Next Article in Journal
Fast Biodiesel Production from Brown Grease Using a Gyrotron
Previous Article in Journal
Efficient Water Disinfection via Photocatalytic Oxidation Process Mediated by WO3/BiOBr@Si Composite
 
 
Font Type:
Arial Georgia Verdana
Font Size:
Aa Aa Aa
Line Spacing:
Column Width:
Background:
Review

Noble Metal-Catalyzed C–H Activation and Functionalization: Mechanistic Foundations and Emerging Electrochemical Strategies

1
Department of Organic Chemistry, University of Alcalá, Alcalá de Henares, 28871 Madrid, Spain
2
Department of Chemistry, College of Science, Qassim University, Buraydah 51452, Saudi Arabia
*
Authors to whom correspondence should be addressed.
Catalysts 2026, 16(2), 200; https://doi.org/10.3390/catal16020200
Submission received: 9 January 2026 / Revised: 12 February 2026 / Accepted: 13 February 2026 / Published: 23 February 2026

Abstract

Noble metal-catalyzed C–H activation has transformed synthetic methodology by enabling direct modification of inert C–H bonds with high levels of efficiency, selectivity, and functional group tolerance. This mini-review provides a focused overview of the mechanistic foundations and emerging advances in C–H functionalization mediated by ruthenium, iridium, rhodium and palladium catalysts. Key activation modes including oxidative addition, concerted metalation deprotonation (CMD), and electrophilic pathways are discussed alongside the roles of high-valent intermediates and ligand control in determining reactivity and regioselectivity. Special emphasis is placed on recent electrochemical strategies, where anodic oxidation replaces traditional chemical oxidants, granting access to unique redox manifolds and expanding the scope of C–C, C–N, C–O, and C–X bond-forming reactions. Representative transformations highlight the versatility of noble metals in constructing heterocycles, enabling enantioselective processes, and facilitating late-stage functionalization of complex molecules. Current challenges and future perspectives are outlined, including the need for improved nondirected activation, deeper mechanistic insight, and enhanced scalability. Collectively, this review underscores the central role of noble metals in advancing sustainable and innovative C–H functionalization chemistry.

Graphical Abstract

1. Introduction

The activation of carbon–hydrogen (C–H) bonds has emerged as a transformative strategy in modern organic synthesis [1,2,3], enabling the direct modification of simple hydrocarbons without the need for pre-functionalized substrates. Although C–H bonds are among the most common structural elements in organic molecules [3,4,5,6], their high bond dissociation energies and low polarity render them intrinsically inert and traditionally considered unreactive [6]. Conventional synthetic approaches therefore relied on multistep sequences involving substrate derivatization, which increased reagent consumption, generated waste, and reduced overall efficiency. In contrast, direct C–H activation offers a streamlined alternative with improved atom and step economy, providing access to more sustainable and modular synthetic pathways [7]. Noble transition metals including ruthenium, rhodium, and palladium play a central role in overcoming the kinetic and thermodynamic barriers associated with C–H bond cleavage [8]. Through mechanistically diverse pathways such as oxidative addition, concerted metalation–deprotonation (CMD), and electrophilic activation, these catalysts enable selective transformation of specific C–H bonds within complex molecular frameworks [9,10,11]. Their unique electronic structures support high-valent intermediates, ligand-controlled selectivity, and finely tunable reactivity, collectively enabling broad functional group tolerance and expanding opportunities for late-stage diversification of pharmaceuticals and bioactive compounds [12,13,14,15,16]. Despite significant progress, challenges remain in achieving predictable site-selectivity, expanding nondirected activation strategies, and improving functional group compatibility [17]. Recent innovations including electrochemically driven oxidation, redox mediator-assisted catalysis, and photoelectrochemical approaches highlight the potential of noble metal systems to access new catalytic manifolds under milder and more sustainable conditions.
Electrochemical strategies offer unique opportunities to access high-valent metal intermediates, tune reaction selectivity through applied potential, and combine with redox mediators or photochemical inputs for synergistic effects [18]. When merged with noble metal catalysis, organic electrochemistry allows for controlled activation of C–H bonds and facilitates novel reaction pathways that are often challenging under conventional thermal conditions [19,20,21]. These developments highlight the growing potential of electrochemical approaches to complement and enhance traditional noble metal-catalyzed transformations, advancing the pursuit of greener and more efficient synthetic methodologies.
This mini-review emphasizes advances reported between 2022 and 2026, while earlier seminal contributions are cited selectively to provide essential mechanistic and conceptual context. It presents a focused overview of the fundamental mechanistic principles underlying noble metal-catalyzed C–H activation, surveys representative advances enabled by Ru-, Rh-, Ir-, and Pd-based catalysts, and discusses emerging trends shaping the development of next-generation C–H functionalization strategies. Figure 1 summarizes the key concepts introduced in this section, highlighting the synthetic importance and inherent challenges of C–H activation, the central role of noble transition metals (Ru, Rh, Ir, Pd) in mediating oxidative addition, CMD, and electrophilic metalation pathways, and the emerging electrochemical, redox-mediated, and photoelectrochemical approaches that enable more sustainable and selective C–H functionalization.
Beyond synthetic efficiency, electrochemical C–H activation provides a unique platform to study and control metal-centered redox processes, electrode effects, and coupled anodic–cathodic reactions, placing these transformations firmly within the scope of modern molecular electrochemistry.
In parallel, organic electrochemistry has emerged as a powerful and sustainable tool for driving organic reactions [22,23,24,25,26,27,28,29,30,31,32]. By directly using electrons as traceless reagents, electrochemical methods enable oxidation and reduction processes under mild conditions, avoiding stoichiometric chemical oxidants or reductants and minimizing waste generation [33,34,35,36,37].

2. Key Mechanistic Concepts

Transition metal-catalyzed C–H activation proceeds through several fundamental mechanistic pathways, each offering a distinct strategy for cleaving the otherwise inert C–H bond. In classical (thermal) systems, noble metals such as ruthenium, rhodium, and iridium mediate C–H activation primarily through oxidative addition, (CMD) concerted metalation–deprotonation (CMD), and electrophilic activation, with each mode reflecting the electronic structure and redox flexibility of these metals [38]. In oxidative addition, the metal inserts into the C–H bond to form metal–hydride and metal–carbon species, typically increasing the metal’s oxidation state by two units. This pathway is characteristic of late noble metals such as Rh and Ir, which readily undergo two-electron redox cycling (Figure 2). In contrast, the CMD mechanism involves a concerted, base-assisted cleavage of the C–H bond without formation of a discrete hydride intermediate. Internal bases such as acetate or pivalate are commonly employed in Ru- and Rh-catalyzed systems, and CMD remains one of the most widely used activation modes in directed C–H functionalization. Electrophilic aromatic activation, or SEAr-type C–H activation, is favored by highly electrophilic, often high-valent, Ru, Rh, Ir or Pd centers capable of engaging aromatic π-systems to generate Wheland-like intermediates prior to deprotonation [39]. Under electrochemical conditions, these classical pathways intersect with new reactivity enabled by anodic redox control. Application of a potential at the anode allows for direct and selective generation of high-valent Ru, Rh, Ir or Pd intermediates that are often challenging to access cleanly using traditional chemical oxidants. This anodic oxidation step can initiate or accelerate C–H cleavage, sustain catalytic turnover, and eliminate the need for stoichiometric oxidants such as Ag(I), Cu(II), or peroxides. In many noble metal electrocatalytic systems, redox mediators including benzoquinone, ferrocene derivatives, or TEMPO facilitate electron transfer between the catalyst and the electrode [40], lower overpotential requirements, stabilize reactive species, and enable efficient access to otherwise inaccessible oxidation states. Their importance is particularly evident in Ir-electrocatalysis, where mediator-assisted oxidation often enhances both reactivity and selectivity [41].
The electrode material also contributes to reaction efficiency by modulating electron transfer kinetics and stabilizing key redox states. Graphite, reticulated vitreous carbon, platinum, and nickel electrodes all exhibit distinct interfacial properties that influence the rate of anodic oxidation and the behavior of high-valent noble metal intermediates. At the cathode, protons generated during oxidative C–H activation are typically reduced to H2, providing a benign and waste-free counter-reaction that closes the redox cycle. A defining advantage of electrochemical methods is the precise control over metal oxidation states. Unlike fixed-strength chemical oxidants, electrochemical potentials can be finely tuned to selectively access high-valent species such as Ru(IV/V), Rh(IV/V), Ir(IV), and Pd(III/IV), while minimizing overoxidation and preventing catalyst degradation. This tunability significantly expands the mechanistic space available to noble metal catalysts and enables catalytic cycles that cannot be achieved through conventional oxidation techniques.
Finally, C–H activation by noble metals can proceed through either directed or nondirected mechanisms. Directed activation employs a coordinating group such as an amide, pyridyl unit, or carbamate to bind the metal and position it adjacent to the targeted C–H bond, providing excellent regioselectivity. Nondirected activation, which relies instead on the intrinsic electronic or steric landscape of the substrate or on ligand-controlled reactivity, remains more challenging but is increasingly accessible under electrochemical conditions due to the ability to generate highly reactive high-valent species.
The interplay between classical activation pathways and electrochemical redox control defines the modern framework of noble metal-catalyzed C–H functionalization. Electrochemistry not only replaces stoichiometric oxidants with clean electron transfer but also unlocks new high-valent reactivity, broadens selectivity profiles, and supports more sustainable catalytic processes.

3. Noble Metals (Ru, Rh, Ir and Pd)

Noble transition metals particularly ruthenium, iridium, and rhodium remain foundational to the development of C–H activation chemistry. Their rich redox flexibility, ability to stabilize high-valent organometallic intermediates, and well-established mechanistic profiles make them exceptionally powerful for oxidative and electrooxidative C–H functionalization. Under electrochemical conditions, these metals benefit from precise anodic control of oxidation state, enabling selective access to high-valent species that are often difficult to generate using conventional oxidants. This redox tunability enhances reactivity and selectivity while eliminating the need for stoichiometric metal-based oxidants, thereby improving sustainability and functional group compatibility. In the context of electrooxidative C–H activation, Ru, Ir, and Rh continue to define benchmark reactivity, engaging in oxidative addition, (CMD), and electrophilic C–H activation pathways that support a broad range of C–C and C–heteroatom bond-forming reactions. The following subsections highlight key advances that illustrate the unique reactivity of each noble metal.

3.1. Ruthenium

Ruthenium has emerged as one of the most versatile noble metals for electrooxidative C–H activation, offering distinctive reactivity patterns enabled by access to high-valent Ru(IV/V) intermediates under anodic oxidation. Although traditionally viewed as a complementary alternative to palladium, electrochemical Ru catalysis has evolved into a mechanistically distinct platform capable of mediating C–C, C–N, and C–O bond formation across a broad substrate scope. Nevertheless, challenges remain, including catalyst stability, sensitivity to ligand environment, and incomplete mechanistic understanding of high-valent Ru species. In this context, Mei and co-workers [42] reported in 2018 the first example of ruthenium-catalyzed electrooxidative peri-C–H activation of aromatic carbamates 1 with phenols 2. The synthesis of benzo[de]quinolines 4 and benzo[de]chromenes 5 using an alkyne 3 as electrophile, demonstrates excellent regio- and chemoselectivity in protic alcohol/H2O mixtures (Scheme 1). While the reaction elegantly avoids chemical oxidants, it requires relatively forcing conditions and relies on pre-coordination geometry to achieve site-selectivity underscoring the persistent dependence of Ru(II)/Ru(IV) cycles on strong chelation control. The electrolysis was carried out in an undivided cell equipped with a reticulated vitreous carbon (RVC) anode and a Pt-plate cathode, using n-Bu4NPF6 as the supporting electrolyte. The reaction was conducted at 100 °C for 16 h under a constant current of 1.5 mA. Under these conditions, the transformation proved to be well tolerated across a wide range of diaryl- and dialkyl-substituted alkynes. Consequently, the broadly applicable ruthenium(II) catalyst enabled their efficient conversion. Notably, the ruthenium electrocatalytic system exhibited excellent functional group tolerance, accommodating ester, fluoro, chloro, and bromo substituents, thereby providing a valuable platform for further late-stage diversification. According to the mechanistic proposal in Scheme 2, the reaction proceeds via initial C–H activation of 1 to form intermediate A. Migratory insertion of the alkyne 3 generates intermediate B, followed by reductive elimination to give intermediate C. Oxidation of C at the anode completes the catalytic cycle and provides the products 4. This seminal work illustrates both the promise and remaining challenges of Ru electrocatalysis: while ruthenium offers unique selectivity and functional group tolerance under electrochemical conditions, the mechanistic landscape particularly involving high-valent Ru(IV/V) remains relatively underexplored compared to its palladium counterparts.
Shortly thereafter, Qiu and co-workers [43] reported the first weak O-coordination-assisted Ru-electrocatalyzed C–H/O–H annulation (Scheme 3). This work is notable for expanding directing-group flexibility, demonstrating that relatively weak carboxylate 6 coordination is sufficient to enable annulation to isocoumarins 8. However, the reaction still requires 100 °C, protic solvents, and noble metal (RVC)/Pt), raising questions about scalability and sustainability. Electrolysis was performed in an undivided cell under constant-current conditions (4 mA), with NaOPiv employed as base and t-AmOH/H2O used as the solvent system. The authors evaluated the versatility of the ruthenium(II) catalyst using a set of representative benzoic acids (Scheme 3). Accordingly, the ruthenium catalytic manifold proved to be compatible with both electron-rich and electron-deficient arenes. The mechanistic proposal largely mirrors that of Mei’s system (Scheme 2), further highlighting the lack of experimentally validated Ru(II)/Ru(IV) intermediates across Ru electrocatalytic platforms. The protocol was not limited to benzoic acids, and several benzamides 9 were transformed into isoquinolones 11 under the same conditions (Scheme 4).
A further conceptual advance came from Luo and co-workers [44], who exploited benzoyloxy–Ru(II) intermediates generated in situ from benzylic alcohols 12 under electrochemical oxidation (Scheme 5). Their electrooxidative [4 + 2] annulation delivers isocoumarins 14 with excellent site-selectivity. This study is particularly instructive because it shows how electrochemistry can create unique Ru intermediates unlikely to arise in purely chemical oxidations. The reaction was conducted in an undivided cell equipped with a graphite rod anode and a platinum plate cathode under constant-current conditions (4 mA), using [ R u C l 2 ( p - c y m e n e ) ] 2 as the catalyst in t-AmOH/H2O at 100 °C. The reaction proceeded efficiently with a broad range of internal alkynes affording the desired products with moderate to good yields, whereas terminal alkynes were not compatible. In the case of diaryl alkynes, various substituents on the aryl rings including Me, t-Bu, MeO, Cl, and F were well tolerated, with the electronic nature of the substituents exerting a pronounced influence on the reaction yields. A plausible mechanism is depicted in Scheme 6. Coordination of benzylic alcohol 12 to an in situ formed PivO–Ru(II) species yields the key benzoyloxy–Ru(II) intermediate A. Subsequent anodic oxidation forms intermediate C, which undergoes sequential water addition, oxidation, and C–H activation, giving intermediate E. Migratory insertion of the alkyne affords cyclic intermediate G, followed by reductive elimination to provide the desired isocoumarin 14. Final anodic oxidation regenerates the active Ru(II) species, thereby closing the catalytic cycle.
More recently, Larrosa and co-workers [45] reported a highly versatile ortho-directed electrochemical C–H functionalization of arenes 15 using boron-based 16 coupling partners under ruthenium catalysis (Scheme 7). Their method operates through an oxidatively induced reductive elimination mechanism, enabling a single set of electrochemical conditions to promote C–H arylation, alkenylation, and methylation with excellent ortho-selectivity. This protocol exhibits broad functional group tolerance and accommodates late-stage diversification of complex molecules in synthetically useful yields. By employing electricity as a green oxidant, the transformation avoids stoichiometric chemical oxidants altogether, significantly improving the sustainability profile compared to traditional Ru(II)/Ru(IV)-based oxidative systems. This work further underscores the adaptability of ruthenium in electrooxidative C–H activation and highlights its capacity to mediate diverse bond-forming events through anodically driven redox cycles. Electrolysis was performed in an undivided cell equipped with a graphite working electrode and a graphite counter electrode at 60 °C under constant-current conditions (6.0 mA) for 16 h. Optimal results were obtained using [ R u ( p - c y m e n e ) C l 2 ] 2 as the catalyst, with KOAc and KOtBu as bases, Cu(OAc)2 as an additive, and LiClO4 as the supporting electrolyte. According to the mechanism proposed in Scheme 8, the arene substrate undergoes (CMD) with [Ru(p-cymene)Cl2]2, generating the cyclometalated ruthenium intermediate I. In parallel, the arylboronic ester is activated by KOtBu to form a boronate species, which undergoes transmetalation with Cu(OAc)2 to furnish the aryl–copper intermediate II. This copper intermediate subsequently engages in transmetalation with ruthenium intermediate I, producing the ruthenium–aryl complex III. Anodic oxidation of III triggers reductive elimination via intermediate IV, delivering the ortho-functionalized product and generating the reduced ruthenium(I) species V. Reoxidation of V to ruthenium(II) restores the active catalytic species capable of engaging in a new CMD event, thereby completing the cycle. To maintain charge balance at the counter electrode, the cathodic process likely involves reduction of Cu(II) to Cu(I/0) a pathway that may necessitate the use of alternating polarity together with the reduction in available proton sources in the reaction medium, such as the TFE co-solvent.
In another significant contribution, Bhanage and co-workers [46] developed a constant-current electrochemical strategy for the synthesis of 1-aminoisoquinoline derivatives 20 via +Ru(II)-catalyzed annulation of benzamidine hydrochlorides 18 with alkynes 19 (Scheme 9). This method delivers naphthyridine-based scaffolds in good yields, proceeding through Ru(II)-mediated C–H bond cleavage followed by sequential C–C and C–N bond formation in a one-pot fashion. Importantly, the combination of electricity and Ru catalysis enables broad substrate tolerance, effectively accommodating a wide range of benzamidines and alkynes with diverse steric and electronic features. As with other electrooxidative Ru systems, the protocol operates without stoichiometric chemical oxidants, highlighting once again the sustainability advantage of anodic oxidation in accessing high-valent ruthenium species essential for catalytic turnover. based on experimental observations and prior literature precedent, a plausible catalytic cycle for the Ru-electrocatalyzed C–H annulation mechanism is outlined in Scheme 10.
Electrolysis was conducted in an undivided cell equipped with a Pt anode and a Pt cathode under constant-current conditions (1.5 mA) at 100 °C, using n-Bu4NPF6 as the supporting electrolyte and KOAc as the base. The catalyst [ R u C l 2 ( p - c y m e n e ) ] 2 was dissolved in a t-AmOH/H2O solvent system. The authors find that Benzamidine hydrochlorides bearing para-electron-donating substituents afforded the corresponding products in moderate to satisfactory yields of 65%. In contrast, no product formation was observed when a para-hydroxy-substituted benzamidine hydrochloride was subjected to the optimized conditions. Overall, benzamidines containing electron-withdrawing groups delivered higher yields of 1-aminoisoquinolines, indicating that the reaction is preferentially promoted by electron-withdrawing substituents rather than electron-donating ones. In the presence of KOAc, the dimeric precatalyst undergoes ligand exchange to generate the catalytically active ruthenium diacetate species A. Coordination of this Ru(II) complex with substrate 18 initiates cyclometalation, forming the key five-membered ruthenacycle I through C–H activation. Subsequent alkyne insertion and sequential C–C/C–N bond-forming steps furnish the annulated product. Crucially, anodic oxidation regenerates the active Ru(II) species, thereby sustaining the catalytic cycle without the need for external chemical oxidants, while proton reduction at the cathode simultaneously produces H2 as the only stoichiometric byproduct. This electrochemically driven redox balance underscores the operational sustainability and efficiency of the Ru-catalyzed annulation process.
Despite these advances, several challenges limit broader adoption of Ru electrocatalysis. First, mechanistic ambiguity remains pervasive: high-valent Ru intermediates central to catalytic turnover are rarely observed directly, and many mechanistic proposals rely heavily on analogy to palladium. Second, many reported protocols require elevated temperatures (often ≥100 °C) and polar protic solvents, which partially offset the sustainability and scalability advantages of electrochemical oxidation. Third, truly nondirected C–H activation remains rare; most Ru systems still rely on strong directing groups or rigid chelation geometries. Finally, dependence on specific electrode materials (such as RVC or platinum), narrow potential windows, and sensitivity to electrochemical parameters can complicate large-scale or industrial implementation.

3.2. Iridium-Based Catalysts

Iridium, although less explored than ruthenium or palladium in electrochemical C–H activation, has demonstrated unique reactivity under anodic conditions. In 2018, Qiu and co-workers [47] employed an Ir-based catalyst to achieve electrooxidative C–H alkenylation of arenes 21, enabling the synthesis of isobenzofurans 23 from readily available substrates 21 and 22 (Scheme 11). This transformation proceeds via Ir-mediated activation of the aromatic C–H bond, followed by alkyne insertion and cyclization, ultimately affording the benzannulated heterocycles 23 in moderate yields (Scheme 11). Electrolysis was conducted in an undivided cell equipped with an RVC anode and a Pt cathode under constant-current conditions (4.0 mA), using [ C p * I r C l 2 ] 2 (2.5 mol %) as the catalyst, KOAc as the base, and p-benzoquinone (BQ, 10 mol %) as the redox catalyst. The iridium catalyst proved broadly applicable to arenes 21 bearing either electron-donating or electron-withdrawing substituents. Notably, sensitive electrophilic functional groups, including cyano, ester, chloro, bromo, and even reactive iodo substituents, were well tolerated, underscoring the potential of this methodology for further late-stage diversification (Scheme 11). An important feature of this system is the use of p-benzoquinone (BQ) as a redox mediator, which significantly improves reaction efficiency. BQ likely facilitates electron shuttling between the Ir catalyst and the anode, enabling smoother access to the high-valent Ir intermediates necessary for C–H activation. This highlights a recurring theme in electrooxidative Ir chemistry: external redox mediators often compensate for the limited intrinsic redox flexibility of Ir under electrochemical conditions. Mechanistically, this work represents one of the most comprehensively elucidated Ir-based electrocatalytic systems reported to date. As outlined in Scheme 12, the proposed catalytic cycle for the cooperative iridium-electrocatalyzed C–H/C–H functionalization begins with a facile organometallic C–H activation step. Subsequent migratory alkene insertion generates the seven-membered Ir(III) metallacycle D, which then undergoes β-hydride elimination followed by reductive elimination to deliver the key Ir(I) intermediate. The resulting Ir(I) species is reoxidized by p-benzoquinone, regenerating the catalytically active Ir(III) complex A. Finally, the hydroquinone formed in this step is returned to p-benzoquinone via anodic oxidation at the electrode surface, thereby closing the electrocatalytic cycle. Despite its synthetic utility, the method still relies on relatively high reaction temperatures and stoichiometric BQ additives, pointing to the ongoing challenge of achieving efficient Ir redox cycling solely through anodic control. Nevertheless, this study represents a valuable demonstration of iridium’s potential in electrochemical C–H functionalization and underscores the broader applicability of anodic oxidation to expand the reactivity of traditionally noble metal catalytic manifolds.
Building on this foundation, Guo and co-workers [48] reported an electrochemically driven Ir(III)-catalyzed C(sp2)–H activation and annulation platform that significantly expands the scope of iridium electrocatalysis. Their method enables pyridine 24, and (hetero)arene 25, followed by regioselective annulation with alkynes 26 to deliver a range of biologically relevant quaternary ammonium salts 27 or 28 under mild electrolysis conditions (Scheme 13). Electrolysis was conducted in an undivided cell using [ C p * I r C l 2 ] 2 as the catalyst and Zn(OTf)2 as an additive in MeOH (3 mL) at 60 °C under constant-current conditions (3 mA). Using a GF (graphite felt) anode and a Pt cathode, the desired products were obtained in good yields, demonstrating broad functional group tolerance. Substrates bearing electron-donating groups (5-Me, 5-MeO) as well as mildly electron-withdrawing substituents (5-F, 5-Cl) on the pyridyl ring afforded the corresponding products in moderate to good yields (67–86%). In contrast, the presence of a strongly electron-withdrawing group (5-CN) completely inhibited the reaction, and no formation of product was observed.
A key advantage of this approach is the complete elimination of external stoichiometric oxidants, in sharp contrast to traditional Ir-based C–H activation protocols that commonly rely on strong, often hazardous, oxidants. The electrochemical system also provides broader substrate tolerance and improved regioselectivity, illustrating how anodic control can modulate iridium redox chemistry more gently and selectively than classical methods. The authors successfully isolated and structurally characterized Ir(III) B and Ir(I) intermediates E, and supported these observations with cyclic voltammetry. These data provide compelling evidence for an Ir(III)/Ir(I) redox cycle, rather than the more commonly assumed Ir(III)/Ir(V) pathway. Such detailed mechanistic elucidation not only validates the proposed catalytic cycle but also highlights the potential for precise electrochemical tuning of Ir oxidation states, offering a rare level of mechanistic clarity in the field of electrooxidative C–H activation.
Based on the abovementioned results, a plausible mechanism for the Cp*Ir(III)-catalyzed oxidative annulation reaction is outlined in Scheme 14. Initially, the dimeric precatalyst [CpIrCl2]2 undergoes activation by Zn(OTf)2 to generate the cationic Ir(III) species [CpIr]2+ (A), which then facilitates cyclometalation of substrate 23, affording the five-membered iridacycle intermediate B. Subsequent π-coordination of the alkyne produces intermediate C, followed by regioselective migratory insertion to furnish the seven-membered iridacycle D. Reductive elimination from D rapidly delivers the key iridium(I) sandwich complex E. Finally, the reduced Ir(I) species is anodically reoxidized to Ir(III), completing the catalytic cycle and releasing the quaternary ammonium product 27, while molecular hydrogen is produced at the cathode as a benign byproduct. Throughout the catalytic sequence, the presence of an equivalent amount of OTf is crucial for stabilizing and isolating the final salt.
Taken together, the few but impactful studies on iridium demonstrate that Ir-based electrocatalysis remains underdeveloped yet mechanistically rich. Qiu’s early work established the feasibility of Ir-mediated electrooxidative C–H alkenylation, though its reliance on redox mediators and elevated temperatures highlights intrinsic challenges in achieving efficient Ir redox cycling anodically. Guo’s more recent contribution significantly advances the field, showcasing mild and oxidant-free Ir(III)-catalyzed annulations with broad directing group compatibility and improved regioselectivity. Notably, the isolation and electrochemical characterization of Ir(III) and Ir(I) intermediates provides one of the clearest mechanistic pictures available for any Ir electrocatalytic system, firmly establishing a functional Ir(III)/Ir(I) redox manifold. Despite these promising developments, Ir-based C–H electrocatalysis remains limited in scope, often dependent on strong directing groups, and still constrained by catalyst cost and sustainability concerns. Continued mechanistic exploration and expansion to more general substrates will be key for unlocking iridium’s full potential under electrochemical control.
Collectively, ruthenium and iridium define the current benchmark for non–earth-abundant metal catalysis in electrooxidative C–H activation. Ruthenium offers broad synthetic versatility, enabling peri-C–H activation, O-coordination–assisted annulations, electrooxidative [4 + 2] cycloadditions, and ortho-directed C–H functionalization, while tolerating diverse functional groups and enabling the construction of heterocycles such as benzo[de]quinolines, isocoumarins, isoquinolones, benzochromenes, and naphthyridines. However, Ru chemistry still relies heavily on high temperatures, protic solvents, strong directing groups, and mechanistically inferred high-valent intermediates that remain largely uncharacterized.
Iridium, although less widely explored, provides complementary reactivity and unusually clear mechanistic insight. Early Ir-electrocatalyzed alkenylations demonstrated the viability of Ir(III) under anodic control, but required redox mediators and forcing conditions. More recent work by Guo and co-workers significantly broadened Ir’s synthetic utility, enabling oxidant-free annulations under mild conditions and, importantly, providing direct structural and electrochemical evidence for an Ir(III)/Ir(I) catalytic cycle a rare level of mechanistic precision in electrocatalytic C–H activation.
While iridium provides valuable mechanistic insight into electrochemical C–H activation, rhodium offers a more expansive and synthetically flexible reactivity landscape. The following section highlights key advances in Rh-catalyzed electrooxidative C–H transformations.

3.3. Rhodium Based Catalyst

Rhodium occupies an intermediate position among the noble metals used in electrooxidative C–H activation: less explored than ruthenium and palladium, yet often capable of unique reactivity due to its flexible coordination behavior and efficient migratory insertion chemistry. Although Rh-based systems traditionally rely on strong chemical oxidants to access high-valent Rh(III)/Rh(I) or Rh(III)/Rh(V) redox manifolds, the incorporation of electrochemical oxidation has begun to offer milder, more sustainable alternatives. Recent studies demonstrate that anodic control can effectively regenerate active Rh(III) species while reducing the need for stoichiometric oxidants, thereby broadening substrate generality and enabling transformations difficult to achieve under conventional conditions. The following examples highlight emerging advances in Rh-catalyzed electrooxidative C–H activation and illustrate the distinctive opportunities as well as persistent challenges associated with Rh under electrochemical conditions. A notable recent advancement in rhodium electrocatalysis addresses a long-standing limitation of Rh(III)-catalyzed enantioselective C–H activation, namely, the reliance on complex, synthetically demanding chiral Cp*Rh catalysts. These bespoke chiral ligands have traditionally restricted the accessibility and scalability of Rh-based asymmetric C–H functionalization. In sharp contrast, a recent study [49] introduced an electrochemical domino catalysis platform that circumvents this bottleneck by pairing an achiral Cp*Rh(III) catalyst with a readily available chiral Brønsted base to achieve enantioselective C–H activation/annulation of alkenes 30 with benzoic acids 29. This strategy provides an elegant and conceptually distinct approach in which chirality is induced not through expensive chiral Rh complexes, but through cooperative catalysis between rhodium and a chiral organic base.
The method delivers synthetically valuable chiral phthalides in good enantioselectivities while operating under mild electrolysis conditions and using electricity as the sole oxidant, thereby eliminating the need for stoichiometric chemical oxidants commonly required in asymmetric Rh(III) catalysis. Beyond its operational simplicity, the study highlights how electrochemical oxidation can enable enantioselective C–H activations that are otherwise difficult to achieve with conventional oxidants due to competing overoxidation or racemization pathways.
The electrolysis was carried out in an undivided cell charged with Cp*Rh catalyst (5 mol %), a chiral Brønsted base (20 mol %), and an additive (20 mol %). The reaction was conducted at 40 °C under constant-current conditions (0.5 mA) for 20 h, using a graphite felt (GF) and a Pt-plate cathode. The authors found that acrylates bearing a variety of substituents furnished the desired chiral phthalides with good enantiomeric ratios (up to 94:6 er). Notably, acrylate delivered product with a higher enantiomeric ratio at ambient temperature than at 40 °C (Scheme 15). Based on the authors’ experimental observations, a plausible catalytic cycle is depicted in Scheme 16. The mechanism commences with facile C−H activation by carboxylate assistance, which forms rhodacycle B. Thereafter, coordination followed by migratory insertion of the acrylate takes place, which enables the formation of the seven-membered intermediate D. Then, an anodic oxidation of rhodium(III), β-hydride elimination and reductive elimination sequence delivers the rhodium(II) complex E and the intermediate F. Finally, the anodic oxidation regenerates the active catalytic rhodium(III) complex A, while the intermediate F undergoes enantioselective oxa-Michael addition in the presence of B4 to afford the chiral product 31 through the shown transition state. Critically, this work illustrates a broader conceptual shift: electrochemistry can decouple enantioselectivity control from metal-centered chirality, opening the door to more practical, sustainable, and modular asymmetric C–H activation strategies using Rh(III). However, challenges remain, including expanding the substrate scope and understanding the cooperative mechanism between the Rh catalyst and the chiral Brønsted base at a deeper mechanistic level.
In another important contribution to asymmetric rhodium electrocatalysis, Mei and co-workers [50] reported an electrochemically tuned Rh(III)-catalyzed enantioselective C–H annulation with alkynes 33, delivering a diverse array of spiro-pyrazolones 34 in high yields and good enantioselectivities under remarkably mild conditions (Scheme 17). The reaction proceeds at room temperature, highlighting the ability of electrochemical oxidation to modulate Rh redox states without the thermal or oxidative stress typically required in asymmetric Rh(III) catalysis. A particularly compelling aspect of this method is its proficiency in transforming unsymmetrical alkylaryl acetylenes 32, which are often challenging substrates due to their inherent regioselectivity issues. The system provides excellent regioselectivity alongside good enantioselectivity, underscoring the finely tuned reactivity profile achievable through careful electrochemical control. The reaction was conducted in an undivided cell using [ C p * R h C l 2 ] 2 (4 mol %) as the catalyst and n-Bu4NOAc as the supporting electrolyte (3.0 equiv) in MeOH (4.0 mL) under constant-current conditions (1.5 mA) for 3 h. In this transformation, acetylenes bearing a range of electronic properties were all compatible with the reaction, furnishing products 34 in moderate to good yields and enantioselectivities (45–82%) for example para-substitution with i-Pr and t-Bu groups afforded the desired products (in good yields (80%) with moderate enantioselectivities (91.5:8.5). Ortho- and meta-substituted substrates provided comparable outcomes under the standard conditions, delivering the corresponding products in 6078% yields and enantiomeric ratios ranging from 91:9. A plausible catalytic cycle is depicted in Scheme 18. The process begins with tautomerization of substrate 32 to form the corresponding dienol 32′, which subsequently undergoes C–H activation to generate the six-membered cyclometalated CpxRh(III) intermediate A. Coordination of alkyne 33 to the rhodium center, followed by regioselective migratory insertion into the Rh–C bond, furnishes the eight-membered rhodacyclic intermediate B. Owing to steric repulsion between substituents R1 and R3, intermediate B may isomerize to give intermediate C. Subsequent C–C reductive elimination from C delivers the spirocyclic product 34. Finally, anodic oxidation regenerates the active CpxRh(III) catalyst, thereby completing the catalytic cycle.
This protocol offers a practical and environmentally benign strategy for constructing chiral spiro-pyrazolones, a privileged structural framework frequently found in pharmaceuticals and biologically active molecules. The combination of room-temperature operation, broad substrate tolerance, and electrochemical oxidation (eliminating stoichiometric oxidants) further demonstrates how anodic tuning can expand the scope of enantioselective Rh(III) catalysis beyond what is typically accessible under traditional oxidative conditions.
From a critical perspective, this study reinforces the emerging theme that electrochemistry can serve as a powerful lever for both reactivity and stereocontrol in Rh-catalyzed C–H activation, though a deeper mechanistic understanding of how the applied potential influences enantioselective induction would be valuable for future design.
Xie and co-workers [51] developed the first electrochemical Rh-catalyzed C–H cyclodimerization of alkynes 35 for the direct synthesis of functionalized naphthalenes 36 (Scheme 19). This method offers a rare and synthetically powerful C–C bond-forming manifold, enabling the construction of polycyclic aromatic frameworks under mild electrochemical conditions. The practicality of the protocol was demonstrated through scalable reactions and downstream derivatization, underscoring its potential applicability in synthetic and materials chemistry.
Electrolysis was carried out in an undivided cell charged with KOAc as the base and [ C p * R h C l 2 ] 2 (2.5 mol %) as the catalyst, with n-Bu4NBF4 employed as the supporting electrolyte. The reaction was conducted at 90 °C under constant-current conditions (4 mA) using platinum electrodes. Under these conditions, both electron-donating and electron-withdrawing substituents at the para position of the benzene ring were well tolerated, affording the corresponding products 36 in moderate to good yields (52–74%). Mechanistically, this study is particularly noteworthy. Detailed investigations revealed that electricity is not merely a terminal oxidant, but plays an active role in enabling an electrochemical disproportionation (ECD) process that generates and sustains the catalytically relevant high-valent Rh(IV)/Rh(V) species alongside Rh(I). The coexistence of these oxidation states was shown to be essential for direct C–H activation, highlighting a redox regime that is challenging if not impossible to achieve using traditional chemical oxidants. This mechanistic insight provides one of the clearest cases in which electrochemical control unlocks unique rhodium oxidation states, offering concrete evidence for how anodic tuning can fundamentally reshape Rh-catalyzed C–H activation pathways. From a critical perspective, the work illustrates the distinctive capability of electrochemistry to access unusual high-valent Rh species, but also raises questions about catalytic longevity, electrode dependence, and the generality of ECD-enabled catalysis beyond alkyne cyclodimerization. Nonetheless, it establishes a conceptual and mechanistic foundation for future exploration of Rh(IV)/Rh(V) systems under electrochemical control.
Ackerman and co-workers [52] reported electrooxidative peri C-H alkenylations of challenging 1-naphthols 37 were achieved by versatile rhodium(III) catalysis via user friendly constant current electrolysis (Scheme 20). The rhodium electrocatalysis employed readily available alkenes 38 and a protic reaction medium and features ample scope, good functional group tolerance and high site- and stereoselectivity. The strategy was successfully applied to high-value, nitrogen-containing heterocycles 39, thereby providing direct access to uncommon heterocyclic motifs based on the dihydropyranoquinoline skeleton.
Electrolysis was performed in an undivided cell equipped with a graphite felt (GF) anode and a Pt-plate cathode under constant-current electrolysis (CCE, 4.0 mA), using NaOPiv and [ C p * R h C l 2 ] 2 (2.5 mol %) in t-AmOH/H2O under a nitrogen atmosphere for 18 h. Under these conditions, a broad range of differently substituted styrenes 38, bearing para-, meta-, and even sterically hindered ortho-substituents, were efficiently converted into the desired products 39. Notably, sensitive electrophilic functional groups, such as chloro and bromo substituents (57% and 63%), were well tolerated, underscoring the utility of this method for further synthetic diversification.
On the basis of the authors’ experimental findings, a plausible catalytic cycle is presented for the rhodium(III)-catalyzed electrochemical C-H alkenylation. As depicted in Scheme 21, O-type coordination of deprotonated 1-naphthol 37 to rhodium species and subsequent directed cyclorhodation at the peri position leads to rhodacycle A. Thereafter, migratory alkene insertion followed by an anodic oxidation furnish the seven-membered, high-valent rhodacycle C, which subsequently undergoes β-H elimination to afford the desired product 39 and rhodium(II) species D. Finally, the rhodium(II) species is reoxidized at the anode, generating molecular hydrogen as the byproduct at the cathode. Recent advances firmly position rhodium as a promising yet still underdeveloped platform for electrooxidative C–H activation. Across these studies, a unifying theme is the strategic use of anodic redox control to modulate Rh oxidation states, thereby avoiding the strong chemical oxidants that traditionally limit Rh(III)-based C–H functionalization.
Electrochemical methods have particularly advanced enantioselective Rh catalysis. One approach employs an achiral Cp*Rh(III) catalyst in conjunction with a chiral Brønsted base, enabling asymmetric C–H activation/annulation without relying on synthetically laborious chiral Cp ligands. This cooperative system delivers chiral phthalides in good ee and illustrates how electrochemistry can decouple enantioinduction from metal-centered chirality. Complementing this, Mei and co-workers demonstrated that electrochemically tuned Rh(III) catalysis enables the room-temperature construction of spiropyrazolones with excellent regioselectivity and good enantioselectivity, even from unsymmetrical alkylaryl acetylenes an area where traditional Rh(III) systems often struggle. Perhaps the most mechanistically revealing contribution comes from Xie and co-workers, who reported the first electrochemical Rh-catalyzed C–H cyclodimerization of alkynes to form functionalized naphthalenes. Their detailed studies established that electrochemistry drives an electrochemical disproportionation (ECD) process, generating and maintaining catalytically active Rh(IV)/Rh(V) species alongside Rh(I). These uncommon oxidation states play a direct role in C–H activation, providing rare experimental validation for high-valent Rh species under electrochemical control. This mechanistic clarity underscores electrochemistry’s unique ability to access redox regimes unattainable by classical oxidants.

3.4. Palladium-Based Catalyst

Palladium has long occupied a central position in C–H activation chemistry [53], owing to its well-established Pd(II)/Pd(IV) and Pd(II)/Pd(0) redox manifolds, broad ligand compatibility, and exceptional functional group tolerance. Traditionally, Pd-catalyzed C–H functionalization has relied heavily on stoichiometric chemical oxidants such as Ag(I), Cu(II), or hypervalent iodine reagents to sustain catalytic turnover. While effective, these oxidants often compromise sustainability, generate waste, and complicate mechanistic interpretation. In this context, electrochemical oxidation has emerged as a powerful alternative, enabling direct, tunable access to high-valent palladium intermediates while eliminating the need for external oxidants. Under electrochemical conditions, palladium catalysis benefits from precise anodic control of oxidation state, which facilitates key steps such as C–H activation [54], reductive elimination, and catalyst regeneration. Anodic oxidation can selectively promote the formation of Pd(III) or Pd(IV) species that are difficult to access cleanly under purely chemical conditions, thereby unlocking new reactivity patterns and improving chemo- and site-selectivity. At the same time, proton reduction at the cathode often furnishes molecular hydrogen as a benign byproduct, rendering Pd electrocatalysis intrinsically aligned with green chemistry principles.
Recent advances have demonstrated that electrochemical Pd catalysis is particularly powerful for C–C, C–N, and C–O bond formation, including arylation, acetoxylation, amination, and annulation processes. In this context, Mei and co-workers [55] demonstrated that palladium-catalyzed electrochemical C–H functionalization reactions represent attractive alternatives to conventional oxidative methods that rely on harsh chemical oxidants. While many Pd-electrocatalytic protocols require divided cells to prevent catalyst deactivation via cathodic reduction, the authors reported the first example of palladium-catalyzed electrochemical C–H alkylation of arenes 40 by potassium trifluoromethylborate (MeBF3K) 41 conducted in an undivided cell using water as the solvent (Scheme 22). This advance provides a practical and operationally simple solution for the direct introduction of alkyl groups into arenes, highlighting how judicious electrochemical design can overcome catalyst deactivation issues and further expand the scope and sustainability of Pd-catalyzed C–H functionalization. The reaction was carried out in an undivided electrochemical cell equipped with two platinum electrodes at 60 °C under constant-current conditions for 18 h. Trifluoroethanol (TFE) and water were used as the solvent. Under these conditions, arenes bearing a variety of functional groups, including alkyl, ether, fluoro, and trifluoromethyl substituents, were well tolerated under the standard reaction conditions. In general, substrates containing electron-rich substituents (Me, Et, i-Pr, t-Bu, and OMe) exhibited particularly high reactivity. In contrast, the presence of a strongly electron-withdrawing group, such as CF3, resulted in a lower yield owing to reduced conversion. Expanding on this, Baroliya and co-workers [56] disclosed in 2025an electrochemical Pd-catalyzed ortho-arylation of 2-phenylpyridine 43 with substituted arenediazonium salts 44 under silver-free conditions (Scheme 23). The reaction proceeds with high ortho-selectivity directed by the pyridyl auxiliary and features mild conditions, broad substrate scope, and good functional group tolerance. Using Pd(OAc)2, K2HPO4, and nBu4NBF4 in an undivided cell, the mono-arylated product 45 was obtained in up to 75% yield. Control experiments confirmed that both the applied current and electrode material are critical, and that electricity plays a dual role in catalyst reoxidation and arenediazonium activation, eliminating the need for external oxidants. The proposed mechanism (Scheme 24) involves an initial pyridine directed ortho-cyclopalladation to generate the cyclopalladium intermediate A. Concurrently, cathodic reduction of the aryldiazonium salt 41 produces an aryl radical B, which subsequently engages with intermediate A to form the cyclometalated species C. Reductive elimination from C furnishes the arylated phenylpyridine product 42, along with a reduced Pd(I) or Pd(0) species. The palladium catalyst is then reoxidized anodically to Pd(II) either during aryl radical coordination or after reductive elimination thereby regenerating the active catalyst and sustaining the electrocatalytic cycle.
In the same year, Xu and co-workers [57] first disclosed a Pd-electrocatalyzed meta-C–H alkenylation of benzoic acid derivatives 46 under alternating-current (AC) electrolysis. The use of rapidly alternating polarity proved crucial for enhancing reaction efficiency, as it effectively suppressed cathodic black fouling, thereby preserving electrode activity and significantly extending electrode lifetime. Starting from benzoic acid derivatives 46 and alkene 47, the corresponding olefin derivatives 48 were obtained in good yields. The reaction was conducted under alternating-current (AC) electrolysis using RVC as electrodes at 1 mA for 24 h (Scheme 25). The authors demonstrated that various electron-deficient olefins are well tolerated in this transformation, leading to E-selective alkenylated products with excellent meta-selectivity. A range of acrylate esters, including methyl, ethyl, 2-methoxyethyl, and phenethyl acrylates, performed efficiently and furnished the corresponding products in good yields. Although no detailed catalytic cycle was proposed, XPS and cyclic voltammetry (CV) studies provided important mechanistic insight. Under DC (Direct Current) conditions, Pd(0) was found to dominate and accumulate on the cathode surface, leading to electrode deactivation and suggesting operation via a Pd(0)/Pd(II) redox cycle. In contrast, AC electrolysis effectively suppressed Pd(0) deposition and promoted the formation of Pd(II) and Pd(IV) species, consistent with a Pd(II)/Pd(IV) redox manifold, which rationalizes both the enhanced reactivity and improved electrode stability observed under AC conditions.
In a landmark contribution, Lutz Ackermann and co-workers reported in 2020 the first example of asymmetric C–H bond activation/C–C bond formation enabled by electrochemical Pd catalysis [58]. By employing L-tert-leucine as a transient directing group, the authors achieved an atroposelective C–H olefination of biaryl aldehydes 49 with Michael acceptors 50, delivering the desired products with high enantioinduction and good yields (Scheme 26). The protocol exhibited broad substrate scope, tolerating both electron-rich and electron-deficient biaryls 51, as well as a wide range of alkenes bearing nitro, carbonyl, sulfone, or phosphonate substituents. Notably, the strategy could be extended to N-aryl pyrrole aldehydes, enabling access to N–C axially chiral frameworks. The reaction was conducted in an undivided electrochemical cell using a palladium catalyst ([Pd], 10 mol%), a transient directing group (TDG, 20 mol%), and LiOAc (2.0 equiv) as an additive in AcOH as the solvent. Electrolysis was performed at 60 °C under constant-current conditions (1.0 mA) for 14 h, employing a graphite felt (GF) anode and a platinum plate cathode.
This study highlights the potential of electrochemical Pd catalysis combined with transient directing groups to achieve enantioselective C–H functionalization under oxidant-free conditions. Although no detailed catalytic cycle was proposed, computational mechanistic studies revealed that C–H activation across the prochiral axis via a seven-membered transition state is energetically favored over the experimentally unobserved ortho-C–H activation adjacent to the aldehyde (imine) functionality, which would proceed through a less favorable five-membered transition state. Furthermore, the authors demonstrated the synthetic utility of this methodology by transforming the obtained products into enantiopure [5] and helicenes [6], as well as novel enantiopure BINOL derivatives.
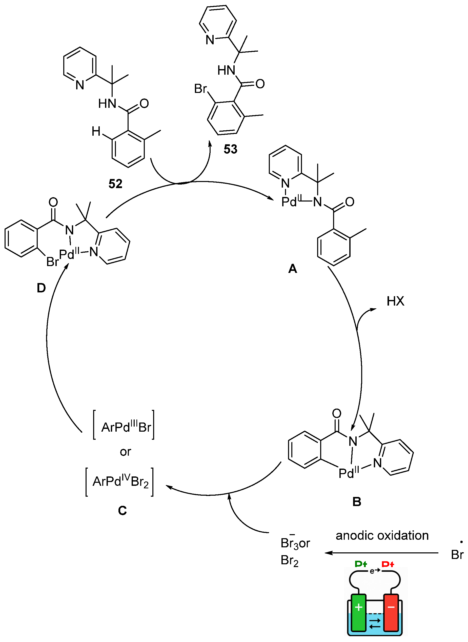
In 2019, Wu, Mei, and co-workers [59] expanded the scope of benzamide derivatives by introducing a more readily cleavable 2-(pyridin-2-yl)isopropyl amine (PIP) directing group, which enabled ortho-selective bromination of benzamides 52 using NH4Br. The authors proposed that bromination proceeds via electrophilic Br2 or Br3 species, generated through anodic oxidation of bromide ions under electrochemical conditions (Scheme 27). The reaction was carried out in a divided cell equipped with platinum electrodes, with NH4Br serving as both the brominating reagent and the supporting electrolyte.
A plausible reaction mechanism is outlined in Scheme 28. Initially, the palladium catalyst coordinates with substrate 1a to form a Pd(II) complex A, which undergoes electrophilic palladation to generate intermediate B. Subsequently, B reacts with electrophilic brominating species (Br2 or Br3), formed in situ, to afford a high-valent palladium intermediate C. Reductive elimination from C furnishes intermediate D, and subsequent ligand exchange releases the brominated product, thereby completing the catalytic cycle. Under these conditions, arenes bearing a wide range of substituents including alkyl, ether, fluoro, trifluoromethyl, bromo, nitrile, ester, sulfonyl, nitro, and chloro groups were well tolerated, affording the corresponding products 53 in good to excellent yields.
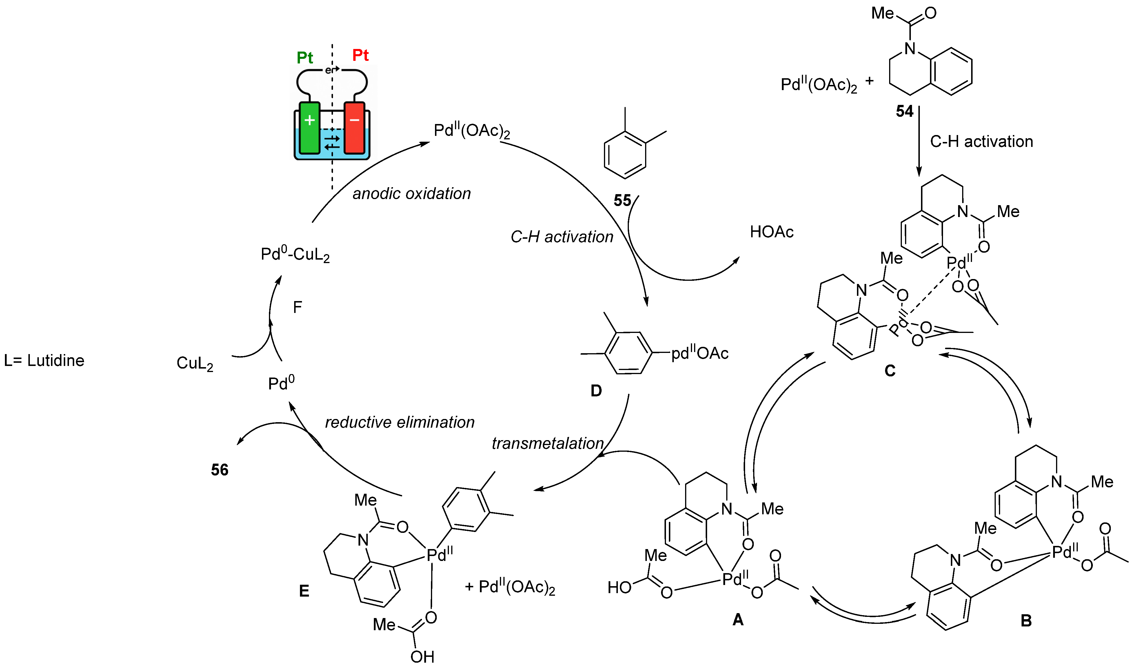
In 2023, Ackermann and coworkers [60] reported an electrochemical palladium-catalyzed oxidative coupling strategy for the construction of biaryl motifs 56 in the absence of stoichiometric chemical oxidants strating from acetamide 54 and arene 55 (Scheme 29). This robust palladaelectrocatalytic system effectively suppresses undesired homocoupling and oxygenation pathways and exhibits broad functional group tolerance, including compatibility with electron-deficient arenes. Its synthetic utility was further demonstrated through late-stage functionalization and the synthesis of a Boscalid precursor. Notably, comprehensive mechanistic investigations including variable time normalization analysis (VTNA), initial rate analysis, H/D exchange experiments, kinetic isotope effect studies, and stoichiometric organopalladium experiments provided strong evidence that intermolecular transmetalation between two organopalladium intermediates constitutes the turnover-limiting step of the catalytic cycle. These findings indicate that matching the concentrations or lifetimes of distinct organopalladium species is critical for efficient electrooxidative catalysis. Moreover, cationic Cu(II) species were found to stabilize the Pd(0) catalyst rather than serving as the primary oxidant. The electrolysis was carried out in a divided cell under constant-current conditions using Pd(OAc)2 (10 mol%) as the catalyst, 2,6-lutidine (20 mol%) and Cu(OTf)2 (10 mol%) as additives, and nBu4NBF4 as the supporting electrolyte in an HFIP/AcOH solvent mixture. Electrolysis was performed at 100 °C for 18 h with a constant current of 1.0 mA, employing a graphite felt (GF) anode and a platinum plate cathode.
Under these conditions, a broad range of electronically diverse arenes 55 proved compatible with the robust electrochemical system, delivering products 56 in moderate to excellent yields. Acetanilide and benzanilide afforded both mono- and bis-arylated products. In contrast, anilide derivatives bearing a methyl substituent at the meta position significantly suppressed difunctionalization, thereby selectively furnishing monoarylated with excellent site selectivity.
Based on mechanistic investigations, a plausible catalytic cycle is proposed in Scheme 30. Concurrent C–H activation of substrates 54 and 55 generates palladacyclic intermediates A and D, respectively. In this scenario, the dimeric species C is proposed to act as a precatalyst for the formation of the monomeric palladacycle A, while off-cycle species B may be present at varying concentrations depending on the relative amounts of substrates 54, 55 and Pd(OAc)2. Subsequent intermolecular transmetalation between intermediates A and D affords species E, which then undergoes reductive elimination to deliver the desired product 56. Kinetic and stoichiometric analyses indicate that transmetalation between the two organopalladium intermediates constitutes the turnover-limiting step of the catalytic cycle. The Pd(0) species formed during product release is stabilized by copper complexes and subsequently reoxidized anodically to the catalytically active Pd(II) state, thereby closing the catalytic cycle.
In 2024, Loro and co-workers [61] reported an efficient synthetic strategy for accessing a new class of enantiopure morpholino homonucleosides 58 starting from readily available 1,2-amino alcohols or glycidol 57, using PdCl2(MeCN)2 as the catalyst (Scheme 31). The approach relies on 2-bromomethyl morpholines as key intermediates, which are formed diastereoselectively via Pd-electrocatalyzed alkoxybromination of unactivated alkenols.
The authors demonstrated that these brominated intermediates can be subsequently functionalized with various nucleobases, enabling a straightforward and versatile synthesis of morpholino homonucleosides.
The electrochemical alkoxybromination protocol proved broadly applicable to a range of alkenol substrates. Under constant-current electrolysis (I = 5 mA) in an undivided cell equipped with a platinum plate cathode and a graphite plate anode, treatment of the substrates with catalytic PdCl2(MeCN)2 and KBr efficiently delivered the desired products. Notably, the corresponding trans-2,5-disubstituted morpholines were obtained as single diastereoisomers in 62–99% yield (Scheme 31).
To support the proposed mechanism, the authors performed cyclic voltammetry (CV) studies to clarify the role of each component. In the presence of KBr, anodic oxidation of Br occurs above 0.8 V, likely via a multistep process involving Br3 formation. A weaker cathodic wave at 0.1 V corresponds to the Br2/Br couple, and the large peak-to-peak separation indicates an irreversible process. Increasing Br concentration enhances both anodic and cathodic currents, confirming that Br2 is generated in situ at the graphite anode. Substrate 57 does not alter the electrochemical response, indicating no direct electron transfer at the electrode. In contrast, PdCl2(MeCN)2 shows significant electrochemical activity, and the increase in current upon the addition of 1a suggests substrate coordination to Pd(II). these observations are consistent with the mechanistic proposal depicted in Scheme 32. Initial coordination of the substrate to Pd(II) generates intermediate A, which undergoes intramolecular 6-exo-alkoxypalladation to afford intermediate B. From this point, two plausible pathways may operate: either a Pd(II)/Pd(IV) manifold involving oxidative halogenation by electrogenerated bromine to form intermediate C, followed by reductive elimination, or a Pd(II)/Pd(II) pathway in which bromine promotes concerted electrophilic cleavage of the C–Pd bond via transition state C′. Intermediate C (or C′) then undergoes product-forming transformation to afford 58, concomitantly regenerating the Pd(II)X catalyst.
From a broader perspective, electrochemical palladium catalysis has emerged as a powerful and versatile platform for C–H functionalization, enabling access to Pd(II)/Pd(IV) and Pd(0)/Pd(II) redox manifolds under oxidant-free conditions. The ability to precisely control palladium oxidation states electrochemically has unlocked new reactivity patterns, improved selectivity, and mitigated long-standing challenges such as catalyst deactivation and Pd black formation. Despite these advances, remaining challenges include controlling competing redox pathways, expanding nondirected C–H activation, and improving mechanistic resolution. Continued innovation in electrochemical design, ligand development, and reactor engineering is expected to further broaden the scope and sustainability of Pd-mediated C–H activation, positioning palladium as a critical bridge between traditional noble metal catalysis and next-generation electrosynthetic strategies. Despite these promising developments, noble metal electrocatalysis still exhibits notable limitations. For rhodium-based systems, these include a strong dependence on directing groups, limited substrate generality, high catalyst cost, and a relative scarcity of fully mechanistically resolved catalytic cycles. Moreover, many Rh-electrocatalytic protocols remain sensitive to solvent and electrode choice, and scalability has only been demonstrated in select cases. Nevertheless, the growing body of work highlights that rhodium electrocatalysis offers distinctive strengths, particularly for enantioselective C–H activation and access to high-valent Rh redox chemistry. Future progress will likely depend on expanding nondirected reactivity, improving mechanistic understanding of Rh(III)/Rh(I)/Rh(IV)/Rh(V) cycles, and reducing operational barriers to make Rh electrocatalysis more broadly accessible. We can conclude that ruthenium, iridium, rhodium, and palladium now define the current state of the art in non-earth-abundant transition metal electrocatalysis for C–H activation. Each metal contributes distinct reactivity profiles and mechanistic insights, while also revealing persistent limitations that increasingly motivate the shift toward earth-abundant alternatives.
Ruthenium remains the most synthetically versatile among the noble metals, enabling peri-C–H activation, weak O-coordination-assisted annulations, electrooxidative [4 + 2] cycloadditions, and ortho-directed functionalizations. Its broad substrate tolerance and anodic access to high-valent Ru intermediates facilitate the construction of complex heterocycles. However, Ru-based systems often require elevated temperatures, protic media, and strong directing groups, and mechanistic proposals frequently lack direct observation of Ru(IV)/Ru(V) species, limiting mechanistic certainty. Iridium, although comparatively less explored, has delivered some of the clearest mechanistic insights in the field. Early Ir-catalyzed C–H alkenylations relied on redox mediators, whereas more recent oxidant-free Ir(III)-catalyzed annulations proceed under mild conditions with broad substrate scope and excellent regioselectivity. Notably, Guo’s structural and electrochemical characterization of Ir(III)/Ir(I) intermediates provides rare experimental validation of a complete Ir redox cycle. Nonetheless, iridium catalysis remains constrained by high catalyst cost and a continued reliance on strong directing groups. Rhodium has emerged as a particularly powerful platform for enantioselective C–H activation, with electrochemistry enabling chirality transfer through cooperative catalysis between achiral Cp*Rh(III) complexes and chiral Brønsted bases, as well as finely tuned stereocontrol in room-temperature spiropyrazolone synthesis. Mechanistic innovation is exemplified by Xie’s work, in which electrochemical disproportionation generates unique Rh(IV)/Rh(V) species in tandem with Rh(I), unlocking transformations inaccessible under classical oxidative conditions. Despite these advances, rhodium catalysis continues to face challenges related to cost, directing-group dependence, and limited substrate diversity. Palladium, by contrast, occupies a unique and strategically important position at the interface between traditional noble metal catalysis and modern electrosynthesis. Electrochemical control enables palladium to operate across Pd(0)/Pd(II) and Pd(II)/Pd(IV) manifolds without stoichiometric oxidants, allowing for direct access to reactivity patterns long sought in thermal Pd catalysis. Recent studies including undivided-cell C–H alkylation, AC-enabled meta-selective functionalization, and asymmetric electrochemical C–H activation demonstrate that electrocatalysis not only mitigates Pd black formation but also expands selectivity, sustainability, and mechanistic tunability. Nevertheless, Pd electrocatalysis still faces challenges in controlling competing redox pathways and achieving broad nondirected reactivity. Taken together, these noble metal electrocatalytic platforms showcase both the transformative power and inherent constraints of non–earth-abundant metals. They provide benchmark reactivity, access to unusual high-valent intermediates, and deep mechanistic insight, yet often rely on expensive catalysts, directing groups, and carefully optimized electrochemical conditions. These lessons now serve as a critical foundation for the rapidly expanding field of earth-abundant metal electrocatalysis (Fe, Co, Ni, Mn), where sustainability, cost reduction, and new mechanistic paradigms are driving the next wave of innovation in electroxidative C–H activation.

4. Comparative Analysis of Noble Metals in Electrochemical C–H Activation

While ruthenium, rhodium, iridium, and palladium have each demonstrated significant potential in electrochemical C–H activation, their reactivity profiles, mechanistic preferences, and practical efficiencies differ substantially. A comparative analysis provides valuable insight into the strengths and limitations of each metal platform and helps rationalize their complementary roles in electrocatalytic C–H functionalization. Ruthenium stands out for its broad synthetic versatility and tolerance toward weakly coordinating directing groups. Under electrochemical conditions, Ru readily accesses high-valent Ru(IV/V) species, enabling peri- and ortho-selective annulations, oxidative cycloadditions, and C–heteroatom bond formation. However, Ru-based systems often require elevated temperatures, protic solvents, and strong chelation control, and mechanistic proposals frequently rely on inferred high-valent intermediates rather than direct observation. Iridium displays comparatively narrower substrate scope but offers some of the clearest mechanistic insight among noble metals. Electrochemical Ir catalysis typically operates through Ir(III)/Ir(I) redox cycles, often assisted by redox mediators, allowing for milder reaction conditions and improved control over oxidation states. Despite these advantages, Ir systems remain limited by catalyst cost, strong directing-group dependence, and lower overall reaction diversity. Rhodium occupies a unique position, particularly in enantioselective electrochemical C–H activation. Electrochemical oxidation enables access to uncommon Rh(IV)/Rh(V) species and supports cooperative catalytic strategies that decouple enantioinduction from chiral metal complexes. Rh systems often exhibit high efficiency and stereocontrol but remain constrained by directing-group requirements, sensitivity to electrochemical parameters, and limited scalability. Palladium is the most broadly applicable noble metal in electrochemical C–H activation, benefiting from flexible Pd(0)/Pd(II) and Pd(II)/Pd(IV) redox manifolds. Electrochemical control mitigates Pd black formation, enables operation in undivided cells, and supports a wide range of C–C and C–heteroatom bond-forming reactions, including asymmetric transformations. Nevertheless, competing redox pathways and challenges in nondirected activation persist. In a broader context, palladium offers the greatest generality and operational simplicity, ruthenium provides synthetic breadth, rhodium excels in enantioselective and high-valent chemistry, and iridium delivers mechanistic clarity. These complementary features underscore the importance of metal choice in designing efficient and sustainable electrochemical C–H activation strategies.
To facilitate direct comparison, Table 1 summarizes the key features of Pd-, Rh-, Ir-, and Ru-catalyzed electrochemical C–H activation, including typical redox cycles, reaction efficiency, mechanistic preferences, and operational limitations.
Although less explored than Pd, Rh, Ir, and Ru, gold catalysis has recently emerged as a promising platform for electrochemical C–H and cross-coupling reactions. Notably, electrochemical gold-catalyzed biocompatible C(sp2)–C(sp) coupling was reported in 2023 [62], demonstrating that anodic oxidation can efficiently generate high-valent Au(III) intermediates under mild and aqueous-compatible conditions. This study highlights the unique redox properties of gold and its potential for enabling selective bond formation under electrochemical control. While still in its early stages, Au electrocatalysis represents an intriguing and complementary noble metal platform that may further expand the scope of electrochemical C–H functionalization.

5. Emerging Trends

Several emerging trends are reshaping the landscape of noble metal-catalyzed electrooxidative C–H activation, with electrochemistry increasingly serving as a central design principle rather than a mere alternative to chemical oxidants. A major development is the growing use of precisely controlled anodic oxidation to access high-valent intermediates of Ru, Ir, Rh, and Pd, which are often difficult or impossible to generate cleanly under conventional oxidative conditions (Figure 3). In particular, electrochemical redox control has enabled selective access to Ru(IV/V), Rh(IV/V), Ir(IV), and Pd(III/IV) species under comparatively mild conditions, thereby expanding the accessible mechanistic space of noble metals while simultaneously enhancing reaction sustainability. A second important trend is the increasing prevalence of dual and cooperative catalytic strategies, in which electrochemical oxidation is combined with photoredox catalysis, ligand-enabled redox modulation, alternating-current (AC) electrolysis, or redox mediators such as benzoquinone, TEMPO, and ferrocene derivatives. These hybrid systems are particularly impactful for palladium catalysis, where electrochemical control can suppress Pd black formation, regulate competing Pd(0)/Pd(II) and Pd(II)/Pd(IV) pathways, and stabilize otherwise transient high-valent species. More broadly, such approaches lower activation barriers, improve catalyst longevity, and broaden substrate tolerance, especially in transformations involving challenging C–H activation steps or sensitive functional groups. Finally, the application of noble metal electrocatalysis to late-stage functionalization (LSF) is gaining significant momentum. The ability of electrochemical methods to modulate metal oxidation states with high precision enables site- and chemoselective C–H activation within complex molecular scaffolds, even in the presence of densely functionalized environments. This capability has proven particularly valuable for Pd- and Rh-based systems, where directing-group strategies and redox tuning allow for selective modification of advanced intermediates. Such attributes align closely with the demands of medicinal chemistry, agrochemical discovery, and materials science, where rapid diversification of complex molecules is essential.
From a broader perspective, these trends reflect a broader evolution in noble metal C–H activation from traditional, oxidant-dependent methodologies toward electrochemically driven, redox-tailored, and multifunctional catalytic platforms. By integrating palladium alongside ruthenium, iridium, and rhodium, modern electrocatalysis now offers unprecedented control over reactivity, selectivity, and sustainability, while also providing a conceptual and practical bridge toward the continued development of earth-abundant metal electrocatalysis.
Beyond mechanistic innovation and reaction scope, practical considerations such as reactor design, electrode materials, and energy efficiency play an increasingly important role in advancing electrochemical C–H activation toward realistic and scalable applications. Recent studies have demonstrated that electrode engineering can significantly influence catalytic efficiency, selectivity, and energy consumption. In this context, nanoparticle-enhanced electrode systems have emerged as a promising strategy to improve interfacial electron transfer, increase active surface area, and lower overpotential requirements. For example, Lashari and co-workers (2025) [63] reported that metal nanoparticle-modified electrodes enable enhanced electrocatalytic performance and improved energy efficiency under practically relevant conditions. Although such approaches are not yet widely integrated into noble metal-catalyzed C–H activation, they highlight important opportunities for performance optimization through electrode and reactor design. Future progress in electrochemical C–H functionalization will likely depend not only on catalyst and ligand development, but also on advances in electrochemical hardware, electrode materials, and energy-efficient reactor architectures.
Beyond molecular electrosynthesis, recent methodological advances in electrooxidation highlight new directions that may inspire future developments in electrochemical C–H activation. Emerging strategies such as piezoelectric-assisted electrocatalysis for metal recovery and low-temperature electrooxidation of methane demonstrate how unconventional energy inputs, catalyst architectures, and reactor concepts can enable challenging oxidation processes under mild conditions. For example, recent studies by Qiu and co-workers (2026) [64] illustrate how innovative electrocatalytic platforms can overcome kinetic and energetic barriers traditionally associated with oxidative transformations. Although these systems are not directly related to noble metal-catalyzed C–H functionalization, they underscore the broader evolution of electrocatalysis and suggest design principles that could inform next-generation electrochemical C–H activation strategies.
In parallel, recent advances in synergistic and dual catalytic systems highlight how materials design and multi-catalytic cooperation can significantly enhance electrocatalytic performance and sustainability. Hybrid platforms such as Ir-based metal–organic framework (MOF) catalysts for hydrogen evolution and Cu–MOF/peroxymonosulfate (PMS) systems for pollutant degradation [65] demonstrate how spatial confinement, cooperative active sites, and coupled catalytic pathways can improve efficiency under mild conditions. Representative studies reported by Li and co-workers (2025) [66] illustrate how such integrated catalytic architectures enable enhanced activity and durability. Although these systems are not directly related to noble metal-catalyzed electrochemical C–H activation, they provide valuable conceptual insights into how synergistic catalyst design and multifunctional platforms may inform future developments in electrochemical C–H functionalization.

6. Challenges & Outlook

Despite recent progress, several key challenges continue to limit the broader implementation of noble metal-catalyzed electrooxidative C–H activation. Achieving high levels of regio-, chemo-, and site-selectivity, particularly in nondirected settings, remains a central difficulty, as steric and electronic effects alone often provide insufficient control within complex molecular frameworks (Figure 4).
From an operational perspective, many established Ru, Rh, Ir, and Pd electrocatalytic protocols continue to rely on elevated temperatures, polar protic solvents, or specialized electrode materials, highlighting the need for milder, more general, and experimentally robust reaction conditions. In palladium electrocatalysis, additional challenges arise from competing redox manifolds, including Pd(0)/Pd(II) and Pd(II)/Pd(IV) pathways, as well as metal deposition and electrode fouling under direct-current conditions. While strategies such as alternating-current electrolysis and redox mediation have begun to address these issues, broader implementation and standardization remain necessary. A deeper mechanistic understanding represents an equally significant barrier. The identity, stability, and reactivity of high-valent intermediates of Ru, Rh, Ir, and Pd generated at the anode are often poorly defined, complicating rational catalyst, ligand, and reactor design. In many cases, mechanistic proposals are extrapolated from thermally driven reactions or classical Pd catalysis, rather than supported by direct experimental observation under electrochemical conditions. This limitation is particularly evident for Pd(III)/Pd(IV) species and for transient high-valent Rh and Ru intermediates, whose lifetimes and reactivity profiles remain difficult to capture. Looking forward, major opportunities lie in the integration of in situ and operando spectroelectrochemical techniques, including X-ray absorption spectroscopy, EPR, Raman, and infrared methods, which can directly monitor metal oxidation states, ligand dynamics, and C–H activation events under applied potential. Coupling these tools with advanced computational modeling, well-defined electrochemical platforms, and standardized reporting of electrochemical parameters will enable more reproducible, scalable, and predictive transformations. In parallel, the development of next-generation ligand frameworks capable of stabilizing reactive high-valent intermediates particularly for Pd and Rh will further expand the accessible catalytic space. Ultimately, addressing these challenges will be essential for translating noble metal electrocatalysis from proof-of-concept studies into broadly applicable synthetic technologies. The mechanistic insights gained from Ru, Rh, Ir, and Pd systems will not only refine noble metal catalysis but also inform the rational design of earth-abundant metal electrocatalysts, thereby shaping the next phase of sustainable electrooxidative C–H activation.
As mechanistic understanding deepens and electrochemical tools become more standardized and user-friendly, noble metal electrocatalysis encompassing Ru, Rh, Ir, and Pd is poised to evolve into a more predictable, selective, and sustainable platform for C–H functionalization. With continued innovation, Pd-, Rh-, Ir-, and Ru-mediated electrooxidative strategies are expected to play an increasingly influential role in the development of next-generation synthetic methodologies. Beyond synthetic methodology, electrochemical C–H activation also holds emerging relevance for applications in materials science and environmental catalysis. Recent studies have highlighted how nitrogen-rich and high-energy materials can be rationally designed through controlled bond activation and redox chemistry, offering potential utility in advanced functional materials and energy-related applications. For example, Zhang and co-workers (2026) [67] demonstrated the design of nitrogen-rich high-energy materials through catalytic strategies that conceptually align with electrochemically driven C–H functionalization. While such applications remain largely unexplored within noble metal electrocatalysis, they point to promising opportunities for extending electrochemical C–H activation beyond small-molecule synthesis toward materials-oriented and environmentally relevant platforms.
While numerous mechanistic pathways have been proposed for noble metal-catalyzed electrochemical C–H activation, direct experimental validation of high-valent intermediates remains limited in many systems. In this context, In Situ and operando spectroscopic techniques including X-ray absorption spectroscopy (XAS), electron paramagnetic resonance (EPR), Raman, infrared, and electroanalytical methods are increasingly recognized as essential tools for elucidating catalytic redox processes under applied potential. Recent mechanistic studies in electrocatalysis, such as operando investigations of methanol conversion reported by He and co-workers (2025) [68], demonstrate how real-time spectroscopic monitoring can directly identify high-valent metal species and correlate them with catalytic activity. Although such approaches have not yet been widely applied to noble metal-catalyzed electrochemical C–H activation, their integration represents a critical opportunity to move beyond plausible mechanistic proposals toward experimentally validated catalytic cycles.
Beyond catalyst cost and elemental sustainability, practical implementation of noble metal-catalyzed electrochemical C–H activation critically depends on catalyst stabilization, recyclability, and resistance to degradation under electrochemical conditions. Strategies such as catalyst immobilization, heterogenization, and hybrid material design offer promising routes to mitigate metal leaching, suppress aggregation, and extend catalyst lifetime. In this context, recent advances in metal–organic framework (MOF)–based immobilization platforms have demonstrated efficient capture and stabilization of noble metals even under harsh chemical and electrochemical environments. For example, Li and co-workers (2025) [69] reported MOF-based materials capable of robust noble metal immobilization, highlighting how hybrid architectures can enhance durability and enable catalyst recycling. Although such approaches have not yet been widely applied to noble metal-catalyzed electrochemical C–H functionalization, they represent a compelling strategy to improve catalyst longevity, reduce precious-metal loss, and advance the practical sustainability of electrocatalytic C–H activation.
While this review has focused on noble metal-catalyzed electrochemical C–H activation, emerging electrocatalytic systems based on earth-abundant metals such as copper, iron, and nickel are increasingly demonstrating competitive reactivity and sustainability advantages. These metals offer lower cost, greater elemental abundance, and reduced environmental impact, albeit often with distinct mechanistic paradigms compared to noble metal catalysts. Recent studies illustrate this potential; for example, Liu and co-workers (2025) [70] reported heterogeneous copper single-atom catalysts enabling electrochemically driven radical difunctionalization of alkenes, highlighting how well-defined non-noble metal active sites can mediate complex bond-forming processes under electrochemical control. Although such systems are not yet broadly applicable to directed C–H activation, they underscore the growing promise of earth-abundant metal electrocatalysts and provide an important point of comparison for assessing the future sustainability and scalability of noble metal-based electrochemical C–H functionalization.

7. Conclusions

Electrochemical oxidation has emerged as a powerful platform for enabling and expanding noble metal-catalyzed C–H activation, offering precise redox control, enhanced sustainability, and access to high-valent intermediates that are often inaccessible using traditional chemical oxidants. As highlighted throughout this review, ruthenium, rhodium, iridium, and palladium now collectively define the state of the art in electrooxidative C–H functionalization. These metals have enabled a wide array of bond-forming events, ranging from peri- and ortho-selective annulations and oxidative cycloadditions to heterocycle construction, asymmetric C–H activation, and late-stage diversification of complex molecular scaffolds. The unique ability of electrochemistry to generate metal oxidation states on demand has significantly broadened mechanistic possibilities, allowing the field to move beyond the constraints of classical Ru(II)/Ru(IV), Rh(III)/Rh(V), Ir(III)/Ir(IV), and Pd(II)/Pd(IV) or Pd(0)/Pd(II) catalytic paradigms.
Despite these advances, key challenges remain. Controlling site- and chemoselectivity in the absence of strong directing groups, expanding the scope toward milder and more generalizable reaction conditions, and achieving a rigorous mechanistic understanding of transient high-valent intermediates remain central objectives. Many catalytic proposals continue to be extrapolated from thermally driven systems or classical Pd catalysis, underscoring the need for direct spectroscopic and electroanalytical characterization of active species under operational electrochemical conditions. In parallel, broader adoption of noble metal electrocatalysis will depend on the development of standardized electrochemical platforms, improved scalability, and user-friendly protocols that integrate seamlessly into established synthetic workflows.
Looking forward, the continued convergence of electrochemistry with modern catalyst and ligand design, photoredox catalysis, alternating-current electrolysis, and in situ/operando spectroelectrochemical techniques promises to unlock new reactivity modes while substantially refining mechanistic understanding. As these tools mature, electrooxidative C–H activation by Ru, Rh, Ir, and Pd catalysts is poised to evolve from a specialized methodology into a broadly applicable and predictive strategy for sustainable molecular construction. The ongoing exploration of redox-governed reactivity, mechanistic nuance, and electrochemical efficiency will play a decisive role in shaping the next generation of selective, scalable, and environmentally conscious C–H activation technologies.
From a broader electrochemical perspective, these systems illustrate how molecular electrocatalysis can be leveraged to access high-valent metal intermediates, interrogate complex redox manifolds, and couple anodic C–H activation with cathodic hydrogen evolution within a unified and sustainable electrochemical framework.

Author Contributions

Conceptualization, N.S. and S.R.; methodology, N.S.; software, S.R.; validation, N.S., S.M. and S.R.; formal analysis, N.S.; investigation, S.M.; resources, S.M.; data curation, N.S.; writing—original draft preparation, N.S., S.R.; writing—review and editing, S.M.; visualization, S.R.; supervision, N.S.; project administration, N.S.; funding acquisition, S.M. All authors have read and agreed to the published version of the manuscript.

Funding

This research received no external funding.

Data Availability Statement

No new datasets were created or analyzed in this study. Therefore, data sharing is not applicable to this article.

Acknowledgments

The researchers would like to thank the Deanship of Graduate Studies and Scientific Research at Qassim University for financial support (APC-QU- 2026).

Conflicts of Interest

The authors declare no conflicts of interest.

References

  1. Lam, N.Y.; Wu, K.; Yu, J.Q. Advancing the logic of chemical synthesis: C−H activation as strategic and tactical disconnections for C−C bond construction. Angew. Chem. 2021, 133, 15901–15924. [Google Scholar] [CrossRef]
  2. Nairoukh, Z.; Cormier, M.; Marek, I. Merging C–H and C–C bond cleavage in organic synthesis. Nat. Rev. Chem. 2017, 1, 0035. [Google Scholar] [CrossRef]
  3. Godula, K.; Sames, D. CH bond functionalization in complex organic synthesis. Science 2006, 312, 67–72. [Google Scholar] [CrossRef]
  4. Angione, M.D.; Pilolli, R.; Cotrone, S.; Magliulo, M.; Mallardi, A.; Palazzo, G.; Sabbatini, L.; Fine, D.; Dodabalapur, A.; Cioffi, N. Carbon based materials for electronic bio-sensing. Mater. Today 2011, 14, 424–433. [Google Scholar] [CrossRef]
  5. Malliaras, G.G. Organic bioelectronics: A new era for organic electronics. Biochim. Biophys. Acta (BBA)-Gen. Subj. 2013, 1830, 4286–4287. [Google Scholar] [CrossRef] [PubMed]
  6. Irimia-Vladu, M.; Głowacki, E.D.; Voss, G.; Bauer, S.; Sariciftci, N.S. Green and biodegradable electronics. Mater. Today 2012, 15, 340–346. [Google Scholar] [CrossRef]
  7. Dalton, T.; Faber, T.; Glorius, F. C–H activation: Toward sustainability and applications. ACS Cent. Sci. 2021, 7, 245–261. [Google Scholar] [CrossRef]
  8. Newton, C.G.; Wang, S.-G.; Oliveira, C.C.; Cramer, N. Catalytic enantioselective transformations involving C–H bond cleavage by transition-metal complexes. Chem. Rev. 2017, 117, 8908–8976. [Google Scholar] [CrossRef]
  9. Ritleng, V.; Sirlin, C.; Pfeffer, M. Ru-, Rh-, and Pd-catalyzed C−C bond formation involving C−H activation and addition on unsaturated substrates: Reactions and mechanistic aspects. Chem. Rev. 2002, 102, 1731–1770. [Google Scholar] [CrossRef]
  10. Balcells, D.; Clot, E.; Eisenstein, O. C–H Bond Activation in Transition Metal Species from a Computational Perspective. Chem. Rev. 2010, 110, 749–823. [Google Scholar] [CrossRef]
  11. Iglesias, M.; Oro, L.A. A leap forward in iridium–NHC catalysis: New horizons and mechanistic insights. Chem. Soc. Rev. 2018, 47, 2772–2808. [Google Scholar] [CrossRef] [PubMed]
  12. Fessner, N.D. P450 monooxygenases enable rapid late-stage diversification of natural products via C−H bond activation. ChemCatChem 2019, 11, 2226–2242. [Google Scholar] [CrossRef] [PubMed]
  13. Hong, B.; Luo, T.; Lei, X. Late-stage diversification of natural products. ACS Cent. Sci. 2020, 6, 622–635. [Google Scholar] [CrossRef] [PubMed]
  14. Shim, S.Y. Late-Stage C−H Activation of Drug (Derivative) Molecules with Pd(ll) Catalysis. Chem. A Eur. J. 2023, 29, e202302620. [Google Scholar] [CrossRef]
  15. Guillemard, L.; Kaplaneris, N.; Ackermann, L.; Johansson, M.J. Late-stage C–H functionalization offers new opportunities in drug discovery. Nat. Rev. Chem. 2021, 5, 522–545. [Google Scholar] [CrossRef]
  16. Lazic, J.; Filipovic, V.; Pantelic, L.; Milovanovic, J.; Vojnovic, S.; Nikodinovic-Runic, J. Late-stage diversification of bacterial natural products through biocatalysis. Front. Bioeng. Biotechnol. 2024, 12, 1351583. [Google Scholar] [CrossRef]
  17. Mandal, P.K.; Hoque, M.T.; Manna, A.S.; Baidya, R.; Nandi, R.; Pal, S.; Karchaudhuri, N.; Maiti, D.K. Non-Noble Metal Catalysis in Focus: Unlocking Latest Emergent Frontiers in Amide Annulation Through C–H/C–X Activation. Asian J. Org. Chem. 2025, 14, e00478. [Google Scholar] [CrossRef]
  18. Qasim, M.; Manzoor, S.; Nabeel, M.I.; Hussain, S.; Waqas, R.; Joseph, C.G.; Suazo-Hernández, J. Harnessing High-Valent Metals for Catalytic Oxidation: Next-Gen Strategies in Water Remediation and Circular Chemistry. Catalysts 2025, 15, 1168. [Google Scholar] [CrossRef]
  19. Kärkäs, M.D. Electrochemical strategies for C–H functionalization and C–N bond formation. Chem. Soc. Rev. 2018, 47, 5786–5865. [Google Scholar] [CrossRef]
  20. Novaes, L.F.; Liu, J.; Shen, Y.; Lu, L.; Meinhardt, J.M.; Lin, S. Electrocatalysis as an enabling technology for organic synthesis. Chem. Soc. Rev. 2021, 50, 7941–8002. [Google Scholar] [CrossRef]
  21. Yang, Q.L.; Fang, P.; Mei, T.S. Recent advances in organic electrochemical C–H functionalization. Chin. J. Chem. 2018, 36, 338–352. [Google Scholar] [CrossRef]
  22. Sbei, N.; Hardwick, T.; Ahmed, N. Green chemistry: Electrochemical organic transformations via paired electrolysis. ACS Sustain. Chem. Eng. 2021, 9, 6148–6169. [Google Scholar] [CrossRef]
  23. Sbei, N.; Martins, G.M.; Shirinfar, B.; Ahmed, N. Electrochemical phosphorylation of organic molecules. Chem. Rec. 2020, 20, 1530–1552. [Google Scholar] [CrossRef] [PubMed]
  24. Sbei, N.; Listratova, A.V.; Titov, A.A.; Voskressensky, L.G. Recent advances in electrochemistry for the synthesis of N-Heterocycles. Synthesis 2019, 51, 2455–2473. [Google Scholar] [CrossRef]
  25. Listratova, A.V.; Sbei, N.; Voskressensky, L.G. Catalytic electrosynthesis of N,O-Heterocycles—Recent advances. Eur. J. Org. Chem. 2020, 14, 2012–2027. [Google Scholar] [CrossRef]
  26. Sbei, N.; Haouas, B.; Chebbi, M.; Smida, Y.B.; Arfaoui, Y.; Boujlel, K.; Benkhoud, M.L. A convenient synthesis of alkyl-2-(2-imino-4-oxothiazolidin-5-ylidene)acetate derivatives involving an electrogenerated base of acetonitrile. J. Sulfur Chem. 2017, 38, 152–162. [Google Scholar] [CrossRef]
  27. Sbei, N.; Titov, A.A.; Markova, E.B.; Elinson, M.N.; Voskressensky, L.G. A Facile One-Pot Synthesis of 1,2,3,4-Tetrahydroisoquinoline-1-carbonitriles via the Electrogenerated Cyanide Anions from Acetonitrile. ChemistrySelect 2020, 5, 4493–4495. [Google Scholar] [CrossRef]
  28. Sbei, N.; Rani, S.; Rahali, S.; Aslam, S.; Haq, Z.U.; Hardwick, T.; Ahmed, N. Greening organic electrochemistry: Harnessing Electrogenerated Bases (EGBs) for sustainable organic transformations. ACS Electrochem. 2025, 1, 2648–2679. [Google Scholar] [CrossRef]
  29. Sbei, N.; Rahali, S.; Ahmed, N. C–H bond cyanation: Electrochemical synthesis of phenylbenzimidoyl cyanide derivatives. Org. Biomol. Chem. 2025, 23, 4917–4921. [Google Scholar] [CrossRef]
  30. Aslam, S.; Sbei, N.; Rani, S.; Saad, M.; Fatima, A.; Ahmed, N. Heterocyclic electrochemistry: Renewable electricity in the construction of heterocycles. ACS Omega 2023, 8, 6175–6217. [Google Scholar] [CrossRef]
  31. Sbei, N.; Haouas, B.; Boujlel, K.; Batanero, B.; Benkhoud, M.L. EGB-promoted electrochemical synthesis of 6-thioxo-[1,3,5]-triazinane-2,4 dione derivatives. Synth. Commun. 2016, 46, 673–677. [Google Scholar] [CrossRef]
  32. Martins, G.M.; Sbei, N.; Zimmer, G.C.; Ahmed, N. CH activation/functionalization via metalla-electrocatalysis. In Electrocatalysis and Electrocatalysts for a Cleaner Environment-Fundamentals and Applications; IntechOpen: London, UK, 2021. [Google Scholar]
  33. Alvarez-Pugliese, C.E.; Donneys-Victoria, D.; Cardona-Velez, W.J.; Botte, G.G. Perspectives on electrochemical valorization of organic waste. Curr. Opin. Electrochem. 2024, 46, 101508. [Google Scholar] [CrossRef]
  34. Almon, A.C.; Buchanan, B. Electrochemical Oxidation of Organic Waste; Westinghouse Savannah River Co.: Aiken, SC, USA, 1989. [Google Scholar]
  35. Li, Q.; Gunawan, D.; Jiang, L.; Gunawan, R.; Gunasekara, G.; Sarmin, S.; Doyle, R.; Lai, Q.; Amal, R.; Scott, J. Recent Advances in Electrochemical Organic Waste Reforming: Highlights on Anodic Chemistry, Materials Design, and System Integration. ACS Appl. Eng. Mater. 2025, 3, 21–43. [Google Scholar] [CrossRef]
  36. Salah, A.R.M. Electrochemical Organic Synthesis: Mechanistic and Environmental Perspectives; Shorouk Academy: Cairo, Egypt, 2025. [Google Scholar]
  37. Budnikova, Y.H.; Dolengovski, E.L.; Tarasov, M.V.; Gryaznova, T.V. Electrochemistry in organics: A powerful tool for “green” synthesis. J. Solid State Electrochem. 2024, 28, 659–676. [Google Scholar] [CrossRef]
  38. Gensch, T.; Hopkinson, M.; Glorius, F.; Wencel-Delord, J. Mild metal-catalyzed C–H activation: Examples and concepts. Chem. Soc. Rev. 2016, 45, 2900–2936. [Google Scholar] [CrossRef]
  39. Cheng, Y.-H.; Ho, Y.-S.; Yang, C.-J.; Chen, C.-Y.; Hsieh, C.-T.; Cheng, M.-J. Electron Dynamics in Alkane C–H Activation Mediated by Transition Metal Complexes. J. Phys. Chem. A 2024, 128, 4638–4650. [Google Scholar] [CrossRef]
  40. Lee, K.J.; Lodaya, K.M.; Gruninger, C.T.; Rountree, E.S.; Dempsey, J.L. Redox mediators accelerate electrochemically-driven solubility cycling of molecular transition metal complexes. Chem. Sci. 2020, 11, 9836–9851. [Google Scholar] [CrossRef]
  41. Malapit, C.A.; Prater, M.B.; Cabrera-Pardo, J.R.; Li, M.; Pham, T.D.; McFadden, T.P.; Blank, S.; Minteer, S.D. Advances on the merger of electrochemistry and transition metal catalysis for organic synthesis. Chem. Rev. 2021, 122, 3180–3218. [Google Scholar] [CrossRef]
  42. Mei, R.; Koeller, J.; Ackermann, L. Electrochemical ruthenium-catalyzed alkyne annulations by C–H/Het–H activation of aryl carbamates or phenols in protic media. Chem. Commun. 2018, 54, 12879–12882. [Google Scholar] [CrossRef]
  43. Qiu, Y.; Tian, C.; Massignan, L.; Rogge, T.; Ackermann, L. Electrooxidative ruthenium-catalyzed C−H/O−H annulation by weak O-Coordination. Angew. Chem. Int. Ed. Engl. 2018, 57, 5818–5822. [Google Scholar] [CrossRef]
  44. Luo, M.-J.; Hu, M.; Song, R.-J.; He, D.-L.; Li, J.-H. Ruthenium(II)-catalyzed electrooxidative [4+2] annulation of benzylic alcohols with internal alkynes: Entry to isocoumarins. Chem. Commun. 2019, 55, 1124–1127. [Google Scholar] [CrossRef] [PubMed]
  45. Kenyon, J.; Larrosa, I. Electrochemical Ruthenium-Catalysed Directed C−H Functionalization of Arenes with Boron Reagents. Adv. Synth. Catal. 2024, 366, 830–837. [Google Scholar] [CrossRef]
  46. Patil, N.; Subramanian, K.; Bhanage, B.M. Ruthenium-catalyzed electrochemical C–H activation of benzamidine hydrochlorides with internal alkynes for the synthesis of 1-aminoisoquinolines. Org. Biomol. Chem. 2024, 22, 8743–8748. [Google Scholar] [CrossRef] [PubMed]
  47. Qiu, Y.; Stangier, M.; Meyer, T.H.; Oliveira, J.C.; Ackermann, L. Iridium-Catalyzed Electrooxidative C−H Activation by Chemoselective Redox-Catalyst Cooperation. Angew. Chem. 2018, 130, 14375–14379. [Google Scholar] [CrossRef]
  48. Yang, Q.-L.; Guo, N.-N.; Liu, S.-X.; Zhang, B.-N.; Zou, G.; Wang, H.-X.; Wang, D.-C.; Guo, H.-M. Electrooxidative iridium-catalyzed sp2 C–H activation–annulation leading to cationic π-extended heteroaromatics. Org. Chem. Front. 2024, 11, 4849–4856. [Google Scholar] [CrossRef]
  49. Li, Y.; Xu, J.; Oliveira, J.C.; Scheremetjew, A.; Ackermann, L. Electrochemical Enantioselective C–H Annulation by Achiral Rhodium(III)/Chiral Brønsted Base Domino Catalysis. ACS Catal. 2024, 14, 8160–8167. [Google Scholar] [CrossRef]
  50. Huang, Y.-Q.; Wu, Z.-J.; Zhu, L.; Gu, Q.; Lu, X.; You, S.-L.; Mei, T.-S. Electrochemical rhodium-catalyzed enantioselective C–H annulation with alkynes. CCS Chem. 2022, 4, 3181–3189. [Google Scholar] [CrossRef]
  51. Guo, Z.; Zhang, J.; Zhang, J.; Xie, M. Electrochemical rhodium-catalyzed C–H cyclodimerization of alkynes to access diverse functionalized naphthalenes: Involvement of RhIV/V and RhI dual catalysis. Org. Lett. 2022, 24, 7784–7789. [Google Scholar] [CrossRef]
  52. Sadowski, B.; Yuan, B.; Lin, Z.; Ackermann, L. Rhodaelectro-Catalyzed peri-Selective Direct Alkenylations with Weak O-Coordination Enabled by the Hydrogen Evolution Reaction (HER). Angew. Chem. Int. Ed. 2022, 61, e202117188. [Google Scholar] [CrossRef]
  53. Raju, M.N.; Reddy, G.M.; Reddy, B.J.; Rao, V.J.; Parvathaneni, S.P. Pd(II) catalyzed regioselective ortho arylation of 2-arylpyridines, 1-phenyl-1H-pyrazoles, and N-pyridinylcarbazoles with diaryliodonium salts. Monatshefte Für Chem.-Chem. Mon. 2022, 153, 1261–1267. [Google Scholar] [CrossRef]
  54. Erchinger, J.E.; van Gemmeren, M. Electrochemical Methods for Pd-catalyzed C−H Functionalization. Asian J. Org. Chem. 2021, 10, 50–60. [Google Scholar] [CrossRef]
  55. Yang, Q.-L.; Li, C.-Z.; Zhang, L.-W.; Li, Y.-Y.; Tong, X.; Wu, X.-Y.; Mei, T.-S. Palladium-catalyzed electrochemical C–H alkylation of arenes. Organometallics 2018, 38, 1208–1212. [Google Scholar] [CrossRef]
  56. Kher, K.; Verma, R.; Regar, A.; Baroliya, P.K. Palladaelectro-catalyzed ortho-C–H-monoarylation of 2-phenylpyridines with arenediazonium salts. Org. Biomol. Chem. 2025, 23, 2691–2696. [Google Scholar] [CrossRef] [PubMed]
  57. Ren, K.-X.; Li, Y.-J.; Yang, X.; Li, H.-C.; Li, Y.-D.; Wang, Z.-Y.; Fan, L.-J.; Hu, Y.; Xu, H.-J. Rapid Alternating Polarity as an Approach for Electrocatalytic Synthesis of Remote meta -C–H Alkenylation. Org. Lett. 2025, 27, 11708–11713. [Google Scholar] [CrossRef] [PubMed]
  58. Dhawa, U.; Tian, C.; Wdowik, T.; Oliveira, J.C.; Hao, J.; Ackermann, L. Enantioselective Pallada-Electrocatalyzed C−H Activation by Transient Directing Groups: Expedient Access to Helicenes. Angew. Chem. Int. Ed. 2020, 59, 13451–13457. [Google Scholar] [CrossRef]
  59. Yang, Q.-L.; Wang, X.-Y.; Wang, T.-L.; Yang, X.; Liu, D.; Tong, X.; Wu, X.-Y.; Mei, T.-S. Palladium-catalyzed electrochemical C–H bromination using NH4Br as the brominating reagent. Org. Lett. 2019, 21, 2645–2649. [Google Scholar] [CrossRef]
  60. Lin, Z.; Oliveira, J.C.; Scheremetjew, A.; Ackermann, L. Palladium-catalyzed electrooxidative double C–H arylation. J. Am. Chem. Soc. 2023, 146, 228–239. [Google Scholar] [CrossRef]
  61. Papis, M.; Colombo, S.; Spanu, D.; Recchia, S.; Nava, D.; Foschi, F.; Broggini, G.; Loro, C. Diastereoselective Palladaelectro-Catalyzed Construction of Bromomethyl Morpholines as Key Step To Access Morpholino Homonucleosides. Org. Lett. 2024, 26, 6330–6334. [Google Scholar] [CrossRef]
  62. Liang, H.; Julaiti, Y.; Zhao, C.-G.; Xie, J. Electrochemical gold-catalysed biocompatible C(sp2)–C(sp) coupling. Nat. Synth. 2023, 2, 338–347. [Google Scholar] [CrossRef]
  63. Lashari, Z.A.; Lalji, S.M.; Yasin, Q.; Bentalib, A.; Jumah, A.B. Performance of nanoparticle MgO/TiO2 nanofluids with Pure bore: Insight into statistical and analytical approach. Chem. Pap. 2025, 79, 1523–1538. [Google Scholar] [CrossRef]
  64. Qiu, J.; Liu, R.; Yu, T.; Li, W.; Wu, L.; Zhong, W.; Wan, T.; Guo, R.; Huang, Z.; Liu, X. Piezoelectric catalysis for selective recovery of precious metals (Cu and Au) from waste CPUs. Sep. Purif. Technol. 2026, 389, 136854. [Google Scholar] [CrossRef]
  65. Li, Y.; Bu, J.; Sun, Y.; Huang, Z.; Zhu, X.; Li, S.; Chen, P.; Tang, Y.; He, G.; Zhong, S. Efficient degradation of norfloxacin by synergistic activation of PMS with a three-dimensional electrocatalytic system based on Cu-MOF. Sep. Purif. Technol. 2025, 356, 129945. [Google Scholar] [CrossRef]
  66. Li, R.; Chen, X.; Bian, Z.; Yu, R.; Chen, Y.; Zhang, J.; Wang, J.; Feng, X. Iridium-induced metal-organic framework honeycomb nanomaterials catalysis: A pathway to boosting hydrogen evolution reaction. J. Alloys Compd. 2025, 1020, 179345. [Google Scholar] [CrossRef]
  67. Zhang, L.; Li, C.; Pang, S. Dual-aromaticity in nitrogen-rich compounds: From fundamental concepts to the application of high-energy-density materials. Coord. Chem. Rev. 2026, 546, 217081. [Google Scholar] [CrossRef]
  68. He, J.; Tian, G.; Liao, D.; Li, Z.; Cui, Y.; Wei, F.; Zeng, C.; Zhang, C. Mechanistic insights into methanol conversion and methanol-mediated tandem catalysis toward hydrocarbons. J. Energy Chem. 2025, 112, 778–803. [Google Scholar] [CrossRef]
  69. Li, Z.; Yu, B.; Wang, Y.; Yan, B.; Liu, J.; Liu, Y.; Wang, R.; Rao, P.; Liu, Y. Reliable strategy for the covalent bonding of MOFs to SiC Membranes for ultrastable noble metal capture in harsh environments. ACS Appl. Mater. Interfaces 2025, 17, 52981–52992. [Google Scholar] [CrossRef]
  70. Liu, K.; Ding, Y.; Li, J.; Yu, Z.; Guo, J.; Zhou, Y.; Luo, K.; Ou, J. Heterogeneous Copper Single-Atom Catalyzed Three-Component Radical Difunctionalization of Alkenes. Adv. Synth. Catal. 2025, 368, e70257. [Google Scholar] [CrossRef]
Figure 1. Overview of key concepts introduced in mini-review.
Figure 1. Overview of key concepts introduced in mini-review.
Catalysts 16 00200 g001
Figure 2. Comparison of thermal and electrochemical C–H activation pathways. Thermal C–H activation proceeds via oxidative addition, (CMD), or electrophilic activation using chemical oxidants. In contrast, electrochemical redox control enables on-demand anodic oxidation of noble metal catalysts (Ru, Rh, Ir, Pd), access to high-valent intermediates, and waste-free hydrogen evolution at the cathode. Redox mediators such as benzoquinone (BQ), ferrocene (Fc), and 2,2,6,6-tetramethylpiperidine-1-oxyl (TEMPO) facilitate electron transfer and lower overpotential requirements. Directed and nondirected C–H activation modes are highlighted.
Figure 2. Comparison of thermal and electrochemical C–H activation pathways. Thermal C–H activation proceeds via oxidative addition, (CMD), or electrophilic activation using chemical oxidants. In contrast, electrochemical redox control enables on-demand anodic oxidation of noble metal catalysts (Ru, Rh, Ir, Pd), access to high-valent intermediates, and waste-free hydrogen evolution at the cathode. Redox mediators such as benzoquinone (BQ), ferrocene (Fc), and 2,2,6,6-tetramethylpiperidine-1-oxyl (TEMPO) facilitate electron transfer and lower overpotential requirements. Directed and nondirected C–H activation modes are highlighted.
Catalysts 16 00200 g002
Scheme 1. Electrosynthesis of benzo[de]quinolines 4 and benzo[de]chromenes 5 via ruthenium catalyst (adapted from [42]).
Scheme 1. Electrosynthesis of benzo[de]quinolines 4 and benzo[de]chromenes 5 via ruthenium catalyst (adapted from [42]).
Catalysts 16 00200 sch001
Scheme 2. Plausible catalytic cycle for the synthesis of benzo[de]quinolines and benzo[de]chromenes (adapted from [42]).
Scheme 2. Plausible catalytic cycle for the synthesis of benzo[de]quinolines and benzo[de]chromenes (adapted from [42]).
Catalysts 16 00200 sch002
Scheme 3. Ru-electrocatalyzed C–H/O–H annulation (adapted from [43]).
Scheme 3. Ru-electrocatalyzed C–H/O–H annulation (adapted from [43]).
Catalysts 16 00200 sch003
Scheme 4. Electrosynthesis of isoquinolones 11 (adapted from [43]).
Scheme 4. Electrosynthesis of isoquinolones 11 (adapted from [43]).
Catalysts 16 00200 sch004
Scheme 5. Ru-catalyzed electrooxidative [4 + 2] annulation of benzylic alcohols and alkyne (adapted from [44]).
Scheme 5. Ru-catalyzed electrooxidative [4 + 2] annulation of benzylic alcohols and alkyne (adapted from [44]).
Catalysts 16 00200 sch005
Scheme 6. Plausible mechanism for Ru-catalyzed electrooxidative [4 + 2] annulation of benzylic alcohols 12 and alkyne 13 (adapted from [44]).
Scheme 6. Plausible mechanism for Ru-catalyzed electrooxidative [4 + 2] annulation of benzylic alcohols 12 and alkyne 13 (adapted from [44]).
Catalysts 16 00200 sch006
Scheme 7. Electrochemical C–H functionalization of arenes using boron-based coupling partners under ruthenium catalysis (adapted from [45]).
Scheme 7. Electrochemical C–H functionalization of arenes using boron-based coupling partners under ruthenium catalysis (adapted from [45]).
Catalysts 16 00200 sch007
Scheme 8. Plausible mechanism for the electrochemical C–H functionalization of arenes using boron-based coupling partners under ruthenium catalysis (adapted from [45]).
Scheme 8. Plausible mechanism for the electrochemical C–H functionalization of arenes using boron-based coupling partners under ruthenium catalysis (adapted from [45]).
Catalysts 16 00200 sch008
Scheme 9. Synthesis of 1-aminoisoquinoline derivatives via Ru(II)-catalyzed annulation of benzamidine hydrochlorides with alkynes (adapted from [46]).
Scheme 9. Synthesis of 1-aminoisoquinoline derivatives via Ru(II)-catalyzed annulation of benzamidine hydrochlorides with alkynes (adapted from [46]).
Catalysts 16 00200 sch009
Scheme 10. A plausible mechanism for the synthesis of 1-aminoisoquinoline derivatives via Ru(II)-catalyzed annulation of benzamidine hydrochlorides with alkynes (adapted from [46]).
Scheme 10. A plausible mechanism for the synthesis of 1-aminoisoquinoline derivatives via Ru(II)-catalyzed annulation of benzamidine hydrochlorides with alkynes (adapted from [46]).
Catalysts 16 00200 sch010
Scheme 11. Ir-catalyzed electrochemical synthesis of isobenzofurans 23 via C-H bond activation (adapted from [47]).
Scheme 11. Ir-catalyzed electrochemical synthesis of isobenzofurans 23 via C-H bond activation (adapted from [47]).
Catalysts 16 00200 sch011
Scheme 12. Proposed catalytic cycle for Ir-catalyzed electrochemical synthesis of isobenzofurans 23 via C-H bond activation (adapted from [47]).
Scheme 12. Proposed catalytic cycle for Ir-catalyzed electrochemical synthesis of isobenzofurans 23 via C-H bond activation (adapted from [47]).
Catalysts 16 00200 sch012
Scheme 13. Electrochemical Ir(III)-catalyzed annulation of a nonaromatic sp2 C–H bond (adapted from [48]).
Scheme 13. Electrochemical Ir(III)-catalyzed annulation of a nonaromatic sp2 C–H bond (adapted from [48]).
Catalysts 16 00200 sch013
Scheme 14. A plausible mechanism for the electrochemical Ir(III)−catalyzed annulation of a nonaromatic sp2 C–H bond (adapted from [48]).
Scheme 14. A plausible mechanism for the electrochemical Ir(III)−catalyzed annulation of a nonaromatic sp2 C–H bond (adapted from [48]).
Catalysts 16 00200 sch014
Scheme 15. Electrochemical domino catalysis for enantioselective C−H annulation (adapted from [49]).
Scheme 15. Electrochemical domino catalysis for enantioselective C−H annulation (adapted from [49]).
Catalysts 16 00200 sch015
Scheme 16. A proposed mechanism for the electrochemical domino catalysis for enantioselective C−H annulation (adapted from [49]).
Scheme 16. A proposed mechanism for the electrochemical domino catalysis for enantioselective C−H annulation (adapted from [49]).
Catalysts 16 00200 sch016
Scheme 17. Electrochemically tuned Rh(III)-catalyzed enantioselective C–H annulation with alkynes (adapted from [50]).
Scheme 17. Electrochemically tuned Rh(III)-catalyzed enantioselective C–H annulation with alkynes (adapted from [50]).
Catalysts 16 00200 sch017
Scheme 18. A plausible mechanism for the electrochemically tuned Rh(III)-catalyzed enantioselective C–H annulation with alkynes (adapted from [50]).
Scheme 18. A plausible mechanism for the electrochemically tuned Rh(III)-catalyzed enantioselective C–H annulation with alkynes (adapted from [50]).
Catalysts 16 00200 sch018
Scheme 19. Direct synthesis of functionalized naphthalenes (adapted from [51]).
Scheme 19. Direct synthesis of functionalized naphthalenes (adapted from [51]).
Catalysts 16 00200 sch019
Scheme 20. Electrooxidative peri C-H alkenylations of 1-naphthols rhodium(III) catalysis (adapted from [52]).
Scheme 20. Electrooxidative peri C-H alkenylations of 1-naphthols rhodium(III) catalysis (adapted from [52]).
Catalysts 16 00200 sch020
Scheme 21. A plausible mechanism for the electrooxidative peri C-H alkenylations of 1-naphthols rhodium(III) catalysis (adapted from [52]).
Scheme 21. A plausible mechanism for the electrooxidative peri C-H alkenylations of 1-naphthols rhodium(III) catalysis (adapted from [52]).
Catalysts 16 00200 sch021
Scheme 22. Palladium-catalyzed electrochemical C–H alkylation (adapted from [55]).
Scheme 22. Palladium-catalyzed electrochemical C–H alkylation (adapted from [55]).
Catalysts 16 00200 sch022
Scheme 23. C–H activation of 2-phenylpyridine by electrochemical palladium-catalyzed ortho-arylation (adapted from [56]).
Scheme 23. C–H activation of 2-phenylpyridine by electrochemical palladium-catalyzed ortho-arylation (adapted from [56]).
Catalysts 16 00200 sch023
Scheme 24. The plausible mechanism of the C–H activation of 2-phenylpyridine by electrochemical palladium-catalyzed ortho-arylation (adapted from [56]).
Scheme 24. The plausible mechanism of the C–H activation of 2-phenylpyridine by electrochemical palladium-catalyzed ortho-arylation (adapted from [56]).
Catalysts 16 00200 sch024
Scheme 25. Palladium-catalyzed electrosynthesis of Olefin (adapted from [57]).
Scheme 25. Palladium-catalyzed electrosynthesis of Olefin (adapted from [57]).
Catalysts 16 00200 sch025
Scheme 26. Pd-catalyzed electrochemical synthesis of biaryls (adapted from [58]).
Scheme 26. Pd-catalyzed electrochemical synthesis of biaryls (adapted from [58]).
Catalysts 16 00200 sch026
Scheme 27. Pd-catalyzed electrochemical bromination of benzamides derivatives (adapted from [59]).
Scheme 27. Pd-catalyzed electrochemical bromination of benzamides derivatives (adapted from [59]).
Catalysts 16 00200 sch027
Scheme 28. Proposed mechanism for Pd-catalyzed electrochemical bromination of benzamides derivatives (adapted from [59]).
Scheme 28. Proposed mechanism for Pd-catalyzed electrochemical bromination of benzamides derivatives (adapted from [59]).
Catalysts 16 00200 sch028
Scheme 29. Electrochemical palladium-catalyzed oxidative synthesis of biaryl motifs (adapted from [60]).
Scheme 29. Electrochemical palladium-catalyzed oxidative synthesis of biaryl motifs (adapted from [60]).
Catalysts 16 00200 sch029
Scheme 30. Proposed mechanism for electrochemical palladium-catalyzed oxidative synthesis of biaryl motifs (adopted from [60]).
Scheme 30. Proposed mechanism for electrochemical palladium-catalyzed oxidative synthesis of biaryl motifs (adopted from [60]).
Catalysts 16 00200 sch030
Scheme 31. Pd-catalyzed electrochemical synthesis of enantiopure morpholino homonucleosides. (adopted from [61]).
Scheme 31. Pd-catalyzed electrochemical synthesis of enantiopure morpholino homonucleosides. (adopted from [61]).
Catalysts 16 00200 sch031
Scheme 32. Proposed mechanism for Pd-catalyzed electrochemical synthesis of enantiopure morpholino homonucleosides.
Scheme 32. Proposed mechanism for Pd-catalyzed electrochemical synthesis of enantiopure morpholino homonucleosides.
Catalysts 16 00200 sch032
Figure 3. Emerging electrochemical strategies and reactivity trends in noble metal-catalyzed C–H activation.
Figure 3. Emerging electrochemical strategies and reactivity trends in noble metal-catalyzed C–H activation.
Catalysts 16 00200 g003
Figure 4. Summary of key challenges and future opportunities in Ru-, Rh-, Ir, and Pd-catalyzed electrooxidative C–H activation. Outstanding issues include selectivity control, operational limitations, and incomplete understanding of high-valent intermediates. Future progress relies on mechanistic insight, methodological standardization, and improved electrochemical infrastructure.
Figure 4. Summary of key challenges and future opportunities in Ru-, Rh-, Ir, and Pd-catalyzed electrooxidative C–H activation. Outstanding issues include selectivity control, operational limitations, and incomplete understanding of high-valent intermediates. Future progress relies on mechanistic insight, methodological standardization, and improved electrochemical infrastructure.
Catalysts 16 00200 g004
Table 1. Comparison of Noble Metals in Electrochemical C–H Activation.
Table 1. Comparison of Noble Metals in Electrochemical C–H Activation.
MetalTypical Redox CycleEfficiencyKey StrengthsMain Limitations
RuRu(II)/Ru(IV–V)Moderate HighBroad annulations, weak DGsHigh T, protic solvents
IrIr(III)/Ir(I)ModerateMechanistic clarity, mildCost, narrow scope
RhRh(III)/Rh(IV–V)HighEnantioselectivity, ECDDG dependence
PdPd(0)/Pd(II), Pd(II)/Pd(IV)HighGenerality, undivided cellsCompeting redox paths
Disclaimer/Publisher’s Note: The statements, opinions and data contained in all publications are solely those of the individual author(s) and contributor(s) and not of MDPI and/or the editor(s). MDPI and/or the editor(s) disclaim responsibility for any injury to people or property resulting from any ideas, methods, instructions or products referred to in the content.

Share and Cite

MDPI and ACS Style

Sbei, N.; Makawi, S.; Rahali, S. Noble Metal-Catalyzed C–H Activation and Functionalization: Mechanistic Foundations and Emerging Electrochemical Strategies. Catalysts 2026, 16, 200. https://doi.org/10.3390/catal16020200

AMA Style

Sbei N, Makawi S, Rahali S. Noble Metal-Catalyzed C–H Activation and Functionalization: Mechanistic Foundations and Emerging Electrochemical Strategies. Catalysts. 2026; 16(2):200. https://doi.org/10.3390/catal16020200

Chicago/Turabian Style

Sbei, Najoua, Suzan Makawi, and Seyfeddine Rahali. 2026. "Noble Metal-Catalyzed C–H Activation and Functionalization: Mechanistic Foundations and Emerging Electrochemical Strategies" Catalysts 16, no. 2: 200. https://doi.org/10.3390/catal16020200

APA Style

Sbei, N., Makawi, S., & Rahali, S. (2026). Noble Metal-Catalyzed C–H Activation and Functionalization: Mechanistic Foundations and Emerging Electrochemical Strategies. Catalysts, 16(2), 200. https://doi.org/10.3390/catal16020200

Note that from the first issue of 2016, this journal uses article numbers instead of page numbers. See further details here.

Article Metrics

Back to TopTop