Sign in to use this feature.

Years

Between: -

Subjects

remove_circle_outline
remove_circle_outline
remove_circle_outline
remove_circle_outline
remove_circle_outline
remove_circle_outline
remove_circle_outline
remove_circle_outline
remove_circle_outline

Journals

remove_circle_outline
remove_circle_outline
remove_circle_outline
remove_circle_outline
remove_circle_outline
remove_circle_outline
remove_circle_outline
remove_circle_outline
remove_circle_outline
remove_circle_outline
remove_circle_outline
remove_circle_outline
remove_circle_outline

Article Types

Countries / Regions

remove_circle_outline
remove_circle_outline
remove_circle_outline
remove_circle_outline
remove_circle_outline

Search Results (759)

Search Parameters:
Keywords = protein immunoassay

Order results
Result details
Results per page
Select all
Export citation of selected articles as:
15 pages, 4517 KB  
Article
Platelet Secretome Drives Mitogenic and TGF-β Responses in Gingival Fibroblasts
by Layla Panahipour, Matilde Riberti, Xiaoyu Huang, Michael B. Fischer, Richard J. Miron and Reinhard Gruber
Biology 2026, 15(2), 143; https://doi.org/10.3390/biology15020143 - 14 Jan 2026
Viewed by 229
Abstract
Platelet-rich fibrin (PRF) is widely used in regenerative dentistry and oral surgery for its ability to promote tissue healing and modulate cellular responses. However, PRF contains not only platelets but also leukocytes and plasma components, complicating efforts to define the specific contribution of [...] Read more.
Platelet-rich fibrin (PRF) is widely used in regenerative dentistry and oral surgery for its ability to promote tissue healing and modulate cellular responses. However, PRF contains not only platelets but also leukocytes and plasma components, complicating efforts to define the specific contribution of platelets to its biological activity. To address this, we used washed, leukocyte-depleted platelets activated with thrombin to generate platelet-released supernatant (PRS), which was applied to gingival fibroblasts. RNA sequencing identified 147 upregulated and 39 downregulated genes (|log2 fold change| ≥ 2, FDR < 0.001), including cytokines IL11 and CXCL8 previously associated with PRF, as well as mitosis-related genes such as centromere-associated proteins, cell division cycle proteins, kinesin-like proteins, and shugoshins, consistent with gene ontology analyses. Validation by RT-PCR and immunoassays confirmed robust upregulation of IL11 and CXCL8. Functionally, PRS activated TGF-β signaling, indicated by Smad2/3 nuclear translocation, but did not induce NF-κB signaling. These findings demonstrate that platelets are major contributors to PRF’s biological effects, independent of leukocytes and plasma, and elicit a pronounced mitogenic and TGF-β-dominant response in gingival fibroblasts. They also provide insight into the cellular mechanisms underlying PRF-mediated tissue regeneration. Full article
(This article belongs to the Special Issue Research Advancements in Oral Biology)
Show Figures

Graphical abstract

14 pages, 2747 KB  
Article
Serological Assays to Measure Rabies Antibody Response in Equine Serum Samples
by Nisha Beniwal, Banwari Lal, Sushma Mithina, Chandan Kumar Verma, Satendra Kumar, Vikas Phagna, Kamini Jakhar, Sudipta Sonar, Vishal Gupta, Rita Singh, Niraj Kumar, Chee Wah Tan, Riyesh Thachamvally, Harisankar Singha, Kripa Murzello, Aldon Fernandes, Lin-Fa Wang, Sankar Bhattacharyya and Shailendra Mani
Viruses 2026, 18(1), 108; https://doi.org/10.3390/v18010108 - 14 Jan 2026
Viewed by 213
Abstract
Rabies is a neglected tropical zoonotic disease caused by rabies-virus (RV) infection and is responsible for almost 60,000 annual deaths globally, largely affecting the socio-economically disadvantaged population. Although fatality is preventable by immunization either before or after exposure with therapeutic antibodies, the high [...] Read more.
Rabies is a neglected tropical zoonotic disease caused by rabies-virus (RV) infection and is responsible for almost 60,000 annual deaths globally, largely affecting the socio-economically disadvantaged population. Although fatality is preventable by immunization either before or after exposure with therapeutic antibodies, the high cost of prophylaxis or treatment limits their accessibility for the affected population. However, due to the almost 100% fatality rate in symptomatic individuals, almost 29 million annual vaccinations are performed, imposing high financial burden. Human transmission occurs principally through bites from infected dogs and although multiple mammalian species are permissive to RV, transmission from them or from symptomatic humans is rare. To overcome the limitations posed by the requirement of biosafety level-3 (BSL-3) containment for live virus culture, we established a replication-deficient vesicular stomatitis virus (VSV) pseudovirus expressing the Rabies-G (RV-G) protein and a multiplexed Luminex immunoassay for quantifying anti-rabies antibodies in equine sera. The purified pseudovirus exhibited robust luciferase activity and was able to infect multiple mammalian cell lines, although with variable efficiency. Using hyper-immunized equine serum, we observed a strong correlation (ρ > 0.9, p < 0.001) between binding antibody titers measured by the Luminex assay with neutralizing antibody titers determined using the pseudovirus-based neutralization assay. These assays provide a safe, quantitative, and BSL-2-compatible platform for rabies serological evaluation and vaccine testing. Full article
(This article belongs to the Special Issue Rabies Virus: Treatment and Prevention—2nd Edition)
Show Figures

Figure 1

17 pages, 3619 KB  
Article
Nobiletin Attenuates Inflammation and Modulates Lipid Metabolism in an In Vitro Model of Intestinal Failure-Associated Liver Disease
by Marta Belka, Aleksandra Gostyńska-Stawna, Karina Sommerfeld-Klatta, Maciej Stawny and Violetta Krajka-Kuźniak
Pharmaceutics 2026, 18(1), 87; https://doi.org/10.3390/pharmaceutics18010087 - 9 Jan 2026
Viewed by 258
Abstract
Background: Intestinal failure-associated liver disease (IFALD) is a serious complication in patients receiving parenteral nutrition, often exacerbated by inflammation, lipid overload, and oxidative stress. Nobiletin (NOB), a polymethoxylated flavone, is known for its anti-inflammatory and lipid-regulating properties. Methods: We employed an [...] Read more.
Background: Intestinal failure-associated liver disease (IFALD) is a serious complication in patients receiving parenteral nutrition, often exacerbated by inflammation, lipid overload, and oxidative stress. Nobiletin (NOB), a polymethoxylated flavone, is known for its anti-inflammatory and lipid-regulating properties. Methods: We employed an in vitro model using THLE-2 human hepatocytes and primary human cholangiocytes exposed to Intralipid (INT) and lipopolysaccharide (LPS) to simulate IFALD conditions. NOB was tested at non-toxic concentrations (10 and 25 µM) to assess its protective effects. MTT viability assays, multiplex bead-based immunoassays (MAGPIX), RT-qPCR, and Western blotting were used to evaluate changes in inflammation markers, gene expression, and protein signaling. Moreover, ALT and AST activities were used to assess hepatocellular injury. Results: NOB maintained high cell viability in THLE-2 hepatocytes and cholangiocytes, confirming its low cytotoxicity. NOB normalized ALT and AST activities in both tested cell lines, but the effect reached statistical significance only for ALT in cholangiocytes. Under IFALD-like conditions (LPS+INT), NOB significantly preserved metabolic activity in both cell types. In THLE-2 and cholangiocytes, NOB markedly reduced the phosphorylation of pro-inflammatory proteins JNK, NF-κB, and STAT3, indicating a broad inhibition of inflammatory signaling. Moreover, in THLE-2 cells, NOB upregulated lipid metabolism-related genes (PRKAA2, CYP7A1, and ABCA1) and decreased oxidative stress, thereby enhancing the nuclear translocation of Nrf2 and increasing SOD1 level, which supports the activation of antioxidant defenses. Conclusions: NOB exhibits hepatoprotective properties under IFALD-like conditions in vitro, likely through modulation of inflammation-related signaling and lipid metabolism pathways. Full article
Show Figures

Graphical abstract

13 pages, 644 KB  
Article
Expression Profile of CEACAM-5, CA125 and HE4 Proteins in Tumor and Corresponding Margin Samples in a Group of Patients with Gastroenteropancreatic Neuroendocrine Tumors (GEP-NET)
by Agata Świętek, Joanna Katarzyna Strzelczyk, Dorota Hudy, Zenon P. Czuba, Karolina Snopek-Miśta, Mariusz Kryj, Katarzyna Kuśnierz, Sławomir Mrowiec, Marcin Zeman, Małgorzata Roś-Mazurczyk and Janusz Strzelczyk
Appl. Sci. 2026, 16(2), 692; https://doi.org/10.3390/app16020692 - 9 Jan 2026
Viewed by 198
Abstract
Biomarkers such as CEACAM-5, CA125 and HE4 have been implicated in tumor progression, invasion, and microenvironment modulation in several cancers, but their protein expression in GEP-NET remains poorly characterized. This study aimed to evaluate CEACAM-5, CA125 and HE4 levels in tumors and matched [...] Read more.
Biomarkers such as CEACAM-5, CA125 and HE4 have been implicated in tumor progression, invasion, and microenvironment modulation in several cancers, but their protein expression in GEP-NET remains poorly characterized. This study aimed to evaluate CEACAM-5, CA125 and HE4 levels in tumors and matched surgical margin samples from 59 GEP-NET patients and assess correlations with clinical and demographic variables. Total protein concentration was measured spectrophotometrically, and selected cytokines by multiplex immunoassay. No significant differences in CEACAM-5, CA125 and HE4 protein concentrations were found between tumor and margin samples. However, in tumor tissue, CA125 protein levels showed a statistically significant association with T and M status. A significantly higher level of all proteins was observed in ileum or colon tumors compared to pancreas. Analysis of HE4 revealed differences in protein levels between male and female tumor samples. CEACAM-5, CA125 and HE4 proteins showed distinct expression patterns in GEP-NET according to tumor stage, metastasis, primary tumor location, and sex, highlighting their potential as tissue biomarkers of tumor aggressiveness and microenvironmental activity. These findings provide a basis for future studies on their prognostic and therapeutic relevance. Full article
Show Figures

Figure 1

17 pages, 3324 KB  
Article
Anionic Detergents as Eluents for Microscale Isolation of Antigen-Specific Serum Immunoglobulins
by Dmitry Trukhin, Marina Filippova, Alla Tskaeva, Ekaterina Troshina, Dmitry Gryadunov and Elena Savvateeva
Biosensors 2026, 16(1), 22; https://doi.org/10.3390/bios16010022 - 28 Dec 2025
Viewed by 321
Abstract
The detailed characterization of antigen-specific serum antibodies is hindered by the lack of efficient, gentle isolation methods. In this context, standard column affinity chromatography, although a powerful purification tool, presents practical challenges, including high antigen consumption and elution conditions that risk inducing antibody [...] Read more.
The detailed characterization of antigen-specific serum antibodies is hindered by the lack of efficient, gentle isolation methods. In this context, standard column affinity chromatography, although a powerful purification tool, presents practical challenges, including high antigen consumption and elution conditions that risk inducing antibody polyreactivity, while conventional acidic elution often compromises antibody integrity. This study introduces a novel microscale method for isolating specific immunoglobulins using anionic detergents as mild eluents. We employed antigen-functionalized hydrogel microarrays and magnetic beads as micro-immunosorbents. Among the tested detergents, sodium lauroyl glutamate (SLG) was optimal, achieving up to 78.3% recovery of functional antibodies. The optimized protocol, including recovery via G25-Sephadex gel filtration, effectively isolated specific antibodies from complex serum, retaining 58.5–85.3% of their functional bioactivity. Multiplex immunoassays confirmed the high specificity of the isolated antibodies and the lack of detergent-induced polyreactivity. The method was successfully adapted to isolate both specific antibodies (virus, dietary, and autoimmune) and total IgG, demonstrating versatility across platforms. This work establishes a robust, efficient, and gentle workflow for obtaining high-purity, bioactive antibodies, enabling their subsequent in-depth analysis for research applications. Full article
(This article belongs to the Special Issue Immunoassays and Biosensing (2nd Edition))
Show Figures

Figure 1

10 pages, 1760 KB  
Article
Enhanced Detection of SARS-CoV-2 Using Platinum-Decorated Poly(2-vinylpyridine) Nanoparticle-Based Lateral Flow Immunoassay
by Yayoi Kimura, Yasushi Enomoto, Yasufumi Matsumura, Kazuo Horikawa, Hideaki Kato, Atsushi Goto, Kei Miyakawa and Akihide Ryo
Biomedicines 2025, 13(12), 2993; https://doi.org/10.3390/biomedicines13122993 - 6 Dec 2025
Viewed by 426
Abstract
Background: Rapid and high-throughput diagnostic methods are essential for controlling the spread of infectious diseases, such as severe acute respiratory syndrome coronavirus 2 (SARS-CoV-2). Lateral flow immunoassay (LFIA) strips provide a cost-effective and user-friendly platform for point-of-care testing. However, the sensitivity of conventional [...] Read more.
Background: Rapid and high-throughput diagnostic methods are essential for controlling the spread of infectious diseases, such as severe acute respiratory syndrome coronavirus 2 (SARS-CoV-2). Lateral flow immunoassay (LFIA) strips provide a cost-effective and user-friendly platform for point-of-care testing. However, the sensitivity of conventional LFIA kits is often limited by the performance of their detection probes. This study reports a highly sensitive LFIA strip for detecting the SARS-CoV-2 nucleocapsid (NP) protein using platinum-decorated poly(2-vinylpyridine) nanoparticles (Pt-P2VPs) as probes. Methods: Monoclonal antibodies against SARS-CoV-2 NP were conjugated with Pt-P2VPs and incorporated into LFIA strips. The test line was coated with anti–SARS-CoV-2 NP monoclonal antibody, and the control line with goat anti-mouse IgG. Recombinant proteins, viral strains, and nasopharyngeal swab specimens from patients were used to evaluate assay performance, with reverse transcription polymerase chain reaction (RT-PCR) as the reference standard. Diagnostic accuracy was assessed using nonparametric statistical tests. Results: Pt-P2VP-based LFIA strips enabled sensitive detection of recombinant NP and inactivated SARS-CoV-2, with minimal cross-reactivity. In 200 clinical specimens (100 PCR-negative and 100 PCR-positive), the assay achieved 74% sensitivity and 100% specificity, with strong correlation to viral RNA load. Compared with conventional LFIA kits, Pt-P2VP strips demonstrated superior sensitivity at lower viral loads. Conclusions: Pt-P2VPs represent a promising probe material for enhancing LFIA performance and may facilitate the development of rapid, sensitive, and scalable immunoassays for infectious disease diagnostics in biomedical applications. Full article
(This article belongs to the Section Microbiology in Human Health and Disease)
Show Figures

Graphical abstract

16 pages, 1285 KB  
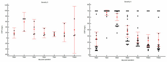
Article
Pilot Study: Association Between Surgical Severity and Postoperative Point-of-Care C-Reactive Protein Levels in Dogs Undergoing Orthopedic Surgery
by Thirawat Sumalai, Supphathat Wutthiwitthayaphong, Sakchai Ruenphet and Thanikran Suwannachote
Vet. Sci. 2025, 12(12), 1158; https://doi.org/10.3390/vetsci12121158 - 4 Dec 2025
Viewed by 616
Abstract
Surgical intervention is essential for many orthopedic conditions in dogs, which are a common cause of pain and debilitation [...] Full article
(This article belongs to the Special Issue Advancements in Small Animal Internal Medicine)
Show Figures

Figure 1

23 pages, 9803 KB  
Article
Metformin Mitigates Diabetes-Driven Renal Senescence via Immunomodulation and the FABP4/FOXO1 Axis
by Nawal M. Alrasheed, Lama A. Almuthanbi, Rana R. Alotaibi, Asma S. Alonazi, Maha A. Alamin, Tahani K. Alshammari, Dalal A. Alkhelb, Anfal F. Bin Dayel, Hatun A. Alomar, Doaa M. Elnagar and Nouf M. Alrasheed
Pharmaceuticals 2025, 18(12), 1834; https://doi.org/10.3390/ph18121834 - 1 Dec 2025
Viewed by 604
Abstract
Background: Diabetic nephropathy (DN) accelerates renal aging through chronic inflammation and metabolic dysregulation; however, the role of metformin in this process remains incompletely understood. This study investigated whether metformin attenuates diabetes-driven renal senescence through the modulation of the fatty acid-binding protein 4 (FABP4)/forkhead [...] Read more.
Background: Diabetic nephropathy (DN) accelerates renal aging through chronic inflammation and metabolic dysregulation; however, the role of metformin in this process remains incompletely understood. This study investigated whether metformin attenuates diabetes-driven renal senescence through the modulation of the fatty acid-binding protein 4 (FABP4)/forkhead box protein O1 (FOXO1) axis and key immunometabolic enzymes. Methods: Thirty-two male Wistar rats were divided into healthy and diabetic groups and treated with either saline or metformin (200 mg/kg) for 10 weeks. Type 2 diabetes was induced by multiple low doses of streptozotocin (30 mg/kg, intraperitoneally) and high-fat diet. Renal function indices, lipid profile, inflammatory cytokines, succinate dehydrogenase (SDH), ATP-citrate lyase (ACLY), and senescence markers were measured, while FABP4 and FOXO1 expression, macrophage infiltration, and kidney histology were assessed using immunoassays and microscopy. Results: Metformin considerably reduced serum creatinine, urea, and blood urea nitrogen; normalized the lipid profile; suppressed interleukin (IL)-6 and tumor necrosis factor-α; and increased IL-10 levels. Additionally, it reversed DN-associated alterations in SDH and ACLY; downregulated FABP4, FOXO1, and P16INK4a; decreased macrophage infiltration; promoted M2 polarization; and improved renal architecture. Conclusions: This study is the first to demonstrate that metformin mitigates diabetic renal senescence by simultaneously targeting the FABP4/FOXO1 axis and immunometabolic enzymes SDH and ACLY. These findings highlight the translational significance of metformin as a prototype for immunometabolic and immunosenescence-directed therapies in DN. Full article
(This article belongs to the Section Pharmacology)
Show Figures

Graphical abstract

28 pages, 7979 KB  
Article
Garlic-Derived Phytochemical Candidates Predicted to Disrupt SARS-CoV-2 RBD–ACE2 Binding and Inhibit Viral Entry
by Martha Susana García-Delgado, Aldo Fernando Herrera-Rodulfo, Karen Y. Reyes-Melo, Ashly Mohan, Fernando Góngora-Rivera, Jesús Andrés Pedroza-Flores, Alma D. Paz-González, Gildardo Rivera, María del Rayo Camacho-Corona and Mauricio Carrillo-Tripp
Molecules 2025, 30(23), 4616; https://doi.org/10.3390/molecules30234616 - 1 Dec 2025
Viewed by 644
Abstract
The emergence of SARS-CoV-2 and its rapid global spread underscores the urgent need for novel therapeutic strategies. This study investigates the antiviral potential of Allium sativum (garlic) extracts against SARS-CoV-2, focusing on disruption of the spike protein’s receptor-binding domain (RBD) interaction with angiotensin-converting [...] Read more.
The emergence of SARS-CoV-2 and its rapid global spread underscores the urgent need for novel therapeutic strategies. This study investigates the antiviral potential of Allium sativum (garlic) extracts against SARS-CoV-2, focusing on disruption of the spike protein’s receptor-binding domain (RBD) interaction with angiotensin-converting enzyme 2 (ACE2), a critical step in viral entry. Two garlic cultivars (Tigre and Fermín) were processed via oven-drying or freeze-drying, followed by maceration with CH2Cl2/MeOH (1:1) and fractionation with liquid–liquid partition. ELISA immunoassays revealed that freeze-dried Tigre (TL) extracts had the highest inhibitory activity (42.16% at 0.1 µg/mL), with its aqueous fraction achieving 57.26% inhibition at 0.01 µg/mL. Chemical profiling via GC-MS found sulfur and other types of compounds. Molecular docking identified three garlic TL-derived aqueous fraction compounds with strong binding affinities (ΔG = −7.5 to −6.9 kcal/mol) to the RBD-ACE2 interface. Furthermore, ADME in silico analysis highlighted one of them (L17) as the main candidate, having high gastrointestinal absorption, blood–brain barrier permeability, and compliance with drug-likeness criteria. These findings underscore garlic-derived compounds as promising inhibitors of SARS-CoV-2 entry, calling for further preclinical validation. The study integrates experimental and computational approaches to advance natural product-based antiviral discovery, emphasizing the need for standardized formulations to address therapeutic variability across viral variants. Full article
(This article belongs to the Special Issue Biological Evaluation of Plant Extracts)
Show Figures

Graphical abstract

17 pages, 931 KB  
Article
Tissue Microarray-Based Digital Spatial Profiling of Benign Breast Lobules and Breast Cancers: Feasibility, Biological Coherence, and Cross-Platform Benchmarks
by Mark E. Sherman, Jodi C. Carter, Robert A. Vierkant, Melody Stallings-Mann, Laura Pacheco-Spann, Stacey J. Winham, Celine M. Vachon, Chen Wang, Matthew R. Jensen, Melissa A. Troester, Amy C. Degnim, E. Aubrey Thompson, Jennifer Kachergus, Ji Shi and Derek C. Radisky
Cancers 2025, 17(23), 3797; https://doi.org/10.3390/cancers17233797 - 27 Nov 2025
Viewed by 486
Abstract
Background: Discovering risk biomarkers in small benign breast disease (BBD) biopsies is constrained by scarce tissue and microanatomic heterogeneity of terminal duct lobular units (TDLUs). We tested whether tissue-sparing tissue microarray (TMA)–based Digital Spatial Profiling (DSP) can deliver reproducible, biologically coherent protein measurements [...] Read more.
Background: Discovering risk biomarkers in small benign breast disease (BBD) biopsies is constrained by scarce tissue and microanatomic heterogeneity of terminal duct lobular units (TDLUs). We tested whether tissue-sparing tissue microarray (TMA)–based Digital Spatial Profiling (DSP) can deliver reproducible, biologically coherent protein measurements across benign lobules and breast cancers (BCs), and how well DSP aligns with standard immunoassays. Methods: We performed a pilot using tissues from the Mayo Clinic BBD cohort using TMAs representing four contexts: terminal duct lobular units (TDLUs) from BBD biopsies preceding BC and matched BBD-controls, subsequent BCs, and BC-associated TDLUs. We profiled 79 proteins by DSP (37 retained after QC) and benchmarked against chromogenic IHC and OPAL immunofluorescence. Reproducibility was evaluated using intraclass correlation coefficients (ICCs), cross-platform agreement (weighted kappa), marker correlations, and mixed-effects models with false-discovery-rate (FDR) control. Results: We analyzed 368 BBD-TDLU cores (88 cases; 88 controls), 204 BC cores and 110 BC-associated TDLU cores. ICCs were highest in BC tissues, and lower in BC-associated TDLUs and BBD-TDLUs. Agreement was slight–to-fair in TDLUs but moderate (ER/PR) to substantial (BCL2) in BC. DSP recapitulated expected immunologic correlations (CD45 with T-cell, B-cell, and macrophage markers) and tissue-type gradients (BC > BC-associated TDLUs > BBD-TDLUs). Exploratory case–control differences in BBD-TDLUs did not persist after FDR control. Conclusions: TMA-based DSP is feasible in archival breast tissues and yields biologically coherent, cross-platform-benchmarked profiles that are particularly robust in BC, while conserving scarce TDLUS and clarifying current limits of single-marker risk stratification from benign lobules. These data provide a foundation for refined sampling and expanded panels in future TDLU-focused studies. Full article
(This article belongs to the Special Issue Breast Cancer Biomarkers and Clinical Translation: 2nd Edition)
Show Figures

Figure 1

14 pages, 2679 KB  
Article
The KIF18A Inhibitor ATX020 Induces Mitotic Arrest and DNA Damage in Chromosomally Instable High-Grade Serous Ovarian Cancer Cells
by Jayakumar Nair, Tzu-Ting Huang, Maureen Lynes, Sanjoy Khan, Serena Silver and Jung-Min Lee
Cells 2025, 14(23), 1863; https://doi.org/10.3390/cells14231863 - 26 Nov 2025
Viewed by 2403
Abstract
High-grade serous ovarian cancer (HGSOC) is the most common (~80%) and lethal ovarian cancer subtype in the United States, characterized by TP53 mutations and DNA repair defects causing chromosomal instability (CIN). KIF18A is an essential cytoskeletal motor protein for cell division in CIN+ [...] Read more.
High-grade serous ovarian cancer (HGSOC) is the most common (~80%) and lethal ovarian cancer subtype in the United States, characterized by TP53 mutations and DNA repair defects causing chromosomal instability (CIN). KIF18A is an essential cytoskeletal motor protein for cell division in CIN+ cancer cells, but it is not necessary for cell division in normal cells. Therefore, KIF18A represents a promising target for therapeutic interventions in CIN+ cancers. We investigated the use of a novel KIF18A inhibitor ATX020, for selectively targeting CIN+ HGSOC cells using growth inhibition assays, invasion assays, immunoassays, cell cycle analysis, and immunofluorescence techniques. Using DepMap and flow cytometry, we classified a panel of HGSOC cell lines based on aneuploidy scores (AS) and ploidy levels and identified a correlation between these classifications and sensitivity against ATX020. ATX020 induced cytotoxicity through mitotic arrest and DNA damage, and reduced tumor growth in HGSOC with high aneuploidy scores (AS). Mechanistically, ATX020 blocks KIF18A’s plus-end movement on spindle fibers, increasing spindle length, resulting in chromosomal mis-segregation, aneuploidy, and DNA damage. Our findings suggest that ATX020 inhibits CIN+ HGSOC cells mainly by inducing mitotic arrest and DNA damage, disrupting KIF18A’s function crucial for mitosis. Full article
Show Figures

Figure 1

13 pages, 983 KB  
Article
Adipokines as Prognostic Biomarkers in Multiple Myeloma: A Case–Control Study
by Nóra Obajed Al-Ali, Dóra Csige, László Imre Pinczés, Katalin Farkas, István Rebenku, Andrea Domján, György Panyi, Zoltán Szekanecz, Gabriella Szűcs, Árpád Illés and László Váróczy
Medicina 2025, 61(11), 2065; https://doi.org/10.3390/medicina61112065 - 20 Nov 2025
Viewed by 495
Abstract
Background and Objectives: Multiple myeloma (MM) remains an incurable plasma cell malignancy with heterogeneous clinical outcomes. Although current prognostic systems integrate biochemical and cytogenetic parameters, they do not fully capture disease complexity. Adipocytes within the bone marrow microenvironment secrete adipokines that regulate inflammation, [...] Read more.
Background and Objectives: Multiple myeloma (MM) remains an incurable plasma cell malignancy with heterogeneous clinical outcomes. Although current prognostic systems integrate biochemical and cytogenetic parameters, they do not fully capture disease complexity. Adipocytes within the bone marrow microenvironment secrete adipokines that regulate inflammation, metabolism, and immune interactions and may influence disease progression. This study aimed to assess circulating adipokines and related microenvironmental mediators as potential biomarkers of disease activity and treatment response in MM. Materials and Methods: In this case–control, cross-sectional study, the serum levels of eight adipokine-related molecules—adiponectin, leptin, resistin, chemerin, adipsin, thrombospondin-1 (TSP-1), paraoxonase-1 (PON-1), and myeloperoxidase (MPO)—were measured in 40 MM patients and 38 age- and sex-matched healthy controls. Enzyme-linked immunosorbent assays (ELISA) and bead-based multiplex immunoassays were used. Associations with prognostic markers (serum β2-microglobulin (sB2M), LDH, albumin, hemoglobin, renal function) and treatment response were analyzed using correlation and non-parametric statistical methods. Results: Compared to the controls, MM patients exhibited significantly higher circulating levels of adiponectin, resistin, chemerin, adipsin, TSP-1, and MPO, while leptin was decreased. Among clinical correlations, chemerin and PON-1 correlated positively with sB2M, TSP-1 correlated with LDH, and MPO correlated with M-protein and albumin. Resistin was lower in patients with renal impairment and an advanced disease stage. Adiponectin and TSP-1 were significantly lower in progressive disease compared to complete remission, suggesting their potential association with treatment response. Conclusions: This study demonstrates that multiple adipokines are dysregulated in MM and exhibit distinct associations with disease burden, renal function, and therapeutic response. Novel associations identified for TSP-1, PON-1, and adipsin highlight previously unrecognized microenvironmental pathways in MM biology. Adipokine profiling may complement established prognostic markers and provide new insights into the tumour microenvironment in MM. Full article
(This article belongs to the Special Issue Hematologic Malignancies: Diagnosis, Prognosis and Management)
Show Figures

Figure 1

19 pages, 3018 KB  
Article
Europium Complex-Loaded Albumin Nanoparticles as Probes for Time-Resolved Luminescent Immunoassay
by Zarina Galaeva, Maria Bochkova, Mikhail Rayev and Pavel Khramtsov
Biosensors 2025, 15(11), 761; https://doi.org/10.3390/bios15110761 - 17 Nov 2025
Viewed by 799
Abstract
We report the first analytical application of albumin nanoparticles loaded with luminescent europium complexes for immunoassay development. These nanoparticles, synthesized via a desolvation method, exhibited a uniform spherical morphology with a hydrodynamic diameter of 263 nm and strong, long-lived luminescence at 615 nm [...] Read more.
We report the first analytical application of albumin nanoparticles loaded with luminescent europium complexes for immunoassay development. These nanoparticles, synthesized via a desolvation method, exhibited a uniform spherical morphology with a hydrodynamic diameter of 263 nm and strong, long-lived luminescence at 615 nm (λex = 360 nm). Surface functionalization with streptavidin enabled specific binding to biotinylated proteins. The nanoparticles were applied as labels in a sandwich time-resolved solid-phase immunoassay for human IgG detection in black 96-well plates. Unlike commercial DELFIA assays, the method eliminates the need for signal enhancement steps, as the nanoparticles intrinsically contain high concentrations of europium complexes. Optimization studies revealed that the sharp emission peaks of europium can compromise assay reproducibility; however, employing surface scanning and increasing measurement replicates per well partially mitigated this effect. Time-resolved detection reduced background by two orders of magnitude and increased signal intensity nearly tenfold in IgG-positive samples. The assay demonstrated minimal cross-reactivity with IgA and IgM (~2%) and enabled IgG detection at serum dilutions up to 1:100,000. Comparative analysis showed strong concordance with commercial immunoassays and no concentration-dependent bias. The primary limitation observed was suboptimal intra-assay reproducibility (CV > 20% in four of six tested sera). Full article
Show Figures

Figure 1

17 pages, 1034 KB  
Article
Development of Immunoenzyme Assay of Herbicide Acetochlor and Its Application to Soil Testing with Comparison of Sample Preparation Techniques
by Anna N. Berlina, Anatoly V. Zherdev and Boris B. Dzantiev
Soil Syst. 2025, 9(4), 127; https://doi.org/10.3390/soilsystems9040127 - 13 Nov 2025
Viewed by 558
Abstract
Acetochlor is a selective herbicide affecting weeds of cereal plants. Its analysis in soils allows accessing their suitability for crops and risks of contamination of agricultural products. The aim of this study was to develop a microplate enzyme immunoassay for the determination of [...] Read more.
Acetochlor is a selective herbicide affecting weeds of cereal plants. Its analysis in soils allows accessing their suitability for crops and risks of contamination of agricultural products. The aim of this study was to develop a microplate enzyme immunoassay for the determination of acetochlor in soil extracts. For the development, rabbit antibodies specific to acetochlor were obtained by immunization with a conjugate of carrier protein with a derivative of acetochlor with mercaptopropionic acid. Another derivative with mercaptosuccinic acid was applied for immobilization on the solid phase. In the study, organic extracts have been obtained from soil varying solvents and their ratios, and using QuEChERS protocol. The extracts have been tested to estimate residual influences of the sample matrix. Optimal conditions for the immunoassay were selected, appropriate sample preparation techniques, and the composition of the medium for competitive immune interaction. The most effective approach involved dichloromethane extraction, followed by careful evaporation and subsequent reconstitution of the dry residue in a 10 mM phosphate-buffer solution supplemented with 0.1% gelatin. The resulting analytical system exhibited a detection limit of 59.4 ng/mL for acetochlor, with a working range spanning from 112 to 965 ng/mL. Taking into account the soil sample preparation, the LOD was estimated as 0.3 µg/g with the working range from 0.66 to 5.7 µg/g of soil. Analysis of prepared extracts from gray forest soil demonstrated a revealing of acetochlor between 74% and 124%. Full article
Show Figures

Figure 1

19 pages, 2162 KB  
Article
Optimization by the 4S Sequential Experimental Design Process of a Competitive Lateral Flow Immunoassay Device for the Detection of Aflatoxin B1
by Simone Cavalera, Sofia Stanzani, Thea Serra, Valentina Testa, Fabio Di Nardo, Claudio Baggiani and Laura Anfossi
Toxins 2025, 17(11), 557; https://doi.org/10.3390/toxins17110557 - 13 Nov 2025
Viewed by 751
Abstract
Aflatoxin B1 (AFB1) is a highly toxic and carcinogenic compound produced by certain fungi (e.g., Aspergillus flavus and Aspergillus parasiticus). Rapid and ultra-sensitive detection methods for AFB1 in various commodities are in high demand. This study aimed to enhance the sensitivity of [...] Read more.
Aflatoxin B1 (AFB1) is a highly toxic and carcinogenic compound produced by certain fungi (e.g., Aspergillus flavus and Aspergillus parasiticus). Rapid and ultra-sensitive detection methods for AFB1 in various commodities are in high demand. This study aimed to enhance the sensitivity of a competitive lateral flow immunoassay (LFIA) for AFB1 detection by leveraging a previously developed experimental design strategy, named 4S. This approach comprises four phases—START, SHIFT, SHARPEN, and STOP—and involves the analysis of two reference conditions: NEG (0 ng/mL AFB1) and POS (1 ng/mL AFB1). By generating and overlaying response surfaces, regions of optimal NEG signal and POS/NEG signal ratio (IC%) were identified. Four variables were optimized: two related to the labeled antibody (its concentration and antibody-to-label ratio) and two to the competitor antigen (its concentration and hapten-to-protein ratio). An initial design defined the parameter space, while three subsequent designs did not yield further improvements in sensitivity. A strong anti-correlation was observed between the IC% and competitor parameters. The optimized LFIA-1 exhibited enhanced sensitivity, achieving a limit of detection of 0.027 ng/mL compared to 0.1 ng/mL for the original device. Additionally, the amount of expensive antibody required for device fabrication was reduced by around a factor of four. Full article
(This article belongs to the Section Mycotoxins)
Show Figures

Figure 1

Back to TopTop