Sign in to use this feature.

Years

Between: -

Subjects

remove_circle_outline
remove_circle_outline
remove_circle_outline
remove_circle_outline
remove_circle_outline
remove_circle_outline
remove_circle_outline
remove_circle_outline
remove_circle_outline

Journals

Article Types

Countries / Regions

remove_circle_outline
remove_circle_outline
remove_circle_outline

Search Results (214)

Search Parameters:
Keywords = quality parameter of apple

Order results
Result details
Results per page
Select all
Export citation of selected articles as:
31 pages, 6960 KB  
Article
Physiological Mechanisms Underlying Chemical Fertilizer Reduction: Multiyear Field Evaluation of Microbial Biofertilizers in ‘Gala’ Apple Trees
by Susana Ferreira, Marta Gonçalves, Margarida Rodrigues, Francisco Martinho and Miguel Leão de Sousa
Plants 2026, 15(2), 244; https://doi.org/10.3390/plants15020244 - 13 Jan 2026
Viewed by 46
Abstract
This study is Part II of a five-year (2018–2022) field trial in western Portugal evaluating the effects of three microbial biofertilizers—Mycoshell® (Glomus spp. + humic/fulvic acids), Kiplant iNmass® (Azospirillum brasilense, Bacillus megaterium, Saccharomyces cerevisiae), and Kiplant All-Grip [...] Read more.
This study is Part II of a five-year (2018–2022) field trial in western Portugal evaluating the effects of three microbial biofertilizers—Mycoshell® (Glomus spp. + humic/fulvic acids), Kiplant iNmass® (Azospirillum brasilense, Bacillus megaterium, Saccharomyces cerevisiae), and Kiplant All-Grip® (Bacillus megaterium, Pseudomonas spp.)—applied at different dosages alongside two mineral fertilizer regimes, T100 (full dose) and T70 (70% of T100, alone or combined with biofertilizers), on the physiological performance of ‘Gala Redlum’ apple trees. Part I had shown that Myc4 (Mycoshell®, 4 tablets/tree), iNM6, and iNM12 (Kiplant iNmass®, 6 and L ha−1, respectively) consistently enhanced fruit growth, yield, and selected quality traits. While Part I showed clear agronomic gains, Part II demonstrates that these improvements occurred without significant alterations in seasonal photosynthetic performance, canopy reflectance, or chlorophyll fluorescence parameters over five years, highlighting the contrast between observed yield improvements and physiological stability. Seasonal monitoring of physiological traits—including specific leaf area (SLA), chlorophyll content index (CCI), gas exchange (An, gs, E, Ci), spectral indices (NDVI, OSAVI, SIPI, GM2), and chlorophyll fluorescence (OJIP). It is clear that physiological values remained largely stable across biofertilizer treatments and years. Importantly, this stability was maintained even under a 30% reduction in mineral fertilizer (T70), indicating that specific microbial biofertilizers can sustain physiological resilience under reduced nutrient inputs, thereby providing a physiological basis for the yield-enhancing effects observed and supporting their integration into fertilizer reduction strategies in Mediterranean orchards. Full article
(This article belongs to the Section Plant Physiology and Metabolism)
Show Figures

Figure 1

18 pages, 3642 KB  
Article
Spatiotemporal Analysis for Real-Time Non-Destructive Brix Estimation in Apples
by Ha-Na Kim, Myeong-Won Bae, Yong-Jin Cho and Dong-Hoon Lee
Agriculture 2026, 16(2), 172; https://doi.org/10.3390/agriculture16020172 - 9 Jan 2026
Viewed by 107
Abstract
Predicting internal quality parameters, such as Brix and water content, of apples, is essential for quality control. Existing near-infrared (NIR) and hyperspectral imaging (HSI)-based techniques have limited applicability due to their dependence on equipment and environmental sensitivity. In this study, a transportable quality [...] Read more.
Predicting internal quality parameters, such as Brix and water content, of apples, is essential for quality control. Existing near-infrared (NIR) and hyperspectral imaging (HSI)-based techniques have limited applicability due to their dependence on equipment and environmental sensitivity. In this study, a transportable quality assessment system was proposed using spatiotemporal domain analysis with long-wave infrared (LWIR)-based thermal diffusion phenomics, enabling non-destructive prediction of the internal Brix of apples during transport. After cooling, the thermal gradient of the apple surface during the cooling-to-equilibrium interval was extracted. This gradient was used as an input variable for multiple linear regression, Ridge, and Lasso models, and the prediction performance was assessed. Overall, 492 specimens of 5 cultivars of apple (Hongro, Arisoo, Sinano Gold, Stored Fuji, and Fuji) were included in the experiment. The thermal diffusion response of each specimen was imaged at a sampling frequency of 8.9 Hz using LWIR-based thermal imaging, and the temperature changes over time were compared. In cross-validation of the integrated model for all cultivars, the coefficient of determination (R2cv) was 0.80, and the RMSEcv was 0.86 °Brix, demonstrating stable prediction accuracy within ±1 °Brix. In terms of cultivar, Arisoo (Cultivar 2) and Fuji (Cultivar 5) showed high prediction reliability (R2cv = 0.74–0.77), while Hongro (Cultivar 1) and Stored Fuji (Cultivar 4) showed relatively weak correlations. This is thought to be due to differences in thermal diffusion characteristics between cultivars, depending on their tissue density and water content. The LWIR-based thermal diffusion analysis presented in this study is less sensitive to changes in reflectance and illuminance compared to conventional NIR and visible light spectrophotometry, as it enables real-time measurements during transport without requiring a separate light source. Surface heat distribution phenomics due to external heat sources serves as an index that proximally reflects changes in the internal Brix of apples. Later, this could be developed into a reliable commercial screening system to obtain extensive data accounting for diversity between cultivars and to elucidate the effects of interference using external environmental factors. Full article
Show Figures

Figure 1

28 pages, 6257 KB  
Article
A Precise Apple Quality Prediction Model Integrating Driving Factor Screening and BP Neural Network
by Junkai Zeng, Mingyang Yu, Yan Chen, Xin Li, Jianping Bao and Xiaoqiu Pu
Plants 2025, 14(24), 3795; https://doi.org/10.3390/plants14243795 - 13 Dec 2025
Viewed by 349
Abstract
Apple fruit quality is primarily determined by Vitamin C (VC), Soluble Saccharides (SSs), Titratable Acid (TA), and the Soluble Saccharides/Titratable Acid (SSs/TA). This study aims to establish a prediction model based on the Back Propagation (BP) neural network by analyzing the intrinsic relationships [...] Read more.
Apple fruit quality is primarily determined by Vitamin C (VC), Soluble Saccharides (SSs), Titratable Acid (TA), and the Soluble Saccharides/Titratable Acid (SSs/TA). This study aims to establish a prediction model based on the Back Propagation (BP) neural network by analyzing the intrinsic relationships between these quality indicators and the photosynthetic physiological characteristics of fruit trees, providing a new method for the precise prediction and regulation of fruit quality. Using ‘Fuji’ apple as the material, fruit quality indicators, leaf photosynthetic parameters, canopy structure indicators, and carbon–water–nitrogen metabolism indicators were systematically measured. Correlation analysis was employed to identify key influencing factors, BP neural network models with different hidden layer structures were constructed, and the optimal feature subset was screened through feature importance analysis, single-factor sensitivity analysis, and ablation experiments, ultimately establishing a simplified and efficient prediction model. Pn, Gs, SPCI, and DUE showed significant positive correlations with VC, SS, and SS/TA, whereas N and NLT were significantly positively correlated with TA content. SUE was identified as a common core driving factor for VC, SS, and SS/TA. The BP neural network demonstrated strong predictive performance for the four quality indicators, with the optimal model achieving validation set R2 values of 0.87, 0.86, 0.86, and 0.89, respectively. The simplified model developed through feature screening exhibited further improved performance: the validation set R2 for the VC prediction model increased to 0.93, while MAE and MAPE decreased by 32% and 35%, respectively. Photosynthetic characteristics and nitrogen metabolism status of the fruit trees serve as key physiological foundations determining apple quality. The quality prediction model based on the BP neural network achieved high accuracy, and its predictive performance was significantly enhanced after feature refinement, providing an effective tool for precise apple quality prediction and smart orchard management. Full article
(This article belongs to the Special Issue Advanced Remote Sensing and AI Techniques in Agriculture and Forestry)
Show Figures

Figure 1

16 pages, 2011 KB  
Article
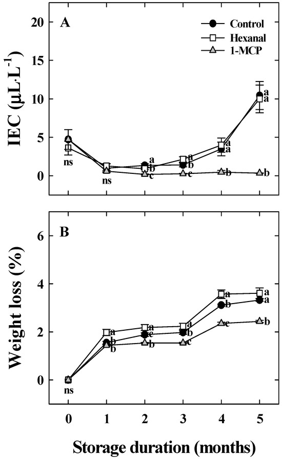
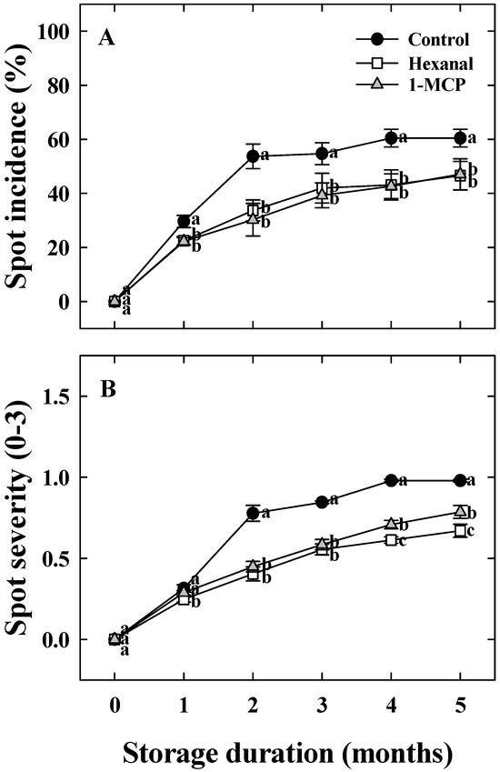
Effects of Pre-Harvest Hexanal and Post-Harvest 1-Methylcyclopropene Treatments on Bitter Pit Incidence and Fruit Quality in ‘Arisoo’ Apples
by Jun-Yong Lee, Jung-Geun Kwon, Kyoungook Kim, Jingi Yoo, Seonae Kim, Nay Myo Win and In-Kyu Kang
Horticulturae 2025, 11(12), 1468; https://doi.org/10.3390/horticulturae11121468 - 4 Dec 2025
Viewed by 379
Abstract
This study evaluated the effects of pre-harvest hexanal and post-harvest 1-methylcyclopropene (1-MCP) treatments on bitter pit incidence and fruit quality in ‘Arisoo’ apples during cold storage. Hexanal (0.02%) was sprayed on trees twice, 18 and 8 days before harvest, and 1-MCP (1 μL·L [...] Read more.
This study evaluated the effects of pre-harvest hexanal and post-harvest 1-methylcyclopropene (1-MCP) treatments on bitter pit incidence and fruit quality in ‘Arisoo’ apples during cold storage. Hexanal (0.02%) was sprayed on trees twice, 18 and 8 days before harvest, and 1-MCP (1 μL·L−1) was applied by fumigation immediately after harvest. Treated apples were subsequently stored at 0.5 ± 1 °C for 5 months. At harvest, the control group showed an incidence rate of 20.6% and a severity score of 0.34, while the hexanal-treated group had a reduced incidence of 13.2% and a severity score of 0.18. Fruit quality parameters did not differ significantly between the control and hexanal-treated groups at harvest. During cold storage, spot incidence significantly increased in the control after 2 months and reached 60.5% after 5 months. In contrast, bitter pit incidence in the hexanal and 1-MCP-treated groups was lower after 5 months, at 46.6% and 47.1%, respectively. No significant difference in spot severity was observed between the hexanal and 1-MCP treatments. Polyphenol oxidase activity increased in all treatments during storage, but both hexanal and 1-MCP significantly inhibited this increase compared to the control. Total sugar and uronic acid contents decreased across all treatments during storage. However, the hexanal and 1-MCP treatments mitigated this reduction relative to the control. At the end of storage, apples treated with 1-MCP had lower internal ethylene concentrations and higher flesh firmness compared to both the control and hexanal-treated apples. In conclusion, pre-harvest hexanal application reduced the bitter pit incidence at harvest and during storage, while post-harvest 1-MCP provided a similar reduction effect and better preserved fruit quality during cold storage. Full article
(This article belongs to the Section Postharvest Biology, Quality, Safety, and Technology)
Show Figures

Figure 1

15 pages, 1211 KB  
Article
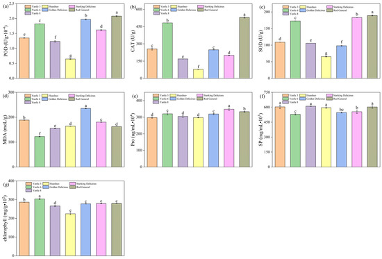
Drought Resistance of Different Scion Varieties Grafted onto Apple SH40 Interstock
by Jiao Bai, Yu Wang, Yang Zhang, Xiaoming Liu, Wenjing Xue, Ying Zhang, Binbin Si, Xuelian Huang, Jun Zhou, Jing Wang, Xin Zhang, Zhikai Zhang, Kang Du, Yajing An and Wendi Xu
Agronomy 2025, 15(11), 2635; https://doi.org/10.3390/agronomy15112635 - 17 Nov 2025
Viewed by 449
Abstract
Apple production in the arid and semi-arid regions of Northwest China, such as Lingwu in Ningxia, faces severe challenges due to water scarcity, which is exacerbated by climate change. To address this issue, this study aimed to identify superior drought-tolerant apple varieties grafted [...] Read more.
Apple production in the arid and semi-arid regions of Northwest China, such as Lingwu in Ningxia, faces severe challenges due to water scarcity, which is exacerbated by climate change. To address this issue, this study aimed to identify superior drought-tolerant apple varieties grafted onto the dwarfing interstock SH40 for cultivation in the Lingwu region. Seven major commercial varieties (‘Yanfu 3’, ‘Yanfu 6’, ‘Yanfu 8’, ‘Huashuo’, ‘Golden Delicious’, ‘Starking Delicious’, and ‘Red General’) were evaluated. Under natural drought stress conditions in Lingwu, we measured physiological and biochemical indices, photosynthetic parameters, leaf anatomical structure, and post-harvest fruit quality and yield. Principal component analysis (PCA) and membership function analysis were then employed for a comprehensive evaluation of drought resistance. The results revealed significant varietal differences. ‘Red General’ exhibited superior antioxidant enzyme activities (peroxidase (POD), catalase (CAT), superoxide dismutase (SOD) and higher photosynthetic rates (net photosynthetic rate (Pn), stomatal conductance (Gs), transpiration rate (Tr). ‘Golden Delicious’ showed the highest malondialdehyde (MDA) content but also possessed advantageous leaf anatomical traits, such as a high palisade-to-spongy tissue ratio. PCA extracted five principal components with a cumulative variance contribution rate of 95.492%. Membership function analysis ranked overall drought resistance as follows: ‘Red General’ > ‘Golden Delicious’ > ‘Starking Delicious’> ‘Huashuo’ > ‘Yanfu 6’ > ‘Yanfu 8’ > ‘Yanfu 3’. In conclusion, the mid-season varieties ‘Red General’, ‘Golden Delicious’, and ‘Starking Delicious’ demonstrated excellent comprehensive drought tolerance and are recommended as promising candidates for cultivation in the arid Lingwu region. Full article
(This article belongs to the Section Horticultural and Floricultural Crops)
Show Figures

Figure 1

18 pages, 1447 KB  
Article
Influence of Thermal Treatment Conditions and Fruit Batches Variability on the Rheology and Physicochemical Profile of Golden Delicious Apple Purée
by Shichao Li, Alessandro Zanchin, Anna Perbellini, Sebastiano Meggio, Nicola Gabardi, Marco Luzzini and Lorenzo Guerrini
Foods 2025, 14(22), 3912; https://doi.org/10.3390/foods14223912 - 15 Nov 2025
Viewed by 571
Abstract
Apple purée is a processed food typically obtained from ground apples, where quality depends on colour, consistency, and shelf-life. Thermal treatments are commonly applied to adjust rheology and deactivate enzymes responsible for post-packaging deterioration. This study evaluated the effects of heating temperature (87–102 [...] Read more.
Apple purée is a processed food typically obtained from ground apples, where quality depends on colour, consistency, and shelf-life. Thermal treatments are commonly applied to adjust rheology and deactivate enzymes responsible for post-packaging deterioration. This study evaluated the effects of heating temperature (87–102 °C) and duration (6–17 min) on the physical and chemical properties of Golden Delicious apple purée. Three independent batches were processed to examine intra-varietal variability. Chemical analyses assessed enzyme activity and nutritional profile, while physical tests focused on rheology. Image analysis was employed to characterise colour and syneresis. Results showed that short-duration heating at higher temperatures (>100 °C, <12 min) achieved desirable rheological properties but intensified browning. No significant correlations were found between residual enzymatic activity, polyphenol content, antioxidant activity, and thermal treatment conditions. This suggests that changes in colour and texture are primarily related to the physical parameters of heating independently of the origin batch. In contrast, the batch had a significant impact on enzymatic and nutritional profiles, highlighting the need for strict monitoring of incoming fruit. Overall, the heating conditions influenced the visual and textural quality of the purée, while the variability in raw materials remained a significant factor affecting its biochemical characteristics. Full article
(This article belongs to the Section Food Engineering and Technology)
Show Figures

Figure 1

22 pages, 629 KB  
Article
Determinants of Postharvest Quality in ‘Gala Schniga® SchniCo Red(s)’ Apples: The Role of Harvest Date, Storage Duration, and 1-MCP Application
by Maria Małachowska and Kazimierz Tomala
Agriculture 2025, 15(22), 2363; https://doi.org/10.3390/agriculture15222363 - 14 Nov 2025
Viewed by 747
Abstract
Poland, as a leading apple producer in the EU, must maintain high fruit quality during prolonged storage and distribution, which is crucial for exports to distant markets. Therefore, it is essential to clearly identify which factors most strongly affect quality and the magnitude [...] Read more.
Poland, as a leading apple producer in the EU, must maintain high fruit quality during prolonged storage and distribution, which is crucial for exports to distant markets. Therefore, it is essential to clearly identify which factors most strongly affect quality and the magnitude of their effects in order to make informed choices about pre- and postharvest practices, storage technology, and logistics. The objective of this study was to assess the effect of selected factors on the quality of apples of the ‘Gala Schniga® SchniCo Red(s)’ cultivar after long-term storage. The study analyzed the effects of harvest date (optimal and delayed), three variants of 1-methylcyclopropene application (control-0 µL·L−1 1-MCP, Harvista™, SmartFresh™, and Harvista™ + SmartFresh™), storage period (5, 7, and 9 months), simulated trading period (0 or 7 days at 20 °C) and storage technology (ULO: 1.2% CO2: 1.2% O2; DCA: 0.6% CO2: 0.6% O2) in two consecutive seasons (2022/2023 and 2023/2024). Five quality parameters were evaluated: flesh firmness (F), soluble solid content (SSC), titratable acidity (TA), SSC/TA ratio, and the concentration of 1-aminocyclopropane-1-carboxylic acid (ACC). Backward-elimination stepwise regression and partial eta squared (η2) calculations were used to analyze the data to determine the factors with the greatest impact. The post-harvest application of 1-MCP had the strongest effect in terms of maintaining firmness (η2 = 70.4%) and acidity (η2 = 38.0%) and reducing ACC content (η2 = 21.3%). Harvista™ preparation had a weaker or negligible effect on ACC content, but reduced SSC (η2 = 22.7%). Harvest date, storage duration, and shelf life significantly influenced all traits, with controlled-atmosphere regime further modulating outcomes. By integrating preharvest maturity with treatment timing and CA storage, we disentangled the relative contributions of harvest timing, treatment, and storage. The results provide actionable inputs for a decision-support tool to help producers maintain target quality—firmness, SSC, TA, SSC/TA, and ACC—through optimized practice, storage technology choice, and logistics. Full article
Show Figures

Figure 1

14 pages, 1286 KB  
Article
Cytokinin- and Auxin-Based Plant Growth Regulators Enhance Cell Expansion, Yield Performance, and Fruit Quality in ‘Maxi Gala’ Apple Fruits in Southern Brazil
by Sabrina Baldissera, Alex Felix Dias, Joel de Castro Ribeiro, Renaldo Borges de Andrade Júnior, Bruno Pirolli, Euvaldo de Sousa Costa Júnior, Poliana Francescatto, Polliana D’Angelo Rios, Daiana Petry Rufato, Amauri Bogo and Leo Rufato
Agriculture 2025, 15(22), 2339; https://doi.org/10.3390/agriculture15222339 - 11 Nov 2025
Viewed by 994
Abstract
Cytokinin- and Auxin-Based Plant Growth Regulators (PGRs) are commonly employed to increase fruit size due to their ability to modulate cellular structure. This study aimed to evaluate the effects of different PGR application protocols on histological parameters, yield components, and fruit quality in [...] Read more.
Cytokinin- and Auxin-Based Plant Growth Regulators (PGRs) are commonly employed to increase fruit size due to their ability to modulate cellular structure. This study aimed to evaluate the effects of different PGR application protocols on histological parameters, yield components, and fruit quality in ‘Maxi Gala’ apple. The experiments were carried out under humid subtropical conditions of southern Brazil across two growing seasons (2021/22 and 2022/23), allowing comparison of treatment performance under distinct climatic patterns. Data from common treatments were combined across years for integrated analysis. The PGRs used included 6-benzyladenine (BA) as a cytokinin source; naphthalene acetic acid (NAA) as an auxin source; and tryptophan, a precursor of auxin biosynthesis. PGRs were applied in various combinations and concentrations between 10 days after dormancy break (BBCH 01) and fruit diameters of 25–27 mm (BBCH 74), following a randomized block design with four replicates of twelve trees each. The multivariate analysis of treatments was performed using Principal Component Analysis (PCA). Additionally, an analysis of variance was performed for flesh firmness loss, with means compared using Tukey’s test (p < 0.05). PGRs significantly influenced only the histological parameters of the fruit flesh tissues. BA and tryptophan had the greatest effects on cell size and cell number in the fruit flesh, respectively, both reducing intercellular spaces. Tryptophan was associated with a higher number of smaller cells, whereas NAA promoted larger cell sizes. The combination of BA and NAA, as well as a single application of BA at petal fall, resulted in the highest yield performances and increased the proportion of large fruits. Furthermore, BA enhanced the percentage of red skin coloration and improved flesh firmness during storage. Full article
(This article belongs to the Section Agricultural Systems and Management)
Show Figures

Figure 1

23 pages, 1559 KB  
Article
Development and Characterization of Meat-Based Pasta Enriched with Apple and Sugar Beet Fibers
by Diana-Remina Manoliu, Mihai Cătălin Ciobotaru, Marius-Mihai Ciobanu and Paul-Corneliu Boișteanu
Foods 2025, 14(22), 3837; https://doi.org/10.3390/foods14223837 - 9 Nov 2025
Cited by 1 | Viewed by 661
Abstract
The global trend toward sustainable and health-promoting foods has encouraged the reformulation of meat products that strategically incorporate high-quality animal proteins and functional compounds derived from plants. This study focuses on a complex food concept: meat-based pasta formulated from pork, semolina, and dietary [...] Read more.
The global trend toward sustainable and health-promoting foods has encouraged the reformulation of meat products that strategically incorporate high-quality animal proteins and functional compounds derived from plants. This study focuses on a complex food concept: meat-based pasta formulated from pork, semolina, and dietary fibers (apple and sugar beet). The quality attributes and the effects of different formulations were evaluated in comparison with a control sample. The findings show that the addition of dietary fibers significantly impacted the chemical composition, lowered the pH and increased water activity. The incorporation of the apple and sugar beet fibers increased the total dietary fiber content from 2.94% (control) to 9.59% and 11.15%, respectively, at the highest level of inclusion. Moreover, texture profile analysis of the raw samples revealed an enhancement in hardness (from 8.01 N in the control to maximum values of 21.23 N and 26.37 N), gumminess (from 3.28 N to 10.43 N and 12.36 N), and slight improvements in cohesiveness (from 0.41 to maximum values of 0.49 and 0.51) with the addition of apple and sugar beet fibers, respectively. The color parameters (L*, a*, b*) varied depending on the fiber source, with beet fiber imparting higher lightness and redness, while apple fiber contributed to darker tones. An initial consumer acceptability test revealed a positive perception of the innovative product, particularly for formulations with low and medium percentages of fiber addition. Overall, the results demonstrate that meat-based pasta can be successfully formulated with dietary fibers, providing an innovative and feasible alternative that meets current consumer expectations for novel, healthy, and sustainable foods. Full article
Show Figures

Figure 1

16 pages, 2112 KB  
Article
Nondestructive Detection of Soluble Solids Content in Apples Based on Multi-Attention Convolutional Neural Network and Hyperspectral Imaging Technology
by Yan Tian, Jun Sun, Xin Zhou, Sunli Cong, Chunxia Dai and Lei Shi
Foods 2025, 14(22), 3832; https://doi.org/10.3390/foods14223832 - 9 Nov 2025
Viewed by 749
Abstract
Soluble solids content is the most important attribute related to the quality and price of apples. The objective of this study was to detect the soluble solids content (SSC) in ‘Fuji’ apples using hyperspectral imaging combined with a deep learning algorithm. The hyperspectral [...] Read more.
Soluble solids content is the most important attribute related to the quality and price of apples. The objective of this study was to detect the soluble solids content (SSC) in ‘Fuji’ apples using hyperspectral imaging combined with a deep learning algorithm. The hyperspectral images of 570 apple samples were obtained and the whole region of apple sample hyperspectral data was collected and preprocessed. In addition, a method involving multi-attention convolutional neural network (MA-CNN) is proposed, which extracts spectral and spatial features from hyperspectral images by embedding channel attention (CA) and spatial attention (SA) modules in a convolutional neural network. The CA and SA modules help the network adaptively focus on important spectral–spatial features while reducing the interference of redundant information. Additionally, the Bayesian optimization algorithm (BOA) is used for model hyperparameter optimization. A comprehensive evaluation is conducted by comparing the proposed model with CA-CNN models, SA-CNN, and the current mainstream models. Furthermore, the best prediction performances for detecting SSC in apple samples were obtained from the MA-CNN model, with an Rp2 value of 0.9602 and an RMSEP value of 0.0612 °Brix. The results of this study indicated that the MA-CNN algorithm combined with hyperspectral imaging technology can be used as an effective method for rapid detection of apple quality parameters. Full article
Show Figures

Figure 1

23 pages, 3747 KB  
Article
Sustainable Strategies for Sunburn Mitigation in Gala Apple Orchards: Effects on Yield, Fruit Quality, and Plant Physiology
by Margarida Rodrigues, Luísa Carvalho, Marta Gonçalves, Susana Ferreira and Miguel Leão de Sousa
Appl. Sci. 2025, 15(21), 11644; https://doi.org/10.3390/app152111644 - 31 Oct 2025
Viewed by 1224
Abstract
Fruit sunburn is a major abiotic stress limiting apple production worldwide, with losses potentially reaching 50% due to climate change-driven heat events. This study aimed to evaluate sustainable strategies to mitigate or reduce sunburn on ‘Gala Galaxy Selecta’ apple trees. Field trials conducted [...] Read more.
Fruit sunburn is a major abiotic stress limiting apple production worldwide, with losses potentially reaching 50% due to climate change-driven heat events. This study aimed to evaluate sustainable strategies to mitigate or reduce sunburn on ‘Gala Galaxy Selecta’ apple trees. Field trials conducted in summer 2021 compared eight treatments: silicon-based application (Eckosil®), foliar fertilization with algae extracts, macro- and micronutrients, and amino acids, increased irrigation (+35% ETc), mineral particle films (Surround®, Vegepron Sun®, Agrowhite®, Sunstop®), and an untreated control. Randomized block designs with replicates were used. Agronomic parameters, including particle film coverage, trunk cross-sectional area, yield, and fruit quality (color, sunburn incidence, firmness, soluble solids content, dry matter, starch), were measured at harvest. Physiological responses, such as net photosynthesis, maximum quantum yield of Photosystem II, specific leaf area, fruit surface temperature, photoprotective pigments, antioxidants, and heat shock protein gene expression, were also assessed. Foliar fertilization, Agrowhite®, and water reinforcement produced the highest yield per trunk cross-sectional area, with increased soluble solids content and enhanced red pigmentation. Surround® minimized sunburn incidence but reduced photosynthetic activity, as did Vegepron Sun®. Agrowhite® balanced sunburn protection with maintenance of fruit quality and physiological function. These findings provide practical guidance for growers to select effective treatments, balancing sunburn mitigation, fruit quality, and tree physiological performance, while offering researchers insights into integrating agronomic and physiological strategies for climate-resilient apple production. Full article
Show Figures

Figure 1

15 pages, 279 KB  
Article
The Effect of Storage Time on the Quality of Low-Sugar Apple Jams with Steviol Glycosides
by Marlena Pielak and Ewa Czarniecka-Skubina
Foods 2025, 14(21), 3678; https://doi.org/10.3390/foods14213678 - 28 Oct 2025
Viewed by 900
Abstract
This study investigated the effect of storage time on the quality of low-sugar apple jams partially substituted with steviol glycosides (SGs). Apple jams were prepared with 0%, 10%, 20%, 30%, and 40% sugar replacement using highly purified SGs (95.1%). The jams were evaluated [...] Read more.
This study investigated the effect of storage time on the quality of low-sugar apple jams partially substituted with steviol glycosides (SGs). Apple jams were prepared with 0%, 10%, 20%, 30%, and 40% sugar replacement using highly purified SGs (95.1%). The jams were evaluated immediately after production and after 3 and 6 months of storage at 22 °C in the dark. Physicochemical analyses included dry matter, total soluble solids, vitamin C, total ash, pH, titratable acidity, malic acid, and color parameters (L*, a*, b*). Sensory and microbiological assessments were also carried out. During storage, the dry matter content significantly decreased from 41.4% (control) to 35.6% (40% SGs), while titratable acidity increased from 10.69° to 16.73° (p < 0.05), and pH values remained stable (3.15–3.29). Vitamin C content decreased significantly (from 0.56 mg/100 g to 0.19 mg/100 g; 33–66% degradation). The color of jams became lighter with increasing SG substitution (L* increased from 17.19 to 24.73; ΔE up to 9.66) and slightly darkened after storage (ΔL ≈ −1.0). Microbiological analysis confirmed complete safety, with total colony counts < 10 CFU/g and no presence of Listeria monocytogenes or coagulase-positive Staphylococcus. Sensory evaluation by a trained panel (10 assessors, aged 34–56 years, with similar training in fruit and vegetable preserve evaluation) showed that jams with 10–30% SG substitution maintained desirable apple aroma and sweetness, whereas higher SG levels enhanced metallic odor (0.12–0.95 c.u.) and bitterness (0.2–1.9 c.u.) while slightly reducing apple flavor intensity (p < 0.05). Despite these differences, all jams remained acceptable after 6 months of storage. Overall, replacing up to 40% of sucrose with steviol glycosides provided microbiological stability, controlled color changes, and acceptable sensory quality, supporting the production of low-sugar jams in line with clean-label and sustainability trends in modern food technology. Full article
(This article belongs to the Special Issue Storage and Shelf-Life Assessment of Food Products: 2nd Edition)
23 pages, 11949 KB  
Article
MDAS-YOLO: A Lightweight Adaptive Framework for Multi-Scale and Dense Pest Detection in Apple Orchards
by Bo Ma, Jiawei Xu, Ruofei Liu, Junlin Mu, Biye Li, Rongsen Xie, Shuangxi Liu, Xianliang Hu, Yongqiang Zheng, Hongjian Zhang and Jinxing Wang
Horticulturae 2025, 11(11), 1273; https://doi.org/10.3390/horticulturae11111273 - 22 Oct 2025
Cited by 1 | Viewed by 970
Abstract
Accurate monitoring of orchard pests is vital for green and efficient apple production. Yet images captured by intelligent pest-monitoring lamps often contain small targets, weak boundaries, and crowded scenes, which hamper detection accuracy. We present MDAS-YOLO, a lightweight detection framework tailored for smart [...] Read more.
Accurate monitoring of orchard pests is vital for green and efficient apple production. Yet images captured by intelligent pest-monitoring lamps often contain small targets, weak boundaries, and crowded scenes, which hamper detection accuracy. We present MDAS-YOLO, a lightweight detection framework tailored for smart pest monitoring in apple orchards. At the input stage, we adopt the LIME++ enhancement to mitigate low illumination and non-uniform lighting, improving image quality at the source. On the model side, we integrate three structural innovations: (1) a C3k2-MESA-DSM module in the backbone to explicitly strengthen contours and fine textures via multi-scale edge enhancement and dual-domain feature selection; (2) an AP-BiFPN in the neck to achieve adaptive cross-scale fusion through learnable weighting and differentiated pooling; and (3) a SimAM block before the detection head to perform zero-parameter, pixel-level saliency re-calibration, suppressing background redundancy without extra computation. On a self-built apple-orchard pest dataset, MDAS-YOLO attains 95.68% mAP, outperforming YOLOv11n by 6.97 percentage points while maintaining a superior trade-off among accuracy, model size, and inference speed. Overall, the proposed synergistic pipeline—input enhancement, early edge fidelity, mid-level adaptive fusion, and end-stage lightweight re-calibration—effectively addresses small-scale, weak-boundary, and densely distributed pests, providing a promising and regionally validated approach for intelligent pest monitoring and sustainable orchard management, and offering methodological insights for future multi-regional pest monitoring research. Full article
(This article belongs to the Section Insect Pest Management)
Show Figures

Figure 1

19 pages, 5916 KB  
Article
Construction of Composite Biocontrol Agent (BCA): Developing Effective Strategies for Controlling Postharvest Blue Mold and Patulin in Apples
by Longmei Cong, Limei Li, Qian Zhang, Junyue Hu, Jingting Du and Junfeng Shi
Foods 2025, 14(19), 3378; https://doi.org/10.3390/foods14193378 - 29 Sep 2025
Viewed by 595
Abstract
Postharvest blue mold in apples, caused by Penicillium expansum, leads to fruit decay and patulin (PAT) contamination, incurring major economic and health risks. This study developed a composite biocontrol agent (BCA) by co-cultivating three antagonistic yeasts (Meyerozyma caribbica, Metschnikowia zizyphicola [...] Read more.
Postharvest blue mold in apples, caused by Penicillium expansum, leads to fruit decay and patulin (PAT) contamination, incurring major economic and health risks. This study developed a composite biocontrol agent (BCA) by co-cultivating three antagonistic yeasts (Meyerozyma caribbica, Metschnikowia zizyphicola, and Pichia rarassimilans). Mixed-culture conditions and protective additives formulation were optimized via response surface methodology. Optimal biomass production was achieved with a 1:2:3 (v/v/v) yeast ratio in medium containing sucrose (12.49 g/L), yeast extract powder (13.3 g/L), K2HPO4 (0.88 g/L), and NaCl (0.95 g/L) under pH 7.0, 1% total inoculum concentration, 24 °C, and a 60 h incubation. The liquid BCA formulation, stabilized with 0.27% gum arabic, 0.49% Tween-80, and 0.079% ascorbic acid, maintained high viability (9.15 log10 CFU/mL after 7 days). In vivo/in vitro trials all demonstrated that the composite BCA rapidly colonized, suppressed P. expansum infection, and significantly delayed pathogen spore germination and hyphal growth. Furthermore, the BCA effectively degraded 10 μg/mL PAT within 24–42 h in various fruit juices with minimal adverse effects on juice quality parameters. Storage at −20 °C preserved the highest bioactivity (7.93 × 108 CFU/mL after 5 months). This optimized composite yeast formulation provides an efficient, eco-friendly strategy for integrated apple postharvest blue mold and PAT detoxification. Full article
(This article belongs to the Section Food Packaging and Preservation)
Show Figures

Figure 1

17 pages, 4865 KB  
Article
Biocontrol Efficiency of Leuconostoc mesenteroides GY-2 Against Postharvest Black Rot Caused by Alternaria alternata and the Mechanisms of Action
by Pengbo Dai, Bing Li, Yanan Li, Li Wang, Tongle Hu, Yanan Wang, Xianglong Meng, Bo Li, Keqiang Cao, Shutong Wang and Manli Sun
J. Fungi 2025, 11(10), 705; https://doi.org/10.3390/jof11100705 - 29 Sep 2025
Viewed by 798
Abstract
Apple black rot, a destructive postharvest disease caused by Alternaria alternata, poses significant economic threats during fruit storage and transportation. However, effective biocontrol bacteria to manage this disease remain limited. In this study, Leuconostoc mesenteroides strain GY-2, isolated from healthy apple fruit [...] Read more.
Apple black rot, a destructive postharvest disease caused by Alternaria alternata, poses significant economic threats during fruit storage and transportation. However, effective biocontrol bacteria to manage this disease remain limited. In this study, Leuconostoc mesenteroides strain GY-2, isolated from healthy apple fruit surfaces, had a remarkable biocontrol ability on apple black rot. While GY-2 exhibited no direct inhibitory effects in confrontation assays, volatile organic compounds (VOCs) emitted by the strain suppressed colony diameter of A. alternata by 70.8% in dual plate assays, indicating potent fungistatic activity. Notably, these VOCs produced by L. mesenteroides displayed broad-spectrum antifungal properties against multiple apple fungal pathogens. Microscopic analysis revealed that VOC exposure induced structural anomalies in A. alternata hyphae, including surface perforations and protoplast leakage, suggesting membrane integrity disruption. The VOCs produced by strain GY-2 were identified; four compounds had antifungal activities, among them, isoamylol exhibited the highest antifungal activity. Applying bacterial suspensions of strain GY-2 on apple fruit significantly reduced 91.4% of lesion areas of black rot. The strain exhibited robust colonization capacity on fruit surfaces, maintaining viable populations for over 15 days post-application, guaranteeing a sustained disease prevention. Furthermore, GY-2 treatment enhanced systemic resistance in apple fruit, as evidenced by upregulated antioxidant enzymes and defense-related enzymes. Importantly, application of GY-2 did not adversely affect key parameters of fruit quality, including firmness, soluble solids content, or acidity. These findings showed that the bacterial L. mesenteroides GY-2 was a promising biocontrol agent for managing postharvest black rot of apple fruit. Full article
(This article belongs to the Section Fungal Pathogenesis and Disease Control)
Show Figures

Figure 1

Back to TopTop