Sign in to use this feature.

Years

Between: -

Subjects

remove_circle_outline
remove_circle_outline
remove_circle_outline
remove_circle_outline
remove_circle_outline
remove_circle_outline
remove_circle_outline
remove_circle_outline
remove_circle_outline

Journals

remove_circle_outline
remove_circle_outline

Article Types

Countries / Regions

remove_circle_outline
remove_circle_outline
remove_circle_outline
remove_circle_outline

Search Results (266)

Search Parameters:
Keywords = quasi-steady-state

Order results
Result details
Results per page
Select all
Export citation of selected articles as:
29 pages, 4643 KB  
Article
Mathematical Modeling of Light-Powered Self-Adhesion of Peeling Strips via Abrupt Transition
by Dali Ge, Shenshen Wei and Yanli Hu
Mathematics 2025, 13(21), 3390; https://doi.org/10.3390/math13213390 (registering DOI) - 24 Oct 2025
Abstract
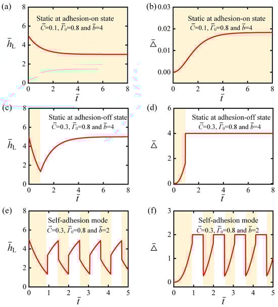
Self-oscillating systems convert steady external stimuli into sustained motion, enabling diverse applications in robotics, energy absorption, optics, and logic. Inspired by the adhesion–detachment behavior of climbing plants, we propose a novel light-powered self-adhesion oscillator comprising an elastic strip–substrate structure and a weight suspended [...] Read more.
Self-oscillating systems convert steady external stimuli into sustained motion, enabling diverse applications in robotics, energy absorption, optics, and logic. Inspired by the adhesion–detachment behavior of climbing plants, we propose a novel light-powered self-adhesion oscillator comprising an elastic strip–substrate structure and a weight suspended by a photo-responsive liquid crystal elastomer fiber. By integrating a nonlinear beam deformation model with Dugdale’s cohesive model, we develop a nonlinear dynamic framework to describe the self-adhesion behavior of the elastic strip. Quasi-static analysis reveals two distinct operating modes: a static mode and a self-adhesion mode. Under constant light exposure, the liquid crystal elastomer fiber undergoes light-induced contraction, increasing peeling force and triggering a sudden transition from adhesion-on to adhesion-off. Upon entering the adhesion-off state, the fiber recovers its contraction, leading to a sharp return to the adhesion-on state. This cycle sustains a four-stage oscillation: gradual peeling, abrupt adhesion-off, gradual adhering, and abrupt adhesion-on. Furthermore, we identify the critical conditions for initiating self-adhesion and demonstrate effective control over the oscillation period. The system exhibits key advantages including amplitude controllable oscillation, widely tunable frequency, well-defined motion trajectories, and structural simplicity. These characteristics suggest promising potential for applications in self-healing adhesion systems, rescue devices, military engineering, and beyond. Full article
Show Figures

Figure 1

17 pages, 11106 KB  
Article
Assessment of Neutron Radiation Effects on the Fiber Optics Current Sensor Performance During JET DTE2 Experimental Campaign
by Andrei Gusarov, Perry Beaumont and JET Contributors
Sensors 2025, 25(21), 6552; https://doi.org/10.3390/s25216552 (registering DOI) - 24 Oct 2025
Abstract
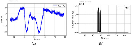
Fibre Optics Current Sensor (FOCS) will be used at ITER to perform plasma current measurement during quasi-steady state D-T plasma operation. Effects of the tokamak harsh environment on the FOCS performance must be evaluated to predict possible failure modes and relevant mitigation measures. [...] Read more.
Fibre Optics Current Sensor (FOCS) will be used at ITER to perform plasma current measurement during quasi-steady state D-T plasma operation. Effects of the tokamak harsh environment on the FOCS performance must be evaluated to predict possible failure modes and relevant mitigation measures. The influence of nuclear radiation with the significant flux of 14 MeV neutrons is of specific concern. This problem was addressed by operating the FOCS during D-T campaign at JET (DTE2). In the present report experimental results are presented and analysed. These results indicate that FOCS will effectively perform current measurements during ITER nuclear operation. Full article
(This article belongs to the Special Issue Optical Sensors for Industrial Applications)
Show Figures

Figure 1

9 pages, 902 KB  
Communication
A New Method for Calculating Dynamic Reserves of Fault-Controlled Condensate Gas Reservoir
by Quanhua Huang, Fengyuan Wang, Hong Xiao, Wenxue Zhang, Jie Liu, Wenliang Li and Cong Yang
Energies 2025, 18(20), 5402; https://doi.org/10.3390/en18205402 - 14 Oct 2025
Viewed by 130
Abstract
The SHB fault-controlled condensate gas reservoir is the largest ultra-deep carbonate gas reservoir in China, and the accuracy of dynamic reserve calculation is an important basis for developing the development plan. The fault-controlled condensate gas reservoir has some problems, such as “ultra-deep, ultra-high [...] Read more.
The SHB fault-controlled condensate gas reservoir is the largest ultra-deep carbonate gas reservoir in China, and the accuracy of dynamic reserve calculation is an important basis for developing the development plan. The fault-controlled condensate gas reservoir has some problems, such as “ultra-deep, ultra-high temperature, supercritical”, strong heterogeneity of reservoir space, and difficulty in obtaining real underground reservoir parameters, which seriously affect the results of dynamic reserve evaluation. Combining the quasi-steady flow equation and the flow resistance of a gas well, a new flow material balance method based on the original apparent formation pressure and daily production data is proposed to effectively calculate the dynamic reserves of a gas reservoir. By comparing the calculation results of various dynamic reserves calculation methods for the SHB condensate gas reservoir, it is proven that this method can effectively calculate the dynamic reserves of gas wells and has important guiding significance for the calculation of dynamic reserves of fault control body condensate gas reservoirs. Full article
Show Figures

Figure 1

22 pages, 4143 KB  
Article
Design and Research of an Improved Phase-Locked Loop Based on Levy-AsyLnCPSO Optimization and EA-SOGI Structure
by Xiaoguang Kong, Xiaotian Xu and Guannan Ge
Processes 2025, 13(10), 3036; https://doi.org/10.3390/pr13103036 - 23 Sep 2025
Viewed by 291
Abstract
To address the challenges posed by harmonic distortion and DC offset in the power grid, this paper proposes a novel Phase-Locked Loop (PLL) architecture tailored for single-phase grid-connected systems. The design integrates an Enhanced Adaptive Second-Order Generalized Integrator (EA-SOGI) with a Quasi-Proportional Resonant [...] Read more.
To address the challenges posed by harmonic distortion and DC offset in the power grid, this paper proposes a novel Phase-Locked Loop (PLL) architecture tailored for single-phase grid-connected systems. The design integrates an Enhanced Adaptive Second-Order Generalized Integrator (EA-SOGI) with a Quasi-Proportional Resonant (QPR) controller. The proposed EA-SOGI extends the conventional SOGI by incorporating an all-pass filter and an additional integrator, which enhance the symmetry of the orthogonal signals and effectively suppress the estimation errors caused by DC offset. In addition, the conventional PI controller is replaced by a QPR controller, whose parameters are tuned using a hybrid Levy-AsyLnCPSO optimization algorithm to improve frequency locking performance and enhance system robustness under steady-state conditions. Simulation and experimental results demonstrate that the proposed PLL achieves a Total Harmonic Distortion (THD) as low as 2.8653% based on Fast Fourier Transform (FFT) analysis, indicating superior adaptability compared to conventional PLL structures and validating its effectiveness in DC offset suppression and harmonic mitigation. Full article
(This article belongs to the Section Energy Systems)
Show Figures

Figure 1

28 pages, 5663 KB  
Article
Quasi-Infinite Horizon Nonlinear Model Predictive Control for Cooperative Formation Tracking of Underactuated USVs with Four Degrees of Freedom
by Meng Yang, Ruonan Li, Hao Wang, Wangsheng Liu and Zaopeng Dong
J. Mar. Sci. Eng. 2025, 13(9), 1812; https://doi.org/10.3390/jmse13091812 - 19 Sep 2025
Viewed by 550
Abstract
To address the issues of external unknown disturbances and roll motion in the tracking control of underactuated unmanned surface vehicle (USV) formation, a cooperative formation control method based on nonlinear model predictive control (NMPC) algorithm and finite-time disturbance observer is proposed. Initially, a [...] Read more.
To address the issues of external unknown disturbances and roll motion in the tracking control of underactuated unmanned surface vehicle (USV) formation, a cooperative formation control method based on nonlinear model predictive control (NMPC) algorithm and finite-time disturbance observer is proposed. Initially, a tracking error model for the USV formation is established within a leader–follower framework, utilizing a four-degree-of-freedom (4-DOF) dynamic model to simultaneously account for roll motion and trajectory tracking. This error model is then approximately linearized and discretized. To mitigate the initial non-smoothness in the desired trajectories of the follower USVs, a tracking differentiator is designed to smooth the heading angle of the leader USV. Thereafter, a quasi-infinite horizon NMPC algorithm is developed, in which a terminal penalty function is constructed based on quasi-infinite horizon theory. Furthermore, a finite-time disturbance observer is developed to facilitate real-time estimation and compensation for unknown marine disturbances. The proposed method’s effectiveness is validated both mathematically and in simulation. Mathematically, closed-loop stability is rigorously guaranteed via a Lyapunov-based proof of the quasi-infinite horizon NMPC design. In simulations, the algorithm demonstrates superior performance, reducing steady-state tracking errors by over 80% and shortening convergence times by up to 75% compared to a conventional PID controller. These results confirm the method’s robustness and high performance for complex USV formation tasks. Full article
(This article belongs to the Special Issue Autonomous Marine Vehicle Operations—3rd Edition)
Show Figures

Figure 1

24 pages, 1087 KB  
Article
Performance Analysis and Cost Optimization of the M/M/1/N Queueing System with Working Vacation and Working Breakdown
by Xijuan Yang, Yaqing Zhang, Bo Wang and Xue Jun Li
Mathematics 2025, 13(18), 2980; https://doi.org/10.3390/math13182980 - 15 Sep 2025
Viewed by 460
Abstract
This research advances steady state analysis and cost optimization of the M/M/1/N single vacation queueing system with setup time, working vacation, and working breakdown. The server works at a lower service rate instead of stopping work completely during both the vacation period and [...] Read more.
This research advances steady state analysis and cost optimization of the M/M/1/N single vacation queueing system with setup time, working vacation, and working breakdown. The server works at a lower service rate instead of stopping work completely during both the vacation period and breakdown period—a key distinction from traditional vacation and breakdown strategies, where the server typically halts operations entirely. The setup time exists between the idle period and the regular busy period. The finite quasi birth-and-death process of this queueing system model is established. The stationary probability vector of the system is calculated using the matrix geometric method. Performance measures, such as output variance, availability, throughput rate, and stationary probabilities, are obtained using the theory of the fundamental matrix and covariance matrix. A cost optimization model based on system performance measures is established. The sparrow search algorithm is adopted to solve the cost optimization model. Through numerical experiments, the influences of system parameters on system performance measures and cost optimization function are analyzed, and the efficiency of the sparrow search algorithm for solving the cost optimization model is verified. The experimental results affirm the effectiveness and practicability of the proposed method, which provides a better theoretical basis for the practical application of the queueing system in communication engineering and production systems. Full article
(This article belongs to the Special Issue Advances in Queueing Theory and Applications)
Show Figures

Figure 1

30 pages, 4237 KB  
Article
On the “Bi-Phase” of Fluorescence to Scattering with Single-Fiber Illumination and Detection: A Quasi-Analytical Photon-Transport Approach Operated with Center-Illuminated Area Detection
by Daqing Piao
Photonics 2025, 12(9), 904; https://doi.org/10.3390/photonics12090904 - 9 Sep 2025
Viewed by 415
Abstract
Bi-phasic (with a local minimum) response of fluorescence to scattering when probed by a single fiber (SF) was first observed in 2003. Subsequent experiments and Monte Carlo studies have shown the bi-phasic turning of SF fluorescence to occur at a dimensionless reduced scattering [...] Read more.
Bi-phasic (with a local minimum) response of fluorescence to scattering when probed by a single fiber (SF) was first observed in 2003. Subsequent experiments and Monte Carlo studies have shown the bi-phasic turning of SF fluorescence to occur at a dimensionless reduced scattering of ~1 and vary with absorption. The bi-phase of SF fluorescence received semi-empirical explanations; however, better understandings of the bi-phase and its dependence on absorption are necessary. This work demonstrates a quasi-analytical projection of a bi-phasic pattern comparable to that of SF fluorescence via photon-transport analyses of fluorescence in a center-illuminated-area-detection (CIAD) geometry. This model-approach is principled upon scaling of the diffuse fluorescence between CIAD and a SF of the same size of collection, which expands the scaling of diffuse reflectance between CIAD and a SF discovered for steady-state and time-domain cases. Analytical fluorescence for CIAD is then developed via radial-integration of radially resolved fluorescence. The radiance of excitation is decomposed to surface, collimated, and diffusive portions to account for the surface, near the point-of-entry, and diffuse portion of fluorescence associated with a centered illumination. Radiative or diffuse transport methods are then used to quasi-analytically deduce fluorescence excited by the three portions of radiance. The resulting model of fluorescence for CIAD, while limiting to iso-transport properties at the excitation and emission wavelengths, is compared against the semi-empirical model for SF, revealing bi-phasic turning [0.5~2.6] at various geometric sizes [0.2, 0.4, 0.6, 0.8, 1.0 mm] and a change of three orders of magnitude in the absorption of the background medium. This model projects a strong reduction in fluorescence versus strong absorption at high scattering, which differs from the semi-empirical SF model’s projection of a saturating pattern unresponsive to further increases in the absorption. This framework of modeling fluorescence may be useful to project frequency-domain and lifetime pattens of fluorescence in an SF and CIAD. Full article
(This article belongs to the Section Biophotonics and Biomedical Optics)
Show Figures

Figure 1

20 pages, 898 KB  
Article
Studies on Poisson–Nernst–Planck Systems with Large Permanent Charges Under Relaxed Neutral Boundary Conditions
by Jianing Chen, Zhantao Li, Jie Song and Mingji Zhang
Mathematics 2025, 13(17), 2847; https://doi.org/10.3390/math13172847 - 3 Sep 2025
Viewed by 525
Abstract
Modeling ion transport through membrane channels is crucial for understanding cellular processes, and Poisson–Nernst–Planck (PNP) equations provide a fundamental continuum framework for such ionic fluxes. We investigate a quasi-one-dimensional steady-state PNP system for two oppositely charged ion species, focusing on how large permanent [...] Read more.
Modeling ion transport through membrane channels is crucial for understanding cellular processes, and Poisson–Nernst–Planck (PNP) equations provide a fundamental continuum framework for such ionic fluxes. We investigate a quasi-one-dimensional steady-state PNP system for two oppositely charged ion species, focusing on how large permanent charges within the channel and realistic boundary conditions impact ion transport. In contrast to classical models that impose ideal electroneutrality at the channel ends (a simplification that eliminates boundary layers near the membrane interfaces), we adopt relaxed neutral boundary conditions that allow small charge imbalances at the boundaries. Using asymptotic analysis treating the large permanent charge as a singular perturbation, we derive explicit first-order expansions for each ionic flux, incorporating boundary layer parameters (σ,ρ) to quantify slight deviations from electroneutrality. This analysis enables a qualitative characterization of individual cation and anion flux behaviors. Notably, we identify two critical transmembrane potentials, V1c and V2c, at which the cation and anion fluxes, respectively, vanish, signifying flux-reversal thresholds that delineate distinct monotonic regimes in the flux-voltage response; these critical values depend on the permanent charge magnitude and the boundary layer parameters. We further show that both ionic fluxes exhibit saturation: as the applied voltage becomes extreme, each flux approaches a finite limiting value, with the saturation level modulated by the degree of boundary charge imbalance. Moreover, allowing even small boundary charge deviations reveals non-intuitive discrepancies in flux behavior relative to the ideal electroneutral case. For example, in certain parameter regimes, a large permanent charge that enhances an ionic current under strict electroneutral conditions will instead suppress that current under relaxed-neutral conditions (and vice versa). This new analytical framework exposes subtle yet essential nonlinear dynamics that classical electroneutral assumptions would otherwise obscure. It provides deeper insight into the interplay between large fixed charges and boundary-layer effects, emphasizing the importance of incorporating such realistic boundary conditions to ensure accurate modeling of ion transport through membrane channels. Numerical simulations are performed to provide more intuitive illustrations of our analytical results. Full article
Show Figures

Figure 1

43 pages, 5207 KB  
Article
Noise-Induced Transitions in Nonlinear Oscillators: From Quasi-Periodic Stability to Stochastic Chaos
by Adil Jhangeer and Atef Abdelkader
Fractal Fract. 2025, 9(8), 550; https://doi.org/10.3390/fractalfract9080550 - 21 Aug 2025
Cited by 1 | Viewed by 686
Abstract
This paper presents a comprehensive dynamical analysis of a nonlinear oscillator subjected to both deterministic and stochastic excitations. Utilizing a diverse suite of analytical tools—including phase portraits, Poincaré sections, Lyapunov exponents, recurrence plots, Fokker–Planck equations, and sensitivity diagnostics—we investigate the transitions between quasi-periodicity, [...] Read more.
This paper presents a comprehensive dynamical analysis of a nonlinear oscillator subjected to both deterministic and stochastic excitations. Utilizing a diverse suite of analytical tools—including phase portraits, Poincaré sections, Lyapunov exponents, recurrence plots, Fokker–Planck equations, and sensitivity diagnostics—we investigate the transitions between quasi-periodicity, chaos, and stochastic disorder. The study reveals that quasi-periodic attractors exhibit robust topological structure under moderate noise but progressively disintegrate as stochastic intensity increases, leading to high-dimensional chaotic-like behavior. Recurrence quantification and Lyapunov spectra validate the transition from coherent dynamics to noise-dominated regimes. Poincaré maps and sensitivity analysis expose multistability and intricate basin geometries, while the Fokker–Planck formalism uncovers non-equilibrium steady states characterized by circulating probability currents. Together, these results provide a unified framework for understanding the geometry, statistics, and stability of noisy nonlinear systems. The findings have broad implications for systems ranging from mechanical oscillators to biological rhythms and offer a roadmap for future investigations into fractional dynamics, topological analysis, and data-driven modeling. Full article
Show Figures

Figure 1

20 pages, 13166 KB  
Article
Flow and Flame Stabilization in Scramjet Engine Combustor with Two Opposing Cavity Flameholders
by Jayson C. Small, Liwei Zhang, Bruce G. Crawford and Valerio Viti
Aerospace 2025, 12(8), 723; https://doi.org/10.3390/aerospace12080723 - 13 Aug 2025
Viewed by 978
Abstract
Scramjet operation requires a comprehensive understanding of the internal flowfield, encompassing fuel–air mixing and combustion. This study investigates transient flow and flame development within a HIFiRE-2 scramjet engine combustor, which features two opposing cavities and dual sets of fuel injectors—the upstream (primary) and [...] Read more.
Scramjet operation requires a comprehensive understanding of the internal flowfield, encompassing fuel–air mixing and combustion. This study investigates transient flow and flame development within a HIFiRE-2 scramjet engine combustor, which features two opposing cavities and dual sets of fuel injectors—the upstream (primary) and downstream (secondary) injectors. These cavities function as flameholders, creating circulating flows with elevated temperatures and pressures. Shock waves form both ahead of fuel plumes and at the diverging and converging sections of the flowpath. Special attention is given to the interactions among these shock waves and the shear layers along the supersonic core flow as the system progresses towards a quasi-steady state. Driven by increased backpressure, bow shocks and disturbances induced by the normal, secondary fuel injection and the inclined, primary fuel injection move upstream, amplifying the cavity pressure. These shocks generate adverse pressure gradients, causing near-wall flow separation adjacent to both injector sets, which enhances the penetration and dispersion of fuel plumes. Once a quasi-steady state is achieved, a feedback loop is established between dynamic wave motions and combustion processes, resulting in sustained entrainment of reactive mixtures into the cavities. This mechanism facilitates stable combustion in the cavities and near-wall separation zones. Full article
(This article belongs to the Special Issue Advances in Thermal Fluid, Dynamics and Control)
Show Figures

Figure 1

30 pages, 12280 KB  
Article
A Quasi-Convex RKPM for 3D Steady-State Thermomechanical Coupling Problems
by Lin Zhang, D. M. Li, Cen-Ying Liao and Li-Rui Tian
Mathematics 2025, 13(14), 2259; https://doi.org/10.3390/math13142259 - 12 Jul 2025
Viewed by 368
Abstract
A meshless, quasi-convex reproducing kernel particle framework for three-dimensional steady-state thermomechanical coupling problems is presented in this paper. A meshfree, second-order, quasi-convex reproducing kernel scheme is employed to approximate field variables for solving the linear Poisson equation and the elastic thermal stress equation [...] Read more.
A meshless, quasi-convex reproducing kernel particle framework for three-dimensional steady-state thermomechanical coupling problems is presented in this paper. A meshfree, second-order, quasi-convex reproducing kernel scheme is employed to approximate field variables for solving the linear Poisson equation and the elastic thermal stress equation in sequence. The quasi-convex reproducing kernel approximation proposed by Wang et al. to construct almost positive reproducing kernel shape functions with relaxed monomial reproducing conditions is applied to improve the positivity of the thermal matrixes in the final discreated equations. Two numerical examples are given to verify the effectiveness of the developed method. The numerical results show that the solutions obtained by the quasi-convex reproducing kernel particle method agree well with the analytical ones, with a slightly better-improved numerical accuracy than the element-free Galerkin method and the reproducing kernel particle method. The effects of different parameters, i.e., the scaling parameter, the penalty factor, and node distribution on computational accuracy and efficiency, are also investigated. Full article
Show Figures

Figure 1

15 pages, 1659 KB  
Article
Cascaded Quasi-Resonant Extended State Observer-Based Deadbeat Predictive Current Control Strategy for PMSM
by Yang Liu, Xiaowei Yang, Yongqiang Zhang and Tao Hu
Electronics 2025, 14(14), 2782; https://doi.org/10.3390/electronics14142782 - 10 Jul 2025
Viewed by 408
Abstract
The traditional deadbeat predictive current control (DPCC) strategies for a permanent magnet synchronous motor (PMSM), such as those based on an extended state observer (ESO) and quasi-resonant extended state observer (QRESO), usually require large observer bandwidth, rendering the system sensitive to noise. To [...] Read more.
The traditional deadbeat predictive current control (DPCC) strategies for a permanent magnet synchronous motor (PMSM), such as those based on an extended state observer (ESO) and quasi-resonant extended state observer (QRESO), usually require large observer bandwidth, rendering the system sensitive to noise. To address this issue, this paper proposes a cascaded quasi-resonant extended state observer-based DPCC (CQRESO-based DPCC) strategy. Specifically, the CQRESO is utilized to estimate the predicted values of d-axis and q-axis currents, as well as the system total disturbance caused by the deterministic and uncertain factors at time instant k + 1. Subsequently, the required control command voltage at time instant k + 1 is then calculated according to the deadbeat control principle. Finally, the comparative simulation results with ESO-based DPCC and QRESO-based DPCC strategies demonstrate that the proposed strategy can achieve dynamic and robust performance comparable to the ESO-based and QRESO-based DPCC strategies while utilizing a smaller observer bandwidth. Additionally, it exhibits superior steady-state performance and 5th and 7th harmonic current suppression capabilities (in the abc reference frame). Full article
(This article belongs to the Special Issue Control of Power Quality and System Stability)
Show Figures

Figure 1

19 pages, 4711 KB  
Article
Dynamical Analysis and Optimization of Combined Vibration Isolator with Time Delay
by Yaowei Wang and Xiangyu Li
Mathematics 2025, 13(13), 2188; https://doi.org/10.3390/math13132188 - 4 Jul 2025
Viewed by 533
Abstract
Vibration control has long been a key concern in engineering, with low-frequency vibration isolation remaining particularly challenging. Traditional linear isolators are limited in their ability to provide high load-bearing capacity and effective low-frequency isolation simultaneously. In contrast, quasi-zero stiffness (QZS) isolators offer low [...] Read more.
Vibration control has long been a key concern in engineering, with low-frequency vibration isolation remaining particularly challenging. Traditional linear isolators are limited in their ability to provide high load-bearing capacity and effective low-frequency isolation simultaneously. In contrast, quasi-zero stiffness (QZS) isolators offer low dynamic stiffness near equilibrium while maintaining high static stiffness, thereby enabling superior isolation performance in the low and ultra-low frequency range. This paper proposes a novel vibration isolation system that combines a grounded dynamic absorber with a QZS isolator, incorporating time-delay feedback control to enhance performance. The dynamic equations of the system are derived using Newton’s second law. The harmonic balance method combined with the arc-length continuation technique is employed to obtain steady-state responses under harmonic force excitation. The influence of feedback gain and time delay on vibration isolation effectiveness and dynamic behavior is analyzed, demonstrating the ability of time-delay feedback to modulate system responses and suppress primary resonance peaks. To further enhance performance, a genetic algorithm is used to optimize the control parameters under harmonic force excitation. The force transmissibility is defined as fitness functions, and the effects of control parameters on these metrics are examined. The results show that the optimized time-delay feedback parameters significantly reduce the transmitted force, improving the overall isolation efficiency. The proposed system provides a promising approach for achieving high-performance vibration isolation in low-frequency environments. Full article
Show Figures

Figure 1

18 pages, 2891 KB  
Article
Size Effects on Process-Induced Porosity in Ti6Al4V Thin Struts Additively Manufactured by Laser Powder-Bed Fusion
by Nismath Valiyakath Vadakkan Habeeb and Kevin Chou
J. Manuf. Mater. Process. 2025, 9(7), 226; https://doi.org/10.3390/jmmp9070226 - 2 Jul 2025
Cited by 1 | Viewed by 1311
Abstract
Laser powder-bed fusion (L-PBF) additive manufacturing has been widely explored for fabricating intricate metallic parts such as lattice structures with thin struts. However, L-PBF-fabricated small parts (e.g., thin struts) exhibit different morphological and mechanical characteristics compared to bulk-sized parts due to distinct scan [...] Read more.
Laser powder-bed fusion (L-PBF) additive manufacturing has been widely explored for fabricating intricate metallic parts such as lattice structures with thin struts. However, L-PBF-fabricated small parts (e.g., thin struts) exhibit different morphological and mechanical characteristics compared to bulk-sized parts due to distinct scan lengths, affecting the melt pool behavior between transient and quasi-steady states. This study investigates the keyhole porosity in Ti6Al4V thin struts fabricated by L-PBF, incorporating a range of strut sizes, along with various levels of linear energy densities. Micro-scaled computed tomography and image analysis were employed for porosity measurements and evaluations. Generally, keyhole porosity lessens with decreasing energy density, though with varying patterns across a higher energy density range. Keyhole porosity in struts predictably becomes severe at high laser powers and/or low scan speeds. However, a major finding reveals that the porosity is reduced with decreasing strut size (if less than 1.25 mm diameter), plausibly because the keyhole formed has not reached a stable state to produce pores in a permanent way. This implies that a higher linear energy density, greater than commonly formulated in making bulk components, could be utilized in making small-scale features to ensure not only full melting but also minimum keyhole porosity. Full article
Show Figures

Figure 1

13 pages, 1631 KB  
Article
The Lucky Engine: Probabilistic Emergence and Persistence of Near-Maximum Dissipation States
by Ralph D. Lorenz
Entropy 2025, 27(7), 687; https://doi.org/10.3390/e27070687 - 27 Jun 2025
Viewed by 398
Abstract
A paradigm, wherein a nonequilibrium system has multiple modes of transport that can act in combination, permits the resolution of several difficulties with the notion of maximum entropy production (MaxEP or MEP). First, physical constraints, such as the density of the atmosphere or [...] Read more.
A paradigm, wherein a nonequilibrium system has multiple modes of transport that can act in combination, permits the resolution of several difficulties with the notion of maximum entropy production (MaxEP or MEP). First, physical constraints, such as the density of the atmosphere or the planetary rotation rate, merely define the portfolio of modes that can be engaged by the system: physically impossible states cannot be selected. Second, with minimal sensitivity to how the system evolves, it is seen that there are simply more numerous quasi-steady microstates (combinations of modes) that are near the maximum of work output (or dissipation rate or EP) than there are far from it, and so it is more probable that the system will be observed to be near that maximum. Third, this paradigm naturally permits exploration of the system behavior when subjected to non-steady forcing. Finally, it provides a framework to explain when a system has ‘enough’ degrees of freedom to attain a maximum dissipation state, as opposed to the minimum dissipation state expected for certain constrained systems. Full article
Show Figures

Figure 1

Back to TopTop