Sign in to use this feature.

Years

Between: -

Subjects

remove_circle_outline
remove_circle_outline
remove_circle_outline
remove_circle_outline
remove_circle_outline
remove_circle_outline
remove_circle_outline
remove_circle_outline
remove_circle_outline

Journals

remove_circle_outline
remove_circle_outline
remove_circle_outline
remove_circle_outline
remove_circle_outline

Article Types

Countries / Regions

remove_circle_outline
remove_circle_outline
remove_circle_outline
remove_circle_outline

Search Results (601)

Search Parameters:
Keywords = reference gene validation

Order results
Result details
Results per page
Select all
Export citation of selected articles as:
12 pages, 553 KB  
Article
CD36 rs1761667 Polymorphism and Its Impact on Molecular Signatures in Bladder Cancer
by Mihai Ioan Pavalean, Ioana Maria Lambrescu, Gisela Gaina, Victor Lucian Madan, Mihail Eugen Hinescu and Laura Cristina Ceafalan
Diseases 2026, 14(2), 44; https://doi.org/10.3390/diseases14020044 - 28 Jan 2026
Abstract
Background: Bladder cancer remains a heterogeneous disease, and genetic factors are increasingly recognized as potential contributors to its pathogenesis. CD36, a multifunctional scavenger receptor implicated in lipid metabolism and tumor progression, has not been previously investigated in relation to bladder cancer-associated polymorphisms. Objectives: [...] Read more.
Background: Bladder cancer remains a heterogeneous disease, and genetic factors are increasingly recognized as potential contributors to its pathogenesis. CD36, a multifunctional scavenger receptor implicated in lipid metabolism and tumor progression, has not been previously investigated in relation to bladder cancer-associated polymorphisms. Objectives: This study examined the relationship between the rs1761667 variant and CD36 mRNA expression. Methods: Our study included 30 patients with bladder cancer and 19 controls. PCR–RFLP genotyping for rs1761667 and RT–qPCR quantification of CD36 mRNA expression, with GAPDH as the reference gene, were performed. Expression levels were analyzed using the 2^–ΔΔCt method, and statistical significance was defined as p < 0.05. Results: In patients, CD36 expression varied significantly across rs1761667 genotypes with reduced expression in AA carriers compared with GG carriers (post hoc, p = 0.009, with a Holm-adjusted p = 0.03). No significant genotype-related differences were observed among controls. Genotype distributions did not differ significantly between cases and controls (χ2, p = 0.053). Conclusions: These results indicate that rs1761667 may modulate CD36 transcription in a genotype-dependent manner, particularly in the disease context. Overall, our findings point to a potential biological connection between inherited CD36 variation and bladder cancer-related pathways, underscoring the need for further validation in tumor tissues Full article
21 pages, 6952 KB  
Article
Combined Transcriptomic and Metabolomic Analysis of the Coloration Mechanism in Colored-Leaf Osmanthus fragrans ‘Jinyu Guihua’
by Peng Guo, Yu Huang, Peiquan Jin, Xinke Li, Qianqian Ma, Luoyi Yu, Wei Zhao, Yihan Wang and Fude Shang
Plants 2026, 15(3), 385; https://doi.org/10.3390/plants15030385 - 27 Jan 2026
Abstract
The colored-leaf Osmanthus fragrans is a valuable ornamental tree species that integrates greenery, colorful leaves, and fragrance. At present, research on colored-leaf Osmanthus fragrans mainly focuses on cultivar breeding, classification and cultivation, and physiological resistance, while studies on leaf color variation remain limited. [...] Read more.
The colored-leaf Osmanthus fragrans is a valuable ornamental tree species that integrates greenery, colorful leaves, and fragrance. At present, research on colored-leaf Osmanthus fragrans mainly focuses on cultivar breeding, classification and cultivation, and physiological resistance, while studies on leaf color variation remain limited. In this study, the colored-leaf Osmanthus cultivar ‘Jinyu Guihua’ and its female parent were used as materials. The leaf coloration mechanism was systematically investigated through a combined analysis of physiology, transcriptomics, and metabolomics. The results showed that compared with the female parent, the leaves of ‘Jinyu Guihua’ exhibited significantly reduced chlorophyll b and anthocyanin contents, fewer chloroplasts, and more plastoglobules. Transcriptomic analysis identified 3938 differentially expressed genes (DEGs), among which the key chlorophyll metabolism gene CAO was downregulated and NOL was upregulated; the key carotenoid synthesis gene PSY was downregulated and CYP97A3 was upregulated; the key anthocyanin synthesis gene ANS was downregulated; and the PetC2 gene in the photosynthesis-related Cytb6-f complex was upregulated. qRT-PCR validation results were consistent with the RNA-seq data. Metabolomic analysis detected 1290 metabolites, classified into 21 subcategories, with flavonoids being the most abundant (17.21%). Anthocyanin synthase (ANS) significantly downregulated the expression levels of cyanidin-3-O-rutinoside (Cy3R) and delphinidin-3-O-rutinoside (De3R). In conclusion, the leaf color variation in ‘Jinyu Guihua’ is closely related to changes in leaf pigment content and the regulation of key metabolic pathway gene expression. The findings of this study provide a theoretical basis for the molecular breeding of new colored-leaf Osmanthus varieties and serve as a reference for trait research in other ornamental plants. Full article
(This article belongs to the Section Plant Physiology and Metabolism)
Show Figures

Figure 1

11 pages, 3049 KB  
Article
Association of Single-Nucleotide Polymorphisms in Sweet Taste Perception and Intake Genes with Primary Ciliary Dyskinesia and Its Clinical Phenotypes
by Gioia Piatti, Mirko Aldè, Romina Ruberto, Aurora Santin, Giorgia Girotto and Maria Pina Concas
Int. J. Mol. Sci. 2026, 27(3), 1234; https://doi.org/10.3390/ijms27031234 - 26 Jan 2026
Viewed by 4
Abstract
Primary ciliary dyskinesia (PCD) is a congenital motile ciliopathy causing impaired mucociliary clearance and characterized by recurrent respiratory infections affecting both the upper and lower airways. Several genes involved in taste perception pathways are expressed in extraoral tissues and have recently emerged as [...] Read more.
Primary ciliary dyskinesia (PCD) is a congenital motile ciliopathy causing impaired mucociliary clearance and characterized by recurrent respiratory infections affecting both the upper and lower airways. Several genes involved in taste perception pathways are expressed in extraoral tissues and have recently emerged as regulators of airway immune responses. This study aimed to (1) analyze potential correlations between PCD clinical manifestations and (2) investigate whether genetic variants within sweet signaling genes (SweetG) could be associated with PCD features. A total of 17 SNPs in nine SweetG were tested for differences in allele frequency between patients and the gnomAD European reference population using a binomial test. Regression models were used to evaluate associations between SweetG-SNPs and clinical features of patients. A cohort of 34 patients (10–69 years, 44.1% male) was included in the study. Regarding (1), a moderate/high correlation was identified among the clinical manifestations of the pathologies. Regarding (2), the minor alleles of rs5415 (SLC2A4 gene) and rs838133 (FGF21 gene) were less frequent in patients than in the reference population (p < 0.05). In addition, rs5415 and rs838133 were associated with the presence of chronic rhinosinusitis and situs inversus, respectively (p < 0.05). This study reveals associations between SweetG-SNPs and PCD as well as its specific clinical features, suggesting a potential link between sweet signaling pathways and PCD clinical variability. Although larger multicenter studies are warranted to validate these findings, they represent a promising area of research that can enhance our understanding of PCD and elucidate the genetic basis of clinical manifestations associated with the disease. Full article
(This article belongs to the Special Issue Genetic Testing in Molecular Pathology and Diagnosis)
Show Figures

Figure 1

22 pages, 2428 KB  
Article
Prevalence, Characterization and Genetic Diversity of Listeria monocytogenes in Ready-to-Eat Raw Salmon (Salmo salar) and Trout (Oncorhynchus mykiss) Products
by Yujie Gong, Lin Yao, Meng Qu, Fengling Li, Yingying Guo, Na Li, Wenjia Zhu, Lianzhu Wang, Peng Wang and Yanhua Jiang
Foods 2026, 15(2), 385; https://doi.org/10.3390/foods15020385 - 21 Jan 2026
Viewed by 88
Abstract
Listeria monocytogenes is a high-risk pathogenic bacterium associated with ready-to-eat foods and poses a potential threat to consumer health. This study aimed to investigate the prevalence, characterization and genetic diversity of L. monocytogenes in ready-to-eat raw salmon and trout products obtained from physical [...] Read more.
Listeria monocytogenes is a high-risk pathogenic bacterium associated with ready-to-eat foods and poses a potential threat to consumer health. This study aimed to investigate the prevalence, characterization and genetic diversity of L. monocytogenes in ready-to-eat raw salmon and trout products obtained from physical stores and online stores in China. Out of 150 samples analyzed, 23 (15.3%) were positive for L. monocytogenes. Among these positive samples, three (12%) were from Japanese restaurants, four (16%) from farmers markets, one (2.9%) from large supermarkets and fifteen (30%) from e-commerce platforms, and only one sample showed a contamination level exceeding 100 most probable number (MPN)/g. The isolates from positive samples demonstrated a concrete public health risk through several findings: twenty-three L. monocytogenes exhibited varying degrees of cytotoxicity, ranging from 7.6% to 71.8%. Compared with the reference strain ATCC 19115, five of these isolates were highly cytotoxic, a result that was validated by mouse survival rate experiment, which also confirmed their high virulence at tested dose. All isolates were resistant to cefuroxime sodium, ceftriaxone, cefepime and nalidixic acid, and 13% showed resistance to sulphamethoxazole-trimethoprim. Three serogroups were identified, with serogroup Ⅰ.1 (1/2a, 3a) being the most prevalent (65.2%). These isolates were grouped into eight sequence types, with ST8 (34.8%) and ST87 (30.4%) dominating. All isolates carried virulence genes associated with LIPI-1 andmultiple internalin genes (inlA, inlB, inlJ and inlK), confirming their potential pathogenicity. Additionally, the isolates harbored antimicrobial resistance genes lin and FosX. The five highly virulent isolates exhibited the highest genetic similarity to J2-031 (GCA_000438645.1) and C1-387 (GCA_000438605.1). The results provided valuable information for Chinese regulatory authorities to strengthen the risk monitoring of L. monocytogenes in ready-to-eat raw salmon and trout products. Full article
(This article belongs to the Section Food Microbiology)
Show Figures

Graphical abstract

39 pages, 12418 KB  
Article
A Possible Recently Identified Evolutionary Strategy Using Membrane-Bound Vesicle Transfer of Genetic Material to Induce Bacterial Resistance, Virulence and Pathogenicity in Klebsiella oxytoca
by Yahaira de Jesús Tamayo-Ordóñez, Ninfa María Rosas-García, Juan Manuel Bello-López, María Concepción Tamayo-Ordóñez, Francisco Alberto Tamayo-Ordóñez, Claudia Camelia Calzada-Mendoza and Benjamín Abraham Ayil-Gutiérrez
Int. J. Mol. Sci. 2026, 27(2), 988; https://doi.org/10.3390/ijms27020988 - 19 Jan 2026
Viewed by 421
Abstract
Klebsiella oxytoca has emerged as an important opportunistic pathogen in nosocomial infections, particularly during the COVID-19 pandemic, due to its capacity to acquire and disseminate resistance and virulence genes through horizontal gene transfer (HGT). This study presents a genome-based comparative analysis of K. [...] Read more.
Klebsiella oxytoca has emerged as an important opportunistic pathogen in nosocomial infections, particularly during the COVID-19 pandemic, due to its capacity to acquire and disseminate resistance and virulence genes through horizontal gene transfer (HGT). This study presents a genome-based comparative analysis of K. oxytoca within the genus Klebsiella, aimed at exploring the evolutionary plausibility of outer membrane vesicle (OMV) associated processes in bacterial adaptation. Using publicly available reference genomes, we analyzed pangenome structure, phylogenetic relationships, and the distribution of mobile genetic elements, resistance determinants, virulence factors, and genes related to OMV biogenesis. Our results reveal a conserved set of envelope associated and stress responsive genes involved in vesiculogenic pathways, together with an extensive mobilome and resistome characteristic of the genus. Although these genomic features are consistent with conditions that may favor OMV production, they do not constitute direct evidence of functional OMV mediated horizontal gene transfer. Instead, our findings support a hypothesis generating evolutionary framework in which OMVs may act as a complementary mechanism to established gene transfer routes, including conjugation, integrative mobile elements, and bacteriophages. Overall, this study provides a genomic framework for future experimental and metagenomic investigations into the role of OMV-associated processes in antimicrobial resistance dissemination and should be interpreted as a recently identified evolutionary strategy inferred from genomic data, rather than a novel or experimentally validated mechanism. Full article
Show Figures

Graphical abstract

20 pages, 2158 KB  
Article
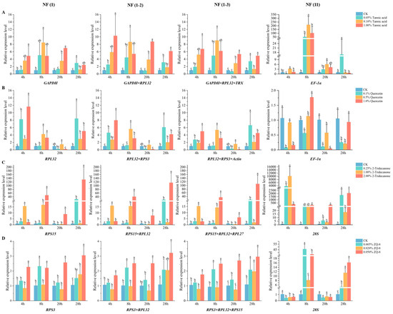
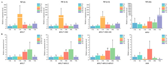
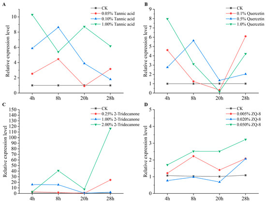
Identification and Stability Assessment of Reference Genes in Helicoverpa armigera Under Plant Secondary Substance and Insecticide Stresses
by Jie Zhao, Hao-Ran Kan, Xin-Xin Jin, Jiang-Yuan Zhang, Hong-Run Zhou, Xiao-Qiang Han and Jing Ye
Biology 2026, 15(2), 175; https://doi.org/10.3390/biology15020175 - 17 Jan 2026
Viewed by 215
Abstract
The cotton bollworm (Helicoverpa armigera, Lepidoptera: Noctuidae) is a globally distributed agricultural pest. When conducting expression analysis of its functional genes, appropriate reference genes should be selected to ensure the reliability of the results. In this study, five algorithms including Delta [...] Read more.
The cotton bollworm (Helicoverpa armigera, Lepidoptera: Noctuidae) is a globally distributed agricultural pest. When conducting expression analysis of its functional genes, appropriate reference genes should be selected to ensure the reliability of the results. In this study, five algorithms including Delta Ct, GeNorm, Normfinder, BestKeeper, and RefFinder were used to evaluate the expression stability of eleven candidate reference genes under different developmental stages, larval tissues, adult sexes, plant secondary substance stresses, and insecticide treatments in H. armigera. The candidate genes included Actin, Tubulin, EF-1α, RPS3, RPS15, RPL27, RPL32, 28S, GAPDH, SOD, and TRX. The reliability of the recommended reference gene combinations was validated using the growth arrest and DNA-damage-inducible gene 45 (GADD45). The results showed that normalizing relative expression of the target gene with the combination of the two most stable reference genes is recommended. Specifically, the combination of RPS3 + RPL27 is recommended for developmental stage comparisons; RPL32 + RPL27 for larval tissues; RPS3 + RPL27 for adult sex comparisons; GAPDH + RPL32 under tannic acid stress; RPL32 + RPS3 under quercetin stress; RPS15 + RPL32 under 2-tridecanone stress; RPS3 + RPL32 under ZQ-8 stress; RPL27 + TRX following chlorantraniliprole treatment; and RPL27 + RPL32 following indoxacarb treatment. Moreover, larvae exposed to three concentrations of plant secondary substances and to sublethal doses of insecticides exhibited significant upregulation of GADD45: after 4 h of exposure to 1% tannic acid, 0.1% and 1% quercetin, 1% 2-tridecanone, and 0.05% ZQ-8; after 15 h of chlorantraniliprole treatment; and after 24 h of indoxacarb treatment. Thus, GADD45 was overexpressed in response to various plant secondary substances and insecticide treatments, indicating its involvement in the detoxification and metabolism of H. armigera. This study proves to be helpful for selecting reference genes in H. armigera under plant secondary substance and insecticide stress and lays the foundation for further research utilizing GADD45 as a molecular target for pest control. Full article
Show Figures

Figure 1

27 pages, 98177 KB  
Article
Reference Gene Stability in Agrostemma githago Using Quantitative Real-Time PCR
by Monika Bielecka, Bartosz Pencakowski, Marta Stafiniak, Weronika Kozłowska, Michał Dziwak, Katarzyna Nowis, Łukasz Łaczmański and Adam Matkowski
Int. J. Mol. Sci. 2026, 27(2), 889; https://doi.org/10.3390/ijms27020889 - 15 Jan 2026
Viewed by 148
Abstract
Quantitative real-time PCR (qPCR) remains a cornerstone method for analyzing gene expression due to its high sensitivity, specificity, and reproducibility. However, for reliable results in relative quantification studies, the choice of an appropriate reference gene is critical to ensure accurate normalization. The expression [...] Read more.
Quantitative real-time PCR (qPCR) remains a cornerstone method for analyzing gene expression due to its high sensitivity, specificity, and reproducibility. However, for reliable results in relative quantification studies, the choice of an appropriate reference gene is critical to ensure accurate normalization. The expression of commonly used reference genes can vary depending on developmental stage and experimental conditions, making their validation essential. To date, no validated reference genes have been reported for Agrostemma githago L. (corn cockle, Caryophyllaceae). To facilitate research on genes involved in natural product biosynthesis and specialized metabolism regulation, we aimed to identify the most stable reference genes across various plant organs and cultivation conditions of this species. Drawing on previous literature, we have selected seven housekeeping genes widely used for evaluation: actin, β-tubulin, elongation factor 1α, glyceraldehyde-3-phosphate dehydrogenase, histone H3, translation elongation factor 1, and eukaryotic translation initiation factor 5A1 (for which two primer sets were tested). The nucleotide sequences of these potential reference genes were identified from the A. githago transcriptome. Using qRT-PCR, transcript levels of seven potential reference genes were estimated in 40 different A. githago samples, including 25 in vitro samples under various treatment conditions and 15 soil-grown samples representing A. githago organs in different developmental stages. Expression stability of candidate reference genes was assessed using the RefFinder platform, which combines four commonly applied statistical algorithms: geNorm, NormFinder, BestKeeper, and the comparative Δ-Ct method. The results revealed that the selection of optimal reference genes varied based on the particular organ, developmental stage and condition being examined. TIF5A1-2 (one of the two primer pairs tested) and GAPHD consistently exhibited the most stable expression under various conditions in vitro. EF1α and H3 exhibited superior performance across different organs of soil-grown plants. Moreover, our integrated analysis enabled the identification of the two most stable, universal reference genes suitable for normalization in A. githago under all tested conditions—H3 and TIF5A1-2. Our work provides a robust foundation for future transcriptomic and functional studies of the specialized metabolism of A. githago and other related species. Full article
Show Figures

Figure 1

16 pages, 2588 KB  
Article
Phylogenetic Position of the Morphologically Ambiguous Genus Leiochrides (Annelida: Capitellidae) Revealed by Its First Complete Mitogenome
by Dae-Hun Kim, Junsang Youn, Junil Ko, Hyeryeong Oh, Haelim Kil, Seong-il Eyun and Man-Ki Jeong
J. Mar. Sci. Eng. 2026, 14(2), 185; https://doi.org/10.3390/jmse14020185 - 15 Jan 2026
Viewed by 204
Abstract
The family Capitellidae performs critical roles in bioturbation and sediment remediation within global marine benthic ecosystems. However, they are a taxonomically challenging group due to their simple morphology and a ‘morphological mosaic’, where traditional classificatory traits, such as thoracic chaetiger counts, appear convergently [...] Read more.
The family Capitellidae performs critical roles in bioturbation and sediment remediation within global marine benthic ecosystems. However, they are a taxonomically challenging group due to their simple morphology and a ‘morphological mosaic’, where traditional classificatory traits, such as thoracic chaetiger counts, appear convergently across genera. Previous multi-locus studies (using 18S, 28S, H3, and COI) first highlighted this conflict, revealing the polyphyly of major genera like Notomastus and even Leiochrides itself (based on unidentified specimens). More recently, mitogenomic studies uncovered massive gene order rearrangements and a conflicting topology but did not include Leiochrides. Critically, with no complete mitogenome reported for a formally identified Leiochrides species, its true phylogenetic position and the validity of its polyphyly remain unresolved. To address this critical gap, we sequenced and characterized the first complete mitochondrial genome from a formally identified species, Leiochrides yokjidoensis, recently described from Korean waters. The complete mitogenome was 17,933 bp in length and included the typical 13 protein-coding genes (PCGs), 2 ribosomal RNAs (rRNAs), and 22 transfer RNAs (tRNAs). Gene order (GO) analysis revealed the occurrence of gene rearrangements in Capitellidae and in its sister clade, Opheliidae. A phylogenomic analysis using the amino acid sequences of 13 PCGs from 30 species established the first robust systematic position for the genus Leiochrides (based on this formally identified species). Phylogenetic results recovered Leiochrides as a sister group to the clade comprising Mediomastus, Barantolla, Heteromastus, and Notomastus hemipodus (BS 99%). This distinct placement confirms that Leiochrides represents an independent evolutionary lineage, phylogenetically separate from the polyphyletic Notomastus complex, despite their morphological similarities. Furthermore, our analysis confirmed the polyphyly of Notomastus, with N. hemipodus clustering distinctly from other Notomastus species. Additionally, signatures of positive selection were detected in ND4, and ND5 genes, suggesting potential adaptive evolution to the subtidal environment. This placement provides a critical, high-confidence anchor point for the genus Leiochrides. It provides a reliable reference to investigate the unresolved polyphyly suggested by previous multi-locus studies and provides compelling evidence for the hypothesis that thoracic chaetiger counts are of limited value for inferring phylogenetic relationships. This study provides the foundational genomic cornerstone for Leiochrides, representing an essential first step toward resolving the systematics of this taxonomically challenging family. Full article
(This article belongs to the Section Marine Biology)
Show Figures

Figure 1

55 pages, 9068 KB  
Article
Rationally Designed Dual Kinase Inhibitors for Management of Obstructive Sleep Apnea—A Computational Study
by Kosi Gramatikoff, Miroslav Stoykov and Mario Milkov
Biomedicines 2026, 14(1), 181; https://doi.org/10.3390/biomedicines14010181 - 14 Jan 2026
Viewed by 320
Abstract
Background/Objectives: Obstructive sleep apnea (OSA) affects approximately 1 billion adults worldwide with extensive comorbidities, including cardiovascular disease, metabolic disorders, and cognitive decline, yet pharmacological therapies remain limited. Conventional bottom-up omics approaches identify numerous genes overlapping with other diseases, hindering therapeutic translation. This study [...] Read more.
Background/Objectives: Obstructive sleep apnea (OSA) affects approximately 1 billion adults worldwide with extensive comorbidities, including cardiovascular disease, metabolic disorders, and cognitive decline, yet pharmacological therapies remain limited. Conventional bottom-up omics approaches identify numerous genes overlapping with other diseases, hindering therapeutic translation. This study introduces a top-down, comorbidity-driven approach to identify actionable molecular targets and develop rational dual kinase inhibitors for OSA management. Methods: We implemented a five-tier modeling workflow: (1) comorbidity network analysis, (2) disease module identification through NetworkAnalyst, (3) mechanistic pathway reconstruction of the CK1δ-(HIF1A)-PINK1 signaling cascade, (4) molecular docking analysis of Nigella sativa alkaloids and reference inhibitors (IC261, PF-670462) against CK1δ (PDB: 3UYS) and PINK1 (PDB: 5OAT) using AutoDock Vina, and (5) rational design and computational validation of novel dual inhibitors (ICL, PFL) integrating pharmacophoric features from natural alkaloids and established kinase inhibitors. Results: Extensive network analysis revealed a discrete OSA disease module centered on two interconnected protein kinases—CK1δ and PINK1—that mechanistically bridge circadian disruption and neurodegeneration. Among natural alkaloids, Nigellidine showed strongest CK1δ binding (−8.0 kcal/mol) and Nigellicine strongest PINK1 binding (−8.6 kcal/mol). Rationally designed dual inhibitors demonstrated superior binding: ICL (−7.2 kcal/mol PINK1, −8.9 kcal/mol CK1δ) and PFL (−10.8 kcal/mol CK1δ, −11.2 kcal/mol PINK1), representing −2.6–2.8 kcal/mol improvements over reference compounds. Conclusions: This study establishes a comorbidity-driven translational framework identifying the CK1δ-PINK1 axis as a therapeutic target in OSA. The rationally designed dual inhibitors represent third-generation precision therapeutics addressing OSA’s multi-dimensional pathophysiology, while the five-tier workflow provides a generalizable template for drug discovery in complex multimorbid diseases. Full article
Show Figures

Graphical abstract

19 pages, 2891 KB  
Article
Reference Gene Validation for Quantitative PCR Analysis in 2D and 3D AML12 Hepatocyte Models
by Zhenya Ivanova, Valeria Petrova, Betina Todorova, Toncho Penev and Natalia Grigorova
Biomedicines 2026, 14(1), 150; https://doi.org/10.3390/biomedicines14010150 - 11 Jan 2026
Viewed by 216
Abstract
Background/Objectives: Advanced 3D cell culture techniques enhance the physiological relevance of in vitro models, while supporting the 3Rs principles (Reduction, Refinement, and Replacement) of animal experimentation. In this context, 3D collagen-based systems mimic key extracellular matrix properties, enabling more accurate cellular organization [...] Read more.
Background/Objectives: Advanced 3D cell culture techniques enhance the physiological relevance of in vitro models, while supporting the 3Rs principles (Reduction, Refinement, and Replacement) of animal experimentation. In this context, 3D collagen-based systems mimic key extracellular matrix properties, enabling more accurate cellular organization and phenotype. However, changes in culture dimensionality can affect RT-qPCR reference gene stability, underscoring the need for careful validation when combining 2D and 3D systems. Methods: AML12 cells were cultured for 7 days under different 2D and collagen-based 3D conditions. The expression stability of nine candidate housekeeping genes was systematically evaluated using established algorithms (BestKeeper, NormFinder, geNorm, RefFinder, and ΔCt method), followed by inter-group statistical and correlation analyses of raw Ct values. Albumin gene expression was used as a target gene. Results: Although all candidate genes initially met acceptable variability thresholds, a stepwise, exclusion-based analysis revealed distinct performance differences. Hprt, Ppia, and Actb emerged as the most stable, showing no intra-group variability or interaction with Albumin expression. Nevertheless, Ywhaz and Rplp0, despite their high stability, were compromised by significant correlation with Albumin. Furthermore, Ywhaz showed significant downregulation under 3D culture conditions. B2M, Gapdh, 18S, and Hmbs exhibited increased variability, likely reflecting metabolic and microenvironmental heterogeneity associated with prolonged 2D cultivation of AML12 cells. Conclusions: Overall, this study highlights the importance of context-dependent, exclusion-based reference gene validation when comparing 2D and 3D models, and demonstrates a new approach for reliable gene expression normalization in complex in vitro culture systems. Full article
(This article belongs to the Section Cell Biology and Pathology)
Show Figures

Figure 1

24 pages, 823 KB  
Review
Maternal–Fetal Exposure to Oncoelements and Their Oxidative and Epigenetic Impact on Pregnancy Outcomes
by Joanna Grzesik-Gąsior, Agnieszka Bień, Katarzyna Zalewska, Michał Nieszporek, Katarzyna Witkowska and Anna Merklinger-Gruchała
Int. J. Mol. Sci. 2026, 27(2), 669; https://doi.org/10.3390/ijms27020669 - 9 Jan 2026
Viewed by 253
Abstract
The proper course of pregnancy and fetal development depends, among other factors, on maintaining adequate levels of micronutrients in the maternal body. This integrative, concept-driven narrative review summarizes the current state of knowledge on the impact of selected elements, referred to as oncoelements, [...] Read more.
The proper course of pregnancy and fetal development depends, among other factors, on maintaining adequate levels of micronutrients in the maternal body. This integrative, concept-driven narrative review summarizes the current state of knowledge on the impact of selected elements, referred to as oncoelements, on placental function and obstetric outcomes. These include both potentially protective elements (selenium, zinc, copper) and toxic metals (cadmium, lead, arsenic), which, in excess may disrupt oxidative, hormonal, and epigenetic homeostasis. Rather than providing a quantitative synthesis, the article is structured around a four-level conceptual model integrating molecular mechanisms, placental protection, clinical outcomes, and umbilical cord blood as a biomarker of prenatal exposure. Mechanisms of toxicity include oxidative stress, mitochondrial dysfunction, DNA damage, and altered gene expression. Given the observational nature of most studies, clinical recommendations remain cautious. Micronutrient assessment may be useful in selected high-risk groups, but requires further validation. In environmentally burdened regions, screening for toxic metals may be considered. Future research should clarify dose–response relationships, define threshold concentrations, and explore molecular biomarkers of exposure. Umbilical cord blood offers a promising matrix for assessing fetal exposure, although interpretation is limited by methodological variability and the lack of reference values. Full article
(This article belongs to the Special Issue Metals and Metal Ions in Human Health, Diseases, and Environment)
Show Figures

Figure 1

13 pages, 2502 KB  
Article
Comparative Transcriptome Analysis Reveals the Seawater Adaptation Mechanism in Pseudaspius hakonensis
by Ziyue Xu, Wen Zheng, Wenjun Chen, Min Zhou, Dongdong Zhai, Ming Xia, Hongyan Liu, Fei Xiong and Ying Wang
Genes 2026, 17(1), 76; https://doi.org/10.3390/genes17010076 - 9 Jan 2026
Viewed by 341
Abstract
Background: The family Cyprinidae is predominantly restricted to freshwater habitats, making the evolution of diadromy and seawater adaptation exceptionally rare within this group. Pseudaspius hakonensis, a rare anadromous cyprinid, and its strictly freshwater congener P. leptocephalus, provide an ideal comparative model [...] Read more.
Background: The family Cyprinidae is predominantly restricted to freshwater habitats, making the evolution of diadromy and seawater adaptation exceptionally rare within this group. Pseudaspius hakonensis, a rare anadromous cyprinid, and its strictly freshwater congener P. leptocephalus, provide an ideal comparative model to investigate the molecular mechanisms underlying salinity adaptation. This study aimed to elucidate the tissue-specific transcriptional reprogramming, identify candidate genes and key pathways, and explore their association with seawater acclimation in P. hakonensis. Methods: We performed comparative transcriptomic analyses of gill, liver, and kidney tissues from both species using RNA-Seq. Sequencing reads were aligned to a high-quality reference genome of P. hakonensis. Differential expression analysis was conducted using DESeq2, followed by functional enrichment analyses (GO and KEGG) to identify significant biological processes and pathways. Results: A total of 8784, 5965, and 5719 differentially expressed genes (DEGs) were identified in gill, kidney, and liver tissues, respectively, with the gill showing the highest differences. Functional enrichment revealed tissue-specific roles: gill DEGs were associated with protein synthesis and energy metabolism; kidney DEGs with transport and detoxification; and liver DEGs with metabolic regulation and stress signaling. Cross-tissue analysis highlighted three core pathways consistently enriched: MAPK signaling, ABC transporters, and glutathione metabolism. Key candidate genes, including DUSP10, SLC38A2, ATP8B1, GSTA4, and MGST1, were significantly upregulated in P. hakonensis. Conclusions: This first multi-tissue transcriptomic comparison of an anadromous and a freshwater cyprinid reveals pervasive, tissue-specific molecular reprogramming underlying seawater adaptation in P. hakonensis. The coordinated activation of MAPK signaling, glutathione metabolism, and transporter pathways suggests an integrated regulatory network for osmoregulation and stress resistance. These findings provide novel insights into the genetic basis of salinity adaptation in cyprinids and identify candidate genes for future functional validation. Full article
(This article belongs to the Special Issue Innovations in Aquaculture Breeding via Genetic Technologies)
Show Figures

Figure 1

12 pages, 2455 KB  
Article
Study on the Stability of Reference Genes and HSP60 for Expression Analysis in Chilo suppressalis in Response to Humidity Stress
by Ming Zhao, Yong Chen, Hai-Bo Zhang, Jian-Fei Mei and Ya-Jun Guo
Insects 2026, 17(1), 72; https://doi.org/10.3390/insects17010072 - 7 Jan 2026
Viewed by 277
Abstract
Quantitative real-time PCR (qRT-PCR) is a high-reliability, -sensitivity, and -operability technique to quantify gene expression. It is necessary to select stable reference genes for normalization. Water plays important roles in the metabolism, physiology, distribution, and so on, in insects. In this study, the [...] Read more.
Quantitative real-time PCR (qRT-PCR) is a high-reliability, -sensitivity, and -operability technique to quantify gene expression. It is necessary to select stable reference genes for normalization. Water plays important roles in the metabolism, physiology, distribution, and so on, in insects. In this study, the suitability of various reference genes for qRT-PCR analysis was evaluated in different developmental stages of Chilo suppressalis exposed to desiccation or rehydration stress. The ∆Ct method, geNorm, NormFinder, and BestKeeper were used to evaluate the suitability of nine reference genes for normalizing gene expression in the third instar larvae, the fifth instar larvae, male pupae, female pupae, male adults, and female adults under different humidities. The results indicated that 18S rRNA was the most stable reference gene for monitoring gene expression in the third instar larvae, while ACTIN, TUB, UBI, UBI, and EF1 were the optimal genes for the fifth instar larvae, male pupae, female pupae, male adults, and female adults, respectively. The optimal number of reference genes recommended by geNorm analysis indicated that two candidate reference genes were sufficient for data normalization under all experimental conditions tested. To validate these recommendations, the expression profile of the gene encoding heat shock protein 60 (Hsp60) was investigated. Hsp60 transcript levels showed significant differences when normalized to the most stable single reference gene, or combined reference genes, compared with the least stable reference gene. The reference genes identified in the present study will enhance the reliability of gene expression data for C. suppressalis under humidity stress. Full article
(This article belongs to the Special Issue Insects Ecology and Biological Control Applications)
Show Figures

Figure 1

17 pages, 805 KB  
Review
Genetic Variants in Liver Cirrhosis: Classifications, Mechanisms, and Implications for Clinical Practice
by Roshni Pushpa Raghavan, Kirti Theresa Alexander, Shine Sadasivan, Chetan Parmar and Manikandan Kathirvel
J. Pers. Med. 2026, 16(1), 29; https://doi.org/10.3390/jpm16010029 - 5 Jan 2026
Viewed by 335
Abstract
Background: Cirrhosis represents the final common pathway of chronic liver injury, arising from diverse etiologies such as metabolic, viral, autoimmune, and alcohol-related liver diseases. Despite similar exposures, disease progression varies considerably among individuals, suggesting a genetic contribution to susceptibility and outcome. Objective: This [...] Read more.
Background: Cirrhosis represents the final common pathway of chronic liver injury, arising from diverse etiologies such as metabolic, viral, autoimmune, and alcohol-related liver diseases. Despite similar exposures, disease progression varies considerably among individuals, suggesting a genetic contribution to susceptibility and outcome. Objective: This narrative review examines how specific genetic variants influence the risk, progression, and phenotypic expression of cirrhosis. It provides a structured synthesis of established and emerging gene associations, emphasizing their biological mechanisms and potential clinical relevance. Methods: This narrative review synthesizes evidence from all major biomedical and scientific databases, including PubMed, Scopus, Web of Science, and Google Scholar, as well as reference lists of relevant articles, covering literature published between 2005 and 2025 on genetic polymorphisms associated with cirrhosis and its etiological subtypes. Content: Variants are categorized into four mechanistic domains—metabolic regulation, immune modulation, liver enzyme activity, and ancestry-linked expression patterns—representing a novel integrative framework for understanding genetic risk in cirrhosis. Well-characterized variants such as PNPLA3, TM6SF2, HSD17B13, and MBOAT7, along with less commonly studied loci and chromosomal alterations, are discussed in relation to major etiologies, including MASLD/MASH, viral hepatitis, alcohol-related liver disease, and autoimmune conditions. Conclusions: Genetic insights into cirrhosis offer pathways toward early risk stratification and personalized disease management. While polygenic risk scores and multi-omic integration show promise, their clinical translation remains exploratory and requires further validation through large-scale prospective studies. Full article
Show Figures

Figure 1

15 pages, 2247 KB  
Article
Transcriptome Sequencing and Differential Analysis of Testes of 1-Year-Old and 3-Year-Old Kazakh Horses
by Jiahao Liu, Yuting Yang, Liuxiang Wen, Mingyue Wen, Yaqi Zeng, Wanlu Ren and Xinkui Yao
Biology 2026, 15(1), 100; https://doi.org/10.3390/biology15010100 - 4 Jan 2026
Viewed by 399
Abstract
The Kazakh horse is an outstanding dual-purpose dairy and meat breed in China, characterized by early maturity, tolerance to coarse feed, and strong stress resistance. Previous studies have examined gene expression patterns in the testicular tissues of Kazakh horses at different age stages, [...] Read more.
The Kazakh horse is an outstanding dual-purpose dairy and meat breed in China, characterized by early maturity, tolerance to coarse feed, and strong stress resistance. Previous studies have examined gene expression patterns in the testicular tissues of Kazakh horses at different age stages, but the molecular mechanisms regulating testicular sexual maturation remain unclear. To address this gap, this study conducted HE staining and in-depth transcriptome sequencing analysis of Kazakh horse testicular tissue before and after sexual maturity. HE staining showed that the G3 group had well-formed seminiferous tubule lumens, dense interstitial cells, and visible early spermatocytes and spermatozoa, indicating structural maturation. (G1 group: pre-sexual maturity; G3 group: post-sexual maturity), with four biological replicates per group (n = 4). Differentially expressed genes (DEGs) were called using the criteria of |log2(fold change)| ≥ 1.5 and adjusted p-value ≤ 0.05. A total of 3054 differentially expressed genes (DEGs), including CABS1, RPL10, PGAM2, TMSB4X, and CYP17A1, were identified in the G1 and G3 groups. Among these, 402 genes showed upregulation and 2652 genes showed downregulation. GO annotation and KEGG enrichment analysis of DEGs revealed their predominant enrichment in the following categories: signaling pathways such as Focal adhesion, Pathways in cancer, and the PI3K-Akt signaling pathway. RT-qPCR validation confirmed the accuracy of the transcriptomic sequencing data. This study further elucidates the differentially expressed genes and associated signaling pathways in Kazakh stallion testes tissue before and after sexual maturity, providing a theoretical foundation and data reference for enhancing reproductive efficiency in equids and promoting biological processes such as testes development and spermatogenesis. Full article
Show Figures

Graphical abstract

Back to TopTop