Sign in to use this feature.

Years

Between: -

Subjects

remove_circle_outline
remove_circle_outline
remove_circle_outline
remove_circle_outline
remove_circle_outline
remove_circle_outline
remove_circle_outline
remove_circle_outline
remove_circle_outline

Journals

remove_circle_outline
remove_circle_outline
remove_circle_outline
remove_circle_outline
remove_circle_outline
remove_circle_outline
remove_circle_outline
remove_circle_outline
remove_circle_outline
remove_circle_outline
remove_circle_outline
remove_circle_outline
remove_circle_outline
remove_circle_outline
remove_circle_outline
remove_circle_outline
remove_circle_outline
remove_circle_outline
remove_circle_outline
remove_circle_outline
remove_circle_outline
remove_circle_outline
remove_circle_outline
remove_circle_outline

Article Types

Countries / Regions

remove_circle_outline
remove_circle_outline
remove_circle_outline
remove_circle_outline
remove_circle_outline
remove_circle_outline
remove_circle_outline

Search Results (1,642)

Search Parameters:
Keywords = predictive skill

Order results
Result details
Results per page
Select all
Export citation of selected articles as:
21 pages, 12157 KB  
Article
Background Error Covariance Matrix Structure and Impact in a Regional Tropical Cyclone Forecasting System
by Dongliang Wang, Hong Li, Hongjun Tian and Lin Deng
Remote Sens. 2026, 18(2), 230; https://doi.org/10.3390/rs18020230 - 11 Jan 2026
Abstract
The background error covariance matrix (BE) is a fundamental component of data assimilation (DA) systems. Its impact on both the DA process and subsequent forecast performance depends on model configuration and the types of observations assimilated. However, few studies have specifically examined BE [...] Read more.
The background error covariance matrix (BE) is a fundamental component of data assimilation (DA) systems. Its impact on both the DA process and subsequent forecast performance depends on model configuration and the types of observations assimilated. However, few studies have specifically examined BE behavior in the context of satellite DA for regional tropical cyclone (TC) prediction. In this study, we develop the BE and evaluate its structure for a TC forecasting system over the western North Pacific. A total of six BEs are modeled using three control variable (CV) schemes (aligned with the CV5, CV6, and CV7 options available in the Weather Research and Forecasting DA system (WRFDA)) with training data from two distinct periods: the TC season and the winter season. Results demonstrate that the BE structure is sensitive to the training data used. The performance of TC-season BEs derived from different CV schemes is assessed for TC track forecasting through the assimilation of microwave sounder satellite brightness temperature data. The evaluation is based on a set of 14 cases from 2018 that exhibited large official track forecast errors. The CV7 BE, which uses the x- and y-direction wind components as CVs, captures finer small-scale momentum error features and yields greater forecast improvement at shorter lead-times (24 h). In contrast, the CV6 BE, which employs stream function (ψ) and unbalanced velocity potential (χu) as CVs, incorporates more large-scale momentum error information. The inherent multivariate couplings among analysis variables in this scheme also allow for closer fits to satellite microwave brightness temperature data, which is particularly crucial for forecasting TCs that primarily develop over oceans where conventional observations are scarce. Consequently, it enhances the large-scale environmental field more effectively and delivers superior forecast skill at longer lead times (48 h and 72 h). Full article
(This article belongs to the Section Atmospheric Remote Sensing)
Show Figures

Figure 1

12 pages, 1343 KB  
Article
Statistical Post-Processing of Ensemble LLWS Forecasts Using EMOS: A Case Study at Incheon International Airport
by Chansoo Kim
Appl. Sci. 2026, 16(2), 750; https://doi.org/10.3390/app16020750 - 11 Jan 2026
Abstract
Low-level wind shear (LLWS) is a critical aviation hazard that can cause flight disruptions and pose significant safety risks. Despite its operational importance, forecasting LLWS remains a challenging task. To improve LLWS prediction, probabilistic forecasting approaches based on ensemble prediction systems are increasingly [...] Read more.
Low-level wind shear (LLWS) is a critical aviation hazard that can cause flight disruptions and pose significant safety risks. Despite its operational importance, forecasting LLWS remains a challenging task. To improve LLWS prediction, probabilistic forecasting approaches based on ensemble prediction systems are increasingly used. In this study, LLWS forecasts were generated using a high-resolution, limited-area ensemble model, which allows for the representation of forecast uncertainty and variability in atmospheric conditions. Forecasts for Incheon International Airport were generated twice daily over the period from December 2018 to February 2020. To enhance forecast skill, statistical post-processing techniques, specifically Ensemble Model Output Statistics (EMOS), were applied and calibrated using Aircraft Meteorological Data Relay (AMDAR) observations. Prior to calibration, rank histograms were examined to assess the reliability and distributional consistency of the ensemble forecasts. Forecast performance was evaluated using commonly applied probabilistic verification metrics, including the mean absolute error (MAE), the continuous ranked probability score (CRPS), and probability integral transform (PIT). The results indicate that ensemble forecasts adjusted through statistical post-processing generally provide more reliable and accurate predictions than the unprocessed raw ensemble outputs. Full article
(This article belongs to the Special Issue Advanced Statistical Methods in Environmental and Climate Sciences)
24 pages, 15357 KB  
Article
Quantitative Assessment of Drought Impact on Grassland Productivity in Inner Mongolia Using SPI and Biome-BGC
by Yunjia Ma, Tianjie Lei, Jiabao Wang, Zhitao Lin, Hang Li and Baoyin Liu
Diversity 2026, 18(1), 36; https://doi.org/10.3390/d18010036 - 9 Jan 2026
Viewed by 83
Abstract
Drought poses a severe threat to grassland biodiversity and ecosystem function. However, quantitative frameworks that capture the interactive effects of drought intensity and duration on productivity remain scarce, limiting impact assessment accuracy. To bridge this gap, we developed and validated a novel hybrid [...] Read more.
Drought poses a severe threat to grassland biodiversity and ecosystem function. However, quantitative frameworks that capture the interactive effects of drought intensity and duration on productivity remain scarce, limiting impact assessment accuracy. To bridge this gap, we developed and validated a novel hybrid modeling framework to quantify drought impacts on net primary productivity (NPP) across Inner Mongolia’s major grasslands (1961–2012). Drought was characterized using the Standardized Precipitation Index (SPI), and ecosystem productivity was simulated with the Biome-BGC model. Our core innovation is the hybrid model, which integrates linear and nonlinear components to explicitly capture the compounded, nonlinear influence of combined drought intensity and duration. This represents a significant advance over conventional single-perspective approaches. Key results demonstrate that the hybrid model substantially outperforms linear and nonlinear models alone, yielding highly significant regression equations for all grassland types (meadow, typical, desert; all p < 0.001). Independent validation confirmed its robustness and high predictive skill (NSE ≈ 0.868, RMSE = 20.09 gC/m2/yr). The analysis reveals two critical findings: (1) drought duration is a stronger driver of productivity decline than instantaneous intensity, and (2) desert grasslands are the most vulnerable, followed by typical and meadow grasslands. The hybrid model serves as a practical tool for estimating site-specific productivity loss, directly informing grassland management priorities, adaptive grazing strategies, and early-warning system design. Beyond immediate applications, this framework provides a transferable methodology for assessing drought-induced vulnerability in biodiverse ecosystems, supporting conservation and climate-adaptive management. Full article
(This article belongs to the Special Issue Ecology and Restoration of Grassland—2nd Edition)
Show Figures

Figure 1

16 pages, 499 KB  
Article
Intention to Use Digital Health Among COPD Patients in Europe: A Cluster Analysis
by Solomon Getachew Alem, Le Nguyen, Nadia Hipólito, Maelle Spiller and Esther Metting
Healthcare 2026, 14(2), 178; https://doi.org/10.3390/healthcare14020178 - 9 Jan 2026
Viewed by 159
Abstract
Background: Chronic obstructive pulmonary disease (COPD) increasingly strains European health systems amid population ageing. Digital health interventions (DHIs) can reduce hospitalizations and support self-management, yet older patients hesitate to adopt them. Tailored interventions require understanding patient profiles. This study aimed to identify clusters [...] Read more.
Background: Chronic obstructive pulmonary disease (COPD) increasingly strains European health systems amid population ageing. Digital health interventions (DHIs) can reduce hospitalizations and support self-management, yet older patients hesitate to adopt them. Tailored interventions require understanding patient profiles. This study aimed to identify clusters by intention to use DHIs. Methods: Between July 2024 and February 2025, 232 COPD patients (mean age 65; 61% female) across seven European countries completed surveys covering sociodemographic and Unified Theory of Technology Acceptance (UTAUT) constructs. Intention to use DHIs was categorized as positive, neutral, or negative. Weighted UTAUT scores were clustered using Gower distance and Partitioning Around Medoids. Associations were visualized with multiple correspondence analysis and heat maps; differences were tested with the chi-square test. Results: Intention to adopt DHIs varied across countries, with the highest in the Netherlands. Two clusters emerged. Cluster 1, the ‘balanced hesitant’ group (n = 104), showed mixed intentions (38% positive, 40% neutral, 21% negative). Barriers included low performance expectancy and limited digital skills (both p < 0.05). Cluster 2, the ‘enthusiastic’ group (n = 128), demonstrated strong adoption intentions, with 84% positive intention. Enablers included low effort expectancy and complex disease (p < 0.01). Across both clusters, performance expectancy predicted intention. Conclusions: Digital health adoption among COPD patients is shaped by psychosocial and digital skill profiles. Hesitant users benefit from expectation-based information about DHIs, digital literacy training and peer support. Enthusiasts require ease of integration. Performance expectancy is a consistent driver of adoption, whereas country-specific factors should guide strategies. Full article
Show Figures

Figure 1

20 pages, 3312 KB  
Article
Wind Shear Prediction at Jeju International Airport Using a Tree-Based Machine Learning Algorithm
by Jae-Hyeok Seok, Hee-Wook Choi and Sang-Sam Lee
Forecasting 2026, 8(1), 4; https://doi.org/10.3390/forecast8010004 - 9 Jan 2026
Viewed by 59
Abstract
This study employed tree-based machine learning (ML) algorithms to predict low-level wind shear (LLWS) at Jeju International Airport (ICAO: RKPC). Hourly meteorological data from 47 observation stations across Jeju Island, collected between 2019 and 2023, were split into training (60%), validation (20%), and [...] Read more.
This study employed tree-based machine learning (ML) algorithms to predict low-level wind shear (LLWS) at Jeju International Airport (ICAO: RKPC). Hourly meteorological data from 47 observation stations across Jeju Island, collected between 2019 and 2023, were split into training (60%), validation (20%), and test (20%) sets to develop individual prediction models for lead times ranging from 1 to 6 h. A probabilistic prediction model was developed by assigning weights to individual models according to their true skill statistic performance. Validation using an independent 2024 dataset showed that the light gradient boosting machine-based probabilistic model exhibited the highest predictive performance, achieving an area under the receiver operating characteristic curve of 0.883. The Shapley additive explanation analysis identified wind components (U, V) as key variables, contributing over 50%, with the significance of pressure and temperature slightly increasing over long-term prediction times (4–6 h). In addition, spatial analysis revealed that nearby airport stations were more influential for short-term prediction times (1–2 h), whereas Mount Halla and offshore stations north of the airport gained greater influence for medium-to long-term prediction times (3–6 h). The ML-based LLWS prediction model offers high accuracy and interpretability, supporting stepwise warning systems and aiding aviation decision-making. Full article
(This article belongs to the Section AI Forecasting)
Show Figures

Figure 1

28 pages, 14054 KB  
Article
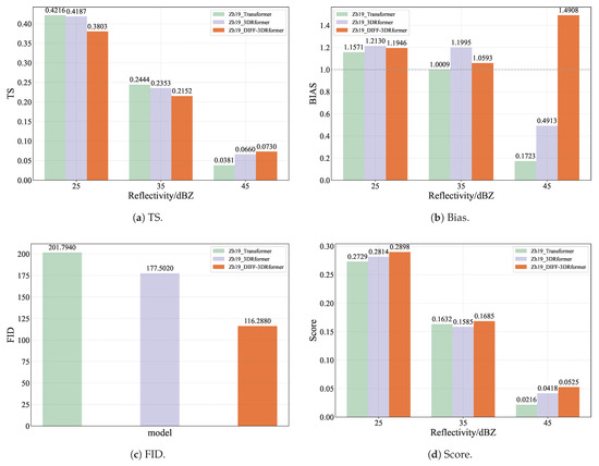
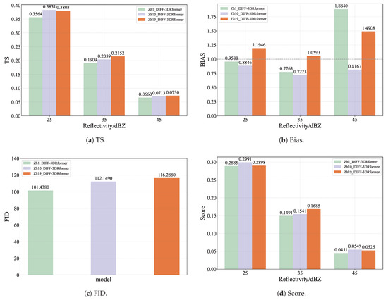
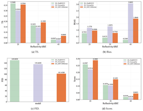
Three-Dimensional Radar Echo Extrapolation Using a Physics-Constrained Deep Learning Model
by Liangchao Geng, Jinzhong Min, Huantong Geng and Xiaoran Zhuang
Remote Sens. 2026, 18(2), 206; https://doi.org/10.3390/rs18020206 - 8 Jan 2026
Viewed by 69
Abstract
Accurate nowcasting of severe convective storms is crucial for disaster mitigation, yet storm complexity challenges conventional deep learning models. Existing methods often use single-level radar data and lack physical constraints, limiting skill in predicting small-scale convective systems. To address this, we propose DIFF-3DRformer, [...] Read more.
Accurate nowcasting of severe convective storms is crucial for disaster mitigation, yet storm complexity challenges conventional deep learning models. Existing methods often use single-level radar data and lack physical constraints, limiting skill in predicting small-scale convective systems. To address this, we propose DIFF-3DRformer, a novel deep learning framework for 3D radar echo extrapolation. This model unifies a mesoscale evolution network, embedded with 3D advection equation neural operators and a 3D continuity equation-informed loss function, and a convective-scale denoising generative network based on a diffusion model, within an end-to-end architecture optimized for prediction accuracy. Evaluated on severe storm events over Jiangsu, China, DIFF-3DRformer demonstrates robust predictive skill across various convective scales. It outperforms NowcastNet, improving the comprehensive score by 44.8% for reflectivity thresholds ≥35 dBZ. Utilizing 19 vertical levels of radar data as input significantly enhances the morphology and intensity prediction of convective echoes, boosting performance by 4.63% compared to using only composite reflectivity. Furthermore, the incorporation of physical constraints refines the forecasted echo structure and spatial placement, yielding additional improvements. DIFF-3DRformer provides accurate short-term evolution forecasts of convective systems, offering a promising solution for developing nowcasting methods that directly characterize the 3D structure of convective storms. Full article
Show Figures

Figure 1

27 pages, 1142 KB  
Article
Digital Skills and Personal Innovativeness Shaping Stratified Use of ChatGPT in Polish Adults’ Education
by Robert Wolny, Kinga Hoffmann-Burdzińska, Magdalena Jaciow, Anna Sączewska-Piotrowska, Agata Stolecka-Makowska and Grzegorz Szojda
Sustainability 2026, 18(2), 619; https://doi.org/10.3390/su18020619 - 7 Jan 2026
Viewed by 158
Abstract
The development of generative artificial intelligence tools, including large language models, opens new opportunities for adult education while simultaneously posing the risk of deepening inequalities resulting from differences in digital competences and individual dispositions. The aim of this article is to examine how [...] Read more.
The development of generative artificial intelligence tools, including large language models, opens new opportunities for adult education while simultaneously posing the risk of deepening inequalities resulting from differences in digital competences and individual dispositions. The aim of this article is to examine how digital skills (DS) and personal innovativeness (PI) shape differentiated and advanced use of ChatGPT (UC) among adult learners in Poland, with particular attention to the moderating role of gender. The study was conducted using the CAWI method on a nationwide sample of 757 adult ChatGPT users engaged in upgrading their qualifications. Validated scales of DS, PI, and UC were applied, along with confirmatory factor analysis (CFA) and structural equation modeling (SEM) using the WLSMV estimator, as well as multigroup SEM for women and men. The results confirm that both digital skills (β ≈ 0.46) and personal innovativeness (β ≈ 0.37) significantly and positively predict advanced use of ChatGPT, jointly explaining approximately 41% of the variance in UC, with stronger effects observed among men than women. Attention is therefore drawn to the need to incorporate a gender perspective in further research on the use of GenAI in adult education The findings point to a stratification of GenAI use in adult education and underscore the need to incorporate critical digital competences and AI literacy into sustainable education policies in order to limit the reproduction of existing inequalities. Full article
Show Figures

Figure 1

15 pages, 871 KB  
Article
The Concurrent and Longitudinal Contributions of Linguistic and Cognitive Skills to L2 Writing Quality
by Aiping Zhao, Fangzhu Chen and Xiang Li
J. Intell. 2026, 14(1), 11; https://doi.org/10.3390/jintelligence14010011 - 6 Jan 2026
Viewed by 181
Abstract
Research on second language (L2) writing has primarily focused on linguistic skills, with limited attention to higher-order cognitive skills such as inference making. This study expands prior research by examining both concurrent and longitudinal effects of linguistic skills (vocabulary, grammatical knowledge, and morphological [...] Read more.
Research on second language (L2) writing has primarily focused on linguistic skills, with limited attention to higher-order cognitive skills such as inference making. This study expands prior research by examining both concurrent and longitudinal effects of linguistic skills (vocabulary, grammatical knowledge, and morphological awareness) and inference making on L2 English writing quality among 135 Chinese high school English learners. Students’ linguistic skills, inference making, and writing were assessed in Grade 10 and Grade 11. Regression analyses showed that, in Grade 10, vocabulary, grammatical knowledge, and inference making significantly predicted writing quality, whereas in Grade 11, morphological awareness, grammatical knowledge, and inference making were significant predictors. Longitudinally, Grade 10 morphological awareness uniquely contributed to L2 writing quality in Grade 11 after controlling for the autoregressive effect of L2 writing quality in Grade 10. These findings highlight the key role of inference making in writing development and reveal that linguistic skills contribute to writing differently across grades. Pedagogically, the results underscore the importance of targeting grade-specific skills to support higher-quality English writing. Full article
18 pages, 895 KB  
Article
Analysis of Motor and Perceptual–Cognitive Performance in Young Soccer Players: Insights into Training Experience and Biological Maturation
by Afroditi Lola, Eleni Bassa, Sousana Symeonidou, Georgia Stavropoulou, Anastasia Papavasileiou, Kiriakos Fregidis and Marios Bismpos
Sports 2026, 14(1), 22; https://doi.org/10.3390/sports14010022 - 5 Jan 2026
Viewed by 223
Abstract
Background/Objectives: This cross-sectional study examined how training age, chronological age, and biological maturity influence motor and perceptual–cognitive performance in youth soccer players, with relevance for health and well-being through sport participation. Methods: Forty-one male athletes (age = 14.86 ± 0.81 years) completed a [...] Read more.
Background/Objectives: This cross-sectional study examined how training age, chronological age, and biological maturity influence motor and perceptual–cognitive performance in youth soccer players, with relevance for health and well-being through sport participation. Methods: Forty-one male athletes (age = 14.86 ± 0.81 years) completed a two-day field-based assessment following a holistic framework integrating motor (sprinting, jumping, and agility) and perceptual–cognitive components (psychomotor speed, visuospatial working memory, and spatial visualization). Biological maturity was estimated using the maturity offset method. Results: Regression analyses showed that biological maturity and training age significantly predicted motor performance, particularly sprinting, jumping, and pre-planned agility, whereas chronological age was not a predictor. In contrast, neither maturity nor training experience influenced perceptual–cognitive skills. Among cognitive measures, only psychomotor speed significantly predicted reactive agility, emphasizing the role of rapid information processing in dynamic, game-specific contexts. Conclusions: Youth soccer training should address both physical and cognitive development through complementary strategies. Physical preparation should be tailored to maturity status to ensure safe and progressive loading, while systematic training of psychomotor speed and decision-making should enhance reactive agility and game intelligence. Integrating maturity and perceptual–cognitive assessments may support individualized development, improved performance, and long-term well-being. Full article
Show Figures

Figure 1

24 pages, 10860 KB  
Article
Decomposing Juggling Skill into Sequencing, Prediction, and Accuracy: A Computational Model with Low-Gravity VR Training
by Wanhee Cho, Makoto Kobayashi, Hiroyuki Kambara, Hirokazu Tanaka, Takahiro Kagawa, Makoto Sato, Hyeonseok Kim, Makoto Miyakoshi, Scott Makeig, John Rehner Iversen and Natsue Yoshimura
Sensors 2026, 26(1), 294; https://doi.org/10.3390/s26010294 - 2 Jan 2026
Viewed by 644
Abstract
Juggling is a complex motor skill that requires multiple sub-skills and cannot be mastered without extensive practice. Although prior studies have quantified performance differences between novice and expert jugglers, none have attempted to quantitatively decompose these components or model their contribution to juggling [...] Read more.
Juggling is a complex motor skill that requires multiple sub-skills and cannot be mastered without extensive practice. Although prior studies have quantified performance differences between novice and expert jugglers, none have attempted to quantitatively decompose these components or model their contribution to juggling performance. This longitudinal study presents a multimodal evaluation system that integrates computer vision, motion capture, and biosensing to quantify three key elements of juggling ability: Sequencing, Prediction, and Accuracy. Twenty beginners completed a 10-day, three-ball juggling experiment combining visuo-haptic virtual reality (VR) and real-world practice, with half training in reduced gravity, previously shown to enhance early-stage motor learning. The fitted Gamma-Log generalized linear model (GLM) indicated that Sequencing is the dominant factor of early skill acquisition, followed by Prediction and Accuracy. This study provides the first computational decomposition of juggling, demonstrates how multiple elements jointly contribute to performance, and results in a principled approach to characterizing motor learning in complex real-world tasks. Full article
(This article belongs to the Special Issue Sensor-Based Human Motor Learning)
Show Figures

Figure 1

34 pages, 5656 KB  
Article
Mechanisms of Topographic Steering and Track Morphology of Typhoon-like Vortices over Complex Terrain: A Dynamic Model Approach
by Hung-Cheng Chen
Atmosphere 2026, 17(1), 60; https://doi.org/10.3390/atmos17010060 - 31 Dec 2025
Viewed by 288
Abstract
This study investigates the mechanisms of topographic steering and the resultant track morphology of typhoon-like vortices over complex terrain. Leveraging a dynamic model based on potential vorticity (PV) conservation, we conducted a comprehensive sensitivity analysis over both an idealized bell-shaped mountain and the [...] Read more.
This study investigates the mechanisms of topographic steering and the resultant track morphology of typhoon-like vortices over complex terrain. Leveraging a dynamic model based on potential vorticity (PV) conservation, we conducted a comprehensive sensitivity analysis over both an idealized bell-shaped mountain and the realistic topography of Taiwan. Results indicate that a triad of controls governs track evolution: vortex intensity (α), terrain geometry (dhB*/dt*), and interaction time (impinging angle γ). To quantify predictability, we introduce the Track Divergence Percentage (td), which partitions the phase space into distinct Track Diverging (TDZ) and Converging (TCZ) Zones. The results demonstrate that vortex intensity, terrain-induced forcing, and interaction time jointly organize a regime-dependent predictability landscape, characterized by distinct zones of track divergence and convergence separated by a dynamically balanced trajectory. This framework provides a physically interpretable explanation for why small perturbations in initial conditions can lead to qualitatively different track outcomes near complex terrain. Rather than aiming at direct forecast skill improvement, this study provides a physically interpretable diagnostic framework for understanding terrain-induced track sensitivity and uncertainty, with implications for interpreting ensemble spread in forecasting systems. Full article
(This article belongs to the Special Issue Typhoon/Hurricane Dynamics and Prediction (3rd Edition))
Show Figures

Figure 1

20 pages, 6530 KB  
Article
Monthly Temperature Prediction in the Han River Basin, South Korea, Using Long Short-Term Memory (LSTM) and Multiple Linear Regression (MLR) Models
by Chul-Gyum Kim, Jeongwoo Lee, Jeong-Eun Lee and Hyeonjun Kim
Water 2026, 18(1), 98; https://doi.org/10.3390/w18010098 - 31 Dec 2025
Viewed by 257
Abstract
This study compares and evaluates the performance of a statistical model, Multiple Linear Regression (MLR), and a deep learning model, Long Short-Term Memory (LSTM), for predicting monthly mean temperature in the Han River Basin, South Korea. Predictor variables were dynamically selected based on [...] Read more.
This study compares and evaluates the performance of a statistical model, Multiple Linear Regression (MLR), and a deep learning model, Long Short-Term Memory (LSTM), for predicting monthly mean temperature in the Han River Basin, South Korea. Predictor variables were dynamically selected based on lagged correlation analysis between climate indices and temperature over the past 40 years, identifying the top ten variables with the highest correlations for lag times ranging from 1 to 18 months. The MLR model was developed through stepwise regression with cross-validation, while the LSTM model was constructed using an 18-month input sequence to capture temporal dependencies in the data. Model performance was evaluated using percent bias (PBIAS), Nash–Sutcliffe efficiency (NSE), Pearson’s correlation coefficient (r), and tercile-based probability metrics. Both models reproduced the seasonal variability of monthly temperature with high accuracy (NSE > 0.97, r > 0.98). The LSTM model showed slightly higher predictive skill in several periods but also exhibited larger prediction variance, reflecting the sensitivity of nonlinear architectures to variations in predictor–response relationships. In contrast, the MLR model demonstrated more stable predictive behavior with narrower uncertainty bounds, particularly under low signal-to-noise conditions, owing to its structural simplicity. These findings indicate that the two approaches are complementary; the LSTM model better captures nonlinear temporal dynamics, while the MLR model provides interpretability and robustness. Future work will explore advanced hybrid architectures such as CNN–LSTM and Transformer-based models, as well as multi-model ensemble methods, to further enhance the accuracy and reliability of medium-range temperature prediction. Full article
(This article belongs to the Section Hydrology)
Show Figures

Figure 1

22 pages, 9508 KB  
Article
GIS-Based Spatial Analysis and Explainable Gradient Boosting of Heavy Metal Enrichment in Agricultural Soils
by Marzhan Sadenova and Nail Beisekenov
Appl. Sci. 2026, 16(1), 431; https://doi.org/10.3390/app16010431 - 31 Dec 2025
Viewed by 280
Abstract
Heavy metal enrichment in agricultural soils can affect crop safety, ecosystem functioning, and long-term land productivity, yet farm-scale screening is often constrained by limited routine monitoring data. This study develops a GIS-based framework that combines field-scale spatial analysis with explainable machine learning to [...] Read more.
Heavy metal enrichment in agricultural soils can affect crop safety, ecosystem functioning, and long-term land productivity, yet farm-scale screening is often constrained by limited routine monitoring data. This study develops a GIS-based framework that combines field-scale spatial analysis with explainable machine learning to characterize and predict heavy metal enrichment on an intensively managed cereal farm in eastern Kazakhstan. Topsoil samples (0 to 20 cm) were collected from 34 fields across eight campaigns between 2020 and 2023, yielding 241 composite field–campaign observations for eight metals (Pb, Cu, Zn, Ni, Cr, Mo, Fe, and Mn) and routine soil properties (humus, pH in H2O, and pH in KCl). Concentrations were generally low but spatially heterogeneous, with wide observed ranges for several elements (for example, Pb 0.06 to 2.20 mg kg−1, Zn 0.38 to 7.00 mg kg−1, and Mn 0.20 to 38.0 mg kg−1). We synthesized multi-metal structure using an HMI defined as the unweighted mean of z-standardized metal concentrations, which supported field-level screening of persistent enrichment and emerging hot spots. We then trained Extreme Gradient Boosting models using only humus and pH predictors and evaluated performance with field-based spatial block cross-validation. Predictive skill was modest but nonzero for several targets, including HMI (mean R2 = 0.20), indicating partial spatial transferability under conservative validation. SHAP analysis identified humus content and soil acidity as dominant contributors to HMI prediction. Overall, the workflow provides a transparent approach for field-scale screening of heavy metal enrichment and establishes a foundation for future integration with satellite-derived covariates for broader monitoring applications. Full article
(This article belongs to the Special Issue GIS-Based Spatial Analysis for Environmental Applications)
Show Figures

Figure 1

13 pages, 3299 KB  
Article
Ensemble Modelling Predicts Habitat Shifts for Portunus trituberculatus Under Climate Change in the East China Sea and the Yellow Sea of China
by Fengqi Sun, Hongliang Zhang, Guoqiang Xu, Hui Ge, Lei Wu, Zhenhua Li, Shuwen Yu, Jiayi Zhou, Shihao Wang and Yongdong Zhou
J. Mar. Sci. Eng. 2026, 14(1), 69; https://doi.org/10.3390/jmse14010069 - 30 Dec 2025
Viewed by 235
Abstract
This study systematically evaluated the dynamic habitat suitability of Portunus trituberculatus in the East China Sea and the Yellow Sea region (referred to herein as the East Yellow Sea region for brevity) under climate change impacts by integrating a species distribution model (Biomod2) [...] Read more.
This study systematically evaluated the dynamic habitat suitability of Portunus trituberculatus in the East China Sea and the Yellow Sea region (referred to herein as the East Yellow Sea region for brevity) under climate change impacts by integrating a species distribution model (Biomod2) with multi-source environmental data. Through the construction and evaluation of an ensemble model combining 10 algorithms, using the Area Under the Curve (AUC) and True Skill Statistic (TSS) for validation, we identified seabed temperature, seabed salinity, and chlorophyll as key environmental factors. Results showed that current high-suitability areas are concentrated in coastal Jiangsu, the Yangtze River estuary, and Zhoushan Archipelago waters, which overlap significantly with fishing hotspots. Under future climate scenarios, the species’ suitable habitat distribution is projected to shift significantly poleward: In the SSP5-8.5 scenario 2100, low/medium suitability areas increased by 38.2% and 88.2% respectively, while high-suitability areas decreased by 36.5%, with core spawning grounds (e.g., Zhoushan Archipelago waters) showing reduced suitability indices. The Bohai Sea’s summer water temperature unsuitability for Portunus trituberculatus migration creates an “ecological bottleneck” for northward expansion. The study proposes strengthening habitat management in Jiangsu coastal areas and integrating dynamic habitat prediction into fisheries policies to address climate-induced resource redistribution and ecosystem service changes. Our findings underscore the urgency of incorporating climate-driven habitat shifts into adaptive marine spatial planning and fisheries management frameworks. Full article
(This article belongs to the Section Marine Biology)
Show Figures

Figure 1

13 pages, 807 KB  
Article
Antenatal and Preoperative Factors Associated with 2-Year Outcome of Preterm Newborns with Biventricular Complex Congenital Heart Defects: A 23-Year Cohort Study
by Mosarrat Qureshi, Sara Amiri, Irina A. Dinu, Anna Vrban-McRae, Winnie Savard, Charlene M.T. Robertson and Po-Yin Cheung
Children 2026, 13(1), 49; https://doi.org/10.3390/children13010049 - 30 Dec 2025
Viewed by 146
Abstract
Introduction: To explore whether antenatal and preoperative factors predict disability-free survival of preterm newborns with biventricular complex congenital heart defects (CHD). Methods: Retrospective cohort study, using the prospectively designed database of Complex Pediatric Therapies Follow Up Program and a chart review of mother–newborn [...] Read more.
Introduction: To explore whether antenatal and preoperative factors predict disability-free survival of preterm newborns with biventricular complex congenital heart defects (CHD). Methods: Retrospective cohort study, using the prospectively designed database of Complex Pediatric Therapies Follow Up Program and a chart review of mother–newborn dyads, born under 37 weeks’ gestation with biventricular complex CHD, between 1997 and 2019, who had open heart surgery up to 6 weeks corrected age. Surviving children had neurodevelopmental assessments between 18 and 24 months corrected age. Bayley Scales of Infant Development, 2nd edition, and Bayley Scales of Infant and Toddler Development, 3rd edition, assessed cognitive, language, and motor skills; Adaptive Behavior Assessment System, 3rd edition, assessed adaptive skills. Univariate and multivariate analyses assessed predictors of mortality, disability (cerebral palsy, visual impairment, permanent hearing loss), and neurodevelopmental delay. Results: Of 84 preterm newborns (34.6 ± 2.1 weeks’ gestation, 2321 ± 609 g, 57% males), 8 (9.5%) died by 2 years of age; 69 (91%) survived without and 7 (9%) with disability. Chorioamnionitis was associated with death [Hazard ratio 7.92 (95% CI 1.3, 33.3), p = 0.025]; prolonged rupture of membranes was associated with disability [Odds Ratio 9.7 (95% CI 1.99, 46.9), p = 0.005]. Maternal diabetes, antenatal diagnosis of CCHD, birth head circumference, cardiopulmonary resuscitation, and chromosomal anomalies were associated with adverse neurodevelopment. Conclusions: Chorioamnionitis and prolonged rupture of membranes are associated with worse outcomes in preterm newborns with biventricular complex CHD up to 2 years of age. Adverse neurodevelopmental outcomes are associated with maternal diabetes and antenatal diagnosis of CCHD. Prospective studies are needed to confirm these results. Full article
(This article belongs to the Section Pediatric Neonatology)
Show Figures

Figure 1

Back to TopTop