From Reshaped Metabolome to Repaired Skin: Fermented Gastrodia elata Alleviates UVB-Induced Damage Through Controlled Immune Activation
Abstract
1. Introduction
2. Materials and Methods
2.1. Bacterial Strain Source
2.2. L. salivarius AACE1 Fermented G. elata
2.3. Animals and Therapy
2.4. Enzyme-Linked Immunosorbent Assay
2.5. Histochemistry
2.6. Concentration of Endotoxin in GL
2.7. Metabolomics of G. elata
2.8. Mice Skin Transcriptome
2.9. Differential Gene Expression and Functional Enrichment Analysis
2.10. Statistical Analysis
3. Results
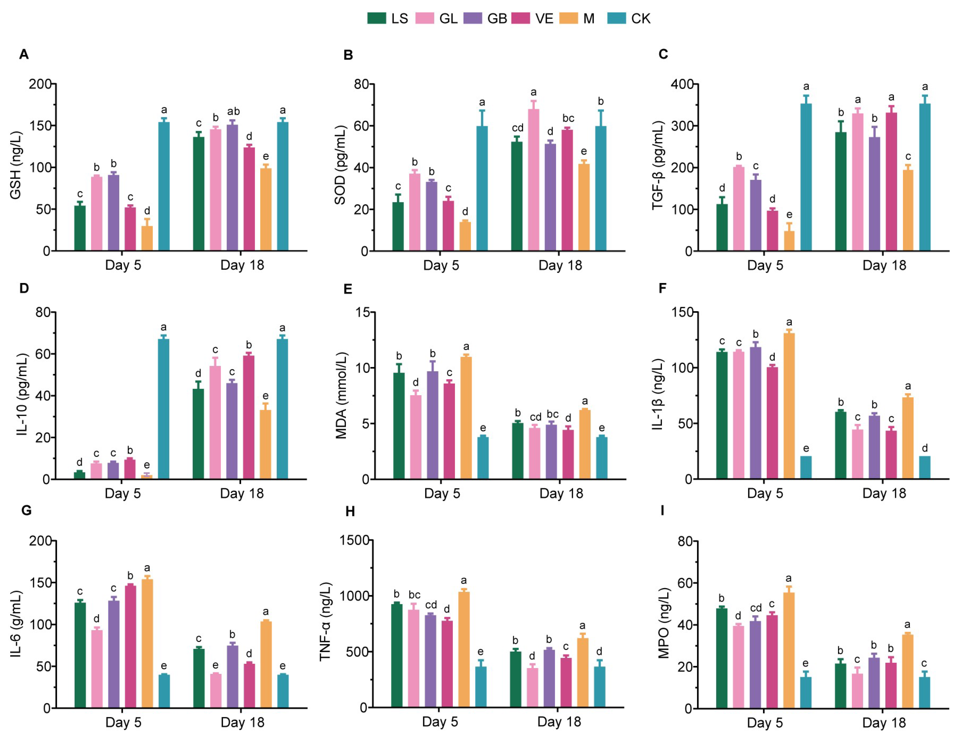
3.1. GL Alleviates UVB-Induced Acute Skin Damage in Mice
3.2. Dominant Performance of GL in Oxidative Stress and Inflammation Relief
3.3. Endotoxin Test Results
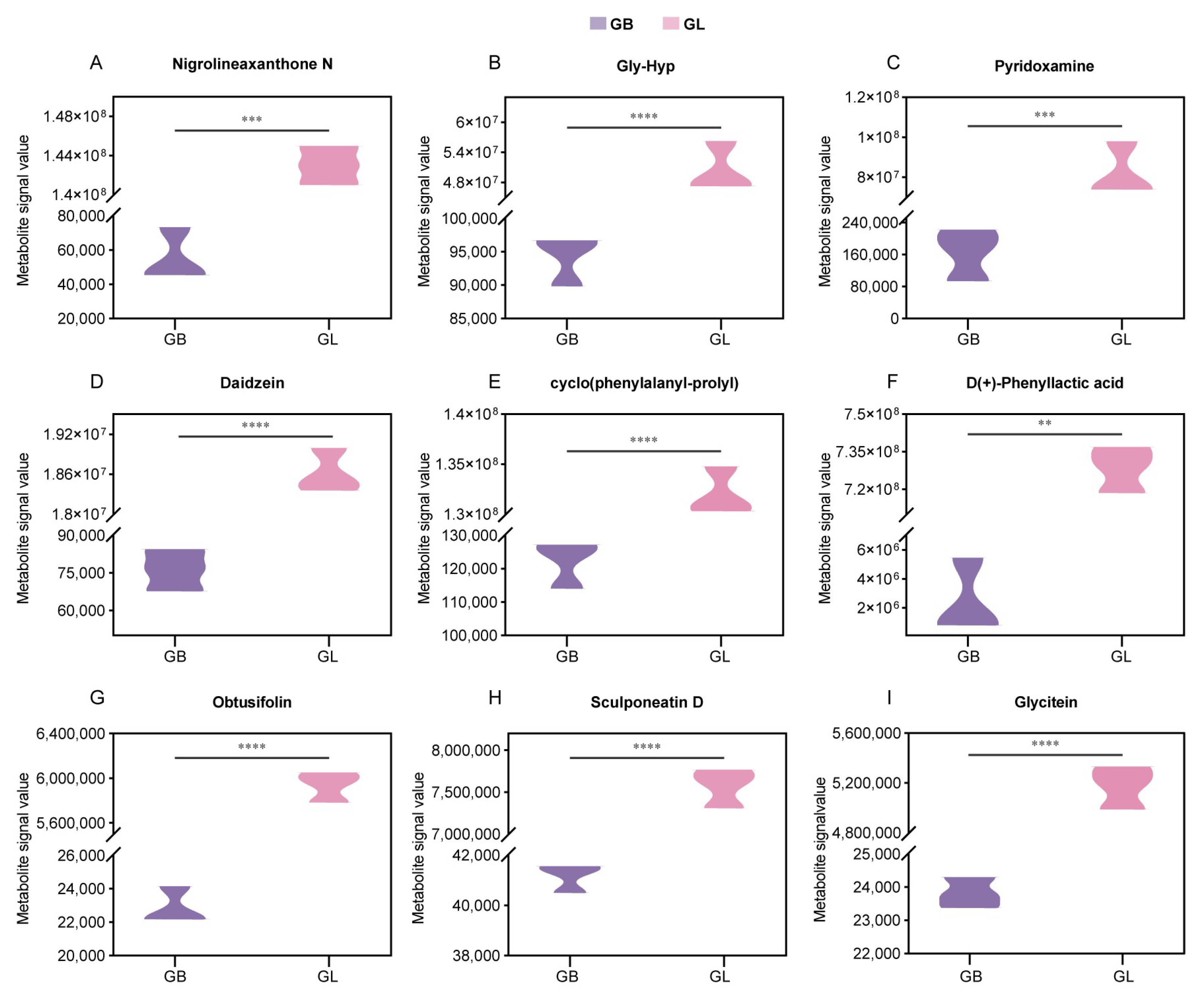
3.4. Fermentation Conditions and Metabolomics
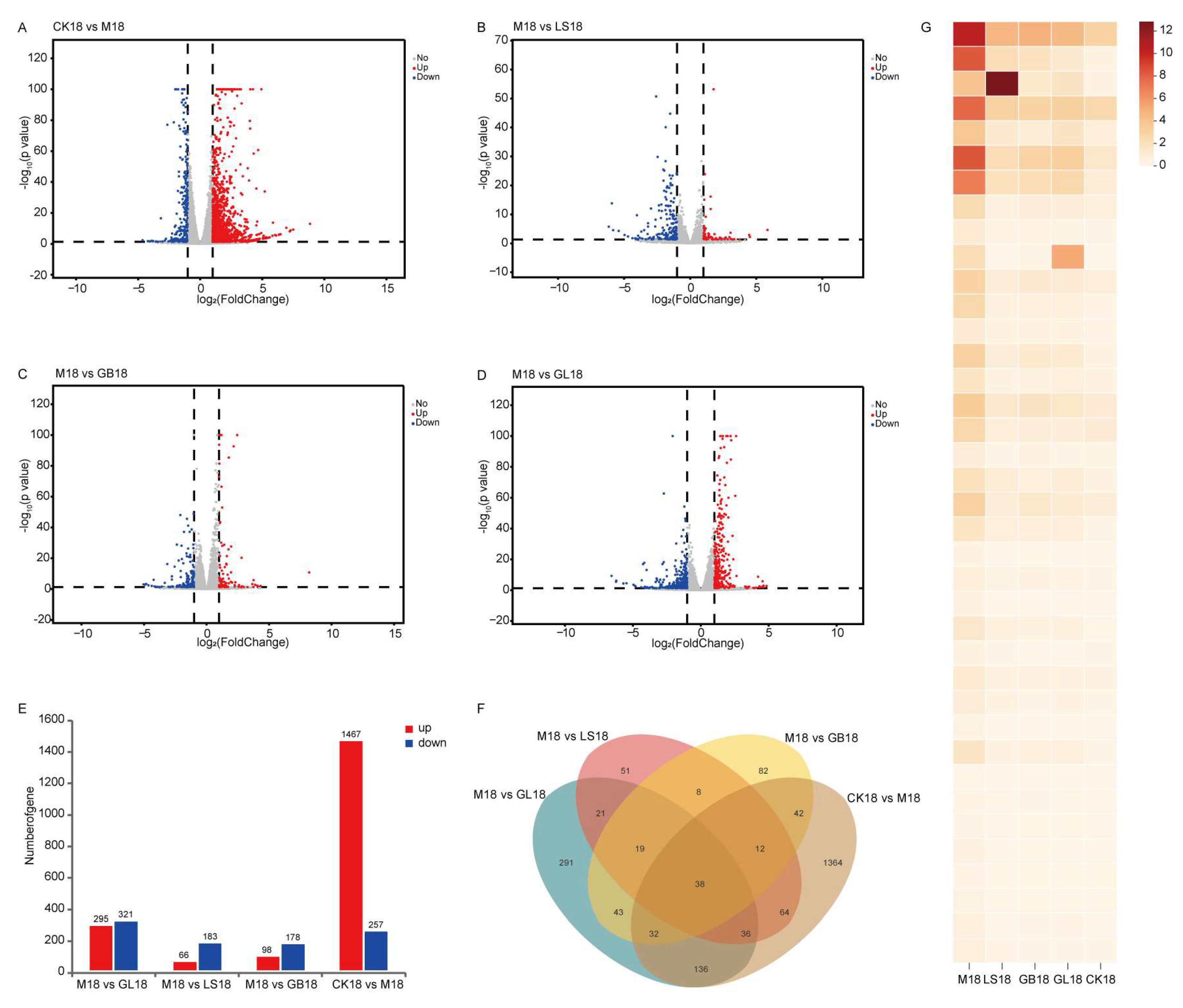
3.5. GL-Mediated Gene Regulation
3.6. Mice Skin Differential Gene KEGG Signaling Pathway
4. Discussion
Future Directions
5. Conclusions
Supplementary Materials
Author Contributions
Funding
Institutional Review Board Statement
Informed Consent Statement
Data Availability Statement
Conflicts of Interest
References
- D’Orazio, J.; Jarrett, S.; Amaro-Ortiz, A.; Scott, T. UV radiation and the skin. Int. J. Mol. Sci. 2013, 14, 12222–12248. [Google Scholar] [CrossRef]
- Magcwebeba, T.; Swart, P.; Swanevelder, S.; Joubert, E.; Gelderblom, W. Anti-inflammatory effects of Aspalathus linearis and Cyclopia spp. extracts in a UVB/keratinocyte (HaCaT) model utilising interleukin-1α accumulation as biomarker. Molecules 2016, 21, 1323. [Google Scholar] [CrossRef]
- Lee, H.R.; Yang, J.H.; Lee, J.H.; Kim, K.M.; Cho, S.S.; Baek, J.S.; Kim, J.M.; Choi, M.-H.; Shin, H.-J.; Ki, S.H. Protective effect of Castanopsis sieboldii extract against UVB-induced photodamage in keratinocytes. Molecules 2023, 28, 2842. [Google Scholar] [CrossRef]
- Matsushima, K.; Shichino, S.; Ueha, S. Thirty-five years since the discovery of chemotactic cytokines, interleukin-8 and MCAF: A historical overview. Proc. Jpn. Acad. Ser. B 2023, 99, 213–226. [Google Scholar] [CrossRef]
- Hasan, M.M.; Nishan, A.-S.M.; Rashid, M.H.B.; Ghos, B.C.; Barmon, J. Analytical and biological assessment of Magnolia champaca L. stem bark: Integrating ATR-FTIR, GC–MS, thrombolytic activity, brine shrimp lethality and molecular docking. J. Genet. Eng. Biotechnol. 2025, 23, 100505. [Google Scholar] [CrossRef]
- Jung, T.Y.; Suh, S.I.; Lee, H.; Kim, I.S.; Kim, H.J.; Yoo, H.S.; Lee, S.R. Protective effects of several components of Gastrodia elata on lipid peroxidation in gerbil brain homogenates. Phytother. Res. 2007, 21, 960–964. [Google Scholar] [CrossRef]
- Hwang, S.M.; Lee, Y.J.; Kang, D.G.; Lee, H.S. Anti-inflammatory effect of Gastrodia elata rhizome in human umbilical vein endothelial cells. Am. J. Chin. Med. 2009, 37, 395–406. [Google Scholar] [CrossRef]
- Yang, L.; Tsai, T.-H. Neuroprotective effect and herbal-drug pharmacokinetic interaction of Gastrodia elata extract on valproic acid. Biomed. Pharmacother. 2022, 156, 113938. [Google Scholar] [CrossRef]
- Kim, D.H.; Jeong, M.; Kim, J.H.; Son, J.E.; Lee, J.J.; Park, S.-j.; Lee, J.; Kim, M.; Oh, J.-W.; Park, M.S. Lactobacillus salivarius HHuMin-U activates innate immune defense against norovirus infection through TBK1-IRF3 and NF-κB signaling pathways. Research 2022, 2022, 0007. [Google Scholar] [CrossRef]
- Chen, F.; Liu, J.; Yu, X.; Jia, H.; Yang, C.; Zhao, B. Aspergillus oryzae Fermented Plumula Nelumbinis Against Atopic Dermatitis Through AKT/mTOR and Jun Pathways. Pharmaceuticals 2024, 18, 20. [Google Scholar] [CrossRef]
- Lee, J.; Yang, M.; Park, H.; Shim, K.S.; Kim, D.; Ma, J.Y. Protective effect of Ssanghwa-tang fermented by Lactobacillus fermentum against carbon tetrachloride-induced acute hepatotoxicity. Afr. J. Tradit. Complement. Altern. Med. 2011, 8, 312–321. [Google Scholar]
- Gao, M.; Wu, Y.; Yang, L.; Chen, F.; Li, L.; Li, Q.; Wang, Y.; Li, L.; Peng, M.; Yan, Y. Anti-depressant-like effect of fermented Gastrodia elata Bl. by regulating monoamine levels and BDNF/NMDAR pathways in mice. J. Ethnopharmacol. 2023, 301, 115832. [Google Scholar] [CrossRef]
- Zhang, C.; Zhang, X.; Xue, J.; Chen, M.; Wang, Y.; Zhang, Q.; Zhang, C.; Zhang, X. Adenosine regulates glycolytic and gluconeogenic metabolism in the brain of BD-induced insomnia zebrafish: A multiscale analysis integrating network pharmacology and multiomics. J. Future Foods 2025. [Google Scholar] [CrossRef]
- Zhang, C.-Q.; Zhang, X.-D.; Wang, Y.; Liu, Y.-H.; Zhang, C.-L.; Zhang, Q. Sleep promoting and omics exploration on probiotics fermented Gastrodia elata Blume. NPJ Sci. Food 2024, 8, 33. [Google Scholar] [CrossRef]
- Liu, J.; Yang, X.; Huang, X.; Luo, Y.; Zhang, Q.; Wang, F.; Lin, Y.; Lin, L. Antioxidant and Anti-Inflammatory Effects of Crude Gastrodia elata Polysaccharides in UVB-Induced Acute Skin Damage. Antioxidants 2025, 14, 894. [Google Scholar] [CrossRef]
- China Food and Drug Administration. Safety and Technical Standards for Cosmetics; Standards Press of China: Beijing, China, 2016. [Google Scholar]
- Gholizadeh, M.; Fayazi, J.; Asgari, Y.; Zali, H.; Kaderali, L. Reconstruction and analysis of cattle metabolic networks in normal and acidosis rumen tissue. Animals 2020, 10, 469. [Google Scholar] [CrossRef]
- Rukachaisirikul, V.; Kamkaew, M.; Sukavisit, D.; Phongpaichit, S.; Sawangchote, P.; Taylor, W.C. Antibacterial xanthones from the leaves of Garcinia nigrolineata. J. Nat. Prod. 2003, 66, 1531–1535. [Google Scholar] [CrossRef]
- Nam, J.; Seol, D.-W.; Lee, C.-G.; Wee, G.; Yang, S.; Pan, C.-H. Obtusifolin, an anthraquinone extracted from Senna obtusifolia (L.) HS Irwin & Barneby, reduces inflammation in a mouse osteoarthritis model. Pharmaceuticals 2021, 14, 249. [Google Scholar]
- Asai, T.T.; Oikawa, F.; Yoshikawa, K.; Inoue, N.; Sato, K. Food-derived collagen peptides, prolyl-hydroxyproline (Pro-Hyp), and hydroxyprolyl-glycine (Hyp-Gly) enhance growth of primary cultured mouse skin fibroblast using fetal bovine serum free from hydroxyprolyl peptide. Int. J. Mol. Sci. 2019, 21, 229. [Google Scholar] [CrossRef]
- Park, N.-Y.; Cho, Y.B.; Kim, O.B.; Kim, K.-S. Cyclo (Phe-Pro) produced by Vibrio species passes through biological membranes by simple diffusion. Appl. Microbiol. Biotechnol. 2020, 104, 6791–6798. [Google Scholar] [CrossRef]
- Dieuleveux, V.; Lemarinier, S.; Gueguen, M. Antimicrobial spectrum and target site of D-3-phenyllactic acid. Int. J. Food Microbiol. 1998, 40, 177–183. [Google Scholar] [CrossRef]
- Fujita, E.; Nagao, Y.; Kaneko, K.; Nakazawa, S.; Kuroda, H. The antitumor and antibacterial activity of the Isodon diterpenoids. Chem. Pharm. Bull. 1976, 24, 2118–2127. [Google Scholar] [CrossRef]
- Sun, H.-D.; Huang, S.-X.; Han, Q.-B. Diterpenoids from Isodon species and their biological activities. Nat. Prod. Rep. 2006, 23, 673–698. [Google Scholar] [CrossRef]
- Wójciak, M.; Drozdowski, P.; Skalska-Kamińska, A.; Zagórska-Dziok, M.; Ziemlewska, A.; Nizioł-Łukaszewska, Z.; Latalska, M. Protective, anti-inflammatory, and anti-aging effects of soy isoflavones on skin cells: An overview of In Vitro and In Vivo studies. Molecules 2024, 29, 5790. [Google Scholar] [CrossRef]
- Wongkarn, S.; Chewonarin, T.; Ruangsuriya, J.; Taya, S.; Dejkriengkraikul, P.; Yodkeeree, S. Biochemical Mechanism of Thai Fermented Soybean Extract on UVB-Induced Skin Keratinocyte Damage and Inflammation. Int. J. Mol. Sci. 2025, 26, 3418. [Google Scholar] [CrossRef]
- Huang, Z.-R.; Hung, C.-F.; Lin, Y.-K.; Fang, J.-Y. In Vitro and In Vivo evaluation of topical delivery and potential dermal use of soy isoflavones genistein and daidzein. Int. J. Pharm. 2008, 364, 36–44. [Google Scholar] [CrossRef]
- Mooney, S.; Leuendorf, J.-E.; Hendrickson, C.; Hellmann, H. Vitamin B6: A long known compound of surprising complexity. Molecules 2009, 14, 329–351. [Google Scholar] [CrossRef]
- Ramis, R.; Ortega-Castro, J.; Caballero, C.; Casasnovas, R.; Cerrillo, A.; Vilanova, B.; Adrover, M.; Frau, J. How does pyridoxamine inhibit the formation of advanced glycation end products? The role of its primary antioxidant activity. Antioxidants 2019, 8, 344. [Google Scholar] [CrossRef]
- Titisari, R.S.; Herawati, E.; Astirin, O.P. Oral intake of collagen hydrolysate from mackerel scad (Decapterus macarellus) attenuates skin photoaging by suppressing the UVB-induced expression of MMP-1 and IL-6. J. Complement. Integr. Med. 2024, 21, 71–79. [Google Scholar] [CrossRef]
- Herrling, T.; Jung, K.; Fuchs, J. Measurements of UV-generated free radicals/reactive oxygen species (ROS) in skin. Spectrochim. Acta Part A Mol. Biomol. Spectrosc. 2006, 63, 840–845. [Google Scholar] [CrossRef]
- Wu, H.; Zhong, Z.; Lin, S.; Qiu, C.; Xie, P.; Lv, S.; Cui, L.; Wu, T. Coenzyme Q10 Sunscreen Prevents Progression of Ultraviolet-Induced Skin Damage in Mice. BioMed Res. Int. 2020, 2020, 9039843. [Google Scholar] [CrossRef]
- Hong, A.-Y.; Lee, S.-J.; Lee, K.B.; Shin, J.-W.; Jeong, E.M.; Kim, I.-G. Double-stranded RNA enhances matrix metalloproteinase-1 and-13 expressions through TLR3-dependent activation of transglutaminase 2 in dermal fibroblasts. Int. J. Mol. Sci. 2022, 23, 2709. [Google Scholar] [CrossRef]
- Faustin, B.; Reed, J.C. Sunburned skin activates inflammasomes. Trends Cell Biol. 2008, 18, 4–8. [Google Scholar] [CrossRef]
- Michalak, M. Plant extracts as skin care and therapeutic agents. Int. J. Mol. Sci. 2023, 24, 15444. [Google Scholar] [CrossRef]
- Tomas, M.; Günal-Köroğlu, D.; Kamiloglu, S.; Ozdal, T.; Capanoglu, E. The state of the art in anti-aging: Plant-based phytochemicals for skin care. Immun. Ageing 2025, 22, 5. [Google Scholar] [CrossRef]
- Holley, C.L.; Schroder, K. The rOX-stars of inflammation: Links between the inflammasome and mitochondrial meltdown. Clin. Transl. Immunol. 2020, 9, e01109. [Google Scholar] [CrossRef]
- Nasti, T.H.; Timares, L. Inflammasome activation of IL-1 family mediators in response to cutaneous photodamage. Photochem. Photobiol. 2012, 88, 1111–1125. [Google Scholar] [CrossRef]
- Bae, Y.S.; Oh, H.; Rhee, S.G.; Do Yoo, Y. Regulation of reactive oxygen species generation in cell signaling. Mol. Cells 2011, 32, 491–509. [Google Scholar] [CrossRef]
- Li, N.; Karin, M. Is NF-κB the sensor of oxidative stress? FASEB J. 1999, 13, 1137–1143. [Google Scholar] [CrossRef]
- Guo, Q.; Jin, Y.; Chen, X.; Ye, X.; Shen, X.; Lin, M.; Zeng, C.; Zhou, T.; Zhang, J. NF-κB in biology and targeted therapy: New insights and translational implications. Signal Transduct. Target. Ther. 2024, 9, 53. [Google Scholar] [CrossRef]
- Kim, T.; Bae, S.-C.; Kang, C. Synergistic activation of NF-κB by TNFAIP3 (A20) reduction and UBE2L3 (UBCH7) augment that synergistically elevate lupus risk. Arthritis Res. Ther. 2020, 22, 93. [Google Scholar] [CrossRef]
- Khan, A.; Bai, H.; Khan, A.; Bai, Z. Neferine prevents ultraviolet radiation-induced skin photoaging. Exp. Ther. Med. 2020, 19, 3189–3196. [Google Scholar] [CrossRef]
- Lichtman, M.K.; Otero-Vinas, M.; Falanga, V. Transforming growth factor beta (TGF-β) isoforms in wound healing and fibrosis. Wound Repair Regen. 2016, 24, 215–222. [Google Scholar] [CrossRef]
- Gao, M.; Guo, H.; Dong, X.; Wang, Z.; Yang, Z.; Shang, Q.; Wang, Q. Regulation of inflammation during wound healing: The function of mesenchymal stem cells and strategies for therapeutic enhancement. Front. Pharmacol. 2024, 15, 1345779. [Google Scholar] [CrossRef]
- Lv, H.; Zhen, C.; Liu, J.; Yang, P.; Hu, L.; Shang, P. Unraveling the potential role of glutathione in multiple forms of cell death in cancer therapy. Oxidative Med. Cell. Longev. 2019, 2019, 3150145. [Google Scholar] [CrossRef]
- Karna, E.; Szoka, L.; Huynh, T.Y.L.; Palka, J.A. Proline-dependent regulation of collagen metabolism. Cell. Mol. Life Sci. 2020, 77, 1911–1918. [Google Scholar] [CrossRef]
- Xiang, H.; Wu, Y.; Zhang, Y.; Hong, Y.; Xu, Y. Obtusifolin inhibits podocyte apoptosis by inactivating NF-κB signaling in acute kidney injury. Cytotechnology 2024, 76, 559–569. [Google Scholar] [CrossRef]
- Eni-Aganga, I.; Lanaghan, Z.M.; Balasubramaniam, M.; Dash, C.; Pandhare, J. PROLIDASE: A Review from Discovery to its Role in Health and Disease. Front. Mol. Biosci. 2021, 8, 723003. [Google Scholar] [CrossRef]
- Sun, Y.; Zhu, J.; Wang, T.; Liu, Z.; Chu, C.; Yi, J. Recent advances and potentiality of phenyllactic acid: Source, antimicrobial mechanism, and applications. Trends Food Sci. Technol. 2025, 158, 104926. [Google Scholar] [CrossRef]
- Li, L.; Shin, S.Y.; Lee, K.; Han, N.S. Production of natural antimicrobial compound D-phenyllactic acid using Leuconostoc mesenteroides ATCC 8293 whole cells involving highly active D-lactate dehydrogenase. Lett. Appl. Microbiol. 2014, 59, 404–411. [Google Scholar] [CrossRef]
- Iovine, B.; Iannella, M.L.; Gasparri, F.; Monfrecola, G.; Bevilacqua, M.A. Synergic effect of genistein and daidzein on UVB-induced DNA damage: An effective photoprotective combination. BioMed Res. Int. 2011, 2011, 692846. [Google Scholar] [CrossRef]
- Traber, M.G.; Atkinson, J. Vitamin E, antioxidant and nothing more. Free Radic. Biol. Med. 2007, 43, 4–15. [Google Scholar] [CrossRef]
- Niki, E. Role of vitamin E as a lipid-soluble peroxyl radical scavenger: In Vitro and In Vivo evidence. Free Radic. Biol. Med. 2014, 66, 3–12. [Google Scholar] [CrossRef]












Disclaimer/Publisher’s Note: The statements, opinions and data contained in all publications are solely those of the individual author(s) and contributor(s) and not of MDPI and/or the editor(s). MDPI and/or the editor(s) disclaim responsibility for any injury to people or property resulting from any ideas, methods, instructions or products referred to in the content. |
© 2025 by the authors. Licensee MDPI, Basel, Switzerland. This article is an open access article distributed under the terms and conditions of the Creative Commons Attribution (CC BY) license.
Share and Cite
Huang, X.; Yang, X.; Xu, C.; Liu, J.; Luo, Y.; Xu, Z.; Pu, S.; Li, Z.; Zhang, Y.; Bai, M.; et al. From Reshaped Metabolome to Repaired Skin: Fermented Gastrodia elata Alleviates UVB-Induced Damage Through Controlled Immune Activation. Antioxidants 2026, 15, 45. https://doi.org/10.3390/antiox15010045
Huang X, Yang X, Xu C, Liu J, Luo Y, Xu Z, Pu S, Li Z, Zhang Y, Bai M, et al. From Reshaped Metabolome to Repaired Skin: Fermented Gastrodia elata Alleviates UVB-Induced Damage Through Controlled Immune Activation. Antioxidants. 2026; 15(1):45. https://doi.org/10.3390/antiox15010045
Chicago/Turabian StyleHuang, Xing, Xiaoqi Yang, Chunrui Xu, Jiajia Liu, Yuan Luo, Zixian Xu, Shixiao Pu, Zongyang Li, Yunlong Zhang, Min Bai, and et al. 2026. "From Reshaped Metabolome to Repaired Skin: Fermented Gastrodia elata Alleviates UVB-Induced Damage Through Controlled Immune Activation" Antioxidants 15, no. 1: 45. https://doi.org/10.3390/antiox15010045
APA StyleHuang, X., Yang, X., Xu, C., Liu, J., Luo, Y., Xu, Z., Pu, S., Li, Z., Zhang, Y., Bai, M., & Lin, L. (2026). From Reshaped Metabolome to Repaired Skin: Fermented Gastrodia elata Alleviates UVB-Induced Damage Through Controlled Immune Activation. Antioxidants, 15(1), 45. https://doi.org/10.3390/antiox15010045

