Sign in to use this feature.

Years

Between: -

Subjects

remove_circle_outline
remove_circle_outline
remove_circle_outline
remove_circle_outline
remove_circle_outline
remove_circle_outline
remove_circle_outline
remove_circle_outline
remove_circle_outline

Journals

remove_circle_outline
remove_circle_outline
remove_circle_outline
remove_circle_outline
remove_circle_outline
remove_circle_outline
remove_circle_outline
remove_circle_outline
remove_circle_outline

Article Types

Countries / Regions

remove_circle_outline
remove_circle_outline
remove_circle_outline
remove_circle_outline
remove_circle_outline

Search Results (1,200)

Search Parameters:
Keywords = resonant converters

Order results
Result details
Results per page
Select all
Export citation of selected articles as:
19 pages, 27717 KB  
Article
Acoustic–Electric Conversion Characteristics of a Quadruple Parallel-Cavity Helmholtz Resonator-Based Triboelectric Nanogenerator (4C–HR TENG)
by Xinjun Li, Chaoming Huang and Zhilin Wang
Processes 2026, 14(2), 341; https://doi.org/10.3390/pr14020341 - 18 Jan 2026
Abstract
This paper presents the design and fabrication of a triboelectric nanogenerator based on a Quadruple Parallel-cavity Helmholtz Resonator (4C–HR TENG) for the efficient harvesting of noise energy in marine engine room environments. The device utilizes sound waves to drive periodic contact and separation [...] Read more.
This paper presents the design and fabrication of a triboelectric nanogenerator based on a Quadruple Parallel-cavity Helmholtz Resonator (4C–HR TENG) for the efficient harvesting of noise energy in marine engine room environments. The device utilizes sound waves to drive periodic contact and separation between polytetrafluoroethylene (PTFE) particles in the resonant cavity and the vibrating diaphragm as well as the upper electrode plate, thereby converting sound energy into mechanical energy and finally into electrical energy. The device consists of an acoustic waveguide with a length of 350 mm and both width and height of 60 mm, along with a Helmholtz Resonator with a diameter of 60 mm and a height of 40 mm. Experimental results indicate that under resonance conditions with a sound pressure level of 109.8 dB and a frequency of 110 Hz, the device demonstrates excellent output performance, achieving a peak output voltage of 250 V and a current of 4.85 μA. We analyzed and investigated the influence mechanism of key parameters (filling ratio, sound pressure level, the height between the electrode plates, and particle size) on the output performance. Through COMSOL Multiphysics simulation analysis, the sound pressure enhancement effect and the characteristic of concentrated diaphragm center displacement at the first-order resonance frequency were revealed, verifying the advantage of the four-cavity structure in terms of energy distribution uniformity. In practical applications, the minimum responsive sound pressure level corresponding to the operating frequency range of the 4C–HR TENG was determined. The output power reaches a maximum of 0.27 mW at a load resistance of 50 MΩ. At a sound pressure level of 115.1 dB, the device can charge a 1 μF capacitor to 4.73 V in just 32 s and simultaneously illuminate 180 LEDs in real-time, demonstrating its potential for environmental noise energy harvesting and micro-energy supply applications. This study provides new insights and experimental evidence for the efficient recovery of noise energy. Full article
(This article belongs to the Section Energy Systems)
Show Figures

Figure 1

1304 KB  
Proceeding Paper
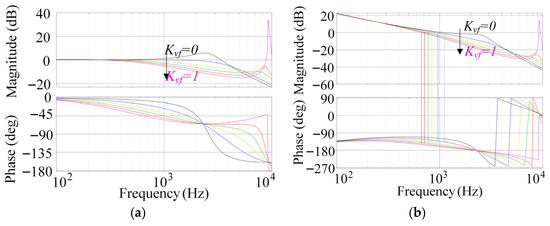
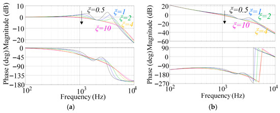
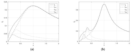
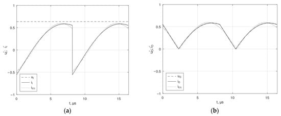
Study of the Effect of Higher-Order Harmonics on the Frequency Response Analysis of Series Resonant Converter
by Dimitar Spirov, Angel Lichev, Vasil Mihov, Yasen Madankov and Hristo Vargov
Eng. Proc. 2026, 122(1), 11; https://doi.org/10.3390/engproc2026122011 - 15 Jan 2026
Abstract
This paper presents an investigation of the influence of higher-order harmonics on the frequency-response characteristics of a full-bridge series-resonant DC-DC converter. A Fourier series-based analytical method is developed to include these harmonics, providing a more accurate representation of voltage and current waveforms within [...] Read more.
This paper presents an investigation of the influence of higher-order harmonics on the frequency-response characteristics of a full-bridge series-resonant DC-DC converter. A Fourier series-based analytical method is developed to include these harmonics, providing a more accurate representation of voltage and current waveforms within the resonant tank, as well as in the converter input and output. The frequency characteristics, total harmonic distortion (THD) and ripple factors of the converter are derived for various quality factors and normalized frequencies using GNU Octave for computational modeling. The results reveal that the higher-order harmonics considerably affect the shape and amplitude of the resonant current, especially below the resonant frequency. Experimental validation using a laboratory prototype demonstrates good correlation with the theoretical predictions obtained by the Fourier series analysis, whereas the FHA method shows noticeable deviations. The proposed approach offers improved precision and can serve as a practical tool for the filter design and performance optimization of resonant power converters. Full article
Show Figures

Figure 1

38 pages, 13699 KB  
Review
A Comprehensive Review of Magnetic Coupling Mechanisms, Compensation Networks, and Control Strategies for Electric Vehicle Wireless Power Transfer Systems
by Yanxia Wu, Pengqiang Nie, Zhenlin Wang, Lijuan Wang, Seiji Hashimoto and Takahiro Kawaguchi
Processes 2026, 14(2), 287; https://doi.org/10.3390/pr14020287 - 14 Jan 2026
Viewed by 148
Abstract
Wireless power transfer (WPT) has emerged as a key enabling technology for the large-scale adoption of electric vehicles (EVs), offering enhanced charging flexibility, improved safety, and seamless integration with intelligent transportation and renewable energy infrastructures. This paper presents a comprehensive review and technical [...] Read more.
Wireless power transfer (WPT) has emerged as a key enabling technology for the large-scale adoption of electric vehicles (EVs), offering enhanced charging flexibility, improved safety, and seamless integration with intelligent transportation and renewable energy infrastructures. This paper presents a comprehensive review and technical synthesis of WPT technologies spanning both near-field and far-field domains, including inductive power transfer (IPT), magnetically coupled resonant WPT (MCR-WPT), capacitive power transfer (CPT), microwave power transfer (MPT), and laser wireless charging (LPT). Particular emphasis is placed on MCR-WPT, the most widely adopted approach for EV wireless charging, for which the coupler structures, resonant compensation networks, power converter architectures, and control strategies are systematically analyzed. The review further identifies that hybrid WPT architectures, adaptive compensation design and wide-coverage coupling mechanisms will be central to enabling high-power, long-distance, and misalignment-resilient wireless charging solutions for next-generation electric transportation systems. Full article
Show Figures

Figure 1

16 pages, 4985 KB  
Article
Impact of Asymmetrical Leakage Inductance on a 380 V–12 V LLC Converter with Synchronous Rectifier for DC Transformer Application
by Jinshu Lin, Hui Li, Shan Yin, Chen Song, Xi Liu, Honglang Zhang and Minghai Dong
Energies 2026, 19(2), 382; https://doi.org/10.3390/en19020382 - 13 Jan 2026
Viewed by 230
Abstract
High-density 380 V–12 V LLC resonant converters typically employ planar transformers with integrated leakage inductance. To achieve Zero-Voltage Switching (ZVS), an air gap is introduced to adjust the magnetizing inductance (Lm). However, this gap alters the internal magnetic [...] Read more.
High-density 380 V–12 V LLC resonant converters typically employ planar transformers with integrated leakage inductance. To achieve Zero-Voltage Switching (ZVS), an air gap is introduced to adjust the magnetizing inductance (Lm). However, this gap alters the internal magnetic field (H) distribution. In Center-Tapped (CT) structures, this alteration leads to asymmetric leakage inductances between the positive and negative half-cycles, causing resonant frequency mismatch and performance degradation, particularly under light-load conditions. In this work, the asymmetrical leakage inductance effect in a CT transformer for a 380 V–12 V LLC resonant converter is systematically investigated. A mathematical model is derived to quantify the leakage inductance distribution, revealing that the relative position between the air gap and the windings significantly affects the symmetry. Based on this modeling analysis, the centralized assembly method is identified as the optimal solution to ensure impedance symmetry. The accuracy of the proposed model and the effectiveness of this structure are validated through Finite Element Analysis (FEA) simulations and a hardware prototype of a 250-W, 600-kHz LLC converter. Results demonstrate that this method eliminates the approximately 11% leakage inductance discrepancy (1.8 μH vs. 1.6 μH), ensuring stable operation across the full load range. Full article
(This article belongs to the Section F3: Power Electronics)
Show Figures

Figure 1

19 pages, 3913 KB  
Article
Wide Range Dual Active Half-Bridge Resonant Converter with PWM Control and Load-Independent Voltage Gain Characteristics
by Jingtao Xu, Sirui Huang and Lulin Zhang
Electronics 2026, 15(2), 346; https://doi.org/10.3390/electronics15020346 - 13 Jan 2026
Viewed by 178
Abstract
This paper proposes a fixed frequency pulse width modulation (PWM) for a dual active half-bridge resonant converter. The wide voltage range can be achieved without adding any additional components, and the voltage gain characteristic is independent of the load. Meanwhile, all switches can [...] Read more.
This paper proposes a fixed frequency pulse width modulation (PWM) for a dual active half-bridge resonant converter. The wide voltage range can be achieved without adding any additional components, and the voltage gain characteristic is independent of the load. Meanwhile, all switches can achieve full range zero voltage switching (ZVS). The driving logic is unified between the primary and secondary sides, allowing for the implementation of both boost and buck modes. Hence, the control logic is simple. In addition, the multiple-order harmonic analysis of the resonant tank is proposed without complex time-domain calculations. Hence, the expression of voltage gain, current characteristics, and soft switching conditions can be conveniently analyzed. Finally, a 500 W experimental prototype was built. The experimental results prove the effectiveness and superiority of the proposed solution. Full article
(This article belongs to the Special Issue Modelling, Design and Implementation of Power Electronic Converters)
Show Figures

Figure 1

14 pages, 3308 KB  
Article
Design of a Low-Noise Electromagnetic Flow Converter Based on Dual-Frequency Sine Excitation
by Haichao Cai, Qingrui Zeng, Yujun Xue, Qiaoyu Xu and Xiaokang Yang
Appl. Sci. 2026, 16(2), 747; https://doi.org/10.3390/app16020747 - 11 Jan 2026
Viewed by 119
Abstract
Electromagnetic flowmeters face significant challenges in measuring complex fluids, characterized by weak flow signals and severe noise interference. Conventional solutions, such as dual-frequency rectangular wave excitation, suffer from multiple drawbacks including rich harmonic components, high electromagnetic noise during switching transitions, a propensity for [...] Read more.
Electromagnetic flowmeters face significant challenges in measuring complex fluids, characterized by weak flow signals and severe noise interference. Conventional solutions, such as dual-frequency rectangular wave excitation, suffer from multiple drawbacks including rich harmonic components, high electromagnetic noise during switching transitions, a propensity for resonance which shortens stabilization time, reduced sampling windows, and complex circuit implementation. Similarly, traditional single-frequency excitation struggles to balance zero stability with the suppression of slurry noise. To address these limitations, this paper proposes a novel converter design based on dual-frequency sinusoidal wave excitation. A pure hardware circuit is used to generate the composite excitation signal, which superimposes low-frequency and high-frequency components. This approach eliminates the need for a master control chip in signal generation, thereby reducing both circuit complexity and computational resource allocation. The signal processing chain employs a technique of “high-order Butterworth separation filtering combined with synchronous demodulation,” effectively suppressing power frequency, orthogonal, and in-phase interference, achieving an improvement in interference rejection by approximately three orders of magnitude (1000×). Experimental results show that the proposed converter featured simplified circuitry, achieved a measurement accuracy of class 0.5, and validated the overall feasibility of the scheme. Full article
(This article belongs to the Section Electrical, Electronics and Communications Engineering)
Show Figures

Figure 1

40 pages, 3330 KB  
Review
EMC-Friendly Gate Driver Design in GaN-Based DC-DC Converters for Automotive Electronics: A Review
by Xinyu Wu, Li Zhang, Haitao You, Shizeng Zhang, Dimitar Nikolov and Qiang Cui
Electronics 2026, 15(2), 283; https://doi.org/10.3390/electronics15020283 - 8 Jan 2026
Viewed by 289
Abstract
The imperative for EMC-optimized gate drivers in Gallium Nitride (GaN)-based automotive DC-DC converters stems from the stringent CISPR 25 standards and GaN’s intrinsic high-speed switching characteristics, which paradoxically exacerbate electromagnetic interference (EMI). This review distinguishes itself by proposing a novel frequency-domain classification framework [...] Read more.
The imperative for EMC-optimized gate drivers in Gallium Nitride (GaN)-based automotive DC-DC converters stems from the stringent CISPR 25 standards and GaN’s intrinsic high-speed switching characteristics, which paradoxically exacerbate electromagnetic interference (EMI). This review distinguishes itself by proposing a novel frequency-domain classification framework (Zone I: <50 MHz for conducted harmonics; Zone II: >50 MHz for switching noise and ringing), which systematically organizes and assesses gate driving techniques against the triad of fundamental GaN EMC challenges: pronounced capacitance nonlinearity, low threshold voltage, and extreme parasitic sensitivity. Unlike prior surveys that primarily catalog techniques, the analysis elevates the gate driver from a simple switch interface to the central “electromagnetic actuator” of the power stage, explicitly elucidating its pivotal role in mediating the critical trade-offs among switching speed, loss, and EMC performance. A comprehensive evaluation and comparison of advanced techniques—from spread-spectrum modulation for Zone I to adaptive current shaping and resonant topologies for Zone II—are provided, alongside an analysis of their design trade-offs. Furthermore, this review presents a first-of-its-kind, phased implementation roadmap towards holistic EMC compliance, integrating intelligent hybrid control, heterogeneous integration, and system-level co-design. This review bridges the gap between device physics and system engineering, offering structured design methodologies and a clear future direction for achieving electromagnetic integrity in next-generation automotive power electronics. Full article
Show Figures

Figure 1

33 pages, 13054 KB  
Article
Resonance Suppression Method Based on Virtual Filter for Grid-Following and Grid-Forming Converter Interconnected Systems
by Lei Zhang, Guoju Zhang, Xu Liu, Peng Yang and Wei Pei
Appl. Sci. 2026, 16(2), 603; https://doi.org/10.3390/app16020603 - 7 Jan 2026
Viewed by 96
Abstract
With the advancement of power electronics technology, converters achieve compactness and high power density by increasing switching frequency and reducing passive components. However, this compromises the filtering capability to suppress high-frequency harmonics and intensifies high-frequency resonance issues in multi-machine interconnected systems. The problem [...] Read more.
With the advancement of power electronics technology, converters achieve compactness and high power density by increasing switching frequency and reducing passive components. However, this compromises the filtering capability to suppress high-frequency harmonics and intensifies high-frequency resonance issues in multi-machine interconnected systems. The problem becomes even more complex in grid-following (GFL) and grid-forming (GFM) converter interconnected systems due to their distinct dynamic characteristics. Traditional active damping methods fail to effectively mitigate such high-frequency resonances. For GFL converters, this paper investigates the interaction mechanisms between various active damping techniques and high-frequency harmonics, and proposes a virtual-filter-based active damping method that feeds back capacitor voltage through a quasi-resonant controller. This approach effectively suppresses high-frequency resonance, maintains high control bandwidth, and avoids the drawback of conventional capacitor-voltage feedforward, which tends to amplify high-frequency disturbances. For GFL-GFM interconnected systems, the paper further analyzes how different active damping strategies affect system damping characteristics and the interaction between GFL and GFM converters, leading to a rational active damping configuration. The proposed scheme successfully suppresses high-frequency resonance while preserving fast dynamic response, with experimental results confirming its effectiveness and feasibility. Full article
(This article belongs to the Special Issue Power Electronics: Control and Applications)
Show Figures

Figure 1

16 pages, 2150 KB  
Article
A New Simulation Method to Assess Temperature and Radiation Effects on SiC Resonant-Converter Reliability
by Zhuowen Feng, Pengyu Lai, Abu Shahir Md Khalid Hasan, Fuad Fatani, Alborz Alaeddini, Liling Huang, Zhong Chen and Qiliang Li
Materials 2026, 19(2), 228; https://doi.org/10.3390/ma19020228 - 6 Jan 2026
Viewed by 213
Abstract
Silicon carbide (SiC) power converters are increasingly used in automotive, renewable energy, and industrial applications. While reliability assessments are typically performed at either the device or system level, an integrative approach that simultaneously evaluates both levels remains underexplored. This article presents a novel [...] Read more.
Silicon carbide (SiC) power converters are increasingly used in automotive, renewable energy, and industrial applications. While reliability assessments are typically performed at either the device or system level, an integrative approach that simultaneously evaluates both levels remains underexplored. This article presents a novel system-level simulation method with two strategies to evaluate the reliability of power devices and a resonant converter under varying temperatures and total ionizing doses (TIDs). Temperature-sensitive electrical parameters (TSEPs), such as on-state resistance (RON) and threshold voltage shift (ΔVTH), are calibrated and analyzed using a B1505A curve tracer. These parameters are incorporated into the system-level simulation of a 300 W resonant converter with a boosting cell. Both Silicon (Si) and SiC-based power resonant converters are assessed for power application in space engineering and harsh environments. Additionally, gate-oxide degradation and ΔVTH-related issues are discussed based on the simulation results. The thermal-strategy results indicate that SiC MOSFETs maintain a more stable conduction loss at elevated temperatures, exhibiting higher reliability due to their high thermal conductivity. Conversely, increased TIDs result in a negative shift in conduction losses across all SiC devices under the radiation strategy, affecting the long-term reliability of the power converter. Full article
Show Figures

Figure 1

24 pages, 14037 KB  
Article
Enhancing Surgical Planning with AI-Driven Segmentation and Classification of Oncological MRI Scans
by Alejandro Martinez Guillermo, Juan Francisco Zapata Pérez, Juan Martinez-Alajarin and Alicia Arévalo García
Sensors 2026, 26(1), 323; https://doi.org/10.3390/s26010323 - 4 Jan 2026
Viewed by 390
Abstract
This work presents the development of an Artificial Intelligence (AI)-based pipeline for patient-specific three-dimensional (3D) reconstruction from oncological magnetic resonance imaging (MRI), leveraging image-derived information to enhance the analysis process. These developments were carried out within the framework of Cella Medical Solutions, forming [...] Read more.
This work presents the development of an Artificial Intelligence (AI)-based pipeline for patient-specific three-dimensional (3D) reconstruction from oncological magnetic resonance imaging (MRI), leveraging image-derived information to enhance the analysis process. These developments were carried out within the framework of Cella Medical Solutions, forming part of a broader initiative to improve and optimize the company’s medical-image processing pipeline. The system integrates automatic MRI sequence classification using a ResNet-based architecture and segmentation of anatomical structures with a modular nnU-Net v2 framework. The classification stage achieved over 90% accuracy and showed improved segmentation performance over prior state-of-the-art pipelines, particularly for contrast-sensitive anatomies such as the hepatic vasculature and pancreas, where dedicated vascular networks showed Dice score differences of approximately 20–22%, and for musculoskeletal structures, where the model outperformed specialized networks in several elements. In terms of computational efficiency, the complete processing of a full MRI case, including sequence classification and segmentation, required approximately four minutes on the target hardware. The integration of sequence-aware information allows for a more comprehensive understanding of MRI signals, leading to more accurate delineations than approaches without such differentiation. From a clinical perspective, the proposed method has the potential to be integrated into surgical planning workflows. The segmentation outputs were converted into a patient-specific 3D model, which was subsequently integrated into Cella’s surgical planner as a proof of concept. This process illustrates the transition from voxel-wise anatomical labels to a fully navigable 3D reconstruction, representing a step toward more robust and personalized AI-driven medical-image analysis workflows that leverage sequence-aware information for enhanced clinical utility. Full article
(This article belongs to the Special Issue Multi-sensor Fusion in Medical Imaging, Diagnosis and Therapy)
Show Figures

Figure 1

27 pages, 5167 KB  
Article
Autonomous Locomotion and Embedded Trajectory Control in Miniature Robots Using Piezoelectric-Actuated 3D-Printed Resonators
by Byron Ricardo Zapata Chancusig, Jaime Rolando Heredia Velastegui, Víctor Ruiz-Díez and José Luis Sánchez-Rojas
Actuators 2026, 15(1), 23; https://doi.org/10.3390/act15010023 - 1 Jan 2026
Viewed by 428
Abstract
This article presents the design, fabrication, and experimental validation of a centimeter-scale autonomous robot that achieves bidirectional locomotion and trajectory control through 3D-printed resonators actuated by piezoelectricity and integrated with miniature legs. Building on previous works that employed piezoelectric bimorphs, the proposed system [...] Read more.
This article presents the design, fabrication, and experimental validation of a centimeter-scale autonomous robot that achieves bidirectional locomotion and trajectory control through 3D-printed resonators actuated by piezoelectricity and integrated with miniature legs. Building on previous works that employed piezoelectric bimorphs, the proposed system replaces them with custom-designed 3D-printed resonant plates that exploit the excitation of standing waves (SW) to generate motion. Each resonator is equipped with strategically positioned passive legs that convert vibratory energy into effective thrust, enabling both linear and rotational movement. A differential drive configuration, implemented through two independently actuated resonators, allows precise guidance and the execution of complex trajectories. The robot integrates onboard control electronics consisting of a microcontroller and inertial sensors, which enable closed-loop trajectory correction via a PD controller and allow autonomous navigation. The experimental results demonstrate high-precision motion control, achieving linear displacement speeds of 8.87 mm/s and a maximum angular velocity of 37.88°/s, while maintaining low power consumption and a compact form factor. Furthermore, the evaluation using the mean absolute error (MAE) yielded a value of 0.83° in trajectory tracking. This work advances the field of robotics and automatic control at the insect scale by integrating efficient piezoelectric actuation, additive manufacturing, and embedded sensing into a single autonomous platform capable of agile and programmable locomotion. Full article
Show Figures

Graphical abstract

25 pages, 8749 KB  
Article
Hamiltonian Control Law with State Observer on Practical Design of Wireless Power Transfer for Autonomous Guided Vehicle Battery Charging Applications
by Worapong Pairindra, Nattapon Somboonpanya, Supakorn Ketjaem, Suwaphit Phongsawat, Teeraphon Phophongviwat, Phatiphat Thounthong, Noureddine Takorabet and Surin Khomfoi
World Electr. Veh. J. 2026, 17(1), 16; https://doi.org/10.3390/wevj17010016 - 26 Dec 2025
Viewed by 203
Abstract
This paper presents the design and calculation of wireless power transfer (WPT) integrated with the Hamiltonian Control Law. The proposed controller demonstrates greater effectiveness in terms of system stability and precise energy control, as compared to the commonly used PI controller in industrial [...] Read more.
This paper presents the design and calculation of wireless power transfer (WPT) integrated with the Hamiltonian Control Law. The proposed controller demonstrates greater effectiveness in terms of system stability and precise energy control, as compared to the commonly used PI controller in industrial applications. The proposed prototype has been built for assessment in both simulation and implementation, with a rated output power of 500 W and 48 V. The load-independent compensating topology, such as the LCC-S resonant tank, is used to transmit power wirelessly through an air core. Finally, in the last stage, the Hamiltonian Control Law with state observer is applied on the dc-to-dc buck mode converter to control the battery current and overall system. Apparently, the charging current can be precisely regulated to a specific value. Full article
(This article belongs to the Section Charging Infrastructure and Grid Integration)
Show Figures

Figure 1

12 pages, 3103 KB  
Article
Design and Implementation of a Resonant Inductive Wireless Power Transfer System Powered by a Class D Amplifier for Smart Sensors in Inaccessible Environments
by Anouar Chebbi, Amira Haddouk, Vitor Monteiro, João L. Afonso and Hfaiedh Mechergui
Electronics 2026, 15(1), 33; https://doi.org/10.3390/electronics15010033 - 22 Dec 2025
Viewed by 388
Abstract
This paper presents a high-efficiency wireless power transfer (WPT) architecture employing a resonant inductive coupling to power smart sensor nodes in remote or sealed environments, where conventional power delivery is unfeasible. The system integrates a photovoltaic (PV) energy source with a step-down DC-DC [...] Read more.
This paper presents a high-efficiency wireless power transfer (WPT) architecture employing a resonant inductive coupling to power smart sensor nodes in remote or sealed environments, where conventional power delivery is unfeasible. The system integrates a photovoltaic (PV) energy source with a step-down DC-DC converter based on the LM2596 buck regulator to adjust the voltage from the PV. The proposed conditioned power system supplies the entire electronic circuit consisting of a PWM modulator based on an NE555, which drives an IR2110 gate driver connected to a Class D power amplifier. The amplifier excites a pair of high-Q resonant coils designed for mid-range inductive coupling. On the receiver side, the inductively coupled AC signal is rectified and regulated through an AC-DC conversion stage to charge a secondary energy storage unit. The design eliminates the need for physical electrical connections, ensuring efficient, contactless energy transfer. The proposed system operates at a resonant frequency of 24.46 kHz and achieves up to 80% transmission efficiency at a distance of 113 mm. The receiver provides a regulated DC output between 4.80 V and 4.97 V, sufficient to power low-consumption smart sensors. Full article
(This article belongs to the Special Issue Emerging Technologies in Wireless Power and Energy Transfer Systems)
Show Figures

Figure 1

33 pages, 1248 KB  
Review
Gas Chromatography–Mass Spectrometry (GC-MS) in the Plant Metabolomics Toolbox: Sample Preparation and Instrumental Analysis
by Nadezhda Frolova, Anastasia Orlova, Veronika Popova, Tatiana Bilova and Andrej Frolov
Biomolecules 2026, 16(1), 16; https://doi.org/10.3390/biom16010016 - 22 Dec 2025
Viewed by 871
Abstract
Metabolomics, which is typically referred to as the post-genomic methodology addressing low-molecular-weight metabolites, became a powerful tool in post-genomic research over the last two decades. Indeed, the state-of-the-art metabolomics relies on several well-established complementary platforms—nuclear magnetic resonance (NMR) spectroscopy, liquid and gas chromatography [...] Read more.
Metabolomics, which is typically referred to as the post-genomic methodology addressing low-molecular-weight metabolites, became a powerful tool in post-genomic research over the last two decades. Indeed, the state-of-the-art metabolomics relies on several well-established complementary platforms—nuclear magnetic resonance (NMR) spectroscopy, liquid and gas chromatography coupled on-line with mass spectrometry (LC- and GC-MS, respectively), and capillary electrophoresis–mass spectrometry (CE-MS). Among them, GC-MS represents one of the oldest and most well-established techniques currently employed in the metabolomics of volatile compounds and non-volatiles—polar low-molecular-weight metabolites, which can be efficiently converted in volatile form by comprehensive derivatization of polar functional groups. Currently, GC-MS is established as the principal analytical method for characterizing primary plant metabolism, although other methods also contribute significantly to determining the complete metabolite profile. Therefore, here, we address the role of GC-MS in plant metabolomics and its potential for the profiling of low-molecular-weight metabolites. Further, we comprehensively review the methods of sample preparation with special emphasis on extraction and derivatization approaches, which are currently employed to improve the method performance and its metabolome coverage. Full article
Show Figures

Figure 1

15 pages, 1674 KB  
Article
Optimal Design Guidelines for Efficient Energy Harvesting in Piezoelectric Bladeless Wind Turbines
by Joohan Bae, Armanto Pardamean Simanjuntak and Jae Young Lee
Energies 2026, 19(1), 25; https://doi.org/10.3390/en19010025 - 20 Dec 2025
Viewed by 341
Abstract
This study presents an optimal design methodology for a piezoelectric-based bladeless wind turbine (BWT) that efficiently converts wind-induced vibration of a cantilever-mounted cylinder into electrical energy. A lumped-parameter model integrating structural dynamics, fluid-structure interaction, and piezoelectric energy conversion is introduced and simplified to [...] Read more.
This study presents an optimal design methodology for a piezoelectric-based bladeless wind turbine (BWT) that efficiently converts wind-induced vibration of a cantilever-mounted cylinder into electrical energy. A lumped-parameter model integrating structural dynamics, fluid-structure interaction, and piezoelectric energy conversion is introduced and simplified to derive key dimensionless design parameters and optimal conditions for maximizing power output. The optimal design criteria are as follows: tuning the resonance between the structural natural frequency and vortex shedding frequency; setting the dimensionless load resistance R* to unity; and minimizing ωnRLCeq to a value smaller than unity. Numerical simulations and wind tunnel experiments validate the model, showing good agreement with less than 7% error in power prediction under resonance conditions and successfully predicting the coupled behavior of fluid, structure, and piezoelectric components. The proposed optimal design methodology facilitates the development of compact and efficient piezoelectric-based bladeless wind energy harvesting systems suitable for urban and space-constrained environments. Full article
(This article belongs to the Section A3: Wind, Wave and Tidal Energy)
Show Figures

Figure 1

Back to TopTop