Sign in to use this feature.

Years

Between: -

Subjects

remove_circle_outline
remove_circle_outline
remove_circle_outline
remove_circle_outline
remove_circle_outline
remove_circle_outline
remove_circle_outline
remove_circle_outline
remove_circle_outline

Journals

remove_circle_outline
remove_circle_outline
remove_circle_outline
remove_circle_outline
remove_circle_outline
remove_circle_outline
remove_circle_outline
remove_circle_outline
remove_circle_outline
remove_circle_outline
remove_circle_outline

Article Types

Countries / Regions

remove_circle_outline
remove_circle_outline
remove_circle_outline
remove_circle_outline

Search Results (532)

Search Parameters:
Keywords = radiation injury

Order results
Result details
Results per page
Select all
Export citation of selected articles as:
22 pages, 14558 KB  
Article
Ginsenoside Re Ameliorates UVB-Induced Skin Photodamage by Modulating the Glutathione Metabolism Pathway: Insights from Integrated Transcriptomic and Metabolomic Analyses
by Jiaqi Wang, Duoduo Xu, Yangbin Lai, Yuan Zhao, Qiao Jin, Yuxin Yin, Jinqi Wang, Yang Wang, Shuying Liu and Enpeng Wang
Int. J. Mol. Sci. 2026, 27(2), 708; https://doi.org/10.3390/ijms27020708 - 10 Jan 2026
Viewed by 212
Abstract
With the growing prominence of skin photodamage caused by ultraviolet (UV) radiation, the development of efficient and safe natural photoprotectants has become a major research focus. Ginsenoside Re (G-Re), a primary active component of ginseng (Panax ginseng C. A. Mey.), has attracted [...] Read more.
With the growing prominence of skin photodamage caused by ultraviolet (UV) radiation, the development of efficient and safe natural photoprotectants has become a major research focus. Ginsenoside Re (G-Re), a primary active component of ginseng (Panax ginseng C. A. Mey.), has attracted much attention due to its significant antioxidant and anti-inflammatory activities; however, its systemic role and mechanism in protecting against photodamage remain unclear. In this study, a UVB-induced rat photodamage model was established to evaluate the protective effect of ginsenoside Re through histopathological staining, biochemical assay, and immunohistochemical analysis. Furthermore, an integrated transcriptomic and metabolomic approach was applied to elucidate the molecular mechanism of G-Re protection and to establish the association between the photodamage phenotype, metabolic pathways, and gene functions. Following their identification via integrated multi-omics analysis, the key targets were subjected to verification via Western blotting. The results showed that G-Re could effectively alleviate UVB-induced pathological injury and reduce the level of oxidative stress and inflammatory factors, which could reverse regulate the abnormal expression of 265 differential genes and 30 metabolites. The glutathione metabolism pathway was proven as a key pathway mediating the protective effects of ginsenoside Re against skin photodamage via integrated analysis, WB verification, and molecular docking. The current study indicated that G-Re could be a promising natural sunscreen additive in cosmetical products. Full article
(This article belongs to the Section Bioactives and Nutraceuticals)
Show Figures

Graphical abstract

16 pages, 1599 KB  
Article
Radioprotective Effect of ε-Aminocaproic Acid in Acute Total-Body Gamma Irradiation in Rats
by Timur Fazylov, Timur Saliev, Igor Danko, Zhomart Beksultanov, Shynar Tanabayeva, Ildar Fakhradiyev, Anel Ibrayeva and Marat Shoranov
Life 2026, 16(1), 96; https://doi.org/10.3390/life16010096 - 8 Jan 2026
Viewed by 178
Abstract
Background. Acute radiation injury to the small-intestinal mucosa and the hematopoietic system is a key determinant of early mortality after high-dose total-body irradiation. ε-Aminocaproic acid (EACA), a lysine analogue with antifibrinolytic properties, has been proposed as a potential radioprotective agent, but its effects [...] Read more.
Background. Acute radiation injury to the small-intestinal mucosa and the hematopoietic system is a key determinant of early mortality after high-dose total-body irradiation. ε-Aminocaproic acid (EACA), a lysine analogue with antifibrinolytic properties, has been proposed as a potential radioprotective agent, but its effects on intestinal and hematologic injury remain insufficiently characterized. Methods. In this experimental study, 240 male Wistar rats were subjected to single-dose total-body γ-irradiation at 10.6 Gy and randomized into six groups: two non-irradiated controls (CG-1, CG-2), an irradiated control without treatment (CG-3), and three experimental groups receiving EACA (EG-1: 3 h before irradiation; EG-2: 3 h after irradiation; EG-3: both 3 h before and 3 h after irradiation). Pain behavior was assessed using the Rat Grimace Scale. Intestinal damage was evaluated by a modified Radiation Injury Intestinal Mucosal Damage Score (RIIMS_sum), villus and crypt morphometry, and qualitative histology of the ileum. Hemoglobin, leukocytes, and platelets were measured serially, and 30-day survival was analyzed using Kaplan–Meier curves with log-rank tests. Results. Across all EACA regimens, the odds of being in a higher Rat Grimace Scale pain category were reduced compared with CG-3, with the strongest effect in EG-3 (OR 0.42; 95% CI 0.31–0.58). At 72 h after irradiation, the cumulative RIIMS score was lower in EACA-treated groups by approximately 17–36% versus CG-3, with the lowest injury in EG-3 (18.5 vs. 29.0 points). EACA attenuated shortening and blunting of villi, preserved crypt architecture, and mitigated anemia, leukopenia, and thrombocytopenia. Thirty-day survival was 20% in CG-3 and 60%, 65%, and 80% in EG-1, EG-2, and EG-3, respectively (all p < 0.05 vs. CG-3). Conclusions. ε-Aminocaproic acid exerts a pronounced, timing-dependent radioprotective effect in a rat model of acute total-body γ-irradiation, concurrently reducing the severity of radiation enteritis, hematologic toxicity, and early mortality. These findings support further investigation of EACA as a candidate adjunct in the prevention of acute radiation injury. Full article
(This article belongs to the Section Medical Research)
Show Figures

Figure 1

17 pages, 1118 KB  
Review
Urinary Biomarkers for Radiation Cystitis: Current Insights and Future Directions
by Rani Mahyoob and Bernadette M. M. Zwaans
Int. J. Mol. Sci. 2026, 27(2), 565; https://doi.org/10.3390/ijms27020565 - 6 Jan 2026
Viewed by 167
Abstract
Radiation cystitis (RC) is a clinically challenging and often progressive complication of pelvic radiotherapy, marked by urothelial injury, vascular dysfunction, chronic inflammation, and fibrotic remodeling. Early diagnosis remains elusive due to nonspecific symptoms and the absence of validated molecular tools. As a biofluid [...] Read more.
Radiation cystitis (RC) is a clinically challenging and often progressive complication of pelvic radiotherapy, marked by urothelial injury, vascular dysfunction, chronic inflammation, and fibrotic remodeling. Early diagnosis remains elusive due to nonspecific symptoms and the absence of validated molecular tools. As a biofluid in direct contact with the irradiated bladder, urine offers a unique molecular window into RC pathogenesis. In this review, we synthesize the current landscape of urinary biomarkers associated with the acute, latent, and chronic phases of RC, including inflammatory cytokines, oxidative stress products, epithelial injury markers, extracellular vesicles, microRNAs, proteomic signatures, and metabolomic alterations. We also integrate emerging mechanistic insights such as DNA damage responses, ROS generation, mitochondrial dysfunction, urothelial barrier disruption, senescence-associated secretory phenotypes, hypoxia-driven vascular injury, and profibrotic TGF-β signaling, all of which contribute to the release of urinary analytes. By linking phase-specific molecular pathways with corresponding urinary signatures, we highlight opportunities to leverage urine-based measurements for early detection, risk stratification, severity assessment, and therapeutic monitoring. A deeper understanding of the molecular mechanisms shaping urinary biomarker profiles will be essential for advancing precision diagnostics and improving long-term outcomes for patients with radiation cystitis. Full article
Show Figures

Figure 1

11 pages, 759 KB  
Perspective
Caveolin-1 in Skin Protection Against Radiation-Induced Skin Injuries: Pathophysiological Mechanisms and New Avenues for Prevention
by Ilja L. Kruglikov
Int. J. Mol. Sci. 2026, 27(1), 415; https://doi.org/10.3390/ijms27010415 - 30 Dec 2025
Viewed by 344
Abstract
The identification of caveolin-1 (CAV1) as a universal pathophysiological factor and target for treating various cutaneous conditions and the recognition of its role as a universal factor and target in the protection of cells from genotoxic stress have opened new avenues for protecting [...] Read more.
The identification of caveolin-1 (CAV1) as a universal pathophysiological factor and target for treating various cutaneous conditions and the recognition of its role as a universal factor and target in the protection of cells from genotoxic stress have opened new avenues for protecting skin against radiation-induced skin injuries (RISIs). A significant and rapid increase in CAV1 content in irradiated cells, reaching a maximum at 30–60 min after irradiation, coupled with internalization of epidermal growth factor receptors involved in the activation of homologous recombination and non-homologous end-joining repairing of double-strand breaks in affected cells, can protect the cells from irradiation to some degree. However, a higher level of protection can be achieved when the CAV1 content in the skin is increased before irradiation. Such an enhancement in the expression and translocation of CAV1 can be induced by the local application of thermo-mechanical stress with parameters inducing reinforcement of the actin cytoskeleton in treated cells. The application of very-high-frequency ultrasound waves with frequencies above 10 MHz or combined multi-frequency ultrasound waves can provide new means of protecting against RISIs during radiation therapy without reducing the radiosensitivity of cancer cells. Full article
(This article belongs to the Section Molecular Pathology, Diagnostics, and Therapeutics)
Show Figures

Figure 1

16 pages, 2845 KB  
Article
The Protective Efficacy of Total Alkaloids from Nelumbinis Plumula on Irradiation-Induced Oxidative Stress Damage in Human Umbilical Vein Endothelial Cells
by Junyu Bu, Ziming Xia, Jinrui Zhang, Longhui Yan, Yiming Luo, Zhiyan Zhang, Min Li, Shuchen Liu and Ying Tian
Antioxidants 2026, 15(1), 49; https://doi.org/10.3390/antiox15010049 - 30 Dec 2025
Viewed by 271
Abstract
A high-purity alkaloid-enriched extract (NPAE) was developed from Nelumbinis Plumula. Beyond quantifying its representative alkaloids and total alkaloid content, this study revealed the novel radioprotective role of NPAE against radiation-induced oxidative stress in human umbilical vein endothelial cells (HUVECs). Pretreatment with NPAE significantly [...] Read more.
A high-purity alkaloid-enriched extract (NPAE) was developed from Nelumbinis Plumula. Beyond quantifying its representative alkaloids and total alkaloid content, this study revealed the novel radioprotective role of NPAE against radiation-induced oxidative stress in human umbilical vein endothelial cells (HUVECs). Pretreatment with NPAE significantly attenuated H2O2-induced oxidative stress and suppressed irradiation-induced pyroptosis, primarily through restoration of redox homeostasis and inhibition of inflammasome activation. Mechanistic investigations showed that NPAE downregulated the expression of GSDMD-N and cleaved caspase-1, while reducing the secretion of proinflammatory cytokines (IL-18 and IL-1β). These results demonstrate that NPAE effectively alleviates oxidative damage and prevents pyroptosis in endothelial cells, highlighting its potential as a promising phytotherapeutic agent for protection against ionizing radiation injury. Full article
Show Figures

Graphical abstract

22 pages, 5182 KB  
Article
From Reshaped Metabolome to Repaired Skin: Fermented Gastrodia elata Alleviates UVB-Induced Damage Through Controlled Immune Activation
by Xing Huang, Xiaoqi Yang, Chunrui Xu, Jiajia Liu, Yuan Luo, Zixian Xu, Shixiao Pu, Zongyang Li, Yunlong Zhang, Min Bai and Lianbing Lin
Antioxidants 2026, 15(1), 45; https://doi.org/10.3390/antiox15010045 - 29 Dec 2025
Viewed by 354
Abstract
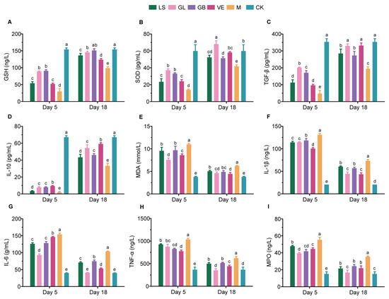
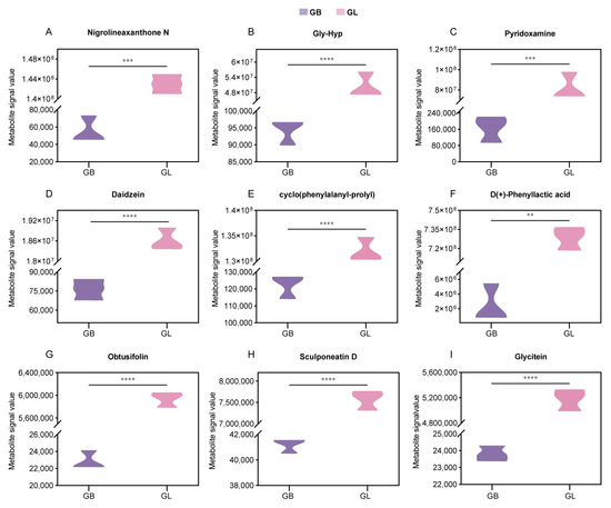
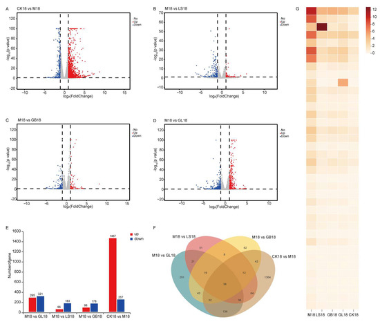
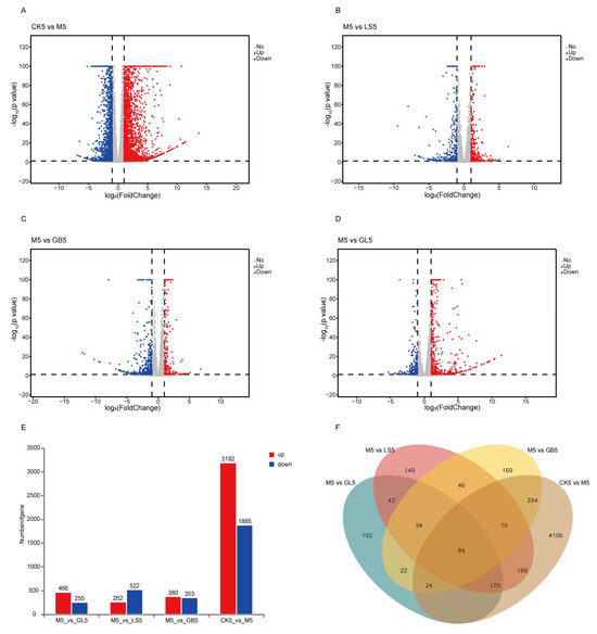
UVB radiation induces cutaneous damage through oxidative stress and immune dysregulation. This study investigated the therapeutic potential of Gastrodia elata fermented by Lactobacillus salivarius AACE1 (GL) in a mouse model of UVB-induced skin injury. Results demonstrated that GL treatment significantly improved skin morphology, [...] Read more.
UVB radiation induces cutaneous damage through oxidative stress and immune dysregulation. This study investigated the therapeutic potential of Gastrodia elata fermented by Lactobacillus salivarius AACE1 (GL) in a mouse model of UVB-induced skin injury. Results demonstrated that GL treatment significantly improved skin morphology, enhanced antioxidant activities (SOD and GSH), reduced oxidative damage (MDA), and balanced inflammatory mediators by upregulating TGF-β and IL-10 while downregulating TNF-α, IL-6, and IL-1β. Transcriptomic analysis revealed that GL specifically activated NOD-like receptor signaling pathway components (Nlrp3, Casp4, and Gbp2/5) while inducing Tnfaip3 to establish negative feedback control. Metabolomic profiling confirmed that fermentation transformed the metabolite landscape, enriching collagen-related dipeptides, antimicrobial/anti-inflammatory metabolites, and antioxidant cofactors. Importantly, comparative analysis showed that GL is more effective than vitamin E in coordinating multiple signaling pathways and maintaining inflammatory homeostasis. These findings establish GL as an effective natural product that alleviates UVB-induced skin damage through synchronized metabolic remodeling and controlled immune activation. Full article
Show Figures

Figure 1

19 pages, 1872 KB  
Review
Radiation-Induced Valvular Heart Disease: A Narrative Review of Epidemiology, Diagnosis and Management
by Andreea-Mădălina Varvara, Cătălina Andreea Parasca, Vlad Anton Iliescu and Ruxandra Oana Jurcuț
J. Cardiovasc. Dev. Dis. 2026, 13(1), 1; https://doi.org/10.3390/jcdd13010001 - 19 Dec 2025
Viewed by 601
Abstract
Mediastinal radiotherapy plays a central role in the treatment of several malignancies, particularly Hodgkin lymphoma and breast cancer. However, exposure to thoracic radiation is associated with long-term cardiovascular complications, among which valvular heart disease (VHD) is increasingly recognized. Radiation-induced VHD typically presents after [...] Read more.
Mediastinal radiotherapy plays a central role in the treatment of several malignancies, particularly Hodgkin lymphoma and breast cancer. However, exposure to thoracic radiation is associated with long-term cardiovascular complications, among which valvular heart disease (VHD) is increasingly recognized. Radiation-induced VHD typically presents after a latency period of 10–20 years and is characterized by progressive valve fibrosis, thickening, and calcification, most commonly affecting the left-sided valves. Management of radiation-induced VHD generally follows standard guidelines but remains challenging due to extensive calcification and coexisting radiation-related cardiac or pulmonary injury. A history of thoracic radiotherapy is associated with increased perioperative risk and may negatively impact surgical outcomes, which often alters the risk–benefit balance and favors less invasive therapeutic approaches. Advances in the transcatheter approach have expanded treatment options for this high-risk population; however, data on long-term outcomes remain limited. Evolving dose-reduction techniques, such as deep-inspiration breath-hold, intensity-modulated radiotherapy, and proton therapy, together with predictive dosimetric models, aim to minimize future cardiac toxicity. Given the delayed onset and progressive nature of radiation-associated VHD, structured long-term surveillance is essential to enable early detection and timely intervention in cancer survivors at risk. Full article
Show Figures

Graphical abstract

22 pages, 4131 KB  
Article
Transcriptome-Guided Drug Repurposing Identifies Homoharringtonine (HHT) as a Candidate for Radiation-Induced Pulmonary Fibrosis
by Mohamed El-Agamy Farh, Sang Yeon Kim, Sunjoo Park, Cui Ronglan, InSuk Sohn and Jaeho Cho
Pharmaceutics 2025, 17(12), 1626; https://doi.org/10.3390/pharmaceutics17121626 - 18 Dec 2025
Viewed by 549
Abstract
Background: Radiation-induced pulmonary fibrosis (RPF) remains a major burden of successful lung cancer radiotherapy. Clinically validated drugs targeting RPF remains scarce. Methods: We employed a transcriptome-based drug repurposing approach using REMEDY, a computational platform built on the Library of Integrated Network-Based Cellular Signatures [...] Read more.
Background: Radiation-induced pulmonary fibrosis (RPF) remains a major burden of successful lung cancer radiotherapy. Clinically validated drugs targeting RPF remains scarce. Methods: We employed a transcriptome-based drug repurposing approach using REMEDY, a computational platform built on the Library of Integrated Network-Based Cellular Signatures (LINCS). Differentially expressed genes (DEGs) derived from radiation-induced lung injury (RILI) models were used as a query to identify compounds capable of reversing pro-fibrotic expression profile. Among top-ranked candidates, homoharringtonine (HHT), an FDA-approved protein synthesis inhibitor, was selected for experimental validation. Anti-fibrotic effects of HHT were assessed using an optimized in vitro fibrotic model based on activation of MRC-5 human lung fibroblasts. Complementary in silico molecular docking analyses were also conducted to explore the mechanistic basis of HHT’s actions. This represents the first transcriptome-guided, LINCS-based drug repurposing study applied specifically to radiation-induced pulmonary fibrosis, utilizing RPF-derived molecular signatures rather than general fibrosis-related datasets. Results: HHT significantly attenuated key fibrotic phenotypes, including fibroblast proliferation, myofibroblast differentiation, and extracellular matrix (ECM) production. Notably, HHT suppressed expression of cyclin D1 and α-smooth muscle actin (α-SMA), and reduced collagen deposition. Mechanistic investigations revealed that HHT modulates two pro-fibrotic pathways: RhoA/ROCK and Wnt/β-catenin signaling. Molecular docking further suggested that HHT may directly interact with fibrosis-related receptors such as integrins and Frizzled, providing structural insight into its anti-fibrotic potential. These findings underscore the novelty of reassigning HHT to a radiation-specific fibrotic context using a signature-reversal strategy uniquely tailored to RPF biology. Conclusions: Our findings identify HHT as a promising treatment of RPF, offering a dual mechanism of action—interruption of protein synthesis and targeted inhibition of fibrotic signaling pathways. This study highlights the value of computational drug repurposing platforms for accelerating therapeutic discovery. Further preclinical investigations are warranted to evaluate HHT’s in vivo efficacy and clinical applicability in RPF. Full article
(This article belongs to the Section Drug Targeting and Design)
Show Figures

Figure 1

21 pages, 331 KB  
Review
Blood-Based Biomarkers for Traumatic Brain Injury: A New Era in Diagnosis and Prognosis
by Giulia Pignataro, Marta Sacco Fernandez, Marcello Candelli, Gloria Rozzi, Andrea Piccioni, Evelina Forte and Francesco Franceschi
Int. J. Mol. Sci. 2025, 26(24), 12158; https://doi.org/10.3390/ijms262412158 - 18 Dec 2025
Viewed by 910
Abstract
Traumatic brain injury (TBI) is a major global health concern and a leading cause of mortality and disability. Head computed tomography (CT) remains indispensable for the detection of intracranial hemorrhage; however, its indiscriminate use in mild trauma increases radiation exposure, cumulative oncogenic risk, [...] Read more.
Traumatic brain injury (TBI) is a major global health concern and a leading cause of mortality and disability. Head computed tomography (CT) remains indispensable for the detection of intracranial hemorrhage; however, its indiscriminate use in mild trauma increases radiation exposure, cumulative oncogenic risk, and healthcare costs. Consequently, there is growing interest in tools capable of improving sensitivity in mild or early-stage TBI. Protein-based biomarkers are promising complements to conventional assessment. Molecules such as glial fibrillary acidic protein (GFAP), ubiquitin C-terminal hydrolase L1 (UCH-L1), S100 calcium-binding protein B (S100B), and neurofilament light chain (NfL) reflect astroglial activation, neuronal injury, and axonal damage, enabling objective evaluation of neurotrauma. Beyond protein biomarkers, metabolomic and lipidomic approaches capture alterations associated with early metabolic distress, oxidative stress, mitochondrial dysfunction, and membrane disruption following TBI. High-resolution mass spectrometry studies have identified reproducible metabolite and lipid signatures correlating with injury severity and functional outcomes. Longitudinal profiling further reveals dynamic metabolic trajectories that distinguish secondary injury progression from stabilization, supporting predictive modeling and risk stratification. Together, these advances pave the way toward precision medicine in neurotrauma. Nevertheless, variability in assay performance and sampling timing continues to limit widespread clinical adoption. Future research should prioritize methodological standardization, analytical validation, and the integration of multi-omic data with machine learning–based predictive models. Full article
(This article belongs to the Section Molecular Pathology, Diagnostics, and Therapeutics)
23 pages, 12192 KB  
Article
Alpha-Lipoic Acid Preserves Testicular Integrity Under 2.45 GHz Electromagnetic Radiation by Restoring Redox and Inflammatory Balance
by Tahir Cakir, Seda Keskin, Kenan Yildizhan, Mehmet Hafit Bayir, Fikret Altindag and Erbil Karaman
Biomedicines 2025, 13(12), 3089; https://doi.org/10.3390/biomedicines13123089 - 15 Dec 2025
Viewed by 440
Abstract
Background/Objective: Electromagnetic radiation (EMR) from wireless technologies has raised concerns about male reproductive health. We aimed to evaluate the protective role of alpha-lipoic acid (ALA), a potent antioxidant, against testicular alterations induced by 2.45 GHz EMR. Methods: Twenty-eight adult male rats were randomly [...] Read more.
Background/Objective: Electromagnetic radiation (EMR) from wireless technologies has raised concerns about male reproductive health. We aimed to evaluate the protective role of alpha-lipoic acid (ALA), a potent antioxidant, against testicular alterations induced by 2.45 GHz EMR. Methods: Twenty-eight adult male rats were randomly divided into four groups: control, EMR, ALA, and ALA+EMR. Animals in the EMR and ALA+EMR groups were exposed to EMR for 2 h/day for 1 month. Testicular tissues were examined histologically, stereologically, and immunohistochemically, while serum samples were analysed biochemically. Results: EMR exposure caused marked structural damage, including disruption of seminiferous tubule architecture, increased collagen deposition, and expansion of tubular and interstitial volumes. These pathological changes were primarily prevented in the ALA+EMR group. Immunohistochemical analyses revealed increased IL-6 and TNF-α expression following EMR exposure, whereas ALA supplementation significantly reduced these inflammatory markers and restored AR, ZO-1, and ZO-2 expression. Biochemically, EMR reduced antioxidant enzyme activities (SOD, GSH, GPx) and elevated MDA levels, indicating oxidative stress; these parameters were reversed by ALA treatment. Conclusions: Collectively, our findings demonstrate that 2.45 GHz EMR induces oxidative stress, inflammation, and testicular injury, while ALA provides significant protection. These results highlight the therapeutic potential of ALA as a protective agent against EMR-related reproductive toxicity and infertility risk. Full article
(This article belongs to the Section Molecular and Translational Medicine)
Show Figures

Graphical abstract

17 pages, 1869 KB  
Review
Head and Neck Radiotherapy and Dentomaxillofacial Diagnostic Imaging: Biological Interactions and Protective Approaches
by Cyro Daniel Hikaro Fuziama, Ana Cristina Borges-Oliveira, Lana Ferreira Santos, Sérgio Lúcio Pereira de Castro Lopes and Andre Luiz Ferreira Costa
Biomedicines 2025, 13(12), 3046; https://doi.org/10.3390/biomedicines13123046 - 11 Dec 2025
Viewed by 471
Abstract
Radiotherapy is a fundamental component in the management of head and neck malignancies, but its non-selective effects on surrounding normal tissues can result in significant oral complications. The oral cavity and oropharynx contain several radiosensitive structures, including mucosa, salivary glands, and alveolar bone, [...] Read more.
Radiotherapy is a fundamental component in the management of head and neck malignancies, but its non-selective effects on surrounding normal tissues can result in significant oral complications. The oral cavity and oropharynx contain several radiosensitive structures, including mucosa, salivary glands, and alveolar bone, which are susceptible to both acute and late toxicities resulting in mucositis, xerostomia, and osteoradionecrosis. Although dentomaxillofacial diagnostic imaging, such as intraoral radiography, panoramic imaging and cone-beam computed tomography (CBCT), delivers radiation doses several orders of magnitude lower than therapeutic exposures, its biological impact on previously irradiated tissues remains underexplored. Even low-dose X-rays may act as secondary stressors, reactivating oxidative and inflammatory pathways in tissues with compromised repair capacity. In this review, we examine the radiobiological and dosimetric implications of using diagnostic ionizing imaging in patients undergoing or recently having completed head and neck radiotherapy. We summarize current evidence on potential additive effects of low-dose imaging, emphasizing the importance of justification, timing, and protocol optimization. Finally, we discuss radioprotective strategies (e.g., dose modulation, field limitation, and integration of modern low-dose imaging technologies) designed to reduce unnecessary exposure, thus enhancing tissue preservation and ensuring diagnostic safety in this vulnerable patient population Full article
(This article belongs to the Special Issue New Insights in Radiotherapy: Bridging Radiobiology and Oncology)
Show Figures

Figure 1

18 pages, 361 KB  
Review
Clinical Benefits and Limitations of Cone-Beam Computed Tomography in Endodontic Practice: A Contemporary Evidence-Based Review
by Jasmine Wong, Chengfei Zhang and Angeline Hui Cheng Lee
Diagnostics 2025, 15(24), 3117; https://doi.org/10.3390/diagnostics15243117 - 8 Dec 2025
Viewed by 1611
Abstract
Cone-beam computed tomography (CBCT) has transformed endodontic practice by enabling more precise diagnosis and treatment of pulpal and apical pathologies. The aim of this review was to summarize the current clinical applications, benefits and limitations of CBCT in endodontic practice. A search of [...] Read more.
Cone-beam computed tomography (CBCT) has transformed endodontic practice by enabling more precise diagnosis and treatment of pulpal and apical pathologies. The aim of this review was to summarize the current clinical applications, benefits and limitations of CBCT in endodontic practice. A search of electronic databases identified relevant literature on CBCT applications, innovations, and limitations. Emphasis was placed on identifying contemporary studies published in the last 5 years. In general, CBCT demonstrates better diagnostic efficacy across multiple applications, including identifying complex anatomy, detection of apical periodontitis, pre-surgical planning and the diagnosis and management of longitudinal root fractures, traumatic dental injuries and root resorptions. However, clinicians should balance the benefits of CBCT against its shortcomings, such as increased radiation exposure, presence of artifacts and higher costs. Proper use requires adherence to guidelines, optimized machine settings, and interpretation by trained individuals. Recent research explores the integration of CBCT with emerging technologies like artificial intelligence and guided systems. In summary, CBCT remains an essential tool for clinical decision-making in endodontics when used judiciously, with ongoing research continuing to expand its potential applications. Full article
33 pages, 822 KB  
Review
Artificial Intelligence Enabled Lung Sound Auscultation in the Early Diagnosis and Subtyping of Interstitial Lung Disease
by Avneet Kaur, Swathi Priya Cherukuri, Megha Shashidhar Handral, Hanisha Reddy Kukunoor, Rikesh KC, Swathi Godugu, Jieun Lee, Gayathri Yerrapragada, Poonguzhali Elangovan, Mohammed Naveed Shariff, Thangeswaran Natarajan, Jayarajasekaran Janarthanan, Jayavinamika Jayapradhaban Kala, Sancia Mary Jerold Wilson, Samuel Richard, Shiva Sankari Karrupiah, Dipankar Mitra, Vivek N. Iyer, Scott A. Helgeson and Shivaram P. Arunachalam
J. Clin. Med. 2025, 14(23), 8500; https://doi.org/10.3390/jcm14238500 - 30 Nov 2025
Viewed by 871
Abstract
Background: Interstitial lung disease (ILD) involves numerous chronic pulmonary conditions that damage the lung parenchyma and alveolar interstitium. ILD has overlapping clinical and radiological features with other commonly seen cardiac and respiratory conditions. If not identified and treated in a timely manner, it [...] Read more.
Background: Interstitial lung disease (ILD) involves numerous chronic pulmonary conditions that damage the lung parenchyma and alveolar interstitium. ILD has overlapping clinical and radiological features with other commonly seen cardiac and respiratory conditions. If not identified and treated in a timely manner, it may lead to irreversible fibrosis and a poor prognosis in the patient. The current diagnostic methods are either invasive or reliant on imaging or specialist interpretation, which can lead to diagnostic delay, increased radiation exposure, and healthcare costs. Lung crackles, often under-recognized as a non-specific feature of ILD, may serve as an important diagnostic clue in identifying not only the early stages of ILD but also its subtypes. This review explores the potential of analyzing the lung sounds in ILD through AI-based auscultation. Objective: To provide a comprehensive analysis of the pathophysiological stages of lung injury in ILD, the specific acoustic features, and the location associated with each ILD subtype and to evaluate the current state-of-the-art non-AI and AI methodologies that are used to diagnose ILD. This review aims to analyze the limitations associated with the current modalities and to envision AI-integrated auscultation as a powerful, cost-effective, non-invasive, radiation-free screening tool for early detection of ILD and its subtypes. Content Overview: The review begins with a detailed analysis of the lung sound pathophysiology, exploring the two-stage mechanism of alveolar epithelial injury and fibrosis formation. Existing hypotheses explaining the mechanism behind crackle production and the role of structural anatomy and surface tension in the generation of pathological lung sounds are examined. A tabulated summary of common ILD subtypes is provided, including their inciting events, pathogenesis, anatomical auscultation locations, and prognostic implications. Current diagnostic modalities for ILD, both non-AI and AI-based, are summarized along with their limitations, emphasizing the need for improved diagnostic tools. Discussion: Existing studies suggest that AI-based auscultation can match or exceed the current modalities in its sensitivity and specificity for detecting ILD-related crackles. Clinicians can identify the specific sound pattern and then correlate it with the ILD subtype and understand the prognosis in real time, thereby providing timely intervention to the patient. Additionally, AI-based auscultation can be used in resource-limited settings and can potentially reduce dependence on pulmonology expertise and radiation-based imaging for monitoring the condition. Conclusions: This literature review highlights the clinical potential of AI-based auscultation for early and accurate diagnoses of ILD. Understanding the associated pathological sounds, biomarkers, and genetic mutations linked to different subtypes opens avenues for future development of non-invasive diagnostic panels for ILD in clinical practice. Full article
(This article belongs to the Special Issue Interstitial Lung Diseases: New Treatments and Future Directions)
Show Figures

Figure 1

18 pages, 419 KB  
Article
Radioprotective and Radiomitigative Effects of Resveratrol in Radiation-Induced Reproductive Toxicity in Male Mice
by Małgorzata M. Dobrzyńska and Aneta Gajowik
Toxics 2025, 13(12), 1019; https://doi.org/10.3390/toxics13121019 - 26 Nov 2025
Viewed by 572
Abstract
Background: Agents with free radical-scavenging functions may act as radiation modifiers, protectors, or mitigators. Methods: We investigated whether supplementation with resveratrol (RSV) in mice, at different times after the beginning of X-irradiation, may influence sperm count and quality during the irradiation [...] Read more.
Background: Agents with free radical-scavenging functions may act as radiation modifiers, protectors, or mitigators. Methods: We investigated whether supplementation with resveratrol (RSV) in mice, at different times after the beginning of X-irradiation, may influence sperm count and quality during the irradiation and recovery. Results: Irradiation importantly decreased the sperm count. RSV supplemented with 1 Gy since 24 h increased sperm count. The combination of low doses increased, whereas the combination of high doses reduced DNA damage. Coadministration of two high doses since the eighth day significantly increased DNA damage and slightly increased sperm count. The supplementation of RSV during recovery was toxic to irradiated males. The sperm parameters were a little better in the absence of RSV. The degree of DNA injury of germ cells was importantly lower in groups combined with 1 Gy. Conclusions: Resveratrol counteracted the radiation-induced death of germ cells and improved the sperm count. RSV may function as radioprotector (before or during exposure) and radiomitigator (after exposure) of lethal effects in male gametes. The combination of high doses of irradiation with RSV over 24 h mitigated DNA damage. Contrarily, supplementation during recovery is not recommended since it may be toxic during long-lasting irradiation. Full article
(This article belongs to the Section Reproductive and Developmental Toxicity)
Show Figures

Graphical abstract

29 pages, 3761 KB  
Review
SHP2: A Redox-Sensitive Regulator Linking Immune Checkpoint Inhibitor Therapy to Cancer Treatment and Vascular Risk
by Silvia Fernanda López Moreno, Stefania Assunto Lenz, Bernardo Casso-Chapa, Angelica Paniagua-Bojorges, Jung Hyun Kim, Nicolas L. Palaskas, Kevin T. Nead, Venkata S. K. Samanthapudi, Gilbert Mejia, Oanh Hoang, Jonghae Lee, Steven H. Lin, Joerg Herrmann, Guangyu Wang, Syed Wamique Yusuf, Cezar A. Iliescu, Noah I. Beinart, Charlotte Manisty, Masuko Ushio-Fukai, Tohru Fukai, Pietro Ameri, Roza I. Nurieva, Michelle A. T. Hildebrandt, Keri Schadler, Efstratios Koutroumpakis, Sivareddy Kotla, Nhat-Tu Le and Jun-ichi Abeadd Show full author list remove Hide full author list
Antioxidants 2025, 14(12), 1388; https://doi.org/10.3390/antiox14121388 - 21 Nov 2025
Viewed by 1228
Abstract
Src homology 2-domain containing protein tyrosine phosphatase 2 (SHP2), encoded by the Ptpn11 gene (Tyrosine-protein phosphatase non-receptor type 11), is a key downstream effector of PD-1/PD-L1 signaling and is likely important, in addition to immune modulation, in tumor development and vascular homeostasis. SHP2 [...] Read more.
Src homology 2-domain containing protein tyrosine phosphatase 2 (SHP2), encoded by the Ptpn11 gene (Tyrosine-protein phosphatase non-receptor type 11), is a key downstream effector of PD-1/PD-L1 signaling and is likely important, in addition to immune modulation, in tumor development and vascular homeostasis. SHP2 conveys PD-1 mediated inhibitory signaling in T cells, and is emerging as a therapeutic target. Importantly, there is an association between immune checkpoint inhibitors (ICIs), immune-related adverse events (irAEs), and cardiovascular complications, underscoring the need to understand SHP2’s role in these processes. This review aims to summarize current knowledge on SHP2/PTPN11 biology, its role in immune regulation, cancer progression, and vascular homeostasis, and to discuss emerging therapeutic strategies targeting this pathway. The concept of using SHP2 inhibitors with immune checkpoint inhibitors (ICIs) is being investigated to address ICI resistance and to improve anti-tumor efficacy substantially. SHP2 is also being studied in non-cancer cell contexts, and signaling responses can differ by large magnitudes depending on the biological context and stimuli. Under normal circumstances, SHP2 promotes vascular homeostasis in endothelial cells (ECs) and myeloid cells and inhibits inflammation, and the reduction in SHP2 activity by oxidative stress, such as in atherosclerosis or diabetes, upregulates inflammation. In contrast, in response to radiation, the fibrotic response and subsequent lung injury were increased by endothelial SHP2 induction via Notch-Jag1 signaling. Vascular smooth muscle cells SHP2 act as a pro-atherogenic effector by enhancing ERK/MAPK signaling, and the upregulation of mitochondria localized SHP2 can also induce cellular senescence-associated inflammation by upregulating mitochondrial reactive oxygen species. Taken together, the two opposite signaling effects of SHP2 suggest that both the immune and vascular system responses appear to be more modulated by the redox, cell, and compartment-specific signaling of SHP2. More studies are needed for mitigating cardiovascular toxicity to patients, particularly with ICI-based treatment regimens. Full article
Show Figures

Graphical abstract

Back to TopTop