Sign in to use this feature.

Years

Between: -

Subjects

remove_circle_outline
remove_circle_outline
remove_circle_outline
remove_circle_outline
remove_circle_outline
remove_circle_outline
remove_circle_outline
remove_circle_outline
remove_circle_outline

Journals

Article Types

Countries / Regions

remove_circle_outline
remove_circle_outline
remove_circle_outline
remove_circle_outline

Search Results (183)

Search Parameters:
Keywords = properties of nanoparticles–reinforced polymers

Order results
Result details
Results per page
Select all
Export citation of selected articles as:
25 pages, 9154 KB  
Article
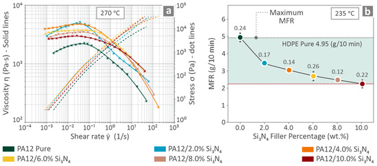
Optimization of Silicon Nitride Nanopowder Content in Polyamide 12 (PA12) in Extrusion-Based Additive Manufacturing
by Markos Petousis, Apostolos Korlos, Nikolaos Michailidis, Vassilis M. Papadakis, Apostolos Argyros, Nikolaos Mountakis, Maria Spyridaki, Athena Maniadi, Amalia Moutsopoulou and Nectarios Vidakis
Nanomaterials 2026, 16(1), 47; https://doi.org/10.3390/nano16010047 (registering DOI) - 29 Dec 2025
Viewed by 33
Abstract
The use of polyamide-12 (PA12) thermoplastics in additive manufacturing (AM) is promising owing to their mechanical properties and printability. However, in load-bearing applications, improvements in mechanical strength and stiffness are sought after. Herein, the reinforcement efficiency of silicon nitride (Si3N4 [...] Read more.
The use of polyamide-12 (PA12) thermoplastics in additive manufacturing (AM) is promising owing to their mechanical properties and printability. However, in load-bearing applications, improvements in mechanical strength and stiffness are sought after. Herein, the reinforcement efficiency of silicon nitride (Si3N4) nanoparticles in the PA12 matrix was explored. The filler loading varied between 2.0 wt. % and 10.0 wt. %. The nanocomposites were extruded into filament using melt compounding for subsequent material extrusion (MEX) 3D printing. PA12/Si3N4 nanocomposites were examined for their thermal, rheological, morphological, and structural characteristics. For mechanical characterization, flexural, tensile, microhardness, and Charpy impact data were obtained. For structural examination, porosity and dimensional deviation were assessed. Scanning electron microscopy (SEM) was used to investigate morphology and chemical composition. The results indicate that Si3N4 nanopowder significantly improved all mechanical properties, with a greater than 20% increase in tensile strength and elastic modulus when compared to neat PA12. The structural characteristics were also improved. These findings indicate that Si3N4 nanoparticles provide a viable reinforcement filler for PA12 for use in lightweight, robust structural components fabricated using MEX AM. Furthermore, it can be stated that ceramic–polymer nanocomposites further improve the applicability of PA12, where high mechanical performance is required. Full article
(This article belongs to the Section Nanofabrication and Nanomanufacturing)
Show Figures

Graphical abstract

19 pages, 3800 KB  
Article
The Size Effects of Modified Nano-Silica on the Physical Properties of Resorcinol-Poly(acrylamide-co-2-acrylamido-2-methylpropanesulfonic acid) Gels in Harsh Reservoir Conditions
by Xun Zhong, Yuxuan Yang, Jiating Chen, Yudan Dong, Sheng Lei, Hui Zhao, Hong He and Lifeng Chen
Gels 2025, 11(10), 769; https://doi.org/10.3390/gels11100769 - 24 Sep 2025
Viewed by 569
Abstract
Nano-silica is widely used to enhance gel properties, but its size, concentrations, and aggregation behaviors all matter. The influencing rules of these factors remain unclear especially in harsh reservoir conditions. This study presented a comprehensive investigation into the gelation, rheological, and plugging properties [...] Read more.
Nano-silica is widely used to enhance gel properties, but its size, concentrations, and aggregation behaviors all matter. The influencing rules of these factors remain unclear especially in harsh reservoir conditions. This study presented a comprehensive investigation into the gelation, rheological, and plugging properties of phenolic polymer gels reinforced by modified nano-silica (GSNP) of different sizes and concentrations in harsh reservoir conditions. Specifically, the nano-silica was modified with a highly soluble silane, and gel properties were evaluated through rheological, differential scanning calorimetry (DSC), and sandpack flooding tests. The results showed that the incorporation of GSNP prolonged the gelation time, enhanced gel strength, and improved stability, allowing the gelation solution to enter deeper into the formation while maintaining long-time effectiveness. The optimal gel system was obtained with 0.4 wt.% GSNP-30, under which condition the storage modulus increased by approximately 14 times, and the content of non-freezable bound water more than doubled. This system exhibited plugging efficiency exceeding 80% in formations with permeabilities ranging from 1000 to 6000 millidarcy and enhanced the oil recovery factor by over 25%. The reinforcement mechanisms were attributed to the adsorption of GSNP onto polymer chains and its role in filling the gel matrix, which enhanced polymer hydrophilicity, suppressed polymer aggregation/curling, prevented ion penetration, and promoted the formation of a more uniform gel network. Careful optimization of nanoparticle size and concentration was essential to avoid the detrimental effects due to nanoparticle overfilling and aggregation. The novelty of this study lies in the practicable formulation of thermal and salt-tolerant gel systems with facile modified nano-silica of varying sizes and the systematic study of size and concentration effects. These findings offer practical guidance for tailoring nanoparticle parameters to cater for high-temperature and high-salinity reservoir conditions. Full article
(This article belongs to the Section Gel Applications)
Show Figures

Figure 1

12 pages, 1334 KB  
Article
Improving Bonding Durability in Dental Restorations: The Impact of Bioactive and Reinforcement Particles on Universal Adhesives
by William Cunha Brandt, Isaías Donizeti Silva, Andreia Carneiro Matos, Flávia Gonçalves and Leticia Boaro
Materials 2025, 18(19), 4433; https://doi.org/10.3390/ma18194433 - 23 Sep 2025
Viewed by 619
Abstract
Objective: This study aimed to evaluate the effect of incorporating bioactive particles (montmorillonite loaded with chlorhexidine, MMT/CHX) and different concentrations of silica nanoparticles (0%, 3%, 5%, 7%, 10%, and 15 wt%) into a universal dental adhesive on its degree of conversion, bond strength, [...] Read more.
Objective: This study aimed to evaluate the effect of incorporating bioactive particles (montmorillonite loaded with chlorhexidine, MMT/CHX) and different concentrations of silica nanoparticles (0%, 3%, 5%, 7%, 10%, and 15 wt%) into a universal dental adhesive on its degree of conversion, bond strength, water sorption, solubility, and antimicrobial activity. Materials and Methods: A universal adhesive was modified with 1 wt% MMT/CHX and varying amounts of silica nanoparticles. Degree of conversion was analyzed by Fourier transform infrared spectroscopy (FTIR), and microtensile bond strength was evaluated at 24 h, 6 months, and 12 months after water storage. Water sorption and solubility were measured according to ISO 4049, and antibacterial activity was tested against Streptococcus mutans using the agar diffusion method. Results: All experimental adhesives containing ≥7% silica showed significantly reduced water sorption and solubility. The presence of MMT/CHX imparted consistent antimicrobial activity across all experimental groups. Degree of conversion remained stable across all groups and storage periods. Notably, after 12 months, only the experimental groups maintained or improved bond strength, while the control group showed a significant reduction. Failure mode analysis indicated increased mechanical integrity with higher filler content. Conclusions: Incorporating 1 wt% MMT/CHX and ≥7 wt% silica into a universal adhesive improved long-term bond strength, reduced degradation, and introduced antibacterial properties without compromising polymer conversion. These findings support the potential of developing durable, bioactive adhesive systems for restorative dentistry. Clinical Significance: The incorporation of bioactive and reinforcing nanoparticles into universal adhesives enhances bond durability and introduces antibacterial properties without compromising polymerization. This innovation may lead to longer-lasting restorations and reduced risk of secondary caries in clinical practice. Full article
(This article belongs to the Special Issue Recent Research in Restorative Dental Materials)
Show Figures

Figure 1

17 pages, 3324 KB  
Article
Silica Nanoparticle-Reinforced Bioactive Oxidized Alginate/Polyacrylamide–Gelatin Interpenetrating Polymer Network Composite Hydrogels
by Yanan Bu, Jiayi Liu, Jiji Fan, Xiuqiong Chen, Huiqiong Yan and Qiang Lin
Gels 2025, 11(9), 748; https://doi.org/10.3390/gels11090748 - 17 Sep 2025
Cited by 1 | Viewed by 820
Abstract
Alginate hydrogels are promising tissue engineering biomaterials due to their biocompatibility and structural similarity to the extracellular matrix, but their poor mechanical strength, rapid degradation, and lack of bioactivity limit applications. To address this, a novel oxidized alginate/polyacrylamide/silica nanoparticle–gelatin (OA/PAAm/SiO2-GT) composite [...] Read more.
Alginate hydrogels are promising tissue engineering biomaterials due to their biocompatibility and structural similarity to the extracellular matrix, but their poor mechanical strength, rapid degradation, and lack of bioactivity limit applications. To address this, a novel oxidized alginate/polyacrylamide/silica nanoparticle–gelatin (OA/PAAm/SiO2-GT) composite hydrogel was developed using an interpenetrating polymer network (IPN) strategy, reinforced with silica nanoparticles and coated with gelatin. The influence of SiO2 content on the microstructure, mechanical properties, swelling behavior, biodegradability, biomineralization, and cytocompatibility of the composite hydrogel was systematically investigated. Experimental results revealed that SiO2 nanoparticles interacted with the polymer matrix within the composite hydrogel. With increasing content of SiO2, the porosity of the OA/PAAm/SiO2-GT composite hydrogel gradually decreased, while the mechanical properties exhibited a trend of initial enhancement followed by reduction, with maximum compressive strength at a SiO2 content of 1.0% (w/v). Moreover, the incorporation of SiO2 nanoparticles effectively modulated the swelling behavior, biodegradability, and biomineralization capacity of the composite hydrogel under in vitro conditions. Meanwhile, the OA/PAAm/SiO2-GT composite hydrogel supported favorable cell adhesion and proliferation, optimal at a SiO2 content of 0.5% (w/v). Furthermore, with increasing concentration of SiO2 nanoparticles, the intracellular alkaline phosphatase (ALP) activity progressively increased, suggesting a promotive effect of SiO2 nanoparticles on the osteogenic differentiation of MG63 cells. Therefore, the incorporation of SiO2 nanoparticles into the OA/PAAm IPN matrices provides an effective means to tailor its biological properties, rendering it great potential for biomedical applications such as tissue engineering. Full article
Show Figures

Figure 1

37 pages, 5147 KB  
Review
Next-Generation Wound Healing Materials: Role of Biopolymers and Their Composites
by Jonghyuk Park and Ranjit De
Polymers 2025, 17(16), 2244; https://doi.org/10.3390/polym17162244 - 19 Aug 2025
Cited by 2 | Viewed by 4181
Abstract
The progress in biopolymers and their composites as advanced materials for wound healing has revolutionized therapeutic approaches for skin regeneration. These materials can effectively integrate their inherent biocompatibility and biodegradability with the enhanced mechanical strength and customizable properties of polymers and functional additives. [...] Read more.
The progress in biopolymers and their composites as advanced materials for wound healing has revolutionized therapeutic approaches for skin regeneration. These materials can effectively integrate their inherent biocompatibility and biodegradability with the enhanced mechanical strength and customizable properties of polymers and functional additives. This review presents a detailed investigation of the design principles, classifications, and biomedical applications of biopolymeric composites, focusing on their capabilities to promote angiogenesis, exhibit antimicrobial activities, and facilitate controlled drug delivery. By overcoming the challenges of conventional wound dressings, such as inadequate exudate management, mechanical fragility, and cytotoxicity, these composites provide dynamic, stimuli-responsive platforms that can adapt to the wound microenvironment. This study further highlights innovative advances in nanoparticle-assisted reinforcement, fiber-based scaffolds, and multi-stimuli responsive smart delivery systems. Finally, the future perspective illustrates how the challenges related to long-term physiological stability, scalable manufacturing, and clinical implementation can be addressed. Overall, this article delivers a comprehensive framework for understanding the transformative impact of biopolymeric composites in next-generation wound care. Full article
(This article belongs to the Special Issue Advanced Polymeric Composite for Drug Delivery Application)
Show Figures

Graphical abstract

17 pages, 2849 KB  
Article
Synthesis, Characterization, and Properties of Polyvinyl Alcohol/Jackfruit Peel Carboxymethylcellulose/Graphene Oxide/Kaolin Composite Hydrogels
by Shumin Liu, Jing Ma, Fuqi Yang, Hailin Ye, Yu Liang, Yijia Deng, Jianrong Li and Rundong Wang
Gels 2025, 11(8), 626; https://doi.org/10.3390/gels11080626 - 9 Aug 2025
Cited by 1 | Viewed by 962
Abstract
This study presents an environmentally benign composite hydrogel system by combining polyvinyl alcohol (PVA) with carboxymethyl cellulose derived from jackfruit peel waste (JCMC), subsequently reinforced with graphene oxide (GO) and Kaolin nanoparticles for enhanced Congo red (CR) adsorption. The structural properties of the [...] Read more.
This study presents an environmentally benign composite hydrogel system by combining polyvinyl alcohol (PVA) with carboxymethyl cellulose derived from jackfruit peel waste (JCMC), subsequently reinforced with graphene oxide (GO) and Kaolin nanoparticles for enhanced Congo red (CR) adsorption. The structural properties of the synthesized hydrogels were comprehensively characterized using Fourier transform infrared spectroscopy (FTIR), X-ray diffraction (XRD), and scanning electron microscopy (SEM). FTIR analysis confirmed hydrogel formation through hydrogen bonding interactions, while XRD and SEM revealed the uniform dispersion of GO and Kaolin within the polymer matrix, resulting in an improved adsorption performance. Furthermore, the adsorption efficiency of the composite hydrogels was systematically evaluated under varying conditions, including solution pH, contact time, temperature, and initial CR concentration. Optimal CR removal (92.3%) was achieved at pH 8.0, with equilibrium attained within 90 min. The adsorption kinetics were best fitted by the pseudo-second-order model (R2 = 0.9998), confirming a chemisorption-dominated process. The equilibrium adsorption data were accurately described by the Langmuir isotherm model, indicating monolayer coverage with an exceptional maximum capacity of 200.80 mg/g. These findings highlight the superior adsorption performance of the PVA/JCMC/GO/Kaolin hydrogels, attributed to their tailored physicochemical properties and synergistic interactions among components. This study offers both sustainable jackfruit peel waste valorization and an effective solution for anionic dye removal in wastewater treatment. Full article
(This article belongs to the Special Issue Food Gels: Structure and Properties (2nd Edition))
Show Figures

Figure 1

28 pages, 2183 KB  
Review
Production Technologies and Application of Polymer Composites in Engineering: A Review
by Milan Bukvić, Saša Milojević, Sandra Gajević, Momčilo Đorđević and Blaža Stojanović
Polymers 2025, 17(16), 2187; https://doi.org/10.3390/polym17162187 - 9 Aug 2025
Cited by 10 | Viewed by 5135
Abstract
Composite materials have been increasingly used in various branches of industry, transport, construction, and medicine—as well as in other sectors of the economy and science—in recent decades. A significant advancement in the improvement of composite material characteristics has been achieved through the use [...] Read more.
Composite materials have been increasingly used in various branches of industry, transport, construction, and medicine—as well as in other sectors of the economy and science—in recent decades. A significant advancement in the improvement of composite material characteristics has been achieved through the use of nanoparticles, which substantially enhance the properties of the base material, whether it is the matrix or the reinforcing phase in hybrid composites. The broad application of polymers and polymer composites in many areas of engineering has had a significant impact on reducing friction and wear, improving the thermal characteristics of individual components and entire technical systems, enhancing electrical conductivity, reducing the specific weight of components, lowering noise and vibration levels, and ultimately decreasing fuel consumption, production costs, and the costs of operation and maintenance of technical systems. This paper explores the potential applications of polymer composites in various assemblies and components of conventional vehicles, as well as in hybrid and electric vehicles. Furthermore, their use in medicine and the defense industry is examined—fields in which some authors believe composites were first pioneered. Finally, aviation represents an indispensable domain for the application of such materials, presenting unique exploitation boundary conditions, including dynamic environmental changes such as variations in temperature, pressure, velocity, and direction, as well as the need for high levels of protection. Future research can be unequivocally focused on the structural and technological advancement of polymer composites, specifically through optimization aimed at reducing waste and lowering production costs. Full article
(This article belongs to the Special Issue Polymeric Composites: Manufacturing, Processing and Applications)
Show Figures

Figure 1

28 pages, 2611 KB  
Article
Bioactive Properties of Chitosan/Nanocellulose Films Loaded with Sage Essential Oil: From In Vitro Study to In Situ Application in Shelf-Life Extension of Fresh Poultry Meat
by João R. A. Pires, Raquel Pereira, Sara Paz, Leandro A. Gomes, Victor G. L. Souza, Maria H. Godinho, Maria P. Duarte and Ana L. Fernando
J. Compos. Sci. 2025, 9(8), 428; https://doi.org/10.3390/jcs9080428 - 8 Aug 2025
Viewed by 1619
Abstract
The overuse of nonrenewable resources has motivated intensive research and the development of new types of green bio-based and degradable feedstocks derived from natural sources, such as cellulose derivates, also in nanoforms. The inclusion of such nanoparticles in bio-based polymers with the aim [...] Read more.
The overuse of nonrenewable resources has motivated intensive research and the development of new types of green bio-based and degradable feedstocks derived from natural sources, such as cellulose derivates, also in nanoforms. The inclusion of such nanoparticles in bio-based polymers with the aim of providing reinforcement is a trend, which, when associated with the incorporation active compounds, creates active packaging suitable for the packaging of highly perishable food, thus contributing to the product’s shelf-life extension. Chitosan (Ch)/sage essential oil (SEO) bionanocomposite reinforced with nanocrystalline cellulose (CNC) was cast as active packaging for the preservation of fresh poultry meat. Meat samples were wrapped in different bioplastics (pristine chitosan, chitosan with commercial CNC, chitosan with CNC obtained from three different lignocellulosic crops, giant reed (G), kenaf (K), and miscanthus (M), chitosan with SEO, and chitosan with SEO and CNC), while unwrapped samples were tested as the control. Periodically, samples were evaluated in terms of their physicochemical properties and microbial growth. Additionally, bionanocomposites were also evaluated in terms of their in situ antimicrobial properties, as well as migration toward food simulants. Meat samples protected with bionanocomposites showed lower levels of microbiological growth (2–3 logs lower than control) and lipid oxidation (20–30% lower than in control), over time. This was attributed to the intrinsic antimicrobial capacity of chitosan and the high oxygen barrier properties of the films resulting from the CNC inclusion. The SEO incorporation did not significantly improve the material’s antimicrobial and antioxidant activity yet interfered directly with the meat’s color as it migrated to its surface. In the in vitro assays, all bionanocomposites demonstrated good antimicrobial activity against B. cereus (reduction of ~8.2 log) and Salmonella Choleraesuis (reduction of ~5–6 log). Through the in vitro migration assay, it was verified that the SEO release rate of phenolic compounds to ethanol 50% (dairy products simulate) was higher than to ethanol 95% (fatty food simulate). Furthermore, these migration tests proved that nanocellulose was capable of delaying SEO migration, thus reducing the negative effect on the meat’s color and the pro-oxidant activity recorded in TBARS. It was concluded that the tested chitosan/nanocellulose bionanocomposites increased the shelf life of fresh poultry meat. Full article
(This article belongs to the Section Biocomposites)
Show Figures

Graphical abstract

16 pages, 1981 KB  
Article
Computational Design of Mineral-Based Materials: Iron Oxide Nanoparticle-Functionalized Polymeric Films for Enhanced Public Water Purification
by Iustina Popescu, Alina Ruxandra Caramitu, Adriana Mariana Borș, Mihaela-Amalia Diminescu and Liliana Irina Stoian
Polymers 2025, 17(15), 2106; https://doi.org/10.3390/polym17152106 - 31 Jul 2025
Viewed by 856
Abstract
Heavy metal contamination in natural waters and soils poses a significant environmental challenge, necessitating efficient and sustainable water treatment solutions. This study presents the computational design of low-density polyethylene (LDPE) films functionalized with iron oxide (Fe3O4) nanoparticles (NPs) for [...] Read more.
Heavy metal contamination in natural waters and soils poses a significant environmental challenge, necessitating efficient and sustainable water treatment solutions. This study presents the computational design of low-density polyethylene (LDPE) films functionalized with iron oxide (Fe3O4) nanoparticles (NPs) for enhanced water purification applications. Composite materials containing 5%, 10%, and 15% were synthesized and characterized in terms of adsorption efficiency, surface morphology, and reusability. Advanced molecular modeling using BIOVIA Pipeline was employed to investigate charge distribution, functional group behaviour, and atomic-scale interactions between polymer chains and metal ions. The computational results revealed structure–property relationships crucial for optimizing adsorption performance and understanding geochemically driven interaction mechanisms. The LDPE/Fe3O4 composites demonstrated significant removal efficiency of Cu2+ and Ni2+ ions, along with favourable mechanical properties and regeneration potential. These findings highlight the synergistic role of mineral–polymer interfaces in water remediation, presenting a scalable approach to designing multifunctional polymeric materials for environmental applications. This study contributes to the growing field of polymer-based adsorbents, reinforcing their value in sustainable water treatment technologies and environmental protection efforts. Full article
(This article belongs to the Special Issue Polymer-Based Coatings: Principles, Development and Applications)
Show Figures

Graphical abstract

17 pages, 3389 KB  
Article
Enhanced OH Transport Properties of Bio-Based Anion-Exchange Membranes for Different Applications
by Suer Kurklu-Kocaoglu, Daniela Ramírez-Espinosa and Clara Casado-Coterillo
Membranes 2025, 15(8), 229; https://doi.org/10.3390/membranes15080229 - 31 Jul 2025
Cited by 1 | Viewed by 1698
Abstract
The demand for anion exchange membranes (AEMs) is growing due to their applications in water electrolysis, CO2 reduction conversion and fuel cells, as well as water treatment, driven by the increasing energy demand and the need for a sustainable future. However, current [...] Read more.
The demand for anion exchange membranes (AEMs) is growing due to their applications in water electrolysis, CO2 reduction conversion and fuel cells, as well as water treatment, driven by the increasing energy demand and the need for a sustainable future. However, current AEMs still face challenges, such as insufficient permeability and stability in strongly acidic or alkaline media, which limit their durability and the sustainability of membrane fabrication. In this study, polyvinyl alcohol (PVA) and chitosan (CS) biopolymers are selected for membrane preparation. Zinc oxide (ZnO) and porous organic polymer (POP) nanoparticles are also introduced within the PVA-CS polymer blends to make mixed-matrix membranes (MMMs) with increased OH transport sites. The membranes are characterized based on typical properties for AEM applications, such as thickness, water uptake, KOH uptake, Cl and OH permeability and ion exchange capacity (IEC). The OH transport of the PVA-CS blend is increased by at least 94.2% compared with commercial membranes. The incorporation of non-porous ZnO and porous POP nanoparticles into the polymer blend does not compromise the OH transport properties. On the contrary, ZnO nanoparticles enhance the membrane’s water retention capacity, provide basic surface sites that facilitate hydroxide ion conduction and reinforce the mechanical and thermal stability. In parallel, POPs introduce a highly porous architecture that increases the internal surface area and promotes the formation of continuous hydrated pathways, essential to efficient OH mobility. Furthermore, the presence of POPs also contributes to reinforcing the mechanical integrity of the membrane. Thus, PVA-CS bio-based membranes are a promising alternative to conventional ion exchange membranes for various applications. Full article
(This article belongs to the Special Issue Membrane Technologies for Water Purification)
Show Figures

Figure 1

16 pages, 1870 KB  
Review
Recent Advances in the Development and Industrial Applications of Wax Inhibitors: A Comprehensive Review of Nano, Green, and Classic Materials Approaches
by Parham Joolaei Ahranjani, Hamed Sadatfaraji, Kamine Dehghan, Vaibhav A. Edlabadkar, Prasant Khadka, Ifeanyi Nwobodo, VN Ramachander Turaga, Justin Disney and Hamid Rashidi Nodeh
J. Compos. Sci. 2025, 9(8), 395; https://doi.org/10.3390/jcs9080395 - 26 Jul 2025
Cited by 1 | Viewed by 1586
Abstract
Wax deposition, driven by the crystallization of long-chain n-alkanes, poses severe challenges across industries such as petroleum, oil and natural gas, food processing, and chemical manufacturing. This phenomenon compromises flow efficiency, increases energy demands, and necessitates costly maintenance interventions. Wax inhibitors, designed to [...] Read more.
Wax deposition, driven by the crystallization of long-chain n-alkanes, poses severe challenges across industries such as petroleum, oil and natural gas, food processing, and chemical manufacturing. This phenomenon compromises flow efficiency, increases energy demands, and necessitates costly maintenance interventions. Wax inhibitors, designed to mitigate these issues, operate by altering wax crystallization, aggregation, and adhesion over the pipelines. Classic wax inhibitors, comprising synthetic polymers and natural compounds, have been widely utilized due to their established efficiency and scalability. However, synthetic inhibitors face environmental concerns, while natural inhibitors exhibit reduced performance under extreme conditions. The advent of nano-based wax inhibitors has revolutionized wax management strategies. These advanced materials, including nanoparticles, nanoemulsions, and nanocomposites, leverage their high surface area and tunable interfacial properties to enhance efficiency, particularly in harsh environments. While offering superior performance, nano-based inhibitors are constrained by high production costs, scalability challenges, and potential environmental risks. In parallel, the development of “green” wax inhibitors derived from renewable resources such as vegetable oils addresses sustainability demands. These eco-friendly formulations introduce functionalities that reinforce inhibitory interactions with wax crystals, enabling effective deposition control while reducing reliance on synthetic components. This review provides a comprehensive analysis of the mechanisms, applications, and comparative performance of classic and nano-based wax inhibitors. It highlights the growing integration of sustainable and hybrid approaches that combine the reliability of classic inhibitors with the advanced capabilities of nano-based systems. Future directions emphasize the need for cost-effective, eco-friendly solutions through innovations in material science, computational modeling, and biotechnology. Full article
(This article belongs to the Section Composites Manufacturing and Processing)
Show Figures

Figure 1

26 pages, 4992 KB  
Article
Composites from Recycled HDPE and ZnO Nanopowder with Improved Insulation and Weathering Features for Cable Jacketing Applications
by Alina Ruxandra Caramitu, Magdalena Valentina Lungu, Romeo Cristian Ciobanu, Ioana Ion, Eduard Marius Lungulescu, Gabriela Beatrice Sbarcea, Virgil Emanuel Marinescu, Sebastian Aradoaei, Mihaela Aradoaei and Raducu Machidon
Polymers 2025, 17(14), 1987; https://doi.org/10.3390/polym17141987 - 20 Jul 2025
Viewed by 819
Abstract
In this study, polymer matrix composites based on high-density polyethylene (HDPE) and recycled HDPE (HDPEr) were reinforced with zinc oxide nanoparticles (ZnO NPs). Four formulations (M1-M4) with HDPE/HDPEr/ZnO NP mass ratios of 50/50/0, 48/47/5, 45/45/10, and 43/42/15 were produced via melt injection molding. [...] Read more.
In this study, polymer matrix composites based on high-density polyethylene (HDPE) and recycled HDPE (HDPEr) were reinforced with zinc oxide nanoparticles (ZnO NPs). Four formulations (M1-M4) with HDPE/HDPEr/ZnO NP mass ratios of 50/50/0, 48/47/5, 45/45/10, and 43/42/15 were produced via melt injection molding. Disc-shaped samples (Ø30 ± 0.1 mm × 2 ± 0.1 mm) were evaluated in unaged and aged states (840 h at 100% humidity and 100 °C) using scanning electron microscopy, X-ray diffraction, ultraviolet–visible and Fourier-transform infrared spectroscopy, water absorption, thermal resistance, and mechanical and dielectric testing. Among all composites, M2 showed the best performance, with the highest aging resistance (estimated lifetime of 3891 h in humidity and 2361 h in heat). It also exhibited superior mechanical properties, with the highest indentation hardness, Vickers hardness, and elastic modulus before (0.042 GPa, 3.846 HV, and 0.732 GPa) and after aging under humidity (0.042 GPa, 3.932 HV, 0.706 GPa) and elevated temperature (0.085 GPa, 7.818 HV, 1.871 GPa). Although ZnO NPs slightly reduced electrical resistivity, M2 showed the most stable dielectric properties. In its unaged state, M2 had 22%, 30%, and 3% lower surface resistivity, volume resistivity, and dielectric strength, respectively, than M1 polymer. M2 was identified as the optimal formulation, combining mechanical strength, dielectric stability, and resistance to moisture and heat. Full article
(This article belongs to the Section Polymer Composites and Nanocomposites)
Show Figures

Figure 1

23 pages, 3122 KB  
Article
Investigation of Anti-Corrosion Behavior of Epoxy-Based Tannic Acid/Benzoxazine and Embedded ZnO Nanocomposites
by Khalid A. Alamry, Hafsah Klfout and Mahmoud A. Hussein
Catalysts 2025, 15(7), 644; https://doi.org/10.3390/catal15070644 - 1 Jul 2025
Cited by 1 | Viewed by 1570
Abstract
Corrosion is a major issue in many industries, leading to material degradation, increased maintenance costs, and safety hazards. Conventional protective coatings frequently rely on hazardous chemicals, which has driven demand for environmentally friendly materials that can enhance the durability of infrastructure. The present [...] Read more.
Corrosion is a major issue in many industries, leading to material degradation, increased maintenance costs, and safety hazards. Conventional protective coatings frequently rely on hazardous chemicals, which has driven demand for environmentally friendly materials that can enhance the durability of infrastructure. The present study investigates the structural, mechanical, anticorrosive, and tensile properties of a novel polymer composite based on tannic acid-benzoxazine monomer (TA-BZ), reinforced with epoxy resin and zinc oxide (ZnO) nanoparticles. The composite formulations are designated as Epoxy-TA-BZ1-ZnO (A), Epoxy-TA-BZ2-ZnO (B), and Epoxy-TA-BZ4-ZnO (C). The objective of this research is to develop a sustainable material system with improved anticorrosive and mechanical performance. The composites were synthesized through the crosslinking of TA-BZ with epoxy resin and the incorporation of ZnO nanoparticles, known for their corrosion-inhibiting properties and contributions to tensile strength. The materials were evaluated using Fourier Transform Infrared (FT-IR) spectroscopy, Thermogravimetric Analysis (TGA), Differential Scanning Calorimetry (DSC), Scanning Electron Microscopy (SEM), Transmission Electron Microscopy (TEM), potentiodynamic polarization techniques, and tensile testing. Among the tested formulations, Epoxy-TA-BZ4-ZnO exhibited outstanding anticorrosive performance, achieving a minimal corrosion rate of 0.06 mm/year. This performance is attributed to the favorable dispersion of ZnO nanoparticles at 5 wt%, which serve as effective barriers to corrosive agents under the conditions studied. These findings highlight the potential of TA-BZ-based composites as environmentally sustainable alternatives to conventional coatings in corrosion-sensitive applications. Full article
(This article belongs to the Section Catalytic Materials)
Show Figures

Figure 1

17 pages, 4709 KB  
Article
Preparation of Particle-Reinforced Resin Using Highly Functional ZnO Particle Filler Driven by Supramolecular Interactions
by Haruka Nakagawa and Kohei Iritani
Materials 2025, 18(13), 2986; https://doi.org/10.3390/ma18132986 - 24 Jun 2025
Viewed by 806
Abstract
The surface modification of zinc oxide nanoparticles (ZnONPs) with organic compounds has been shown to improve their dispersibility. In this study, to develop a highly functional material, ZnONP modified with 6-amino-1-hexanol bearing both amino and hydroxyl functional groups was synthesized. Scanning electron microscopy–energy [...] Read more.
The surface modification of zinc oxide nanoparticles (ZnONPs) with organic compounds has been shown to improve their dispersibility. In this study, to develop a highly functional material, ZnONP modified with 6-amino-1-hexanol bearing both amino and hydroxyl functional groups was synthesized. Scanning electron microscopy–energy dispersive X-ray spectroscopy (SEM-EDS) and X-ray photoelectron spectroscopy (XPS) analyses confirmed that functionalized ZnONP was successfully obtained by a hydrothermal synthetic method. The mechanical properties of composite films of polylactic acid (PLA) reinforced with the functionalized ZnONP were then evaluated. The composite containing functionalized ZnONP exhibited a higher maximum stress than that containing unmodified ZnONP. These ZnONP/polymer composites therefore show promise as novel high-performance materials. Full article
Show Figures

Figure 1

16 pages, 5881 KB  
Article
High-Performance Carbon Black/Fe3O4/Epoxy Nanodielectrics for Electrostatic Energy Storage and Harvesting Solutions
by Sotirios Stavropoulos, Aikaterini Sanida and Georgios Psarras
Energies 2025, 18(12), 3147; https://doi.org/10.3390/en18123147 - 16 Jun 2025
Viewed by 688
Abstract
The present study explores the energy storage and harvesting properties of nanocomposite systems reinforced with carbon black and magnetite nanoparticles (Fe3O4). The systems’ energy storage performance was evaluated under both AC and DC conditions to analyze the impact of [...] Read more.
The present study explores the energy storage and harvesting properties of nanocomposite systems reinforced with carbon black and magnetite nanoparticles (Fe3O4). The systems’ energy storage performance was evaluated under both AC and DC conditions to analyze the impact of temperature, DC charging voltage levels, and varying filler contents on the stored and recovered energy. The experimental findings demonstrated that these systems are capable of efficiently storing and releasing energy on demand via a rapid charge–discharge mechanism. Dynamic mechanical and dielectric analyses revealed significant enhancements in the storage modulus and the energy efficiency of these materials due to the synergistic effects of the nanoparticles and the interactions between them and the polymer matrix. The incorporation of the carbon black and magnetite nanoparticles improves the energy-storage capabilities, supported by augmented interfacial polarization phenomena, which facilitate charge migration and accumulation. These systems exhibit rapid charge and discharge behavior, making them suitable for applications requiring high power density and fast energy storage and recovery cycling. These findings underscore the aptitude of these nanocomposites for high-performance energy-storage solutions, emphasizing their adaptability to applications requiring both high energy density and efficient recovery in tandem with adequate thermomechanical performance. Full article
Show Figures

Figure 1

Back to TopTop