Mathematical Modeling of Light-Powered Self-Adhesion of Peeling Strips via Abrupt Transition
Abstract
1. Introduction
2. Theoretical Framework and Governing Equations
2.1. Model of Photo-Induced Self-Adhesion Oscillator
2.2. Critical Conditions of Adhesion-On and Adhesion-Off
2.3. Duration of the Self-Adhesion
2.4. Nondimensionalization
2.5. Verification by Numerical Solutions
3. Two Motion Modes and Mechanism of Self-Adhesion
3.1. Two Motion Modes
3.2. Mechanism of Self-Adhesion
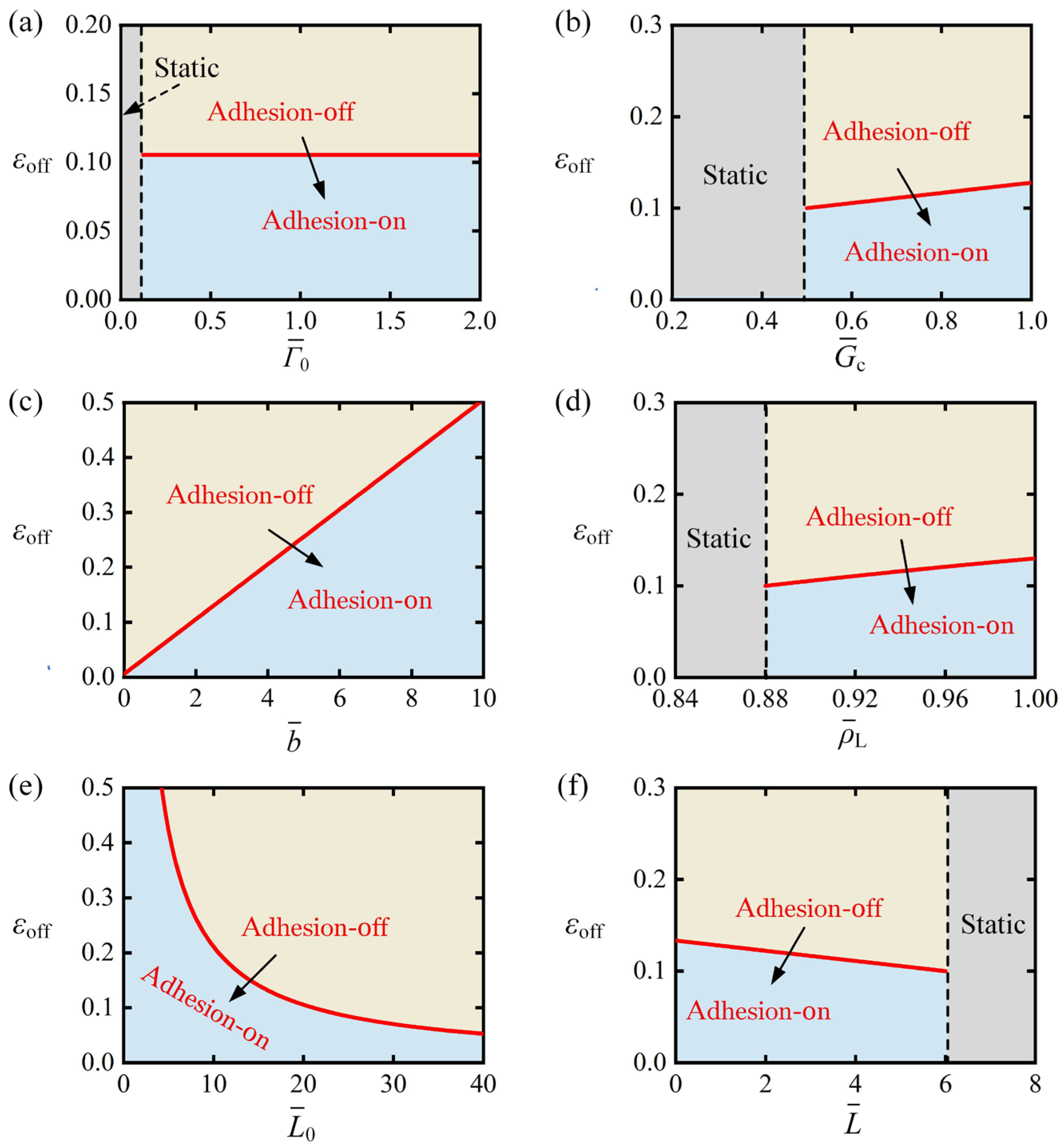
4. Regulating the Transition Between Adhesion-On and Adhesion-Off States
4.1. Transition from Adhesion-On to Adhesion-Off
4.2. Transitions from Adhesion-Off to Adhesion-On
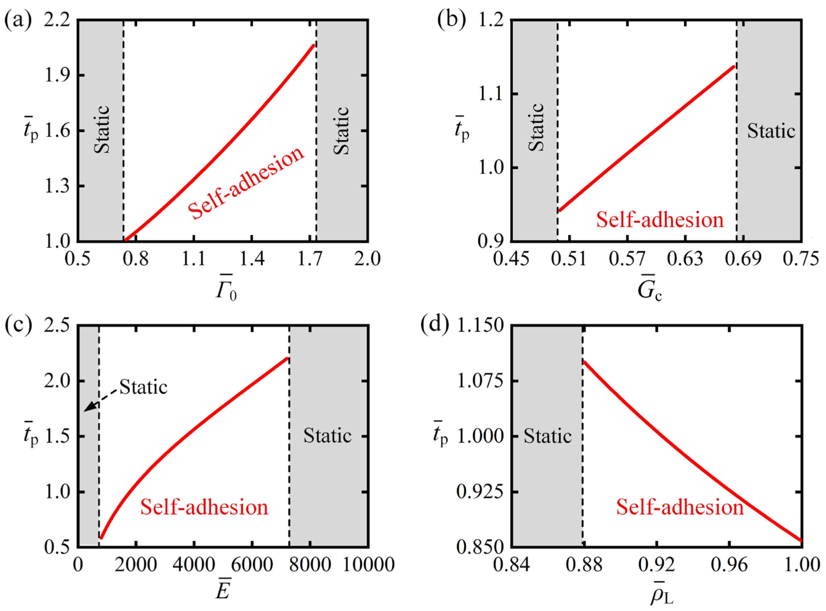
5. Regulation of the Self-Adhesion Period
5.1. Regulation of the Self-Adhesion Period by Material Properties
5.2. Regulation of the Self-Adhesion Period by Geometric Parameters
6. Conclusions
Author Contributions
Funding
Data Availability Statement
Acknowledgments
Conflicts of Interest
References
- Li, J.J.; Mou, L.L.; Liu, Z.F.; Zhou, X.; Chen, Y.S. Oscillating light engine realized by photothermal solvent evaporation. Nat. Commun. 2022, 13, 5621. [Google Scholar] [CrossRef]
- Alipanah, Z.; Zakerhamidi, M.S.; Ranjkesh, A. Light-fueled self-oscillation of liquid crystal polymer network: Effect of photostabilizers. J. Appl. Polym. Sci. 2024, 141, e54923. [Google Scholar] [CrossRef]
- Wang, J.C.; Song, T.F.; Zhang, Y.H.; Liu, J.G.; Yu, M.M.; Yu, H.F. Light-driven autonomous self-oscillation of a liquid-crystalline polymer bimorph actuator. J. Mater. Chem. C 2021, 9, 12573–12580. [Google Scholar] [CrossRef]
- Zhao, J.; Zhang, Z.R.; Sun, X.D.; Zuo, W.; Li, K. Multi-modal self-sustained motions of a silicone oil paper disc on a surface driven by hot steam. Chaos Soliton Fract. 2025, 191, 115898. [Google Scholar] [CrossRef]
- Yan, Z.; Wang, Y.L.; Bian, M.X.; Wang, M.; Zhou, X.; Yin, S.G.; Qin, W.J.; Liu, Z.F. Transformable thin-film robots capable of crawling, rolling, and oscillation. Appl. Mater. Today 2022, 28, 101514. [Google Scholar] [CrossRef]
- Li, Z.W.; Myung, N.V.; Yin, Y.D. Light-powered soft steam engines for self-adaptive oscillation and biomimetic swimming. Sci. Rob. 2021, 6, eabi4523. [Google Scholar] [CrossRef]
- Lv, X.D.; Wang, W.Z.; Clancy, A.J.; Yu, H.F. High-speed, heavy-load, and direction-controllable photothermal pneumatic floating robot. ACS Appl. Mater. Interfaces 2021, 13, 23030–23037. [Google Scholar] [CrossRef]
- Guo, K.X.; Yang, X.H.; Zhou, C.; Li, C. Self-regulated reversal deformation and locomotion of structurally homogenous hydrogels subjected to constant light illumination. Nat. Commun. 2024, 15, 1694. [Google Scholar] [CrossRef]
- Fu, L.; Zhao, W.Q.; Ma, J.Y.; Yang, M.Y.; Liu, X.M.; Zhang, L.; Chen, Y. A humidity-powered soft robot with fast rolling locomotion. Research 2022, 2022, 9832901. [Google Scholar] [CrossRef]
- Wang, Q.; Wu, Z.; Li, J.; Guo, J.B.; Yin, M.Z. Spontaneous and continuous actuators driven by fluctuations in ambient humidity for energy-harvesting applications. ACS Appl. Mater. Interfaces 2022, 14, 38972–38980. [Google Scholar] [CrossRef]
- Ge, D.L.; Bao, B.; Chen, H.M.; Li, K. A liquid crystal elastomer-based generator using light-powered self-oscillations. Chaos Soliton Fract. 2025, 199, 116690. [Google Scholar] [CrossRef]
- Chang, L.F.; Wang, D.P.; Huang, Z.S.; Wang, C.F.; Torop, J.; Li, B.; Wang, Y.J.; Hu, Y.; Aabloo, A. A versatile ionomer-based soft actuator with multi-stimulus responses, self-sustainable locomotion, and photoelectric conversion. Adv. Funct. Mater. 2023, 33, 2212341. [Google Scholar] [CrossRef]
- Yang, L.L.; Chang, L.F.; Hu, Y.; Huang, M.J.; Ji, Q.X.; Lu, P.; Liu, J.Q.; Chen, W.; Wu, Y.C. An autonomous soft actuator with light-driven self-sustained wavelike oscillation for phototactic self-locomotion and power generation. Adv. Funct. Mater. 2020, 30, 1908842. [Google Scholar] [CrossRef]
- Zhai, F.; Feng, Y.Y.; Li, Z.Y.; Xie, Y.X.; Ge, J.; Wang, H.; Qiu, W.; Feng, W. 4D-printed untethered self-propelling soft robot with tactile perception: Rolling, racing, and exploring. Matter 2021, 4, 3313–3326. [Google Scholar] [CrossRef]
- Liu, J.Q.; Xu, L.L.; Ji, Q.X.; Chang, L.F.; Hu, Y.; Peng, Q.Y.; He, X.D. A MXene-based light-driven actuator and motor with self-sustained oscillation for versatile applications. Adv. Funct. Mater. 2024, 34, 2310955. [Google Scholar] [CrossRef]
- Preston, D.J.; Rothemund, P.; Jiang, H.J.; Nemitz, M.P.; Rawson, J.; Suo, Z.G.; Whitesides, G.M. Digital logic for soft devices. Proc. Nat. Acad. Sci. USA 2019, 116, 7750–7759. [Google Scholar] [CrossRef] [PubMed]
- Helou, C.E.; Hyatt, L.P.; Buskohl, P.R.; Harne, R.L. Intelligent electroactive material systems with self-adaptive mechanical memory and sequential logic. Proc. Nat. Acad. Sci. USA 2024, 121, e2317340121. [Google Scholar] [CrossRef] [PubMed]
- Ge, F.J.; Zhao, Y. A new function for thermal phase transition-based polymer actuators: Autonomous motion on a surface of constant temperature. Chem. Sci. 2017, 8, 6307–6312. [Google Scholar] [CrossRef]
- Zhu, Q.L.; Liu, W.X.; Khoruzhenko, O.; Breu, J.; Bai, H.Y.; Hong, W.; Zheng, Q.; Wu, Z.L. Animating hydrogel knotbots with topology-invoked self-regulation. Nat. Commun. 2024, 14, 300. [Google Scholar] [CrossRef]
- Zhu, Q.L.; Liu, W.X.; Khoruzhenko, O.; Breu, J.; Bai, H.Y.; Hong, W.; Zheng, Q.; Wu, Z.L. Closed twisted hydrogel ribbons with self-sustained motions under static light irradiation. Adv. Mater. 2024, 36, 2314152. [Google Scholar] [CrossRef]
- Bai, C.; Kang, J.; Wang, Y.Q. Kirigami-Inspired Light-Responsive Conical Spiral Actuators with Large Contraction Ratio Using Liquid Crystal Elastomer Fiber. ACS Appl. Mater. 2025, 17, 14488–14498. [Google Scholar] [CrossRef] [PubMed]
- Bai, C.; Kang, J.; Wang, Y.Q. Light-induced wrinkling in annulus anisotropic liquid crystal elastomer films. Phys. Rev. E 2025, 111, 015421. [Google Scholar] [CrossRef]
- Yang, H.X.; Yin, X.F.; Zhang, C.; Chen, B.H.; Sun, P.; Xu, Y. Weaving liquid crystal elastomer fiber actuators for multifunctional soft robotics. Sci. Adv. 2025, 11, eads3058. [Google Scholar] [CrossRef]
- Wang, L.Q.; Wei, Z.X.; Xu, Z.T.; Yu, Q.M.; Wu, Z.L.; Wang, Z.J.; Qian, J.; Xiao, R. Shape morphing of 3D printed liquid crystal elastomer structures with precuts. ACS Appl. Polym. Mater. 2023, 5, 7477–7484. [Google Scholar] [CrossRef]
- Yang, H.X.; Zhang, C.; Chen, B.H.; Wang, Z.J.; Xu, Y.; Xiao, R. Bioinspired design of stimuli-responsive artificial muscles with multiple actuation modes. Smart Mater. Struct. 2023, 32, 085023. [Google Scholar] [CrossRef]
- Kang, W.D.; Cheng, Q.; Liu, C.Y.; Wang, Z.J.; Li, D.F.; Liang, X.D. A constitutive model of monodomain liquid crystal elastomers with the thermal-mechanical-nematic order coupling. J. Mech. Phys. Solids 2025, 196, 105995. [Google Scholar] [CrossRef]
- Wang, Y.; Yin, R.; Jin, L.S.; Liu, M.Z.; Gao, Y.H.; Raney, J.; Yang, S. 3D-printed photoresponsive liquid crystal elastomer composites for free-form actuation. Adv. Funct. Mater. 2023, 33, 2210614. [Google Scholar] [CrossRef]
- Zheng, R.; Ma, L.L.; Feng, W.; Pan, J.T.; Wang, Z.Y.; Chen, Z.X.; Zhang, Y.H.; Li, C.Y.; Chen, P.; Bisoyi, H.K.; et al. Autonomous self-sustained liquid crystal actuators enabling active photonic applications. Adv. Funct. Mater. 2023, 33, 2301142. [Google Scholar] [CrossRef]
- Ren, L.Q.; He, Y.L.; Wang, B.F.; Xu, J.Y.; Wu, Q.; Wang, Z.G.; Li, W.X.; Ren, L.; Zhou, X.L.; Liu, Q.P.; et al. 4D printed self-sustained soft crawling machines fueled by constant thermal field. Adv. Funct. Mater. 2024, 34, 2400161. [Google Scholar] [CrossRef]
- Mao, T.H.; Liu, Z.Y.; Guo, X.X.; Wang, Z.F.; Liu, J.J.; Wang, T.; Geng, S.B.; Chen, Y.; Cheng, P.; Zhang, Z.J. Engineering covalent organic frameworks with polyethylene glycol as self-sustained humidity-responsive actuators. Angew. Chem. 2023, 135, e202216318. [Google Scholar] [CrossRef]
- Wu, H.Y.; Ge, D.L.; Qiu, Y.L.; Li, K.; Xu, P.B. Mechanics of light-fueled bidirectional self-rolling in a liquid crystal elastomer rod on a track. Chaos Solitons Fractals 2025, 191, 115901. [Google Scholar] [CrossRef]
- Wu, H.; Lou, J.; Dai, Y.; Zhang, B.; Li, K. Multi-scale analysis of the self-vibration of a liquid crystal elastomer fiber-spring system exposed to constant-gradient light. J. Zhejiang Univ. Sci. A 2025, 26, 652–665. [Google Scholar] [CrossRef]
- Zhao, Y.S.; Liu, Z.X.; Shi, P.J.; Chen, C.; Alsaid, Y.; Yan, Y.C.; He, X.M. Antagonistic-contracting high-power photo-oscillators for multifunctional actuations. Nat. Mater. 2025, 24, 116–124. [Google Scholar] [CrossRef] [PubMed]
- Xiang, F.; Lou, J.; Wang, J.; Chuang, K.C.; Wu, H.M.; Huang, Z.L. A self-excited bistable oscillator with a light-powered liquid crystal elastomer. Int. J. Mech. Sci. 2024, 271, 109124. [Google Scholar]
- Ge, D.L.; Bao, W.; Li, K.; Liang, H.Y. Self-oscillation-driven locomotion in a liquid crystal elastomer-based robot under constant illumination. Commun. Nonlinear Sci. Numer. Simul. 2025, 145, 108706. [Google Scholar] [CrossRef]
- Hu, Z.M.; Li, Y.L.; Lv, J.A. Phototunable self-oscillating system driven by a self-winding fifiber actuator. Nat. Commun. 2021, 12, 3211. [Google Scholar] [CrossRef] [PubMed]
- Zhou, N.Z.; Wang, M.; Huang, S.; Liu, Z.Y.; Yang, H. Multimodal self-sustainable autonomous locomotions of light-driven seifert ribbon actuators based on liquid crystal elastomers. Angew. Chem. Int. Ed. 2023, 62, e202304081. [Google Scholar]
- Sun, X.; Zhou, K.; Xu, P.B. Chaotic self-beating of left ventricle modeled by liquid crystal elastomer. Thin Walled Struct. 2024, 205, 112540. [Google Scholar] [CrossRef]
- Zeng, H.; Lahikainen, M.; Liu, L.; Ahmed, Z.; Wani, O.M.; Wang, M.; Yang, H.; Priimagi, A. Light-fuelled freestyle self-oscillators. Nat. Commun. 2019, 10, 5057. [Google Scholar] [CrossRef]
- Huang, C.Y.; Yang, F.; Li, K.; Dai, Y.T.; Yu, Y. Modeling and analysis of self-sustaining oscillation behavior of liquid crystal elastomer fiber/baffle system under stable full-field illumination. Chaos Solitons Fractals 2025, 194, 116259. [Google Scholar] [CrossRef]
- Xu, P.B.; Zhou, K.; Sun, X.; Li, K. Self-sustainable chaotic dynamics of a liquid crystal elastomer pendulum in radial linear temperature fields. Commun. Nonlinear Sci. Numer. Simul. 2025, 152, 109338. [Google Scholar] [CrossRef]
- Sun, X.; Zhou, K.; Chen, Y.Q.; Gao, J.F.; Xu, P.B. Self-oscillation chaotic motion of a liquid crystal elastomer pendulum under gradient-stabilized illumination. Chaos Soliton Fract. 2025, 193, 116128. [Google Scholar] [CrossRef]
- Zhao, J.; Wang, X.C.; Qiu, Y.L.; Chen, H.B.; Li, K. Light-powered self-swing of a bistable magnetic pendulum utilizing liquid crystal elastomer fibers. Chaos Solitons Fractals 2025, 198, 116565. [Google Scholar] [CrossRef]
- Bai, C.P.; Kang, J.T.; Wang, Y.Q. Light-induced motion of three-dimensional pendulum with liquid crystal elastomeric fiber. Int. J. Mech. Sci. 2024, 266, 108911. [Google Scholar] [CrossRef]
- Jayoti, D.; Peeketi, A.R.; Kumbhar, P.Y.; Swaminathan, N.; Annabattula, R.K. Geometry controlled oscillations in liquid crystal polymer films triggered by thermal feedback. ACS Appl. Mater. 2023, 15, 18362–18371. [Google Scholar] [CrossRef]
- Yu, Y.; Huang, C.Y.; Liu, C.Y.; Wang, Z.J.; Ma, H.H.; Xu, P.B. Heat-driven self-wobbling of a liquid crystal elastomer double-wheel linkage. Thin Wall Struct. 2025, 217, 113829. [Google Scholar] [CrossRef]
- Yu, Y.; Dai, Z.; Li, T.Y.; Wang, Z.J.; Ma, H.H.; Li, K. Self-tapping of a liquid crystal elastomer thin beam above a hot plate. Chaos Soliton Fract. 2025, 199, 116904. [Google Scholar] [CrossRef]
- Dai, Y.T.; Jiang, X.Y.; Wang, K.X.; Li, K. A phototunable self-oscillatory bistable seesaw via liquid crystal elastomer fibers. Chaos Soliton Fract. 2025, 200, 117041. [Google Scholar] [CrossRef]
- Zhang, Z.Z.; Qiu, Y.L.; Li, K. Light-fueled self-ejecting liquid crystal elastomer launcher inspired by lizard tail autotomy. Chaos Solitons Fractals 2025, 194, 116256. [Google Scholar] [CrossRef]
- Qiu, Y.L.; Li, K. Light-powered self-striking liquid crystal elastomer hammers inspired by mantis shrimp. Commun. Nonlinear Sci. Numer. Simul. 2025, 146, 108802. [Google Scholar] [CrossRef]
- Vantomme, G.; Elands, L.C.M.; Gelebart, A.H.; Meijer, E.W.; Pogromsky, A.Y.; Nijmeijer, H.; Broer, D.J. Coupled liquid crystalline oscillators in Huygens’ synchrony. Nat. Mater. 2021, 20, 1702–1706. [Google Scholar] [CrossRef]
- Qi, F.J.; Li, Y.B.; Hong, Y.Y.; Zhao, Y.; Qing, H.T.; Yin, J. Defected twisted ring topology for autonomous periodic flip-spin-orbit soft robot. Proc. Natl. Acad. Sci. USA 2024, 121, e2312680121. [Google Scholar] [CrossRef] [PubMed]
- Zhao, Y.; Hong, Y.Y.; Qi, F.J.; Chi, Y.D.; Su, H.; Yin, J. Self-sustained snapping drives autonomous dancing and motion in free-standing wavy rings. Adv. Mater. 2023, 35, 2207372. [Google Scholar] [CrossRef] [PubMed]
- Zhou, X.R.; Chen, G.C.; Jin, B.J.; Feng, H.J.; Chen, Z.K.; Fang, M.Q.; Yang, B.; Xiao, R.; Xie, T.; Zheng, N. Multimodal autonomous locomotion of liquid crystal elastomer soft robot. Adv. Sci. 2024, 11, 2402358. [Google Scholar] [CrossRef]
- Kim, D.S.; Lee, Y.J.; Kim, Y.B.; Wang, Y.C.; Yang, S. Autonomous, untethered gait-like synchronization of lobed loops made from liquid crystal elastomer fibers via spontaneous snap-through. Sci. Adv. 2023, 9, eadh5107. [Google Scholar] [CrossRef]
- Pilz da Cunha, M.; Peeketi, A.R.; Ramgopal, A.; Annabattula, P.B.K.; Schenning, P.A.P.H.J. Light-driven continual oscillatory rocking of a polymer film. ChemistryOpen 2020, 9, 1149–1152. [Google Scholar] [CrossRef] [PubMed]
- Lv, X.D.; Yu, M.M.; Wang, W.Z.; Yu, H.F. Photothermal pneumatic wheel with high loadbearing capacity. Compos. Commun. 2021, 24, 100651. [Google Scholar] [CrossRef]
- Li, J.J.; Zhang, G.H.; Cui, Z.P.; Bao, L.L.; Xia, Z.G.; Liu, Z.F.; Zhou, X. High performance and multifunction moisture-driven Yin-Yang-interface actuators derived from polyacrylamide hydrogel. Small 2023, 19, 2303228. [Google Scholar] [CrossRef]
- Ge, Y.H.; Cao, R.; Ye, S.J.; Chen, Z.; Zhu, Z.F.; Tu, Y.F.; Ge, D.T.; Yang, X.M. Bio-inspired homogeneous graphene oxide actuator driven by moisture gradients. Chem. Commun. 2018, 54, 3126–3129. [Google Scholar] [CrossRef]
- Che, X.P.; Wang, T.; Zhang, B.L.; Zhai, Z.Z.; Chen, Y.J.; Pei, D.F.; Ge, A.L.; Li, M.J.; Li, C.X. Two-dimensionally nano-capsulating liquid metal for self-sintering and self-oscillating bimorph composites with persistent energy-harvest property. Adv. Funct. Mater. 2024, 34, 2307830. [Google Scholar] [CrossRef]
- Wei, S.Z.; Ghosh, T.K. Moisture-driven cellulose actuators with directional motion and programmable shapes. Adv. Intell. Syst. 2024, 6, 2300638. [Google Scholar] [CrossRef]
- Zhang, H.; Zeng, H.; Eklund, A.; Guo, H.S.; Priimagi Ikkala, O. Feedback-controlled hydrogels with homeostatic oscillations and dissipative signal transduction. Nat. Nano Technol. 2022, 17, 1303–1310. [Google Scholar] [CrossRef]
- Baumann, A.; Sánchez-Ferrer, A.; Jacomine, L.; Martinoty, P.; Le Houerou, V.; Ziebert, F.; Kulić, I.M. Motorizing fibres with geometric zero-energy modes. Nat. Mater. 2018, 17, 523–527. [Google Scholar] [CrossRef]
- Rothemund, P.; Ainla, A.; Belding, L.; Preston, D.J.; Kurihara, S.; Suo, Z.G.; Whitesides, G.M. A soft, bistable valve for autonomous control of soft actuators. Sci. Rob. 2018, 3, eaar7986. [Google Scholar] [CrossRef]
- Zhang, Z.Z.; Jiang, X.Y.; Qiu, Y.L.; Li, K. Stepwise self-oscillation of a photo-oscillator via time delay. Int. J. Mech. Sci. 2025, 288, 110046. [Google Scholar] [CrossRef]
- Hua, M.T.; Kim, C.; Du, Y.J.; Wu, D.; Bai, R.B.; He, X.M. Swaying gel: Chemo-mechanical self-oscillation based on dynamic buckling. Matter 2021, 4, 1029–1041. [Google Scholar] [CrossRef]
- Ge, D.L.; Li, K. Pulsating self-snapping of a liquid crystal elastomer bilayer spherical shell under steady illumination. Int. J. Mech. Sci. 2022, 233, 107646. [Google Scholar] [CrossRef]
- Frederike, K.; Stefanie, S.; Holger, F.B.; Svenja, K.; Marc, T.; Thomas, S. Biomechanics of tendrils and adhesive pads of the climbing passion flower Passiflora discophora. J. Exp. Bot. 2022, 73, 1190–1203. [Google Scholar]
- Burris, J.N.; Lenaghan, S.C.; Stewart, C.N., Jr. Climbing plants: Attachment adaptations and bioinspired innovations. Plant Cell Rep. 2018, 37, 565–574. [Google Scholar] [CrossRef]
- Bucolo, M.; Buscarino, A.; Famoso, C.; Fortuna, L.; Gagliano, S. Imperfections in integrated devices allow the emergence of unexpected strange attractors in electronic circuits. IEEE Access 2021, 9, 29573–29583. [Google Scholar] [CrossRef]
- Wiggins, S. Nonlinear Differential Equations and Dynamical Systems; Springer: Berlin/Heidelberg, Germany, 1990. [Google Scholar]
- Arnold, V.I. Geometrical Methods in the Theory of Ordinary Differential Equations; Springer: Berlin/Heidelberg, Germany, 1983. [Google Scholar]
- Buyadzhi, V.V.; Glushkov, A.V.; Khetselius, O.Y.; Bunyakova, Y.Y.; Florko, T.A.; Agayar, E.V.; Solyanikova, E.P. An effective chaos-geometric computational approach to analysis and prediction of evolutionary dynamics of the environmental systems: Atmospheric pollution dynamics. J. Phys. 2017, 905, 012036. [Google Scholar] [CrossRef]
- Glushkov, A.V.; Khetselius, O.Y.; Brusentseva, S.V.; Duborez, A.V. Modeling chaotic dynamics of complex systems with using chaos theory, geometric attractors, and quantum neural networks. Proc. Int. Geom. Cent. 2014, 7, 87–94. [Google Scholar]
- Pecora, L.M.; Carroll, T.L. Synchronization in chaotic systems. Phys. Rev. Lett. 1990, 64, 821. [Google Scholar] [CrossRef]
- Zarei, A.; Tavakoli, S. Design and control of a multi-wing dissipative chaotic system. Int. J. Dynam. Control 2018, 6, 140–153. [Google Scholar] [CrossRef]
- Hakeem, E.; Jawad, S.; Ali, A.H.; Kallel, M.; Neamah, H.A. How mathematical models might predict desertification from global warming and dust pollutants. Methodsx 2025, 14, 103259. [Google Scholar] [CrossRef] [PubMed]
- Wang, Y.C.; Dang, A.L.; Zhang, Z.F.; Yin, R.; Gao, Y.C.; Feng, L.; Yang, S. Repeatable and reprogrammable shape morphing from photoresponsive gold nanorod/liquid crystal elastomers. Adv. Mater. 2020, 32, 2004270. [Google Scholar] [CrossRef]
- Yin, H.B.; Liang, L.H.; Wei, Y.G.; Peng, Z.L.; Chen, S.H. Determination of the interface properties in an elastic film/substrate system. Int. J. Solids Struct. 2020, 191–192, 473–485. [Google Scholar] [CrossRef]
- Peng, Z.L.; Yin, H.B.; Yao, Y.; Chen, S.H. Effect of thin-film length on the peeling behavior of film-substrate interfaces. Phys. Rev. E 2019, 100, 032804. [Google Scholar] [CrossRef] [PubMed]
- Yin, H.B.; Chen, S.H.; Liang, L.H.; Peng, Z.L.; Wei, Y.G. Quantitative prediction of the whole peeling process of an elastic film on a rigid substrate. J. Appl. Mech. 2018, 85, 091004. [Google Scholar] [CrossRef]
- Zhao, H.; Wei, Y. Determination of interface properties between micron-thick metal film and ceramic substrate using peel test. Int. J. Fract. 2007, 144, 103–112. [Google Scholar] [CrossRef]
- Kendall, K. The shapes of peeling solid films. J. Adhes. 1973, 5, 105–117. [Google Scholar] [CrossRef]
- Williams, J.G.; Hadavinia, H. Analytical solutions for cohesive zone models. J. Mech. Phys. Solids 2002, 50, 809–825. [Google Scholar] [CrossRef]
- Tvergaard, V.; Hutchinson, J.W. The relation between crack growth resistance and fracture process parameters in elastic-plastic solids. J. Mech. Phys. Solids 1992, 40, 1377–1397. [Google Scholar] [CrossRef]
- Yin, H.B.; Peng, Z.L.; Yao, Y.; Chen, S.H.; Gao, H.J. A general solution to the maximum detachment force in thin film peeling. Int. J. Solids Struct. 2022, 242, 111546. [Google Scholar] [CrossRef]
- Kendall, K. Thin-film peeling: The elastic term. J. Phys. D Appl. Phys. 1975, 8, 1449–1452. [Google Scholar] [CrossRef]
- Wei, L.; Yang, Z.Q. The integration of sensing and actuating based on a simple design fiber actuator towards intelligent soft robots. Adv. Mater. Technol. 2022, 7, 2101260. [Google Scholar]
- Xu, Z.; Chen, Y.; Zhu, L.; Ge, Q.; Wu, Z.L.; Qu, S.; Xiao, R. Tailored helix morphing of 3D-printed liquid crystal elastomer bilayers. Cell Rep. Phys. Sci. 2025, 6, 102835. [Google Scholar] [CrossRef]
- Zhu, L.; He, M.; Chen, B.; Qian, J.; Xiao, R. Inflation of a polydomain nematic elastomeric membrane. J. Mech. Phys. Solids 2025, 198, 106075. [Google Scholar] [CrossRef]
- He, Q.G.; Yin, R.; Hua, Y.C.; Jiao, W.J.; Mo, C.Y.; Shu, H.; Raney, J.R. A modular strategy for distributed, embodied control of electronics-free soft robots. Sci. Adv. 2023, 9, eade9247. [Google Scholar] [CrossRef]
- Sun, J.H.; Wang, Y.P.; Liao, W.; Yang, Z.Q. Ultrafast, high-contractile electrothermal-driven liquid crystal elastomer fibers towards artificial muscles. Small 2021, 17, 2103700. [Google Scholar] [CrossRef]
- Poulard, C.; Restagno, F.; Raphael, W.; Léger, L. Mechanical tuning of adhesion through micro-patterning of elastic surfaces. Soft Matter 2011, 7, 2543–2551. [Google Scholar] [CrossRef]
- Peng, Z.L.; Wang, C.; Chen, L.; Chen, S.H. Peeling behavior of a viscoelastic thin-film on a rigid substrate. Int. J. Solids Struct 2014, 51, 4596–46032008. [Google Scholar] [CrossRef]
- Garg, R.; Datla, N.V. Peeling of heterogeneous thin films: Effect of bending stiffness, adhesion energy, and level of heterogeneity. J. Adhes. 2019, 95, 169–186. [Google Scholar] [CrossRef]










| Parameter | Definition | Value | Units |
|---|---|---|---|
| LCE fiber’s initial length | 0~50 | mm | |
| Weight’s length | 0~50 | mm | |
| Distance of the baffle | 0~5 | mm | |
| Thickness of thin strip | 0~5 | mm | |
| Buoyancy coefficient | 0~0.1 | kg/mm2 | |
| Weight’s mass per unit length | 0~0.1 | kg/mm2 | |
| Young’s modulus of thin strip | 0~50 | Mpa | |
| Poisson’s ratio of thin strip | 0.5 | ||
| Photothermal contraction coefficient | 0~0.003 | /K | |
| Thermal relaxation time | 0~0.1 | s | |
| Maximum attainable temperature difference | 0~200 | K | |
| Gravitational acceleration | 10 | m/s2 | |
| Interfacial strength | 0~1 | Mpa | |
| Interface toughness | 0~10 | mJ/mm2 |
| Parameter | ||||||||
|---|---|---|---|---|---|---|---|---|
| Value | 0~0.5 | 0~2 | 0~5 | 0~100 | 0~50 | 0~10 | 0~10,000 | 0~1 |
Disclaimer/Publisher’s Note: The statements, opinions and data contained in all publications are solely those of the individual author(s) and contributor(s) and not of MDPI and/or the editor(s). MDPI and/or the editor(s) disclaim responsibility for any injury to people or property resulting from any ideas, methods, instructions or products referred to in the content. |
© 2025 by the authors. Licensee MDPI, Basel, Switzerland. This article is an open access article distributed under the terms and conditions of the Creative Commons Attribution (CC BY) license (https://creativecommons.org/licenses/by/4.0/).
Share and Cite
Ge, D.; Wei, S.; Hu, Y. Mathematical Modeling of Light-Powered Self-Adhesion of Peeling Strips via Abrupt Transition. Mathematics 2025, 13, 3390. https://doi.org/10.3390/math13213390
Ge D, Wei S, Hu Y. Mathematical Modeling of Light-Powered Self-Adhesion of Peeling Strips via Abrupt Transition. Mathematics. 2025; 13(21):3390. https://doi.org/10.3390/math13213390
Chicago/Turabian StyleGe, Dali, Shenshen Wei, and Yanli Hu. 2025. "Mathematical Modeling of Light-Powered Self-Adhesion of Peeling Strips via Abrupt Transition" Mathematics 13, no. 21: 3390. https://doi.org/10.3390/math13213390
APA StyleGe, D., Wei, S., & Hu, Y. (2025). Mathematical Modeling of Light-Powered Self-Adhesion of Peeling Strips via Abrupt Transition. Mathematics, 13(21), 3390. https://doi.org/10.3390/math13213390
