Quantitative Assessment of Drought Impact on Grassland Productivity in Inner Mongolia Using SPI and Biome-BGC
Abstract
1. Introduction
- To develop a hybrid quantitative model that explicitly integrates drought intensity and duration to predict productivity (NPP) loss;
- To calibrate and validate this model using ecological process modeling (Biome-BGC) and independent data across major grassland types in Inner Mongolia;
- To apply the model to quantify the relative importance of drought characteristics and identify ecosystem-specific vulnerability gradients.
2. Materials and Methods
2.1. Study Area
2.2. Data
2.3. Methodology
2.3.1. Drought Identification
- The 1-month SPI captures short-term soil moisture stress relevant to vegetation greening-up and leaf expansion at the start of the growing season.
- The 3-month SPI aligns with the critical period of peak biomass accumulation for many grass species, making it sensitive to seasonal droughts that most directly affect yield.
- The 6-month SPI corresponds approximately to the length of the entire growing season in this temperate region, thereby integrating moisture conditions that govern total annual forage production.
- The 12-month SPI reflects the annual water balance, which influences deeper soil water reserves, perennial plant survival, and long-term ecosystem carbon sequestration capacity.
- Regional Monthly Drought Intensity: For each month, the drought intensity was defined as the minimum SPI value across the study region. This approach captures the spatial extremity of drought stress in any given month.
- Drought Duration: A drought month was identified when the regional monthly drought intensity (i.e., the minimum SPI) was ≤−1.0 (indicating at least moderate drought somewhere in the region). The drought duration for a specific drought episode was then calculated as the number of consecutive months meeting this criterion.
- Drought Episode Identification: A discrete drought episode was considered to have started in the first month of such a consecutive sequence and to have ended in the last month before the regional intensity rose above −1.0. Only episodes with a duration of at least 1 month were considered.
- Episode Intensity Assignment: For each identified drought episode, its overall intensity was characterized by the most severe (minimum) value of the regional monthly drought intensity within that episode.
2.3.2. Productivity Simulation
Biome-BGC Ecosystem Process Model
Quantification of NPP Variations
2.3.3. Model Validation and Accuracy Evaluation
3. Results
3.1. Correlation Between Drought Characteristics and NPP Variations
- Inverse Relationship between Intensity and Duration: Drought intensity and duration were themselves significantly negatively correlated, indicating that longer-lasting droughts tend to have lower peak intensity.
- Spatial Gradient in Correlation Strength: The strength of the correlations, particularly between NPP loss and drought characteristics, followed a clear geographical gradient. They were strongest in desert grasslands and weakest in meadow grasslands, suggesting an increase in ecosystem sensitivity to drought along the west-to-east aridification gradient.
3.2. Development of a Quantitative Evaluation Model for NPP Variations
3.2.1. Linear Evaluation of Drought Impacts on NPP Variations
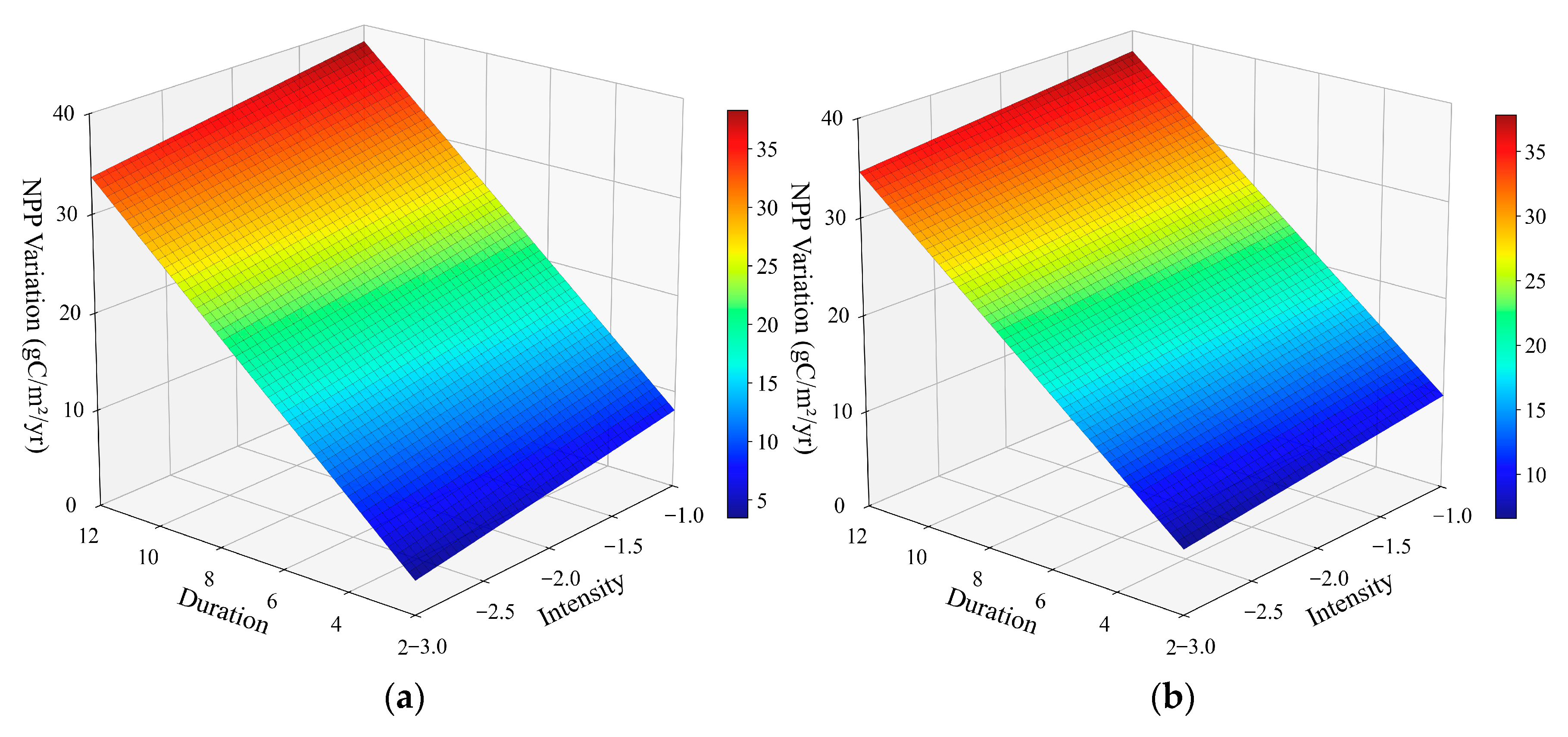
3.2.2. Nonlinear Evaluation of Drought Impacts on NPP Variations
3.2.3. Hybrid Model Evaluation of Drought Impacts on NPP Variations
3.3. Model Validation and Accuracy Evaluation
4. Discussion
4.1. Key Findings and Their Novelty
4.2. Mechanistic Interpretation and Advancement over Previous Studies
4.3. Relevance and Practical Implications
4.4. Limitations and Future Directions
- Grazing Integration: Incorporate spatially explicit datasets on livestock distribution (e.g., from statistical yearbooks [38], the Gridded Livestock of the World (GLW) database [61], or regional stocking rate surveys) to dynamically modify key vegetation parameters in process models. Model algorithms could be refined using data from long-term grazing exclusion experiments [62] to better represent biomass removal and plant compensatory growth.
- Land Use Change Integration: Utilize high-resolution remote sensing time series (e.g., Landsat or Sentinel-2 archives) and existing land use/land cover change products (e.g., FROM-GLC [63] or China’s National Land Cover Datasets [64]) to reconstruct historical vegetation transitions. These timelines can be used to dynamically update the land cover and initial state files within the Biome-BGC model across the simulation period.
- Socio-Ecological Coupling: Apply coupled modeling frameworks that formally link ecological process models (like Biome-BGC) with models of human decision-making. For example, agent-based models (ABMs) could simulate herder adaptive behaviors (e.g., mobility, herd size adjustment) in response to drought forecasts and pasture conditions [65], with their collective actions feeding back into the ecological model via modified grazing pressure.
5. Conclusions
Author Contributions
Funding
Data Availability Statement
Acknowledgments
Conflicts of Interest
References
- Zhou, Z.; Wang, P.; Li, L.; Fu, Q.; Ding, Y.; Chen, P.; Xue, P.; Wang, T.; Shi, H. Recent development on drought propagation: A comprehensive review. J. Hydrol. 2024, 645, 132196. [Google Scholar] [CrossRef]
- Geng, G.; Zhang, B.; Gu, Q.; He, Z.; Zheng, R. Drought propagation characteristics across China: Time, probability, and threshold. J. Hydrol. 2024, 631, 130805. [Google Scholar] [CrossRef]
- Cook, B.I.; Mankin, J.S.; Marvel, K.; Williams, A.P.; Smerdon, J.E.; Anchukaitis, K.J. Twenty-first century drought projections in the CMIP6 forcing scenarios. Earth’s Future 2020, 8, e2019EF001461. [Google Scholar] [CrossRef]
- Zhang, Q.; Yu, H.; Sun, P.; Singh, V.P.; Shi, P. Multisource data based agricultural drought monitoring and agricultural loss in China. Glob. Planet. Change 2019, 172, 298–306. [Google Scholar] [CrossRef]
- Vadez, V.; Grondin, A.; Chenu, K.; Henry, A.; Laplaze, L.; Millet, E.J.; Carminati, A. Crop traits and production under drought. Nat. Rev. Earth Environ. 2024, 5, 211–225. [Google Scholar] [CrossRef]
- Qiao, M.; Hong, C.; Jiao, Y.; Hou, S.; Gao, H. Impacts of drought on photosynthesis in major food crops and the related mechanisms of plant responses to drought. Plants 2024, 13, 1808. [Google Scholar] [CrossRef] [PubMed]
- Wang, Y.; Liu, X.; Ren, G.; Yang, G.; Feng, Y. Analysis of the spatiotemporal variability of droughts and the effects of drought on potato production in northern China. Agric. For. Meteorol. 2019, 264, 334–342. [Google Scholar] [CrossRef]
- Xu, L.; Zheng, C.; Ma, Y. Variations in precipitation extremes in the arid and semi-arid regions of China. Int. J. Climatol. 2021, 41, 1542–1554. [Google Scholar] [CrossRef]
- Piao, S.; Ciais, P.; Huang, Y.; Shen, Z.; Peng, S.; Li, J.; Zhou, L.; Liu, H.; Ma, Y.; Ding, Y. The impacts of climate change on water resources and agriculture in China. Nature 2010, 467, 43–51. [Google Scholar] [CrossRef]
- He, B.; Lü, A.; Wu, J.; Zhao, L.; Liu, M. Drought hazard assessment and spatial characteristics analysis in China. J. Geogr. Sci. 2011, 21, 235–249. [Google Scholar] [CrossRef]
- Liang, E.; Liu, X.; Yuan, Y.; Qin, N.; Fang, X.; Huang, L.; Zhu, H.; Wang, L.; Shao, X. The 1920s drought recorded by tree rings and historical documents in the semi-arid and arid areas of northern China. Clim. Change 2006, 79, 403–432. [Google Scholar] [CrossRef]
- Leister, A.M.; Paarlberg, P.L.; Lee, J.G. Dynamic effects of drought on US crop and livestock sectors. J. Agric. Appl. Econ. 2015, 47, 261–284. [Google Scholar] [CrossRef]
- Bogale, G.A.; Erena, Z.B. Drought vulnerability and impacts of climate change on livestock production and productivity in different agro-Ecological zones of Ethiopia. J. Appl. Anim. Res. 2022, 50, 471–489. [Google Scholar] [CrossRef]
- Ding, Y.; Hayes, M.J.; Widhalm, M. Measuring economic impacts of drought: A review and discussion. Disaster Prev. Manag. An. Int. J. 2011, 20, 434–446. [Google Scholar] [CrossRef]
- Kulshreshtha, S.N.; Klein, K.K. Agricultural drought impact evaluation model: A systems approach. Agric. Syst. 1989, 30, 81–96. [Google Scholar] [CrossRef]
- Zhu, X.; Zhang, S.; Liu, T.; Liu, Y. Impacts of heat and drought on gross primary productivity in China. Remote Sens. 2021, 13, 378. [Google Scholar] [CrossRef]
- Ding, Y.; Zhang, L.; He, Y.; Cao, S.; Gusev, A.; Guo, Y.; Ran, L.; Wei, X.; Mikalai, F. Nonlinear effects of agricultural drought on vegetation productivity in the Yellow River Basin, China. Sci. Total Environ. 2024, 948, 174903. [Google Scholar] [CrossRef]
- Oram, N.J.; Ingrisch, J.; Bardgett, R.D.; Brennan, F.; Dittmann, G.; Gleixner, G.; Illmer, P.; Praeg, N.; Bahn, M. Drought intensity alters productivity, carbon allocation and plant nitrogen uptake in fast versus slow grassland communities. J. Ecol. 2023, 111, 1681–1699. [Google Scholar] [CrossRef]
- Chen, J.; Shao, Z.; Huang, X.; Zhuang, Q.; Dang, C.; Cai, B.; Zheng, X.; Ding, Q. Assessing the impact of drought-land cover change on global vegetation greenness and productivity. Sci. Total Environ. 2022, 852, 158499. [Google Scholar] [CrossRef]
- Paredes-Trejo, F.; Barbosa, H.A.; Daldegan, G.A.; Teich, I.; García, C.L.; Kumar, T.L.; Buriti, C.D.O. Impact of drought on land productivity and degradation in the Brazilian semiarid region. Land 2023, 12, 954. [Google Scholar] [CrossRef]
- Miller, T.; Mikiciuk, G.; Kisiel, A.; Mikiciuk, M.; Paliwoda, D.; Sas-Paszt, L.; Cembrowska-Lech, D.; Krzemińska, A.; Kozioł, A.; Brysiewicz, A. Machine learning approaches for forecasting the best microbial strains to alleviate drought impact in agriculture. Agriculture 2023, 13, 1622. [Google Scholar] [CrossRef]
- Yin, S.; Du, H.; Mao, F.; Li, X.; Zhou, G.; Xu, C.; Sun, J. Spatiotemporal patterns of net primary productivity of subtropical forests in China and its response to drought. Sci. Total Environ. 2024, 913, 169439. [Google Scholar] [CrossRef]
- Wu, J.; Gu, Y.; Sun, K.; Wang, N.; Shen, H.; Wang, Y.; Ma, X. Correlation of climate change and human activities with agricultural drought and its impact on the net primary production of winter wheat. J. Hydrol. 2023, 620, 129504. [Google Scholar] [CrossRef]
- Yu, D.; Li, Y.; Yin, B.; Wu, N.; Ye, R.; Liu, G. Spatiotemporal variation of net primary productivity and its response to drought in Inner Mongolian desert steppe. Glob. Ecol. Conserv. 2022, 33, e1991. [Google Scholar] [CrossRef]
- Wang, F.; Zhang, Z.; Du, M.; Lu, J.; Chen, X. Drought Amplifies the Suppressive Effect of Afforestation on Net Primary Productivity in Semi-Arid Ecosystems: A Case Study of the Yellow River Basin. Remote Sens. 2025, 17, 2100. [Google Scholar] [CrossRef]
- Chen, G.; Tian, H.; Zhang, C.; Liu, M.; Ren, W.; Zhu, W.; Chappelka, A.H.; Prior, S.A.; Lockaby, G.B. Drought in the Southern United States over the 20th century: Variability and its impacts on terrestrial ecosystem productivity and carbon storage. Clim. Change 2012, 114, 379–397. [Google Scholar] [CrossRef]
- Xie, L.; Li, Y.; Zhang, Z.; Siddique, K.H.M.; Song, X. Exploring the combined effects of drought and drought-flood abrupt alternation on vegetation using interpretable machine learning model and r-vine copula function. Agric. For. Meteorol. 2025, 370, 110568. [Google Scholar] [CrossRef]
- Hao, Y.; Wang, Y.; Mei, X.; Huang, X.; Cui, X.; Zhou, X.; Niu, H. CO2, H2O and energy exchange of an Inner Mongolia steppe ecosystem during a dry and wet year. Acta Oecologica 2008, 33, 133–143. [Google Scholar] [CrossRef]
- Gao, Z.; Liu, J.; Cao, M.; Li, K.; Tao, B. Impacts of land-use and climate changes on ecosystem productivity and carbon cycle in the cropping-grazing transitional zone in China. Sci. China Ser. D Earth Sci. 2005, 48, 1479–1491. [Google Scholar] [CrossRef]
- Peng, S.; Piao, S.; Shen, Z.; Ciais, P.; Sun, Z.; Chen, S.; Bacour, C.; Peylin, P.; Chen, A. Precipitation amount, seasonality and frequency regulate carbon cycling of a semi-arid grassland ecosystem in Inner Mongolia, China: A modeling analysis. Agric. For. Meteorol. 2013, 178, 46–55. [Google Scholar] [CrossRef]
- Lei, T.; Wu, J.; Li, X.; Geng, G.; Shao, C.; Zhou, H.; Wang, Q.; Liu, L. A new framework for evaluating the impacts of drought on net primary productivity of grassland. Sci. Total Environ. 2015, 536, 161–172. [Google Scholar] [CrossRef]
- Luo, M.; Meng, F.; Sa, C.; Bao, Y.; Liu, T.; De Maeyer, P. Detecting Drought-Related Temporal Effects on Global Net Primary Productivity. Remote Sens. 2024, 16, 3787. [Google Scholar] [CrossRef]
- Mishra, A.K.; Singh, V.P. Drought modeling—A review. J. Hydrol. 2011, 403, 157–175. [Google Scholar] [CrossRef]
- Dai, Y.; Wan, H.; Lu, L.; Wan, F.; Duan, H.; Xiao, C.; Zhang, Y.; Zhang, Z.; Wang, Y.; Shi, P.; et al. Geographically Weighted Regression Enhances Spectral Diversity–Biodiversity Relationships in Inner Mongolian Grasslands. Diversity 2025, 17, 541. [Google Scholar] [CrossRef]
- Na, R.; Du, H.; Na, L.; Shan, Y.; He, H.S.; Wu, Z.; Zong, S.; Yang, Y.; Huang, L. Spatiotemporal changes in the Aeolian desertification of Hulunbuir Grassland and its driving factors in China during 1980–2015. Catena 2019, 182, 104123. [Google Scholar] [CrossRef]
- Sun, B.; Li, Z.; Gao, Z.; Guo, Z.; Wang, B.; Hu, X.; Bai, L. Grassland degradation and restoration monitoring and driving forces analysis based on long time-series remote sensing data in Xilin Gol League. Acta Ecol. Sin. 2017, 37, 219–228. [Google Scholar] [CrossRef]
- Zhang, Y.; Chen, X.; Zhang, Y.; Wang, B. Quantitative contribution of climate change and vegetation restoration to ecosystem services in the Inner Mongolia under ecological restoration projects. Ecol. Indic. 2025, 171, 113240. [Google Scholar] [CrossRef]
- Li, X.; Lyu, X.; Dou, H.; Dang, D.; Li, S.; Li, X.; Li, M.; Xuan, X. Strengthening grazing pressure management to improve grassland ecosystem services. Glob. Ecol. Conserv. 2021, 31, e1782. [Google Scholar] [CrossRef]
- McKee, T.B.; Doesken, N.J.; Kleist, J. The relationship of drought frequency and duration to time scales. In Proceedings of the 8th Conference on Applied Climatology, Anaheim, CA, USA, 17–20 January 1993; pp. 179–183. [Google Scholar]
- Soler, C.M.T.; Sentelhas, P.C.; Hoogenboom, G. Application of the CSM-CERES-Maize model for planting date evaluation and yield forecasting for maize grown off-season in a subtropical environment. Eur. J. Agron. 2007, 27, 165–177. [Google Scholar] [CrossRef]
- Xue, H.; Chen, Y.; Dong, G.; Li, J. Quantitative analysis of spatiotemporal changes and driving forces of vegetation net primary productivity (NPP) in the Qimeng region of Inner Mongolia. Ecol. Indic. 2023, 154, 110610. [Google Scholar] [CrossRef]
- Yuan, X.; Guo, B.; Lu, M. The responses of vegetation NPP dynamics to the influences of climate–human factors on Qinghai–Tibet Plateau from 2000 to 2020. Remote Sens. 2023, 15, 2419. [Google Scholar] [CrossRef]
- Wang, X.; Wang, R.; Gao, J. Precipitation and soil nutrients determine the spatial variability of grassland productivity at large scales in China. Front. Plant Sci. 2022, 13, 996313. [Google Scholar] [CrossRef]
- Dong, L.; Wang, X. Inconsistent influence of temperature, precipitation, and CO2 variations on the plateau alpine vegetation carbon flux. npj Clim. Atmos. Sci. 2025, 8, 91. [Google Scholar] [CrossRef]
- Zhu, L.; Southworth, J. Disentangling the Relationships between Net Primary Production and Precipitation in Southern Africa Savannas Using Satellite Observations from 1982 to 2010. Remote Sens. 2013, 5, 3803–3825. [Google Scholar] [CrossRef]
- Xu, H.; Wang, X. Effects of altered precipitation regimes on plant productivity in the arid region of northern China. Ecol. Inform. 2016, 31, 137–146. [Google Scholar] [CrossRef]
- Fu, Y.; Yu, G.; Wang, Y.; Li, Z.; Hao, Y. Effect of water stress on ecosystem photosynthesis and respiration of a Leymus chinensis steppe in Inner Mongolia. Sci. China Ser. D Earth Sci. 2006, 49, 196–206. [Google Scholar] [CrossRef]
- Sperdouli, I.; Ouzounidou, G.; Moustakas, M. Hormesis Responses of Photosystem II in Arabidopsis thaliana under Water Deficit Stress. Int. J. Mol. Sci. 2023, 24, 9573. [Google Scholar] [CrossRef]
- Cortinovis, C.; Geneletti, D.; Hedlund, K. Synthesizing multiple ecosystem service assessments for urban planning: A review of approaches, and recommendations. Landsc. Urban. Plan. 2021, 213, 104129. [Google Scholar] [CrossRef]
- Han, W.; Guan, J.; Zheng, J.; Liu, Y.; Ju, X.; Liu, L.; Li, J.; Mao, X.; Li, C. Probabilistic assessment of drought stress vulnerability in grasslands of Xinjiang, China. Front. Plant Sci. 2023, 14, 1143863. [Google Scholar] [CrossRef]
- Dumont, B.; Franca, A.; López, I.; Gelats, F.; Mosnier, C.; Pauler, C.M. Diversification increases the resilience of European grassland-based systems but is not a one-size-fits-all strategy. Grass Forage Sci. 2022, 77, 247–256. [Google Scholar] [CrossRef]
- Jacobo, E.J.; Martínez Ortiz, U.J.; Cotroneo, S.M.; Rodríguez, A.M. Adaptive grazing of native grasslands provides ecosystem services and reduces economic instability for livestock systems in the Flooding Pampa, Argentina. Sustainability 2024, 16, 4229. [Google Scholar] [CrossRef]
- Crausbay, S.D.; Ramirez, A.R.; Carter, S.L.; Cross, M.S.; Hall, K.R.; Bathke, D.J.; Betancourt, J.L.; Colt, S.; Cravens, A.E.; Dalton, M.S. Defining ecological drought for the twenty-first century. B Am. Meteorol. Soc. 2017, 98, 2543–2550. [Google Scholar] [CrossRef]
- Vicente-Serrano, S.M.; Beguería, S.; López-Moreno, J.I. A multiscalar drought index sensitive to global warming: The standardized precipitation evapotranspiration index. J. Clim. 2010, 23, 1696–1718. [Google Scholar] [CrossRef]
- McDowell, N.; Pockman, W.T.; Allen, C.D.; Breshears, D.D.; Cobb, N.; Kolb, T.; Plaut, J.; Sperry, J.; West, A.; Williams, D.G. Mechanisms of plant survival and mortality during drought: Why do some plants survive while others succumb to drought? New Phytol. 2008, 178, 719–739. [Google Scholar] [CrossRef]
- Trugman, A.T. Integrating plant physiology and community ecology across scales through trait-based models to predict drought mortality. New Phytol. 2022, 234, 21–27. [Google Scholar] [CrossRef] [PubMed]
- Müller, L.M.; Bahn, M. Drought legacies and ecosystem responses to subsequent drought. Glob. Change Biol. 2022, 28, 5086–5103. [Google Scholar] [CrossRef]
- Li, Q.; Zhang, C.; Shen, Y.; Jia, W.; Li, J. Quantitative assessment of the relative roles of climate change and human activities in desertification processes on the Qinghai-Tibet Plateau based on net primary productivity. Catena 2016, 147, 789–796. [Google Scholar] [CrossRef]
- Hou, Q.; Ji, Z.; Yang, H.; Yu, X. Impacts of climate change and human activities on different degraded grassland based on NDVI. Sci. Rep.-UK 2022, 12, 15918. [Google Scholar] [CrossRef]
- Zhang, M.; Zhang, F.; Guo, L.; Dong, P.; Cheng, C.; Kumar, P.; Johnson, B.A.; Chan, N.W.; Shi, J. Contributions of climate change and human activities to grassland degradation and improvement from 2001 to 2020 in Zhaosu County, China. J. Environ. Manag. 2023, 348, 119465. [Google Scholar] [CrossRef]
- Krisztin, T.; van Dijk, M.; Piribauer, P. Herding resilience: Surveys and Bayesian spatial models for Africa’s livestock. Environ. Dev. 2025, 54, 101141. [Google Scholar] [CrossRef]
- Liu, W.; Zhang, H.; Lü, X.T.; Zhou, Y.; Yang, Y.; Lü, Y.; Yang, J.; Wen, L.; Pan, Q.; Han, X. Dynamics and drivers of primary productivity along a 40-year grazing exclusion chronosequence in a typical steppe of Inner Mongolia. Restor. Ecol. 2025, 33, e14377. [Google Scholar] [CrossRef]
- Yu, L.; Du, Z.; Li, X.; Gu, J.; Li, X.; Zhong, L.; Duojiweise; Wu, H.; Zhao, Q.; Ma, X. FROM-GLC Plus 3.0: Multimodal Land Change Mapping with SAM and Dense Surface Observations. J. Remote Sens. 2025, 5, 728. [Google Scholar] [CrossRef]
- Li, Z.; He, W.; Cheng, M.; Hu, J.; Yang, G.; Zhang, H. SinoLC-1: The first 1 m resolution national-scale land-cover map of China created with a deep learning framework and open-access data. Earth Syst. Sci. Data 2023, 15, 4749–4780. [Google Scholar] [CrossRef]
- Kalthof, M.W.; De Bruijn, J.; De Moel, H.; Kreibich, H.; Aerts, J.C. Adaptive behavior of farmers under consecutive droughts results in more vulnerable farmers: A large-scale agent-based modeling analysis in the Bhima basin, India. Nat. Hazard. Earth Sys. 2025, 25, 1013–1035. [Google Scholar] [CrossRef]
- Konings, A.G.; Saatchi, S.S.; Frankenberg, C.; Keller, M.; Leshyk, V.; Anderegg, W.R.; Humphrey, V.; Matheny, A.M.; Trugman, A.; Sack, L. Detecting forest response to droughts with global observations of vegetation water content. Glob. Change Biol. 2021, 27, 6005–6024. [Google Scholar] [CrossRef]
- Herrault, P.; Ullmann, A.; Ertlen, D. Combined effects of topography, soil moisture, and snow cover regimes on growth responses of grasslands in a low-mountain range (Vosges, France). Biogeosciences 2025, 22, 705–724. [Google Scholar] [CrossRef]
- Fan, Y.; Clark, M.; Lawrence, D.M.; Swenson, S.; Band, L.E.; Brantley, S.L.; Brooks, P.D.; Dietrich, W.E.; Flores, A.; Grant, G. Hillslope hydrology in global change research and earth system modeling. Water Resour. Res. 2019, 55, 1737–1772. [Google Scholar] [CrossRef]
- Mardian, J. The role of spatial scale in drought monitoring and early warning systems: A review. Environ. Rev. 2022, 30, 438–459. [Google Scholar] [CrossRef]






| SPI Value | Class |
|---|---|
| SPI > 2.0 | Extremely wet |
| 1.5 < SPI ≤ 2.0 | Very wet |
| 1.0 < SPI ≤ 1.5 | Moderately wet |
| 0 < SPI ≤ 1.0 | Mild wet (near normal) |
| −1.0 < SPI ≤ 0 | Mild dry (near normal) |
| −1.5 < SPI ≤ −1.0 | Moderately dry |
| −2.0 < SPI ≤ −1.5 | Severely dry |
| SPI ≤ −2.0 | Extremely dry |
| Input Data | Parameter Contents | Spatial Resolution | Time Resolution | Output Result |
|---|---|---|---|---|
| Meteorological data | Daily maximum/minimum/average temperature, precipitation, vapor pressure deficit, shortwave radiation, etc. | Partial to regional/global scale | Daily, monthly, yearly | Annual precipitation, annual average temperature, maximum leaf area index, annual evapotranspiration, annual runoff, annual NPP, and annual net biomass productivity. |
| Initialization file | Longitude, latitude, altitude, soil depth, CO2 concentration (interannual variation), vegetation type selection, input/output file settings, etc. | |||
| Physiological and ecological parameters | Including 44 parameters, such as the carbon-to-nitrogen ratio in leaves, the carbon-to-nitrogen ratio in roots, stomatal conductance, canopy extinction coefficient, canopy specific leaf area, nitrogen content in leaf carboxylase tissue, etc. |
| Drought Intensity | Duration | NPP Losses | |||
|---|---|---|---|---|---|
| Pearson correlation coefficient | Drought intensity | Correlation | 1 | −0.583 ** | 0.143 ** |
| Significant | - | 0.000 | 0.000 | ||
| N | 1920 | 1920 | 1920 | ||
| Duration | Correlation | −0.583 ** | 1 | −0.309 ** | |
| Significant | 0.000 | - | 0.000 | ||
| N | 1920 | 1920 | 1920 | ||
| NPP losses | Correlation | 0.143 ** | −0.309 ** | 1 | |
| Significant | 0.000 | 0.000 | - | ||
| N | 1920 | 1920 | 1920 | ||
| Kendall correlation coefficient | Drought intensity | Correlation | 1.000 | −0.436 ** | 0.101 ** |
| Significant | - | 0.000 | 0.000 | ||
| N | 1920 | 1920 | 1920 | ||
| Duration | Correlation | −0.436 ** | 1.000 | −0.241 ** | |
| Significant | 0.000 | - | 0.000 | ||
| N | 1920 | 1920 | 1920 | ||
| NPP losses | Correlation | 0.101 ** | −0.241 ** | 1.000 | |
| Significant | 0.000 | 0.000 | - | ||
| N | 1920 | 1920 | 1920 | ||
| Spearman correlation coefficient | Drought intensity | Correlation | 1.000 | −0.585 ** | 0.146 ** |
| Significant | - | 0.000 | 0.000 | ||
| N | 1920 | 1920 | 1920 | ||
| Duration | Correlation | −0.585 ** | 1.000 | −0.328 ** | |
| Significant | 0.000 | - | 0.000 | ||
| N | 1920 | 1920 | 1920 | ||
| NPP losses | Correlation | 0.146 ** | −0.328 ** | 1.000 | |
| Significant | 0.000 | 0.000 | - | ||
| N | 1920 | 1920 | 1920 |
| Drought Intensity | Duration | NPP Losses | |||
|---|---|---|---|---|---|
| Pearson correlation coefficient | Drought intensity | Correlation | 1 | −0.648 ** | 0.155 ** |
| Significant | - | 0.000 | 0.000 | ||
| N | 2174 | 2174 | 2174 | ||
| Duration | Correlation | −0.648 ** | 1 | −0.282 ** | |
| Significant | 0.000 | - | 0.000 | ||
| N | 2174 | 2174 | 2174 | ||
| NPP losses | Correlation | 0.155 ** | −0.282** | 1 | |
| Significant | 0.000 | 0.000 | - | ||
| N | 2174 | 2174 | 2174 | ||
| Kendall correlation coefficient | Drought intensity | Correlation | 1.000 | −0.517 ** | 0.124 ** |
| Significant | - | 0.000 | 0.000 | ||
| N | 2174 | 2174 | 2174 | ||
| Duration | Correlation | −0.517 ** | 1.000 | −0.225 ** | |
| Significant | 0.000 | - | 0.000 | ||
| N | 2174 | 2174 | 2174 | ||
| NPP losses | Correlation | 0.124 ** | −0.225 ** | 1.000 | |
| Significant | 0.000 | 0.000 | - | ||
| N | 2174 | 2174 | 2174 | ||
| Spearman correlation coefficient | Drought intensity | Correlation | 1.000 | −0.678 ** | 0.187 ** |
| Significant | - | 0.000 | 0.000 | ||
| N | 2174 | 2174 | 2174 | ||
| Duration | Correlation | −0.678 ** | 1.000 | −0.304 ** | |
| Significant | 0.000 | - | 0.000 | ||
| N | 2174 | 2174 | 2174 | ||
| NPP losses | Correlation | 0.187 ** | −0.304 ** | 1.000 | |
| Significant | 0.000 | 0.000 | - | ||
| N | 2174 | 2174 | 2174 |
| Drought Intensity | Duration | NPP Losses | |||
|---|---|---|---|---|---|
| Pearson correlation coefficient | Drought intensity | Correlation | 1 | −0.553 ** | 0.252 ** |
| Significant | - | 0.000 | 0.000 | ||
| N | 434 | 434 | 434 | ||
| Duration | Correlation | −0.553 ** | 1 | −0.533 ** | |
| Significant | 0.000 | - | 0.000 | ||
| N | 434 | 434 | 434 | ||
| NPP losses | Correlation | 0.252 ** | −0.533 ** | 1 | |
| Significant | 0.000 | 0.000 | - | ||
| N | 434 | 434 | 434 | ||
| Kendall correlation coefficient | Drought intensity | Correlation | 1.000 | −0.419 ** | 0.160 ** |
| Significant | - | 0.000 | 0.000 | ||
| N | 434 | 434 | 434 | ||
| Duration | Correlation | −0.419 ** | 1.000 | −0.306 ** | |
| Significant | 0.000 | - | 0.000 | ||
| N | 434 | 434 | 434 | ||
| NPP losses | Correlation | 0.160 ** | −0.306 ** | 1.000 | |
| Significant | 0.000 | 0.000 | - | ||
| N | 434 | 434 | 434 | ||
| Spearman correlation coefficient | Drought intensity | Correlation | 1.000 | −0.569 ** | 0.251 ** |
| Significant | - | 0.000 | 0.000 | ||
| N | 434 | 434 | 434 | ||
| Duration | Correlation | −0.569 ** | 1.000 | −0.421 ** | |
| Significant | 0.000 | - | 0.000 | ||
| N | 434 | 434 | 434 | ||
| NPP losses | Correlation | 0.251 ** | −0.421 ** | 1.000 | |
| Significant | 0.000 | 0.000 | - | ||
| N | 434 | 434 | 434 |
| Error Interval (gC/m2/yr) | 0–10 | 10–20 | 20–30 | 30–50 | Total |
|---|---|---|---|---|---|
| Number | 16 | 12 | 15 | 10 | 53 |
| Grassland Type | Drought Intensity | Duration (Month) | Observed Value (gC/m2/yr) | Simulated Value (gC/m2/yr) | The Error (gC/m2/yr) |
|---|---|---|---|---|---|
| Meadow grassland | −1.79 | 15.6 | 58.567 | 35.69904 | 22.86796 |
| Meadow grassland | −2.525 | 14.5 | 29.487 | 25.01667 | 4.470332 |
| Meadow grassland | −2.88 | 12 | 27.495 | 39.61448 | −12.1195 |
| Typical grassland | −1.7881 | 15.6 | 133.39 | 175.0036 | −41.6136 |
| Typical grassland | −2.4925 | 14.25 | 169.71 | 180.8234 | −11.1134 |
| Typical grassland | −2.515 | 14.5 | 229 | 185.5535 | 43.44649 |
| Desert grassland | −2.685 | 12.5 | 58.565 | 70.87139 | −12.3064 |
| Desert grassland | −2.495 | 13 | 53.106 | 75.07639 | −21.9704 |
Disclaimer/Publisher’s Note: The statements, opinions and data contained in all publications are solely those of the individual author(s) and contributor(s) and not of MDPI and/or the editor(s). MDPI and/or the editor(s) disclaim responsibility for any injury to people or property resulting from any ideas, methods, instructions or products referred to in the content. |
© 2026 by the authors. Licensee MDPI, Basel, Switzerland. This article is an open access article distributed under the terms and conditions of the Creative Commons Attribution (CC BY) license.
Share and Cite
Ma, Y.; Lei, T.; Wang, J.; Lin, Z.; Li, H.; Liu, B. Quantitative Assessment of Drought Impact on Grassland Productivity in Inner Mongolia Using SPI and Biome-BGC. Diversity 2026, 18, 36. https://doi.org/10.3390/d18010036
Ma Y, Lei T, Wang J, Lin Z, Li H, Liu B. Quantitative Assessment of Drought Impact on Grassland Productivity in Inner Mongolia Using SPI and Biome-BGC. Diversity. 2026; 18(1):36. https://doi.org/10.3390/d18010036
Chicago/Turabian StyleMa, Yunjia, Tianjie Lei, Jiabao Wang, Zhitao Lin, Hang Li, and Baoyin Liu. 2026. "Quantitative Assessment of Drought Impact on Grassland Productivity in Inner Mongolia Using SPI and Biome-BGC" Diversity 18, no. 1: 36. https://doi.org/10.3390/d18010036
APA StyleMa, Y., Lei, T., Wang, J., Lin, Z., Li, H., & Liu, B. (2026). Quantitative Assessment of Drought Impact on Grassland Productivity in Inner Mongolia Using SPI and Biome-BGC. Diversity, 18(1), 36. https://doi.org/10.3390/d18010036

