Sign in to use this feature.

Years

Between: -

Subjects

remove_circle_outline
remove_circle_outline
remove_circle_outline
remove_circle_outline
remove_circle_outline
remove_circle_outline
remove_circle_outline
remove_circle_outline
remove_circle_outline

Journals

remove_circle_outline
remove_circle_outline
remove_circle_outline
remove_circle_outline
remove_circle_outline
remove_circle_outline
remove_circle_outline
remove_circle_outline
remove_circle_outline
remove_circle_outline
remove_circle_outline
remove_circle_outline
remove_circle_outline
remove_circle_outline

Article Types

Countries / Regions

remove_circle_outline
remove_circle_outline
remove_circle_outline
remove_circle_outline

Search Results (1,340)

Search Parameters:
Keywords = resonant ring

Order results
Result details
Results per page
Select all
Export citation of selected articles as:
13 pages, 1063 KB  
Article
Radiation-Induced Synthesis of a Minocycline-Derived Polycyclic Scaffold with Anti-Inflammatory and Antibacterial Effects
by Gyeong Han Jeong, Hanui Lee, Tae Hoon Kim, Byung Yeoup Chung, Seung Sik Lee and Hyoung-Woo Bai
Molecules 2026, 31(3), 435; https://doi.org/10.3390/molecules31030435 - 27 Jan 2026
Viewed by 48
Abstract
Radiation is widely used as a powerful tool for inducing molecular transformation and expanding chemical diversity; however, its application in clinically relevant antibiotics remains limited. Minocycline (1), a clinically used tetracycline antibiotic, was subjected to gamma irradiation at doses of up [...] Read more.
Radiation is widely used as a powerful tool for inducing molecular transformation and expanding chemical diversity; however, its application in clinically relevant antibiotics remains limited. Minocycline (1), a clinically used tetracycline antibiotic, was subjected to gamma irradiation at doses of up to 30 kGy, resulting in the formation of a previously unreported radiation-induced derivative, minocyclinosin A (2). The structure of the newly generated compound was elucidated by comprehensive spectroscopic analyses, including one- and two-dimensional nuclear magnetic resonance spectroscopy and high-resolution electrospray ionization mass spectrometry, which revealed extensive A-ring cleavage, degradation, and recyclization to form a unique cyclopenta[b]anthracene-type tetracycline scaffold. Biological evaluation revealed that minocyclinosin A exhibited enhanced anti-inflammatory activity by suppressing lipopolysaccharide-induced nitric oxide production in RAW 264.7 macrophages, while maintaining antibacterial activity against skin inflammation-associated Staphylococcus species. High-performance liquid chromatography further demonstrated a clear dose-dependent molecular conversion, with irradiation at 30 kGy affording minocyclinosin A as the major product with a conversion efficiency of approximately 78.3%. Full article
Show Figures

Figure 1

20 pages, 7768 KB  
Article
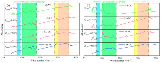
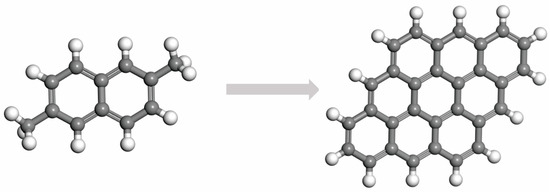
The Evolution Law of Molecular Structure of Vitrain and Durain During Low–Medium Coalification
by Yue Chen, Zan Liu, Huaichang Wang, Changjiang Ji, Liya Wang, Pengpeng Guan, Peilin Wang, Kai Ma and Liyuan Dang
Processes 2026, 14(3), 401; https://doi.org/10.3390/pr14030401 - 23 Jan 2026
Viewed by 139
Abstract
Molecular structural disparities between maceral components are intrinsic factors governing their reactivity and physicochemical behaviors during storage and transportation. To investigate the molecular structural differentiation between vitrain and durain in low- to medium-rank coals (Ro,max = 0.65–1.71%), this study selected samples [...] Read more.
Molecular structural disparities between maceral components are intrinsic factors governing their reactivity and physicochemical behaviors during storage and transportation. To investigate the molecular structural differentiation between vitrain and durain in low- to medium-rank coals (Ro,max = 0.65–1.71%), this study selected samples of long-flame coal and gas coal from the Huanglong Coalfield, coking coal from the Hedong Coalfield, and fat coal from the Weibei Coalfield. The microstructural variations in macroscopic coal components during coalification were analyzed using Fourier transform infrared spectroscopy (FTIR), 13C nuclear magnetic resonance (13C-NMR), and X-ray photoelectron spectroscopy (XPS). The results indicated that the aromatic structures of vitrain are predominantly trisubstituted, with their proportion consistently exceeding that in durain. In contrast, durain exhibits a progressive transition from trisubstituted to pentasubstituted aromatics with increasing coal rank, accompanied by higher aromaticity, condensation degree, and aromatic carbon content. The d002 size of the vitrain decreased from 3.82 to 3.47, while that of the durain decreased from 3.52 to 3.40. Both values showed a gradual decline, with the vitrain exhibiting a larger reduction than the durain. This indicates that the lateral extension of the microcrystalline structure in the durain is more developed, resulting in tighter molecular connections. 13C-NMR analysis further reveals that durain possesses higher falH/fal* and bridge carbon ratios (XBP), along with a lower faS/fa ratio, reflecting a greater degree of aromatic ring condensation. XPS analysis revealed that durain generally contains a higher oxygen-functional group content but lower C-C/C-H content compared to vitrain. Collectively, these findings confirm significant structural divergence between vitrain and durain during coalification, with durain exhibiting more developed aromaticity, structural condensation, and organizational order. Full article
(This article belongs to the Special Issue Phase Behavior Modeling in Unconventional Resources)
Show Figures

Figure 1

12 pages, 4325 KB  
Article
Topological Photonic Crystal Ring Resonator Pressure Sensor in the Optical Communication Range
by Min Wu, Zhuoxin Yang, Hongming Fei and Han Lin
Sensors 2026, 26(2), 659; https://doi.org/10.3390/s26020659 - 19 Jan 2026
Viewed by 215
Abstract
Optical pressure sensors offer the advantages of high sensitivity, immunity to interference, and suitability for use in extreme environments. Based on the defect-immune, unidirectional transmission characteristics of valley photonic crystals (VPCs) and the refractive-index modulation of germanium under different pressures, we designed a [...] Read more.
Optical pressure sensors offer the advantages of high sensitivity, immunity to interference, and suitability for use in extreme environments. Based on the defect-immune, unidirectional transmission characteristics of valley photonic crystals (VPCs) and the refractive-index modulation of germanium under different pressures, we designed a topological ring resonator pressure sensor based on germanium VPCs. The shift of the resonance peak in the optical communication wavelength range with respect to pressure magnitude is studied to realize a pressure-sensing function. The results show that within the range of 0–10 GPa, the wavelength of the single resonance peak of the topological ring resonator pressure sensor shifts from 1580 nm to 1489 nm as the pressure increases. The sensor’s maximum detection sensitivity is 24.34 nm/GPa, and the transmittance across the bandwidth remains consistently above 0.85, with a maximum of 0.97. The germanium-based topological ring resonator pressure sensor features a compact structure with a size of 7.5 μm × 6.5 μm. It can be manufactured using existing nanofabrication technology and will have broad application prospects in the field of integrated photonic chips. Full article
(This article belongs to the Special Issue Recent Advances in Optoelectronic Materials and Device Engineering)
Show Figures

Figure 1

17 pages, 3960 KB  
Article
Tunable Narrow-Linewidth Si3N4 Cascaded Triple-Ring External-Cavity Semiconductor Laser for Coherent Optical Communications
by Tong Wang, Yuchen Hu, Wen Zhou and Ye Wang
Photonics 2026, 13(1), 72; https://doi.org/10.3390/photonics13010072 - 13 Jan 2026
Viewed by 192
Abstract
We propose an external-cavity laser that combines wide tunability with narrow linewidth. The design utilizes a low-loss Si3N4 waveguide and a thermally tuned cascaded triple-ring resonator to enable continuous wavelength tuning. The numerical simulations indicate that the proposed laser exhibits [...] Read more.
We propose an external-cavity laser that combines wide tunability with narrow linewidth. The design utilizes a low-loss Si3N4 waveguide and a thermally tuned cascaded triple-ring resonator to enable continuous wavelength tuning. The numerical simulations indicate that the proposed laser exhibits a tuning range of 64 nm with a sub-kHz linewidth, an SMSR of more than 80 dB, an output power of 24 mW and a linewidth of 193 Hz at 1550 nm. Furthermore, we perform comparative system-level simulations using QPSK and 16QAM coherent optical fiber links at 50 Gbaud over 100 km. Under identical conditions, when the laser linewidth is reduced from 1 MHz level to 193 Hz, the BER of 16QAM decreases from 1.5 × 10−3 to 5.3 × 10−5. These results indicate that a narrow linewidth effectively mitigates phase noise degradation in high-order modulation formats. With its narrow linewidth, wide tuning range, high SMSR, and high output power, this laser serves as a promising on-chip light source for high-resolution sensing and coherent optical communications. Full article
Show Figures

Figure 1

17 pages, 3888 KB  
Article
Design of Wireless Passive Multi-Grid CSRR-SIW Sensor for Temperature and Pressure Monitoring
by Jian Jiang, Tao Di, Keyi Qian, Shang Gao, Linfang Qian, Hao Wang and Peng Gao
Appl. Sci. 2026, 16(2), 803; https://doi.org/10.3390/app16020803 - 13 Jan 2026
Viewed by 140
Abstract
To measure temperature and pressure parameters in harsh environments such as those with high temperature and high pressure, a wireless and passive multi-grid Complementary Split-Ring Resonator and substrate integrated waveguide (MG-CSRR-SIW) structure for a temperature and pressure sensor based on microwave scattering principles [...] Read more.
To measure temperature and pressure parameters in harsh environments such as those with high temperature and high pressure, a wireless and passive multi-grid Complementary Split-Ring Resonator and substrate integrated waveguide (MG-CSRR-SIW) structure for a temperature and pressure sensor based on microwave scattering principles and high-temperature co-fired ceramic (HTCC) technology is proposed. It can measure temperature within 25–1200 °C and pressure within 0–300 kPa. The structural design of the sensor by using high-frequency electromagnetic simulation software contributes to a linear relationship between the measured parameters and the sensor’s return loss (S11). Furthermore, the performance validation of the proposed sensor is implemented by sensor fabrication and experimentation. The test results show that the proposed sensor exhibits good performance of reliability and linearity. The temperature sensitivity is 199.33 kHz/°C and 379.75 kHz/°C in the temperature ranges of 25–475 °C and 475–1200 °C, respectively. In addition, the pressure sensitivity reaches 235.5 kHz/kPa at 800 °C. The maximum relative measurement error is 2.2% and 1.45% in regard to temperature and pressure, respectively. Full article
(This article belongs to the Special Issue Advances in Development and Application of Perception Sensors)
Show Figures

Figure 1

16 pages, 4721 KB  
Article
A Substrate-Integrated Waveguide Filtering Power Divider with Broadside-Coupled Inner-Meander-Slot Complementary Split-Ring Resonator
by Jinjia Hu, Chen Wang, Yongmao Huang, Shuai Ding and Maurizio Bozzi
Micromachines 2026, 17(1), 103; https://doi.org/10.3390/mi17010103 - 13 Jan 2026
Viewed by 254
Abstract
In this work, a substrate-integrated waveguide (SIW) filtering power divider with a modified complementary split-ring resonator (CSRR) is reported. Firstly, by integrating the meander-shaped slots with the conventional CSRR, the proposed inner-meander-slot CSRR (IMSCSRR) can enlarge the total length of the defected slot [...] Read more.
In this work, a substrate-integrated waveguide (SIW) filtering power divider with a modified complementary split-ring resonator (CSRR) is reported. Firstly, by integrating the meander-shaped slots with the conventional CSRR, the proposed inner-meander-slot CSRR (IMSCSRR) can enlarge the total length of the defected slot and increase the width of the split, thus enhancing the equivalent capacitance and inductance. In this way, the fundamental resonant frequency of the IMSCSRR can be effectively decreased without enlarging the circuit size, which can generally help to reduce the physical size by over 35%. Subsequently, to further reduce the circuit size, two IMSCSRRs are separately loaded on the top and bottom metal covers to constitute a broadside-coupled IMSCSRR, which is combined with the SIW. To verify the efficacy of the proposed SIW-IMSCSRR unit cell, a two-way filtering power divider is implemented. It combines the band-selection function of a filter and the power-distribution property of a power divider, thereby enhancing system integration and realizing size compactness. Experimental results show that the proposed filtering power divider achieves a center frequency of 3.53 GHz, a bandwidth of about 320 MHz, an in-band insertion loss of (3 + 1.3) dB, an in-band isolation of over 21 dB, and a size reduction of about 30% compared with the design without broadside-coupling, as well as good magnitude and phase variations. All the results indicate that the proposed filtering power divider achieves a good balance between low loss, high isolation, and compact size, which is suitable for system integration applications in microwave scenarios. Full article
(This article belongs to the Special Issue Microwave Passive Components, 3rd Edition)
Show Figures

Figure 1

21 pages, 30307 KB  
Article
Mechanisms of Concentric Ring Electrodes in Tuning the Performance of Z-Cut Lithium Niobate Ultrasonic Transducers
by Xuesheng Ouyang, Liang Zhong, Jun Zhou, Guanghua Li, Hui Hu, Kai Wang, Yizhe Jia, Hao Dai, Jinlong Mo, Kaiyan Huang and Jishuo Wang
Sensors 2026, 26(2), 481; https://doi.org/10.3390/s26020481 - 11 Jan 2026
Viewed by 242
Abstract
Z-cut lithium niobate single crystal demonstrates considerable promise for contact-based ultrasonic nondestructive testing and structural health monitoring (SHM) transducers due to its high piezoelectric coefficients, strong electromechanical coupling capability, and environmentally friendly lead-free composition. As a simulation-based theoretical exploration, this study systematically investigates [...] Read more.
Z-cut lithium niobate single crystal demonstrates considerable promise for contact-based ultrasonic nondestructive testing and structural health monitoring (SHM) transducers due to its high piezoelectric coefficients, strong electromechanical coupling capability, and environmentally friendly lead-free composition. As a simulation-based theoretical exploration, this study systematically investigates the impact of gap spacing and electrode width in concentric ring configurations on the resonant characteristics and pulse-echo response of ultrasonic transducers by establishing a parametrized finite element model. Numerical simulations reveal that electrode geometry plays a critical role in determining both the effective electromechanical coupling coefficient and echo signal strength. Optimizing the electrode ring width achieved an effective electromechanical coupling coefficient (keff) of 35.2%, while systematic enlargement of the electrode gap further enhanced this value to 50.8%. The study also demonstrates that optimized ring width and adjusted electrode spacing increased the echo signal’s peak-to-peak amplitude (Vpp) by factors of 4.94 and 2.03, respectively, compared to the poorest-performing configuration within each parameter group. This study establishes that precise design of concentric electrode configurations serves as an effective strategy for tuning lithium niobate ultrasonic transducer characteristics, providing critical design guidelines for developing high-performance ultrasonic transducers for solid medium coupling. Full article
(This article belongs to the Section Electronic Sensors)
Show Figures

Figure 1

40 pages, 3330 KB  
Review
EMC-Friendly Gate Driver Design in GaN-Based DC-DC Converters for Automotive Electronics: A Review
by Xinyu Wu, Li Zhang, Haitao You, Shizeng Zhang, Dimitar Nikolov and Qiang Cui
Electronics 2026, 15(2), 283; https://doi.org/10.3390/electronics15020283 - 8 Jan 2026
Viewed by 379
Abstract
The imperative for EMC-optimized gate drivers in Gallium Nitride (GaN)-based automotive DC-DC converters stems from the stringent CISPR 25 standards and GaN’s intrinsic high-speed switching characteristics, which paradoxically exacerbate electromagnetic interference (EMI). This review distinguishes itself by proposing a novel frequency-domain classification framework [...] Read more.
The imperative for EMC-optimized gate drivers in Gallium Nitride (GaN)-based automotive DC-DC converters stems from the stringent CISPR 25 standards and GaN’s intrinsic high-speed switching characteristics, which paradoxically exacerbate electromagnetic interference (EMI). This review distinguishes itself by proposing a novel frequency-domain classification framework (Zone I: <50 MHz for conducted harmonics; Zone II: >50 MHz for switching noise and ringing), which systematically organizes and assesses gate driving techniques against the triad of fundamental GaN EMC challenges: pronounced capacitance nonlinearity, low threshold voltage, and extreme parasitic sensitivity. Unlike prior surveys that primarily catalog techniques, the analysis elevates the gate driver from a simple switch interface to the central “electromagnetic actuator” of the power stage, explicitly elucidating its pivotal role in mediating the critical trade-offs among switching speed, loss, and EMC performance. A comprehensive evaluation and comparison of advanced techniques—from spread-spectrum modulation for Zone I to adaptive current shaping and resonant topologies for Zone II—are provided, alongside an analysis of their design trade-offs. Furthermore, this review presents a first-of-its-kind, phased implementation roadmap towards holistic EMC compliance, integrating intelligent hybrid control, heterogeneous integration, and system-level co-design. This review bridges the gap between device physics and system engineering, offering structured design methodologies and a clear future direction for achieving electromagnetic integrity in next-generation automotive power electronics. Full article
Show Figures

Figure 1

24 pages, 7995 KB  
Article
Study on Degradation of Sulfamethoxazole in Water by Activated Persulfate of Molybdenite Supported on Biochar
by Xuemei Li, Jian Wang, Xinglin Chen, Shengnan Li and Hai Lu
Molecules 2026, 31(2), 211; https://doi.org/10.3390/molecules31020211 - 7 Jan 2026
Viewed by 328
Abstract
In this study, the advanced oxidation system of peroxymonosulfate (PMS) was activated by molybdenite supported on biochar (Molybdenite@BC), and the degradation efficiency, influencing factors and degradation mechanism of sulfamethoxazole (SMX) were explored through experiments. Molybdenite@BC, a composite material used in the study, was [...] Read more.
In this study, the advanced oxidation system of peroxymonosulfate (PMS) was activated by molybdenite supported on biochar (Molybdenite@BC), and the degradation efficiency, influencing factors and degradation mechanism of sulfamethoxazole (SMX) were explored through experiments. Molybdenite@BC, a composite material used in the study, was prepared by pyrolysis at high temperature. The optimum pyrolysis temperature was 700 °C, and the mass ratio of molybdenite to biochar (BC) was 1:3. By changing dosage of Molybdenite@BC, pH value, initial concentration of PMS, and the types and concentration of inorganic anions, the effects of various factors on SMX degradation were systematically studied. The optimum reaction conditions of the Molybdenite@BC/PMS process were as follows: Molybdenite@BC dosage was 100 mg/L, PMS concentration was 0.2 mM, pH value was 6.9 ± 0.2, and initial SMX concentration was 6 mg/L. Under these conditions, the degradation rate of SMX was 97.87% after 60 min and 99.06% after 120 min. The material characterization analysis showed that Molybdenite@BC had a porous structure and rich active sites, which was beneficial to the degradation of pollutants. After the composite material was used, the peaks of MoO2 and MoS2 became weaker, which indicated that there was some loss of molybdenum from the material structure. Electron paramagnetic resonance (EPR) and radical quenching experiments revealed that Molybdenite@BC effectively catalyzed PMS to generate various reactive oxygen radicals and non-free radicals, including singlet oxygen (1O2), hydroxyl radical (OH), sulfate radical (SO4•−) and superoxide radical (O2). 1O2 played a leading role in the degradation of SMX, while OH and SO4•− had little influence. The intermediate products of the degradation of SMX in Molybdenite@BC/PMS system were analyzed by liquid chromatography–tandem mass spectrometry (LC–MS). The results showed that there were nine main intermediate products in the process of degradation, and the overall toxicity tended to decrease during the degradation of SMX. The degradation path analysis showed that with the gradual ring opening and bond breaking of SMX, small molecular compounds were generated, which were finally mineralized into H2O, CO2, CO32−, H2SO4 and other substances. The research results confirmed that the Molybdenite@BC/PMS process provided a feasible new method for the degradation of SMX in water. Full article
Show Figures

Figure 1

16 pages, 6529 KB  
Article
Wideband Circularly Polarized Slot Antenna Using a Square-Ring Notch and a Nonuniform Metasurface
by Seung-Heon Kim, Yong-Deok Kim, Tu Tuan Le and Tae-Yeoul Yun
Appl. Sci. 2026, 16(2), 634; https://doi.org/10.3390/app16020634 - 7 Jan 2026
Viewed by 294
Abstract
Wearable antennas for wireless sensor network (WSN) applications require circularly polarized (CP) radiation to maintain stable communication link under human body movement and complex environments. However, many existing wearable CP antennas rely on either linearly polarized (LP) or CP radiator with a single [...] Read more.
Wearable antennas for wireless sensor network (WSN) applications require circularly polarized (CP) radiation to maintain stable communication link under human body movement and complex environments. However, many existing wearable CP antennas rely on either linearly polarized (LP) or CP radiator with a single axial ratio (AR) mode combined with external polarization conversion structures, which limit the achievable axial ratio bandwidth (ARBW). In this work, an all-textile wideband CP antenna with a square-ring notched slot radiator, a 50 Ω microstrip line, and a 3 × 3 nonuniform metasurface (MTS) is proposed for 5.85 GHz WSN applications. Unlike conventional CP generation approaches, the square-ring notched slot, analyzed using characteristic mode analysis (CMA), directly excites three distinct AR modes, enabling potential wideband CP radiation. The nonuniform MTS further improves IBW performance by exciting additional surface wave resonances. Moreover, the nonuniform MTS further enhances ARBW by redirecting the incident wave into an orthogonal direction with equivalent amplitude and a 90° phase difference at higher frequency region. The proposed antenna is composed of conductive textile and felt substrates, offering flexibility for wearable applications. The proposed antenna is measured in free space, on human bodies, and fresh pork in an anechoic chamber. The measured results show a broad IBW and ARBW of 84.52% and 43.56%, respectively. The measured gain and radiation efficiency are 4.47 dBic and 68%, respectively. The simulated specific absorption rates (SARs) satisfy both US and EU standards. Full article
(This article belongs to the Special Issue Advances in Wireless Sensor Networks and Communication Technology)
Show Figures

Figure 1

16 pages, 1936 KB  
Article
L-Shell Photon Excitation Cross Sections for the Chlorine Isonuclear Sequence Clq+ (q=1−4): An Experimental Study
by Jean-Paul Mosnier, Eugene T. Kennedy, Denis Cubaynes, Ségolène Guilbaud and Jean-Marc Bizau
Atoms 2026, 14(1), 3; https://doi.org/10.3390/atoms14010003 - 4 Jan 2026
Viewed by 344
Abstract
We report experimental measurements of the absolute photoionization cross sections for chlorine ions in different stages of ionization, over photon energy ranges corresponding to the L-shell (2s and 2p subshells) excitations. Single, double and triple photoionization channels were investigated for the ions Cl [...] Read more.
We report experimental measurements of the absolute photoionization cross sections for chlorine ions in different stages of ionization, over photon energy ranges corresponding to the L-shell (2s and 2p subshells) excitations. Single, double and triple photoionization channels were investigated for the ions Cl+, Cl2+, Cl3+ and Cl4+. The measurements were performed on the PLéIADES beamline at the SOLEIL radiation storage ring facility, using the Multi-Analysis Ion Apparatus (MAIA). Resonance energies and line strengths are provided for the isonuclear sequence and the evolution of the inner shell photoionization behaviour is demonstrated for the chlorine ions as the degree of ionization is increased. While dominated by photoionization from the corresponding ground state ions, the photoion yields may also contain contributions from low-lying metastable states. The results provide useful data on these ions for plasma modelling and can serve as benchmarking experimental data for future atomic theoretical calculations. Full article
(This article belongs to the Section Atomic, Molecular and Nuclear Spectroscopy and Collisions)
Show Figures

Figure 1

17 pages, 9023 KB  
Article
Plasmonic Sensor Based on an MIM Waveguide Coupled with a Ring–Bridge–Rounded Square Resonator
by Weixin Liu, Shubin Yan, Zhenyang Xu, Yang Cui, Biyi Huang, Guang Liu, Di Zheng and Taiquan Wu
Photonics 2026, 13(1), 34; https://doi.org/10.3390/photonics13010034 - 30 Dec 2025
Viewed by 320
Abstract
Fano resonance sensors based on metal–insulator–metal (MIM) waveguides often face the challenge of balancing high sensitivity (S) and a high figure of merit (FOM). In this work, a high-performance refractive index sensor is proposed, consisting of a straight MIM waveguide side-coupled to a [...] Read more.
Fano resonance sensors based on metal–insulator–metal (MIM) waveguides often face the challenge of balancing high sensitivity (S) and a high figure of merit (FOM). In this work, a high-performance refractive index sensor is proposed, consisting of a straight MIM waveguide side-coupled to a novel ring–bridge–rounded square (RBS) resonator. The transmission characteristics and the formation mechanism of Fano resonance are systematically analyzed using the finite element method (FEM). The results demonstrate that the synergistic introduction of rounded square units and an internal bridge structure significantly enhances electromagnetic field localization and optimizes the coupling strength. The optimized device achieves a remarkable refractive index sensitivity of 3268 nm/RIU (refractive index unit, RIU) and a high FOM of 55.4. Furthermore, by employing ethanol as the filling medium, the proposed configuration functions as a temperature sensor, exhibiting a high linear sensitivity of 1.644 nm/°C over the range of −70 °C to 70 °C. The proposed RBS resonator holds promise for compact and high-precision nanophotonic sensing applications. Full article
Show Figures

Figure 1

17 pages, 3101 KB  
Article
Design and Primary Investigations of a Double Ring Loop Antenna for Ice, Frost and Wildfire Detection in Early Warning Systems
by Rula Alrawashdeh
Sensors 2026, 26(1), 155; https://doi.org/10.3390/s26010155 - 25 Dec 2025
Viewed by 399
Abstract
In this paper, a flexible rectangular loop antenna is designed and proposed for ice, frost and wildfire detection. The antenna is composed of two concentric rings made of a flexible conductor. The proposed antenna was responsive to different materials based on distinct shifts [...] Read more.
In this paper, a flexible rectangular loop antenna is designed and proposed for ice, frost and wildfire detection. The antenna is composed of two concentric rings made of a flexible conductor. The proposed antenna was responsive to different materials based on distinct shifts in the resonant frequency, which was employed to differentiate between these materials. The antenna provides a wide response and sensitivity range to detect ice or frost with relative permittivity close to 3 and water with relative permittivity close to 72 at the same time. This wide sensitivity level is attributed to the internal loop which works with the external ring to form a capacitor with a capacitance varying with the relative permittivity of the material under test. The internal loop also enhances coupling with the material under test and fine-tunes the antenna’s response. The antenna achieved a maximum radiation efficiency of 97.1% and gain of 2.83 dBi at 2.45 GHz across the tested scenarios involving frost and ice. It also obtains a maximum radiation efficiency and gain of up to 6.67% and −8.27 dBi, respectively, for water at 40 °C and 50 °C, respectively. Additionally, the antenna preserves the same direction of maximum radiation for all of the investigated materials, which minimizes constraints on the receiving antenna’s radiation pattern requirements. The proposed antenna features simplicity, robust performance and a wide sensitivity range over temperatures between 0 and 50 °C, which makes it a good candidate for environmental monitoring. Full article
(This article belongs to the Section Environmental Sensing)
Show Figures

Figure 1

20 pages, 2685 KB  
Article
Synthesis and Gas Permeability of Polynorbornene Dicarboximides Bearing Sulfonyl Moieties
by Alejandro Onchi, Lisandra Rubio-Rangel, Arlette A. Santiago, Brian Omar Marín-Méndez, Mar López-González and Joel Vargas
Polymers 2026, 18(1), 62; https://doi.org/10.3390/polym18010062 - 25 Dec 2025
Viewed by 519
Abstract
This work reports on the synthesis and ring-opening metathesis polymerization (ROMP) of two novel homologous sulfonyl-containing norbornene dicarboximide monomers, specifically, N-4-(trifluoromethylsulfonyl)phenyl-norbornene-5,6-dicarboximide (1a) and N-4-(trifluoromethylsulfonyl)phenyl-7-oxanorbornene-5,6-dicarboximide (1b) using the Grubbs 2nd generation catalyst (I). The polymers are [...] Read more.
This work reports on the synthesis and ring-opening metathesis polymerization (ROMP) of two novel homologous sulfonyl-containing norbornene dicarboximide monomers, specifically, N-4-(trifluoromethylsulfonyl)phenyl-norbornene-5,6-dicarboximide (1a) and N-4-(trifluoromethylsulfonyl)phenyl-7-oxanorbornene-5,6-dicarboximide (1b) using the Grubbs 2nd generation catalyst (I). The polymers are thoroughly characterized by nuclear magnetic resonance (NMR), Fourier transform infrared spectroscopy (FT-IR), thermomechanical analysis (TMA), thermogravimetric analysis (TGA), atomic force microscopy (AFM), and X-ray diffraction (XRD), among other techniques. A comparative study of gas transport in membranes based on these ROMP-prepared polymers is performed and the gases studied are hydrogen, oxygen, nitrogen, carbon dioxide, methane, ethylene and propylene. It is found that the presence of sulfonyl pendant groups in the polymer backbone increases the gas permselectivity in slight detriment of the gas permeability compared to a polynorbornene dicarboximide lacking sulfonyl groups. The membrane of the sulfonyl-containing polymer with an oxygen heteroatom in the cyclopentane ring, 2b, is also found to have one of the largest permselectivity coefficients reported to date for the separation of H2/C3H6 in glassy polynorbornene dicarboximides. Full article
(This article belongs to the Special Issue Advanced Polymeric Membranes: From Fabrication to Application)
Show Figures

Graphical abstract

21 pages, 3571 KB  
Article
A Linear and High-Sensitivity Microwave Biosensor on a FR-4 Substrate for Aqueous Glucose Monitoring Using a Concentric Square-Shaped Split-Ring Resonator
by Khouloud Jomaa, Sehmi Saad, Darine Kaddour, Pierre Lemaître-Auger and Hatem Garrab
Sensors 2026, 26(1), 131; https://doi.org/10.3390/s26010131 - 24 Dec 2025
Viewed by 502
Abstract
Non-invasive glucose monitoring remains a significant challenge in diabetes management, with existing approaches often limited by poor accuracy, high cost, or patient discomfort. Microwave-based biosensors offer a promising label-free alternative by exploiting the dielectric contrast between glucose and water. This paper presents a [...] Read more.
Non-invasive glucose monitoring remains a significant challenge in diabetes management, with existing approaches often limited by poor accuracy, high cost, or patient discomfort. Microwave-based biosensors offer a promising label-free alternative by exploiting the dielectric contrast between glucose and water. This paper presents a compact, dual-band concentric square-shaped split-ring resonator (SRR-type) biosensor fabricated on a low-cost FR-4 substrate for aqueous glucose detection. The sensor leverages electric field confinement in inter-ring gaps to transduce glucose-induced permittivity changes into measurable shifts in resonance frequency and reflection coefficient. Experimental results demonstrate a linear, monotonic response across the clinical range up to 250 mg/dL, with a frequency-domain sensitivity of 1.964 MHz/(mg/dL) and amplitude-domain sensitivity of 0.0332 dB/(mg/dL), achieving high coefficients of determination (R2 = 0.9956 and 0.9927, respectively). The design achieves a normalized size of 0.137 λg2, combining high sensitivity and compact size within a scalable platform. Operating in the UWB-adjacent band (2.76–3.25 GHz), the proposed biosensor provides a practical, reproducible, and PCB-compatible solution for next-generation label-free glucose monitoring. Full article
(This article belongs to the Section Biosensors)
Show Figures

Figure 1

Back to TopTop