Reference Gene Validation for Quantitative PCR Analysis in 2D and 3D AML12 Hepatocyte Models
Abstract
1. Introduction
2. Materials and Methods
2.1. Cell Line Propagation and Culture Conditions
2.2. Two-Dimensional and Three-Dimensional Culture Systems
2.3. RNA Extraction and cDNA Synthesis
2.4. Primer Design and Validation
2.5. Quantitative Real-Time PCR (qPCR)
2.6. Evaluation of Reference Gene Expression Stability
2.7. Statistical Analysis
3. Results
3.1. Morphological Assessment of AML12 Cells Cultured in 2D and 3D Systems at Day 7
3.2. Stability Evaluation of HKGs Expression Quantities Using Classical Algorithms—Normfinder and geNorm Excel-Based Tools
3.3. Integrated Calculation of Candidate Reference Gene Expression Stability
3.4. Estimation of Candidate Reference Gene Stability Using the ΔCt Method
3.5. Statistical Calculation of Candidate Reference Genes and the Target Gene Albumin Using the BestKeeper Algorithm
3.6. Pearson Correlation Analysis Between Each Housekeeping Gene and Albumin
3.7. Comparative Intergroup Analysis of Raw Ct Values for Each Candidate HKG
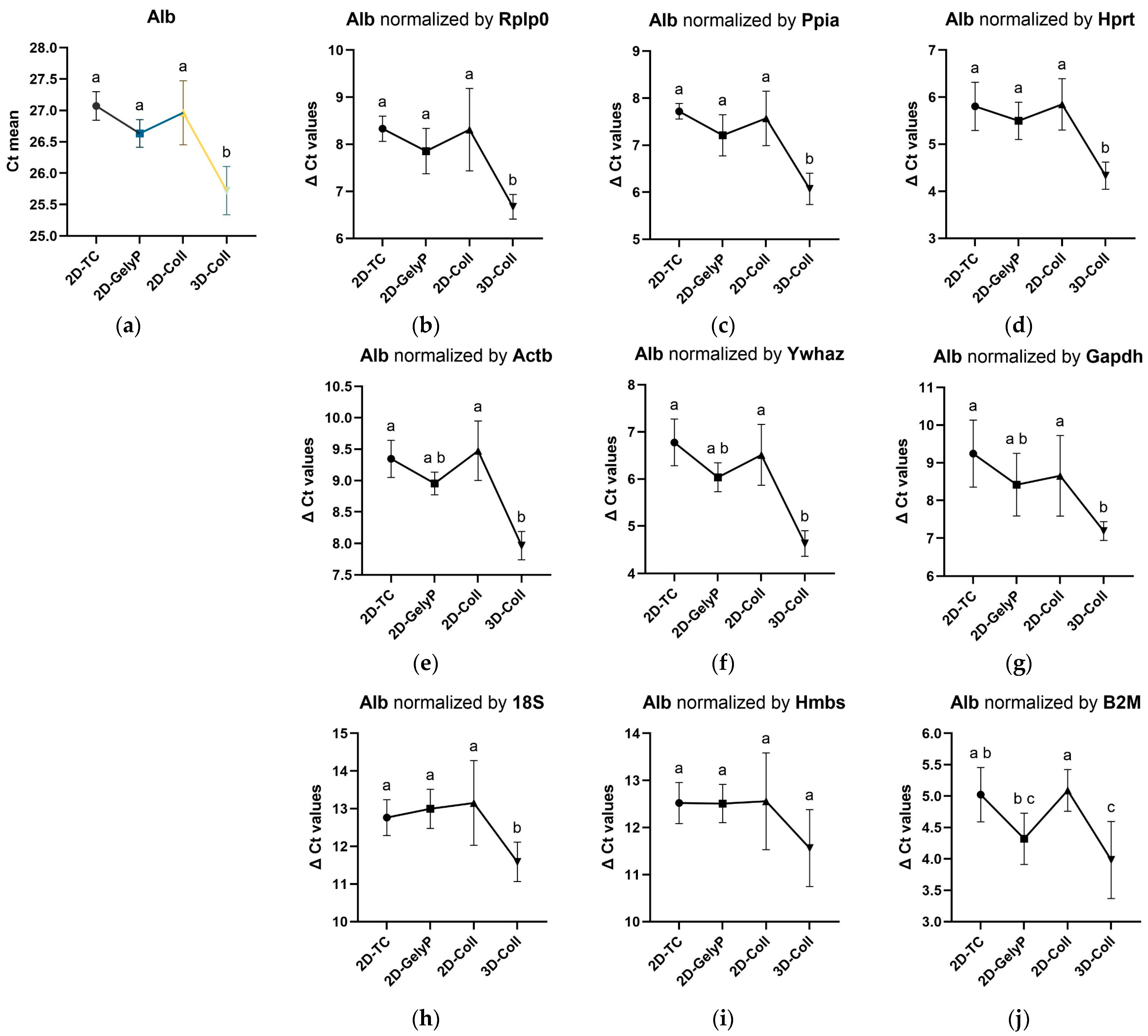
3.8. Graphical Representation of Albumin ΔCt Values Normalized to Individual Housekeeping Genes in Relation to Raw Ct Values
3.9. Final Validation of Preselected Stable Reference Genes and Normalization Outcomes
4. Discussion
5. Conclusions
Author Contributions
Funding
Institutional Review Board Statement
Informed Consent Statement
Data Availability Statement
Acknowledgments
Conflicts of Interest
Abbreviations
| 18S | 18S ribosomal RNA |
| 2D | two-dimensional |
| 2D-GelyP | Cells cultured on a surface coated with 0.1% gelatin-peptone surface |
| 2D-Coll | Cells cultured on a coated surface with a thin layer of type I collagen surface |
| 2D-TC | Cells cultured on standard tissue culture-treated plastic surfaces |
| 3D | three-dimensional |
| 3D-Coll | Three-dimensional sandwich method of cultivation in collagen type I |
| 3Rs | Reduction, Refinement, and Replacement |
| Alb | Albumin |
| AML12 | Mouse hepatocytes alpha mouse liver 12 |
| Actb | β-actin |
| B2M | Beta-2 microglobulin |
| BK | BestKeeper index |
| cDNA | Complementary deoxyribonucleic acid |
| Ct | Cycle threshold |
| ΔCt | delta Ct |
| ΔΔCt | delta delta Ct |
| CV | coefficient of variation |
| DMEM | Dulbecco’s Modified Eagle’s Medium |
| Gapdh | Glyceraldehyde-3-phosphate dehydrogenase |
| HKG | Housekeeping genes |
| Hmbs | Hydroxymethylbilane synthase |
| Hprt | Hypoxanthine guanine phosphoribosyl transferase |
| ITS | Insulin–transferrin–selenium |
| MHC I | Major histocompatibility complex class I |
| PBS | Phosphate-buffered saline |
| Ppia | Peptidylprolyl isomerase A |
| RNA | Ribonucleic acid |
| Rplp0 | Ribosomal protein, large, P0 |
| RT-qPCR | Reverse transcription quantitative polymerase chain reaction |
| SD | standard deviation |
| SEM | Standard error of the mean |
| TBP | TATA-box binding protein |
| Ywhaz | Tyrosine 3-monooxygenase/tryptophan 5-monooxygenase activation protein, zeta polypeptide |
References
- Trefts, E.; Gannon, M.; Wasserman, D.H. The Liver. Curr. Biol. 2017, 27, 1147–1151. [Google Scholar] [CrossRef]
- Miller, L.L.; Bale, W.F. Synthesis of all plasma protein fractions except gamma globulins by the liver; the use of zone electrophoresis and lysine-epsilon-C14 to define the plasma proteins synthesized by the isolated perfused liver. J. Exp. Med. 1954, 99, 125–132. [Google Scholar] [CrossRef]
- Ekberg, K.; Landau, B.R.; Wajngot, A.; Chandramouli, V.; Efendic, S.; Brunengraber, H.; Wahren, J. Contributions by kidney and liver to glucose production in the postabsorptive state and after 60 h of fasting. Diabetes 1999, 48, 292–298. [Google Scholar] [CrossRef]
- Petersen, M.C.; Vatner, D.F.; Shulman, G.I. Regulation of hepatic glucose metabolism in health and disease. Nat. Rev. Endocrinol. 2017, 13, 572–587. [Google Scholar] [CrossRef]
- Grant, D.M. Detoxification pathways in the liver. J. Inherit. Metab. Dis. 1991, 14, 421–430. [Google Scholar] [CrossRef]
- Nguyen, P.; Leray, V.; Diez, M.; Serisier, S.; Le Bloc’h, J.; Siliart, B.; Dumon, H. Liver lipid metabolism. J. Anim. Physiol. Anim. Nutr. 2008, 92, 272–283. [Google Scholar] [CrossRef] [PubMed]
- Almazroo, O.A.; Miah, M.K.; Venkataramanan, R. Drug metabolism in the liver. Clin. Liver Dis. 2017, 21, 1–20. [Google Scholar] [CrossRef] [PubMed]
- Klingmüller, U.; Bauer, A.; Bohl, S.; Nickel, P.J.; Breitkopf, K.; Dooley, S.; Zellmer, S.; Kern, C.; Merfort, I.; Sparna, T.; et al. Primary mouse hepatocytes for systems biology approaches: A standardized in vitro system for modelling of signal transduction pathways. Syst. Biol. 2006, 153, 433–447. [Google Scholar] [CrossRef]
- Shulman, M.; Nahmias, Y. Long-term culture and coculture of primary rat and human hepatocytes. Methods Mol. Biol. 2013, 945, 287–302. [Google Scholar] [CrossRef] [PubMed]
- Sefried, S.; Häring, H.-U.; Weigert, C.; Eckstein, S.S. Suitability of hepatocyte cell lines HEPG2, AML12 and THLE-2 for investigation of insulin signalling and hepatokine gene expression. Open Biol. 2018, 8, 180147. [Google Scholar] [CrossRef]
- Wang, N.; Leng, J.; Han, Y.; Tao, G.; Sun, J.; Dong, C.; Qian, K.; Chang, X.; Xiao, P.; Hong, X. RNA-seq analysis of mouse hepatocytes AML12 exposed to neodymium nitrate. Toxics 2025, 13, 573. [Google Scholar] [CrossRef] [PubMed]
- Trujillo-Hernandez, J.A.; Levine, R.L. Response to oxidative stress of AML12 hepatocyte cells with knockout of methionine sulfoxide reductases. Free Radic. Biol. Med. 2023, 205, 100–106. [Google Scholar] [CrossRef]
- Song, Q.; Hwang, C.-L.; Li, Y.; Wang, J.; Park, J.; Lee, S.M.; Sun, Z.; Sun, J.; Xia, Y.; Nieto, N.; et al. Gut-derived ammonia contributes to alcohol-related fatty liver development via facilitating ethanol metabolism and provoking ATF4-dependent de novo lipogenesis activation. Metabolism 2024, 151, 155740. [Google Scholar] [CrossRef]
- Yin, X.; Ma, S.; Li, M.; Lu, S.; Zhang, C.; Liu, H.; Li, C.; Su, P.; Bai, M.; Li, Y. Study on the hepatotoxicity and potential mechanism of gefitinib based on CYP450 in mice and AML12 cells. J. Pharm. Pharmacol. 2023, 75, 407–414. [Google Scholar] [CrossRef]
- Besné-Eseverri, I.; Trepiana, J.; Eseberri, I.; Gómez-Maqueo, A.; Cano, M.P.; Tomé-Carneiro, J.; Dávalos, A.; Portillo, M.P. Anti-steatotic effect of opuntia ficus-indica extracts rich in betalains and phenolics from fruit peel and pulp of different varieties in in vitro models. J. Physiol. Biochem. 2025, 81, 1305–1320. [Google Scholar] [CrossRef] [PubMed]
- Sun, S.; Guo, H.; Wang, J.; Dai, J. Hepatotoxicity of perfluorooctanoic acid and two emerging alternatives based on a 3D spheroid model. Environ. Pollut. 2019, 246, 955–962. [Google Scholar] [CrossRef] [PubMed]
- Milner, E.; Ainsworth, M.; McDonough, M.; Stevens, B.; Buehrer, J.; Delzell, R.; Wilson, C.; Barnhill, J. Emerging three-dimensional hepatic models in relation to traditional two-dimensional in vitro assays for evaluating drug metabolism and hepatoxicity. Med. Drug Discov. 2020, 8, 100060. [Google Scholar] [CrossRef]
- Paradiso, A.; Volpi, M.; Rinoldi, C.; Celikkin, N.; Negrini, N.C.; Bilgen, M.; Dallera, G.; Pierini, F.; Costantini, M.; Święszkowski, W.; et al. In vitro functional models for human liver diseases and drug screening: Beyond animal testing. Biomater. Sci. 2023, 11, 2988–3015. [Google Scholar] [CrossRef]
- Yun, C.; Kim, S.H.; Jung, Y.-S. Current research trends in the application of in vitro three-dimensional models of liver cells. Pharmaceutics 2023, 15, 54. [Google Scholar] [CrossRef]
- Allcock, B.; Wei, W.; Goncalves, K.; Hoyle, H.; Robert, A.; Quelch-Cliffe, R.; Hayward, A.; Cooper, J.; Przyborski, S. Impact of the physical cellular microenvironment on the structure and function of a model hepatocyte cell line for drug toxicity applications. Cells 2023, 12, 2408. [Google Scholar] [CrossRef]
- Habanjar, O.; Diab-Assaf, M.; Caldefie-Chezet, F.; Delort, L. 3D cell culture systems: Tumor application, advantages, and disadvantages. Int. J. Mol. Sci. 2021, 22, 12200. [Google Scholar] [CrossRef]
- Nerger, B.A.; Nelson, C.M. Engineered Extracellular Matrices: Emerging strategies for decoupling structural and molecular signals that regulate epithelial branching morphogenesis. Curr. Opin. Biomed. Eng. 2020, 13, 103–112. [Google Scholar] [CrossRef] [PubMed]
- Endo, K.; Sato, T.; Umetsu, A.; Watanabe, M.; Hikage, F.; Ida, Y.; Ohguro, H.; Furuhashi, M. 3D culture induction of adipogenic differentiation in 3T3-L1 preadipocytes exhibits adipocyte-specific molecular expression patterns and metabolic functions. Heliyon 2023, 9, 20713. [Google Scholar] [CrossRef]
- Ma, Y.; Hu, L.; Tang, J.; Guo, W.; Feng, Y.; Liu, Y.; Tang, F. Three-dimensional cell co-culture liver models and their applications in pharmaceutical research. Int. J. Mol. Sci. 2023, 24, 6248. [Google Scholar] [CrossRef]
- Lauschke, V.M.; Shafagh, R.Z.; Hendriks, D.F.G.; Ingelman-Sundberg, M. 3D primary hepatocyte culture systems for analyses of liver diseases, drug metabolism, and toxicity: Emerging culture paradigms and applications. Biotechnol. J. 2019, 14, 1800347. [Google Scholar] [CrossRef]
- Martinez-Lopez, S.; Angel-Gomis, E.; Sanchez-Ardid, E.; Pastor-Campos, A.; Picó, J.; Gomez-Hurtado, I. The 3Rs in experimental liver disease. Animals 2023, 13, 2357. [Google Scholar] [CrossRef]
- Russell, W.; Burch, R.L. The principles of humane experimental technique. Med. J. Aust. 1960, 1, 500. [Google Scholar] [CrossRef]
- Roy, S.; Parveen, M.; Bala, A.; Sur, D. The 3C (cell culture, computer simulation, clinical trial) solution for optimizing the 3r (replace, reduction, refine) framework during preclinical research involving laboratory animals. ACS Pharmacol. Transl. Sci. 2025, 8, 1188–1204. [Google Scholar] [CrossRef]
- Ye, S.; Boeter, J.W.B.; Penning, L.C.; Spee, B.; Schneeberger, K. Hydrogels for liver tissue engineering. Bioengineering 2019, 6, 59. [Google Scholar] [CrossRef] [PubMed]
- Heydari, Z.; Najimi, M.; Mirzaei, H.; Shpichka, A.; Ruoss, M.; Farzaneh, Z.; Montazeri, L.; Piryaei, A.; Timashev, P.; Gramignoli, R.; et al. Tissue engineering in liver regenerative medicine: Insights into novel translational technologies. Cells 2020, 9, 304. [Google Scholar] [CrossRef]
- Zhao, X.; Zhu, Y.; Laslett, A.L.; Chan, H.F. Hepatic differentiation of stem cells in 2D and 3D biomaterial systems. Bioengineering 2020, 7, 47. [Google Scholar] [CrossRef]
- Bustin, S.A. Absolute quantification of mRNA using real-time reverse transcription polymerase chain reaction assays. J. Mol. Endocrinol. 2000, 25, 169–193. [Google Scholar] [CrossRef]
- Terashima, J.; Onodera, R.; Miura, T.; Habano, W.; Ozawa, S. Potential risks present in selecting control gene for quantitative RT-PCR: Example of measurement using 2D cells and 3D spheroid of esophageal cancer cells. TCRC 2023, 41, 1–9. [Google Scholar] [CrossRef]
- Hasler, J.; Hatt, L.P.; Stoddart, M.J.; Armiento, A.R. Stable reference genes for qPCR analysis in BM-MSCs undergoing osteogenic differentiation within 3D hyaluronan-based hydrogels. Int. J. Mol. Sci. 2020, 21, 9195. [Google Scholar] [CrossRef]
- Ferreira-Cerca, S.; Pöll, G.; Gleizes, P.-E.; Tschochner, H.; Milkereit, P. Roles of eukaryotic ribosomal proteins in maturation and transport of pre-18S rRNA and ribosome function. Mol. Cell 2005, 20, 263–275. [Google Scholar] [CrossRef]
- Remacha, M.; Jimenez-Diaz, A.; Santos, C.; Briones, E.; Zambrano, R.; Rodriguez Gabriel, M.A.; Guarinos, E.; Ballesta, J.P. Proteins P1, P2, and P0, components of the eukaryotic ribosome stalk. New structural and functional aspects. Biochem. Cell Biol. 1995, 73, 959–968. [Google Scholar] [CrossRef]
- dos Remedios, C.G.; Thomas, D.D. An Overview of Actin Structure and Actin-Binding Proteins; Results and Problems in Cell Differentiation; Springer: Berlin/Heidelberg, Germany, 2001; Volume 32, pp. 1–7. [Google Scholar] [CrossRef]
- Henry, E.; Fung, N.; Liu, J.; Drakakaki, G.; Coaker, G. Beyond glycolysis: GAPDHs are multi-functional enzymes involved in regulation of ROS, autophagy, and plant immune responses. PLoS Genet. 2015, 11, 1005199. [Google Scholar] [CrossRef]
- Nigro, P.; Pompilio, G.; Capogrossi, M.C. Cyclophilin A: A key player for human disease. Cell Death Dis. 2013, 4, 888. [Google Scholar] [CrossRef]
- Chiou, S.-J.; Ko, H.-J.; Hwang, C.-C.; Hong, Y.-R. The double-edged sword of beta2-microglobulin in antibacterial properties and amyloid fibril-mediated cytotoxicity. Int. J. Mol. Sci. 2021, 22, 6330. [Google Scholar] [CrossRef] [PubMed]
- Wilson, J.M.; Tarr, G.E.; Kelley, W.N. Human hypoxanthine (guanine) phosphoribosyltransferase: An amino acid substitution in a mutant form of the enzyme isolated from a patient with gout. Proc. Natl. Acad. Sci. USA 1983, 80, 870–873. [Google Scholar] [CrossRef] [PubMed]
- Pugh, B.F. Control of gene expression through regulation of the TATA-binding protein. Gene 2000, 255, 1–14. [Google Scholar] [CrossRef]
- Xie, J.; Liu, X.; Li, Y.; Liu, Y.; Su, G. Validation of RT-qPCR reference genes and determination of robo4 expression levels in human retinal endothelial cells under hypoxia and/or hyperglycemia. Gene 2016, 585, 135–142. [Google Scholar] [CrossRef]
- Caradec, J.; Sirab, N.; Keumeugni, C.; Moutereau, S.; Chimingqi, M.; Matar, C.; Revaud, D.; Bah, M.; Manivet, P.; Conti, M.; et al. “Desperate House Genes”: The dramatic example of hypoxia. Br. J. Cancer 2010, 102, 1037–1043. [Google Scholar] [CrossRef]
- Saraswathibhatla, A.; Indana, D.; Chaudhuri, O. Cell–extracellular matrix mechanotransduction in 3D. Nat. Rev. Mol. Cell Biol. 2023, 24, 495–516. [Google Scholar] [CrossRef]
- Putra, V.D.L.; Kilian, K.A.; Knothe Tate, M.L. Biomechanical, biophysical and biochemical modulators of cytoskeletal remodelling and emergent stem cell lineage commitment. Commun. Biol. 2023, 6, 75. [Google Scholar] [CrossRef] [PubMed]
- Arora, A.S.; Zafar, S.; Latif, U.; Llorens, F.; Sabine, M.; Kumar, P.; Tahir, W.; Thüne, K.; Shafiq, M.; Schmitz, M.; et al. The role of cellular prion protein in lipid metabolism in the liver. Prion 2020, 14, 95–108. [Google Scholar] [CrossRef]
- Şumnulu, D. Investigation of the molecular effects of isatin on HepG2 and AML12 cell lines. Gümüşhane Üniversitesi Fen. Bilim. Derg. 2024, 14, 394–401. [Google Scholar] [CrossRef]
- Ventura-Holman, T.; Mamoon, A.; Maher, J.F.; Subauste, J.S. Thyroid hormone responsive genes in the murine hepatocyte cell line AML12. Gene 2007, 396, 332–337. [Google Scholar] [CrossRef]
- Arnhold, S.; Elashry, M.I.; Klymiuk, M.C.; Geburek, F. Investigation of stemness and multipotency of equine adipose-derived mesenchymal stem cells (ASCs) from different fat sources in comparison with lipoma. Stem Cell Res. Ther. 2019, 10, 309. [Google Scholar] [CrossRef] [PubMed]
- Andersen, C.L.; Jensen, J.L.; Ørntoft, T.F. Normalization of real-time quantitative reverse transcription-PCR Data: A model-based variance estimation approach to identify genes suited for normalization, applied to bladder and colon cancer data sets. Cancer Res. 2004, 64, 5245–5250. [Google Scholar] [CrossRef] [PubMed]
- Vandesompele, J.; De Preter, K.; Pattyn, F.; Poppe, B.; Van Roy, N.; De Paepe, A.; Speleman, F. Accurate normalization of real-time quantitative RT-PCR data by geometric averaging of multiple internal control genes. Genome Biol. 2002, 3, RESEARCH0034. [Google Scholar] [CrossRef] [PubMed]
- Pfaffl, M.W.; Tichopad, A.; Prgomet, C.; Neuvians, T.P. Determination of stable housekeeping genes, differentially regulated target genes and sample integrity: BestKeeper-excel-based tool using pair-wise correlations. Biotechnol. Lett. 2004, 26, 509–515. [Google Scholar] [CrossRef]
- Xie, F.; Xiao, P.; Chen, D.; Xu, L.; Zhang, B. miRDeepFinder: A miRNA analysis tool for deep sequencing of plant small RNAs. Plant Mol. Biol. 2012, 80, 75–84. [Google Scholar] [CrossRef]
- Silver, N.; Best, S.; Jiang, J.; Thein, S.L. Selection of housekeeping genes for gene expression studies in human reticulocytes using real-time PCR. BMC Mol. Biol. 2006, 7, 33. [Google Scholar] [CrossRef]
- Temple, J.; Velliou, E.; Shehata, M.; Lévy, R.; Gupta, P. Current strategies with implementation of three-dimensional cell culture: The challenge of quantification. Interface Focus 2022, 12, 20220019. [Google Scholar] [CrossRef]
- Badekila, A.K.; Rai, P.; Kini, S. Identification and evaluation of an appropriate housekeeping gene for real time gene profiling of hepatocellular carcinoma cells cultured in three dimensional scaffold. Mol. Biol. Rep. 2022, 49, 797–804. [Google Scholar] [CrossRef]
- Fontoura, J.C.; Viezzer, C.; dos Santos, F.G.; Ligabue, R.A.; Weinlich, R.; Puga, R.D.; Antonow, D.; Severino, P.; Bonorino, C. Comparison of 2D and 3D cell culture models for cell growth, gene expression and drug resistance. Mater. Sci. Eng. C 2020, 107, 110264. [Google Scholar] [CrossRef]
- Okamura, K.; Inagaki, Y.; Matsui, T.K.; Matsubayashi, M.; Komeda, T.; Ogawa, M.; Mori, E.; Tanaka, Y. RT-qPCR analyses on the osteogenic differentiation from human iPS cells: An investigation of reference genes. Sci. Rep. 2020, 10, 11748. [Google Scholar] [CrossRef]
- Ayanoğlu, F.B.; Elçin, A.E.; Elçin, Y.M. Evaluation of the stability of standard reference genes of adipose-derived mesenchymal stem cells during in vitro proliferation and differentiation. Mol. Biol. Rep. 2020, 47, 2109–2122. [Google Scholar] [CrossRef] [PubMed]
- Okamoto, M.; Inagaki, Y.; Okamura, K.; Uchihara, Y.; Saito, K.; Kawai, A.; Ogawa, M.; Kido, A.; Mori, E.; Tanaka, Y. Identifying the best reference gene for RT-qPCR analyses of the three-dimensional osteogenic differentiation of human induced pluripotent stem cells. Bone Rep. 2024, 23, 101816. [Google Scholar] [CrossRef] [PubMed]
- Lee, Y.G.; Kim, D. Tomatine improves glucose metabolism and mitochondrial respiration in insulin-resistant hepatocyte cell lines AML12 and HepG2 via an AMP-activated protein kinase-dependent pathway. Cells 2025, 14, 329. [Google Scholar] [CrossRef]
- Kwon, Y.S.; Cho, Y.E.; Kim, Y.; Koh, M.; Hwang, S. Dimethyloxalylglycine suppresses SREBP1c and lipogenic gene expressions in hepatocytes independently of HIF1A. Curr. Issues Mol. Biol. 2024, 46, 2386–2397. [Google Scholar] [CrossRef]
- Patouraux, S.; Rousseau, D.; Rubio, A.; Bonnafous, S.; Lavallard, V.J.; Lauron, J.; Saint-Paul, M.-C.; Bailly-Maitre, B.; Tran, A.; Crenesse, D.; et al. Osteopontin deficiency aggravates hepatic injury induced by ischemia–reperfusion in mice. Cell Death Dis. 2014, 5, e1208. [Google Scholar] [CrossRef]
- Chen, J.; Chen, X.; Liu, Y.; Lyu, C.; Xu, M.; Yang, Y. Reference genes for quantitative real-time polymerase chain reaction in in vitro non-alcoholic fatty liver disease. Gene 2026, 979, 149931. [Google Scholar] [CrossRef]
- Ivanova, Z.; Grigorova, N.; Petrova, V.; Vachkova, E.; Beev, G. Comparative evaluation of computational methods for validating housekeeping gene RT-qPCR data in 3T3-L1 cells. Biomedicines 2025, 13, 2036. [Google Scholar] [CrossRef]
- Aslam, S. Key cytoskeletal proteins are upregulated in 2D cell culture in comparison to 3D culture. Master’s Thesis, University of Calgary, Calgary, AB, Canada, 2020. [Google Scholar] [CrossRef]
- Baddela, V.S.; Baufeld, A.; Yenuganti, V.R.; Vanselow, J.; Singh, D. Suitable housekeeping genes for normalization of transcript abundance analysis by real-time RT-PCR in cultured bovine granulosa cells during hypoxia and differential cell plating density. Reprod. Biol. Endocrinol. 2014, 12, 118. [Google Scholar] [CrossRef] [PubMed]
- Li, L.; Dong, M.; Wang, X.-G. The implication and significance of beta 2 microglobulin: A conservative multifunctional regulator. Chin. Med. J. 2016, 129, 448. [Google Scholar] [CrossRef] [PubMed]
- Brzeszczyńska, J.; Brzeszczyński, F.; Samuel, K.; Morgan, K.; Morley, S.D.; Plevris, J.N.; Hayes, P.C. Validation of reference genes for gene expression studies by RT-qPCR in HepaRG cells during toxicity testing and disease modelling. Cells 2020, 9, 770. [Google Scholar] [CrossRef] [PubMed]
- Bruce, K.D.; Sihota, K.K.; Byrne, C.D.; Cagampang, F.R. The housekeeping gene YWHAZ remains stable in a model of developmentally primed non-alcoholic fatty liver disease. Liver Int. 2012, 32, 1315–1321. [Google Scholar] [CrossRef] [PubMed]
- Gan, Y.; Ye, F.; He, X.-X. The role of YWHAZ in cancer: A maze of opportunities and challenges. J. Cancer 2020, 11, 2252–2264. [Google Scholar] [CrossRef]






| Abbreviation | Full Name | Forward Primer | Reverse Primer | Product Size (bp) |
|---|---|---|---|---|
| B2M NM_009735.3 | Beta-2 microglobulin | TGTATGCTATCCAGAAAACCCCT | TTTCAATGTGAGGCGGGTGG | 117 |
| Ppia NM_008907.2 | Peptidylprolyl isomerase A | GAACATTGTGGAAGCCATGGAG | AGATGGGGTAGGGACGCTC | 163 |
| Gapdh NM_001289726.2 | Glyceraldehyde-3-phosphate dehydrogenase | TCAGGAGAGTGTTTCCTCGTC | TCGTGGTTCACACCCATCAC | 439 |
| Ywhaz NM_001356569.1 | Tyrosine 3-monooxygenase/tryptophan 5-monooxygenase activation protein, zeta polypeptide | AGACGGAAGGTGCTGAGAAA | TTGTCATCACCAGCAGCAAC | 211 |
| Hmbs NM_001110251.1 | Hydroxymethylbilane synthase | CCTGAAGGATGTGCCTACCA | CCACTCGAATCACCCTCATCT | 175 |
| Rplp0 NM_007475.5 | Ribosomal protein, large, P0 | TTATAACCCTGAAGTGCTCGAC | CGCTTGTACCCATTGATGATG | 147 |
| Hprt NM_013556.2 | Hypoxanthine guanine phosphoribosyl transferase | ACAGGCCAGACTTTGTTGGA | ACTTGCGCTCATCTTAGGCT | 150 |
| Actb NM_007393.5 | β-actin | CCTCTATGCCAACACAGTGC | GTACTCCTGCTTGCTGATCC | 211 |
| 18S NR_046271.1 | 18S ribosomal RNA | ATGCGGCGGCGTTATTCC | GCTATCAATCTGTCAATCCTGT | 204 |
| Alb NM_009654.4 | Mus musculus, albumin | AGCCTGCCACCATTTGAAAG | TTCACACCATCAAGCTTCGG | 227 |
| Gene Names | Mean ΔCt | SD | Mean SD* | Gene Names | Mean ΔCt | SD | Mean SD* |
|---|---|---|---|---|---|---|---|
| Actb/Rplp0 | 1.14 | 0.35 | 18S/Hmbs | 0.45 | 0.30 | ||
| Actb/18S | 3.69 | 0.55 | 18S/Hprt | 7.258 | 0.53 | ||
| Actb/B2M | 4.33 | 0.41 | 18S/Ppia | 5.48 | 0.55 | ||
| Actb/Gapdh | 0.77 | 0.45 | 18S/Ywhaz | 6.64 | 0.54 | 0.53 a b | |
| Actb/Hmbs | 3.35 | 0.57 | Ppia/Actb | 1.79 | 0.31 | ||
| Actb/Hprt | 3.57 | 0.28 | Ppia/Rplp0 | 0.65 | 0.27 | ||
| Actb/Ppia | 1.79 | 0.31 | Ppia/18S | 5.48 | 0.55 | ||
| Actb/Ywhaz | 2.94 | 0.38 | 0.41 b | Ppia/B2M | 2.54 | 0.57 | |
| Hprt/Actb | 3.57 | 0.28 | Ppia/Gapdh | 1.23 | 0.59 | ||
| Hprt/Rplp0 | 2.42 | 0.33 | Ppia/Hmbs | 5.14 | 0.55 | ||
| Hprt/18S | 7.26 | 0.50 | Ppia/Hprt | 1.77 | 0.34 | ||
| Hprt/B2M | 0.79 | 0.51 | Ppia/Ywhaz | 1.15 | 0.33 | 0.44 a b | |
| Hprt/Gapdh | 3.01 | 0.65 | Gapdh/Actb | 0.77 | 0.45 | ||
| Hprt/Hmbs | 6.92 | 0.55 | Gapdh/Rplp0 | 0.59 | 0.52 | ||
| Hprt/Ppia | 1.77 | 0.34 | Gapdh/18S | 4.25 | 0.59 | ||
| Hprt/Ywhaz | 0.62 | 0.45 | 0.45 a b | Gapdh/B2M | 3.77 | 0.96 | |
| Rplp0/Actb | 1.14 | 0.35 | Gapdh/Hmbs | 3.91 | 0.62 | ||
| Rplp0/18S | 4.83 | 0.43 | Gapdh/Hprt | 3.01 | 0.65 | ||
| Rplp0/B2M | 3.19 | 0.60 | Gapdh/Ppia | 1.24 | 0.60 | ||
| Rplp0/Gapdh | 0.59 | 0.52 | Gapdh/Ywhaz | 2.39 | 0.50 | 0.61 a b | |
| Rplp0/Hmbs | 4.50 | 0.49 | Ywhaz/Actb | 2.94 | 0.39 | ||
| Rplp0/Hprt | 2.42 | 0.33 | Ywhaz/Rplp0 | 1.80 | 0.34 | ||
| Rplp0/Ppia | 0.65 | 0.27 | Ywhaz/18S | 6.64 | 0.54 | ||
| Rplp0/Ywhaz | 1.80 | 0.34 | 0.42 b | Ywhaz/B2M | 1.39 | 0.65 | |
| Hmbs/Actb | 3.36 | 0.57 | Ywhaz/Gapdh | 2.39 | 0.49 | ||
| Hmbs/Rplp0 | 4.50 | 0.49 | Ywhaz/Hmbs | 6.30 | 0.61 | ||
| Hmbs/18S | 0.45 | 0.30 | Ywhaz/Hprt | 0.62 | 0.45 | ||
| Hmbs/B2M | 7.69 | 0.70 | Ywhaz/Ppia | 1.15 | 0.33 | 0.48 a b | |
| Hmbs/Gapdh | 3.91 | 0.62 | B2M/Actb | 4.33 | 0.41 | ||
| Hmbs/Hprt | 6.92 | 0.55 | B2M/Rplp0 | 3.19 | 0.60 | ||
| Hmbs/Ppia | 5.15 | 0.55 | B2M/18S | 8.02 | 0.79 | ||
| Hmbs/Ywhaz | 6.30 | 0.61 | 0.55 a b | B2M/Gapdh | 3.77 | 0.96 | |
| 18S/Actb | 3.69 | 0.55 | B2M/Hmbs | 7.69 | 0.70 | ||
| 18S/Rplp0 | 4.84 | 0.43 | B2M/Hprt | 0.79 | 0.51 | ||
| 18S/B2M | 8.02 | 0.79 | B2M/Ppia | 2.54 | 0.57 | ||
| 18S/Gapdh | 4.25 | 0.59 | B2M/Ywhaz | 1.39 | 0.66 | 0.65 a |
| Actb | Ppia | Hprt | Rplp0 | Ywhaz | Hmbs | B2M | 18S | Gapdh | Albumin | |
|---|---|---|---|---|---|---|---|---|---|---|
| n | 24 | 24 | 24 | 24 | 24 | 24 | 24 | 24 | 24 | 24 |
| geo Mean [CP] | 17.66 | 19.45 | 21.23 | 18.80 | 20.60 | 14.30 | 21.99 | 13.96 | 18.21 | 26.59 |
| ar Mean [CP] | 17.66 | 19.46 | 21.23 | 18.81 | 20.61 | 14.31 | 21.99 | 13.97 | 18.22 | 26.60 |
| min [CP] | 17.23 | 19.08 | 20.86 | 18.12 | 19.61 | 13.15 | 21.33 | 13.10 | 16.77 | 25.07 |
| max [CP] | 17.99 | 20.10 | 21.87 | 19.43 | 21.26 | 15.11 | 22.85 | 14.83 | 18.98 | 27.67 |
| std dev [± CP] | 0.18 | 0.21 | 0.22 | 0.28 | 0.28 | 0.34 | 0.35 | 0.41 | 0.55 | 0.50 |
| CV [% CP] | 1.03 | 1.10 | 1.04 | 1.47 | 1.35 | 2.35 | 1.61 | 2.96 | 3.04 | 1.89 |
| Rplp0 vs. BK | Gapdh vs. BK | 18S vs. BK | Ywhaz vs. BK | Hmbs vs. BK | Ppia vs. BK | Hprt vs. BK | B2M vs. BK | Actb vs. BK | Albumin vs. BK | |
|---|---|---|---|---|---|---|---|---|---|---|
| coeff. of corr. [r] | 0.83 | 0.794 | 0.779 | 0.596 | 0.548 | 0.463 | 0.422 | −0.411 | 0.193 | −0.466 |
| coeff. of det. [r^2] | 0.689 | 0.63 | 0.607 | 0.355 | 0.3 | 0.214 | 0.178 | 0.169 | 0.037 | 0.217 |
| intercept [CP] | −4.53 | −25.194 | −19.437 | 1.694 | −6.66 | 8.763 | 10.623 | 36.573 | 14.082 | 51.731 |
| slope [CP] | 1.278 | 2.377 | 1.829 | 1.036 | 1.148 | 0.585 | 0.581 | −0.798 | 0.196 | −1.376 |
| SE [CP] | ±0.189 | ±0.401 | ±0.324 | ±0.307 | ±0.386 | ±0.247 | ±0.275 | ±0.39 | ±0.22 | ±0.575 |
| p-value | 0.001 | 0.001 | 0.001 | 0.002 | 0.006 | 0.023 | 0.04 | 0.046 | 0.368 | 0.022 |
| Power [x-fold] | 2.46 | 5.32 | 3.52 | 2.05 | 2.22 | 1.51 | 1.5 | 0.57 | 1.15 | 0.39 |
| Albumin vs. | Actb | Rplp0 | 18S | B2M | Gapdh | Hmbs | Hprt | Ppia | Ywhaz |
|---|---|---|---|---|---|---|---|---|---|
| n | 24 | 24 | 24 | 24 | 24 | 24 | 24 | 24 | 24 |
| Pearson (r) correlation | 0.004 | −0.490 | −0.275 | 0.314 | −0.427 | −0.048 | −0.199 | −0.294 | −0.733 |
| p-value | 0.986 | 0.015 | 0.194 | 0.135 | 0.037 | 0.825 | 0.352 | 0.164 | <0.001 |
| Actb | Ppia | Hprt | Albumin | |
|---|---|---|---|---|
| n | 24 | 24 | 24 | 24 |
| geo Mean [CP] | 17.66 | 19.45 | 21.23 | 26.59 |
| ar Mean [CP] | 17.66 | 19.46 | 21.23 | 26.60 |
| min [CP] | 17.23 | 19.08 | 20.86 | 25.07 |
| max [CP] | 17.99 | 20.10 | 21.87 | 27.67 |
| std dev [± CP] | 0.18 | 0.21 | 0.22 | 0.50 |
| CV [% CP] | 1.03 | 1.10 | 1.04 | 1.89 |
| Hprt vs. BK | Ppia vs. BK | Actb vs. BK | Albumin vs. BK | |
|---|---|---|---|---|
| n | 24 | 24 | 24 | 24 |
| coeff. of corr. [r] | 0.794 | 0.726 | 0.686 | −0.230 |
| coeff. of det. [r^2] | 0.630 | 0.527 | 0.471 | 0.053 |
| intercept [CP] | −2.589 | 1.571 | 0.589 | 41.382 |
| slope [CP] | 1.228 | 0.830 | 0.973 | −0.762 |
| SE [CP] | ±0.184 | ±0.154 | ±0.202 | ±0.633 |
| p-value | 0.001 | 0.001 | 0.001 | 0.279 |
| Power [x-fold] | 2.343 | 1.792 | 1.982 | 0.592 |
Disclaimer/Publisher’s Note: The statements, opinions and data contained in all publications are solely those of the individual author(s) and contributor(s) and not of MDPI and/or the editor(s). MDPI and/or the editor(s) disclaim responsibility for any injury to people or property resulting from any ideas, methods, instructions or products referred to in the content. |
© 2026 by the authors. Licensee MDPI, Basel, Switzerland. This article is an open access article distributed under the terms and conditions of the Creative Commons Attribution (CC BY) license.
Share and Cite
Ivanova, Z.; Petrova, V.; Todorova, B.; Penev, T.; Grigorova, N. Reference Gene Validation for Quantitative PCR Analysis in 2D and 3D AML12 Hepatocyte Models. Biomedicines 2026, 14, 150. https://doi.org/10.3390/biomedicines14010150
Ivanova Z, Petrova V, Todorova B, Penev T, Grigorova N. Reference Gene Validation for Quantitative PCR Analysis in 2D and 3D AML12 Hepatocyte Models. Biomedicines. 2026; 14(1):150. https://doi.org/10.3390/biomedicines14010150
Chicago/Turabian StyleIvanova, Zhenya, Valeria Petrova, Betina Todorova, Toncho Penev, and Natalia Grigorova. 2026. "Reference Gene Validation for Quantitative PCR Analysis in 2D and 3D AML12 Hepatocyte Models" Biomedicines 14, no. 1: 150. https://doi.org/10.3390/biomedicines14010150
APA StyleIvanova, Z., Petrova, V., Todorova, B., Penev, T., & Grigorova, N. (2026). Reference Gene Validation for Quantitative PCR Analysis in 2D and 3D AML12 Hepatocyte Models. Biomedicines, 14(1), 150. https://doi.org/10.3390/biomedicines14010150

