of precipitation and the spatiotemporal distribution of extreme precipitation in southwestern China. Nat. Hazards 2016, 80, 1195–1211. [Google Scholar] [CrossRef]
- Nie, C.J.; Li, H.R.; Yang, L.S.; Ye, B.X.; Dai, E.F.; Wu, S.H.; Liu, Y.; Liao, Y.F. Spatial and temporal changes in extreme temperature and extreme precipitation in Guangxi. Quat. Int. 2012, 263, 162–171. [Google Scholar] [CrossRef]
- Zhang, J.X.; Liu, K.; Wang, M. Downscaling Groundwater Storage Data in China to a 1-km Resolution Using Machine Learning Methods. Remote Sens. 2021, 13, 523. [Google Scholar] [CrossRef]
- Lei, C.G.; Wang, Q.; Wang, Y.F.; Han, L.F.; Yuan, J.; Yang, L.; Xu, Y.P. Spatially non-stationary relationships between urbanization and the characteristics and storage-regulation capacities of river systems in the Tai Lake Plain, China. Sci. Total Environ. 2022, 824, 11. [Google Scholar] [CrossRef] [PubMed]
- Zheng, B.; Cheng, J.; Geng, G.N.; Wang, X.; Li, M.; Shi, Q.R.; Qi, J.; Lei, Y.; Zhang, Q.; He, K.B. Mapping anthropogenic emissions in China at 1 km spatial resolution and its application in air quality modeling. Sci. Bull. 2021, 66, 612–620. [Google Scholar] [CrossRef]
- Tank, A.M.G.K.; Zwiers, F.W.; Zhang, X. Guidelines on Analysis of Extremes in a Changing Climate in Support of Informed Decisions for Adaptation; World Meteorological Organization: Geneva, Switzerland, 2009; p. 72. [Google Scholar]
- Hong, Y.; Ying, S. Characteristics of extreme temperature and precipitation in China in 2017 based on ETCCDI indices. Adv. Clim. Change Res. 2018, 9, 218–226. [Google Scholar]
- Zhang, X.; Feng, Y.; Chan, R. RClimDex: Climate Indecies Calculation Software. R Package, Version 1.9-3; Climate Research Division: Toronto, ON, Canada, 2018.
- Şen, Z. Innovative trend analysis methodology. J. Hydrol. Eng. 2012, 17, 1042–1046. [Google Scholar] [CrossRef]
- Alashan, S. Comparison of sub-series with different lengths using sen-innovative trend analysis. Acta Geophys. 2023, 71, 373–383. [Google Scholar] [CrossRef]
- Sen, Z. Extreme value innovative trend analysis methodology. Int. J. Glob. Warm. 2022, 28, 297–310. [Google Scholar] [CrossRef]
- Körük, A.E.; Kankal, M.; Yildiz, M.B.; Akçay, F.; San, M.R.; Nacar, S. Trend analysis of precipitation using innovative approaches in northwestern Turkey. Phys. Chem. Earth 2023, 131, 16. [Google Scholar] [CrossRef]
- Lei, C.; Wang, Y.; Xu, Y. Spatiotemporal characteristics of different-grade extreme precipitation evolution detected by innovative trend analysis. Theor. Appl. Climatol. 2023, 154, 1119–1136. [Google Scholar] [CrossRef]
- Anselin, L.; Rey, S.J. Modern Spatial Econometrics in Practice: A Guide to GeoDa, GeoDaSpace and PySAL; Geoda Press LLC: Chicago, IL, USA, 2014. [Google Scholar]
- Getis, A. Spatial autocorrelation. In Handbook of Applied Spatial Analysis; Springer: Berlin/Heidelberg, Germany, 2010. [Google Scholar]
- Gao, Y.; Zhao, J.; Han, L. Exploring the spatial heterogeneity of urban heat island effect and its relationship to block morphology with the geographically weighted regression model. Sust. Cities Soc. 2022, 76, 103431. [Google Scholar] [CrossRef]
- Sisman, S.; Aydinoglu, A.C. A modelling approach with geographically weighted regression methods for determining geographic variation and influencing factors in housing price: A case in Istanbul. Land Use Policy 2022, 119, 106183. [Google Scholar] [CrossRef]
- Guo, B.; Wang, X.; Pei, L.; Su, Y.; Zhang, D.; Wang, Y. Identifying the spatiotemporal dynamic of PM2.5 concentrations at multiple scales using geographically and temporally weighted regression model across China during 2015–2018. Sci. Total Environ. 2021, 751, 141765. [Google Scholar] [CrossRef]
- Patakamuri, S.K.; Das, B. Package ‘trendchange’, Version 1.2; CRAN, R-Project: 2022. Available online: https://cran.r-project.org/web/packages/trendchange/index.html (accessed on 1 December 2025).
- Millard, S.P. EnvStats: An R Package for Environmental Statistics; Springer Science & Business Media: Berlin/Heidelberg, Germany, 2013. [Google Scholar]
- Rajeswari, J.; Srinivas, C.; Yesubabu, V.; Hari Prasad, D.; Venkatraman, B. Impacts of urbanization, aerodynamic roughness, and land surface processes on the extreme heavy rainfall over Chennai, India. J. Geophys. Res. Atmos. 2021, 126, e2020JD034017. [Google Scholar] [CrossRef]
- Xie, X.; Lin, K.; Xiao, M.; Zhou, X.; Zhao, G.; Yamazaki, D. How does heavy precipitation of varying durations respond to urbanization in China? Earth’s Future 2024, 12, e2023EF004412. [Google Scholar] [CrossRef]
- Marelle, L.; Myhre, G.; Steensen, B.M.; Hodnebrog, Ø.; Alterskjær, K.; Sillmann, J. Urbanization in megacities increases the frequency of extreme precipitation events far more than their intensity. Environ. Res. Lett. 2020, 15, 124072. [Google Scholar] [CrossRef]
- Lei, C.G.; Pan, C.Y.; Wang, Y.F.; Han, L.F.; Song, S. Urbanization effects on heat waves characterized by high topographic relief in a typical mountainous urban region. Urban Clim. 2025, 62, 14. [Google Scholar] [CrossRef]
- Deng, P.; Zhang, M.; Hu, Q.; Wang, L.; Bing, J. Pattern of spatio-temporal variability of extreme precipitation and flood-waterlogging process in Hanjiang River basin. Atmos. Res. 2022, 276, 106258. [Google Scholar] [CrossRef]
- Xing, Y.; Ni, G.; Yang, L.; Yang, Y.; Xing, P.; Sun, T. Modeling the impacts of urbanization and open water surface on heavy convective rainfall: A case study over the emerging Xiong’an City, China. J. Geophys. Res. Atmos. 2019, 124, 9078–9098. [Google Scholar] [CrossRef]
- Niyogi, D.; Lei, M.; Kishtawal, C.; Schmid, P.; Shepherd, M. Urbanization impacts on the summer heavy rainfall climatology over the eastern United States. Earth Interact. 2017, 21, 1–17. [Google Scholar] [CrossRef]
- Deng, Z.; Wu, X.; Villarini, G.; Wang, Z.; Zeng, Z.; Lai, C. Stronger exacerbation of extreme rainfall at the hourly than daily scale by urbanization in a warming climate. J. Hydrol. 2024, 633, 131025. [Google Scholar] [CrossRef]
- Pathirana, A.; Denekew, H.B.; Veerbeek, W.; Zevenbergen, C.; Banda, A.T. Impact of urban growth-driven landuse change on microclimate and extreme precipitation—A sensitivity study. Atmos. Res. 2014, 138, 59–72. [Google Scholar] [CrossRef]
- Wang, D.; Jiang, P.; Wang, G.; Wang, D. Urban extent enhances extreme precipitation over the Pearl River Delta, China. Atmos. Sci. Lett. 2015, 16, 310–317. [Google Scholar] [CrossRef]











| Categories | EPs | Definition | Unit |
|---|---|---|---|
| Duration | CDD | Longest period of consecutive day days with DP < 1 mm | days |
| CWD | Longest period of consecutive wet days with DP ≥ 1 mm | days | |
| Frequency | R10 | Annual total days when DP ≥ 10 mm | days |
| R20 | Annual total days when DP ≥ 20 mm | days | |
| R30 | Annual total days when DP ≥ 30 mm | days | |
| R50 | Annual total days when DP ≥ 50 mm | days | |
| Intensity | SDII | Average amounts of DP during wet days (DP ≥ 1 mm) | mm/day |
| PTOT | Annual total amounts of DP during wet days (DP ≥ 1 mm) | mm | |
| Magnitude | |||
| P90 sum | Annual total amounts of DP when DP > 90th percentile | mm | |
| P95 sum | Annual total amounts of DP when DP > 95th percentile | mm | |
| P99 sum | Annual total amounts of DP when DP > 99th percentile | mm | |
| RX1 day | Annual maximum 1-day precipitation | mm | |
| RX3 day | Annual maximum consecutive 3-day precipitation | mm | |
| RX5 day | Annual maximum consecutive 5-day precipitation | mm | |
| RX7 day | Annual maximum consecutive 7-day precipitation | mm |
| Land Use Type | Area Percent (%) | Mean Elevation (m) | SD of Elevation |
|---|---|---|---|
| Cropland | 23.328 | 184.246 | 147.678 |
| Forest | 73.402 | 402.490 | 278.568 |
| Shrubland | 0.309 | 582.222 | 375.899 |
| Grassland | 0.039 | 267.235 | 343.830 |
| Water | 1.107 | 107.034 | 43.279 |
| Barrenland | 0.001 | 126.556 | 46.158 |
| Urban areas | 1.814 | 108.638 | 42.125 |
| Scales | CDD | CWD | R10 | R20 | R30 | R50 | SDII | PTOT | P90 Sum | P95 Sum | P99 Sum | RX1 Day | RX3 Day | RX5 Day | RX7 Day |
|---|---|---|---|---|---|---|---|---|---|---|---|---|---|---|---|
| Daily | 0.43 | 0.72 | 0.46 | 0.56 | 0.5 | 0.65 | 0.49 | 0.61 | 0.62 | 0.66 | 0.63 | 0.54 | 0.65 | 0.7 | 0.68 |
| Daytime | 0.33 | 0.42 | 0.48 | 0.58 | 0.5 | 0.58 | 0.6 | 0.5 | 0.57 | 0.58 | 0.59 | 0.57 | 0.5 | 0.61 | 0.58 |
| Nighttime | 0.31 | 0.79 | 0.59 | 0.66 | 0.46 | 0.64 | 0.61 | 0.67 | 0.69 | 0.72 | 0.73 | 0.62 | 0.61 | 0.59 | 0.61 |
| 14 h | 0.42 | 0.48 | 0.5 | 0.57 | 0.42 | 0.43 | 0.56 | 0.67 | 0.67 | 0.67 | 0.64 | 0.52 | 0.54 | 0.52 | 0.53 |
| Average | 0.37 | 0.6 | 0.51 | 0.59 | 0.47 | 0.58 | 0.57 | 0.61 | 0.64 | 0.66 | 0.65 | 0.56 | 0.58 | 0.61 | 0.6 |
Disclaimer/Publisher’s Note: The statements, opinions and data contained in all publications are solely those of the individual author(s) and contributor(s) and not of MDPI and/or the editor(s). MDPI and/or the editor(s) disclaim responsibility for any injury to people or property resulting from any ideas, methods, instructions or products referred to in the content. |
© 2025 by the authors. Licensee MDPI, Basel, Switzerland. This article is an open access article distributed under the terms and conditions of the Creative Commons Attribution (CC BY) license.
Share and Cite
Lei, C.; Li, Y.; Pan, C.; Zhang, J.; Yin, S.; Wang, Y.; Chen, K.; Yang, Q.; Han, L. Spatially Explicit Relationships Between Urbanization and Extreme Precipitation Across Distinct Topographic Gradients in Liuzhou, China. Water 2026, 18, 47. https://doi.org/10.3390/w18010047
Lei C, Li Y, Pan C, Zhang J, Yin S, Wang Y, Chen K, Yang Q, Han L. Spatially Explicit Relationships Between Urbanization and Extreme Precipitation Across Distinct Topographic Gradients in Liuzhou, China. Water. 2026; 18(1):47. https://doi.org/10.3390/w18010047
Chicago/Turabian StyleLei, Chaogui, Yaqin Li, Chaoyu Pan, Jiannan Zhang, Siwei Yin, Yuefeng Wang, Kebing Chen, Qin Yang, and Longfei Han. 2026. "Spatially Explicit Relationships Between Urbanization and Extreme Precipitation Across Distinct Topographic Gradients in Liuzhou, China" Water 18, no. 1: 47. https://doi.org/10.3390/w18010047
APA StyleLei, C., Li, Y., Pan, C., Zhang, J., Yin, S., Wang, Y., Chen, K., Yang, Q., & Han, L. (2026). Spatially Explicit Relationships Between Urbanization and Extreme Precipitation Across Distinct Topographic Gradients in Liuzhou, China. Water, 18(1), 47. https://doi.org/10.3390/w18010047

