Sign in to use this feature.

Years

Between: -

Subjects

remove_circle_outline
remove_circle_outline
remove_circle_outline
remove_circle_outline
remove_circle_outline
remove_circle_outline
remove_circle_outline
remove_circle_outline
remove_circle_outline

Journals

remove_circle_outline
remove_circle_outline
remove_circle_outline
remove_circle_outline
remove_circle_outline
remove_circle_outline
remove_circle_outline

Article Types

Countries / Regions

remove_circle_outline
remove_circle_outline
remove_circle_outline
remove_circle_outline
remove_circle_outline

Search Results (853)

Search Parameters:
Keywords = precise tracking and measurement

Order results
Result details
Results per page
Select all
Export citation of selected articles as:
19 pages, 4201 KB  
Article
Implementation of an SS-Compensated LC-Thermistor Topology for Passive Wireless Temperature Sensing
by Seyit Ahmet Sis and Yeliz Dikerler Kozar
Sensors 2025, 25(20), 6316; https://doi.org/10.3390/s25206316 (registering DOI) - 13 Oct 2025
Abstract
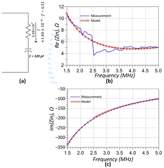
This paper presents a passive wireless temperature sensor based on an SS-compensated LC-thermistor topology. The system consists of two magnetically coupled LC tanks—each composed of a coil and a series capacitor—forming a series–series (SS) compensation network. The secondary side includes a negative temperature [...] Read more.
This paper presents a passive wireless temperature sensor based on an SS-compensated LC-thermistor topology. The system consists of two magnetically coupled LC tanks—each composed of a coil and a series capacitor—forming a series–series (SS) compensation network. The secondary side includes a negative temperature coefficient (NTC) thermistor connected in series with its coil and capacitor, acting as a temperature-dependent load. Magnetically coupled resonant systems exhibit different coupling regimes: weak, critical, and strong. When operating in the strongly coupled regime, the original resonance splits into two distinct frequencies—a phenomenon known as bifurcation. At these split resonance frequencies, the load impedance on the secondary side is reflected as pure resistance at the primary side. In the SS topology, this reflected resistance is equal to the thermistor resistance, enabling precise wireless sensing. The advantage of the SS-compensated configuration lies in its ability to map changes in the thermistor’s resistance directly to the input impedance seen by the reader circuit. As a result, the sensor can wirelessly monitor temperature variations by simply tracking the input impedance at split resonance points. We experimentally validate this property on a benchtop prototype using a one-port VNA measurement, demonstrating that the input resistance at both split frequencies closely matches the expected thermistor resistance, with the observed agreement influenced by the parasitic effects of RF components within the tested temperature range. We also demonstrate that using the average readout provides first-order immunity to small capacitor drift, yielding stable readings. Full article
(This article belongs to the Section Physical Sensors)
Show Figures

Figure 1

30 pages, 7520 KB  
Review
Probing the Sources of Ultra-High-Energy Cosmic Rays—Constraints from Cosmic-Ray Measurements
by Teresa Bister
Universe 2025, 11(10), 331; https://doi.org/10.3390/universe11100331 - 3 Oct 2025
Viewed by 195
Abstract
Ultra-high-energy cosmic rays (UHECRs) are the most energetic particles known—and yet their origin is still an open question. However, with the precision and accumulated statistics of the Pierre Auger Observatory and the Telescope Array, in combination with advancements in theory and modeling—e.g., of [...] Read more.
Ultra-high-energy cosmic rays (UHECRs) are the most energetic particles known—and yet their origin is still an open question. However, with the precision and accumulated statistics of the Pierre Auger Observatory and the Telescope Array, in combination with advancements in theory and modeling—e.g., of the Galactic magnetic field—it is now possible to set solid constraints on the sources of UHECRs. The spectrum and composition measurements above the ankle can be well described by a population of extragalactic, homogeneously distributed sources emitting mostly intermediate-mass nuclei. Additionally, using the observed anisotropy in the arrival directions, namely the large-scale dipole > 8 EeV, as well as smaller-scale warm spots at higher energies, even more powerful constraints on the density and distribution of sources can be placed. Yet, open questions remain—like the striking similarity of the sources that is necessary to describe the rather pure mass composition above the ankle, or the origin of the highest energy events whose tracked back directions point toward voids. The current findings and possible interpretation of UHECR data will be presented in this review. Full article
Show Figures

Figure 1

23 pages, 12546 KB  
Article
Performance Evaluation of a UAV-Based Graded Precision Spraying System: Analysis of Spray Accuracy, Response Errors, and Field Efficacy
by Yang Lyu, Seung-Hwa Yu, Chun-Gu Lee, Pingan Wang, Yeong-Ho Kang, Dae-Hyun Lee and Xiongzhe Han
Agriculture 2025, 15(19), 2070; https://doi.org/10.3390/agriculture15192070 - 2 Oct 2025
Viewed by 396
Abstract
Advances in sensor technology have significantly improved the efficiency and precision of agricultural spraying. Unmanned aerial vehicles (UAVs) are widely utilized for applying plant protection products (PPPs) and fertilizers, offering enhanced spatial control and operational flexibility. This study evaluated the performance of an [...] Read more.
Advances in sensor technology have significantly improved the efficiency and precision of agricultural spraying. Unmanned aerial vehicles (UAVs) are widely utilized for applying plant protection products (PPPs) and fertilizers, offering enhanced spatial control and operational flexibility. This study evaluated the performance of an autonomous UAV-based precision spraying system that applies variable rates based on zone levels defined in a prescription map. The system integrates real-time kinematic global navigation satellite system positioning with a proximity-triggered spray algorithm. Field experiments on a rice field were conducted to assess spray accuracy and fertilization efficacy with liquid fertilizer. Spray deposition patterns on water-sensitive paper showed that the graded strategy distinguished among zone levels, with the highest deposition in high-spray zones, moderate in medium zones, and minimal in no-spray zones. However, entry and exit deviations—used to measure system response delays—averaged 0.878 m and 0.955 m, respectively, indicating slight lags in spray activation and deactivation. Fertilization results showed that higher application levels significantly increased the grain-filling rate and thousand-grain weight (both p < 0.001), but had no significant effect on panicle number or grain count per panicle (p > 0.05). This suggests that increased fertilization primarily enhances grain development rather than overall plant structure. Overall, the system shows strong potential to optimize inputs and yields, though UAV path tracking errors and system response delays require further refinement to enhance spray uniformity and accuracy under real-world applications. Full article
(This article belongs to the Special Issue Design and Development of Smart Crop Protection Equipment)
Show Figures

Figure 1

25 pages, 12510 KB  
Article
Computer Vision-Based Optical Odometry Sensors: A Comparative Study of Classical Tracking Methods for Non-Contact Surface Measurement
by Ignas Andrijauskas, Marius Šumanas, Andrius Dzedzickis, Wojciech Tanaś and Vytautas Bučinskas
Sensors 2025, 25(19), 6051; https://doi.org/10.3390/s25196051 - 1 Oct 2025
Viewed by 476
Abstract
This article presents a principled framework for selecting and tuning classical computer vision algorithms in the context of optical displacement sensing. By isolating key factors that affect algorithm behavior—such as feed window size and motion step size—the study seeks to move beyond intuition-based [...] Read more.
This article presents a principled framework for selecting and tuning classical computer vision algorithms in the context of optical displacement sensing. By isolating key factors that affect algorithm behavior—such as feed window size and motion step size—the study seeks to move beyond intuition-based practices and provide rigorous, repeatable performance evaluations. Computer vision-based optical odometry sensors offer non-contact, high-precision measurement capabilities essential for modern metrology and robotics applications. This paper presents a systematic comparative analysis of three classical tracking algorithms—phase correlation, template matching, and optical flow—for 2D surface displacement measurement using synthetic image sequences with subpixel-accurate ground truth. A virtual camera system generates controlled test conditions using a multi-circle trajectory pattern, enabling systematic evaluation of tracking performance using 400 × 400 and 200 × 200 pixel feed windows. The systematic characterization enables informed algorithm selection based on specific application requirements rather than empirical trial-and-error approaches. Full article
(This article belongs to the Section Optical Sensors)
Show Figures

Figure 1

24 pages, 1319 KB  
Article
Adaptive High-Order Sliding Mode Control for By-Wire Ground Vehicle Systems
by Ariadna Berenice Flores Jiménez, Stefano Di Gennaro, Maricela Jiménez Rodríguez and Cuauhtémoc Acosta Lúa
Technologies 2025, 13(10), 443; https://doi.org/10.3390/technologies13100443 - 1 Oct 2025
Viewed by 230
Abstract
This study focuses on the design and implementation of an Adaptive High-Order sliding mode control for by-wire ground vehicle systems. The controller integrates advanced technologies such as Active Front Steering (AFS) and Rear Torque Vectoring (RTV), aimed at enhancing vehicle dynamics. However, lateral [...] Read more.
This study focuses on the design and implementation of an Adaptive High-Order sliding mode control for by-wire ground vehicle systems. The controller integrates advanced technologies such as Active Front Steering (AFS) and Rear Torque Vectoring (RTV), aimed at enhancing vehicle dynamics. However, lateral velocity remains one of the most challenging variables to measure, even in modern vehicles. To address this limitation, a High-Order Sliding Mode (HOSM)-based observer with adaptive gains is proposed. The HOSM observer provides critical information for the operation of the dynamic controller, ensuring the tracking of desired references. Compared with traditional observers, the proposed adaptive HOSM observer achieves finite-time convergence of state estimation errors and exhibits enhanced robustness against external disturbances, as confirmed through simulation results. The adaptive gains dynamically adjust the system parameters, enhancing its precision and flexibility under changing environmental conditions. This dynamic approach ensures efficient and reliable performance, enabling the system to respond effectively to complex scenarios. The stability of the dynamic HOSM controller with adaptive gain is analyzed through a Lyapunov-based approach, providing solid theoretical guarantees. Its performance is evaluated using detailed simulations conducted in CarSim 2017 software. The simulation results demonstrate that the proposed controller is highly effective in ensuring accurate trajectory tracking. Full article
(This article belongs to the Topic Dynamics, Control and Simulation of Electric Vehicles)
Show Figures

Figure 1

66 pages, 9599 KB  
Review
A Review: Absolute Linear Encoder Measurement Technology
by Maqiang Zhao, Yuyu Yuan, Linbin Luo and Xinghui Li
Sensors 2025, 25(19), 5997; https://doi.org/10.3390/s25195997 - 29 Sep 2025
Viewed by 702
Abstract
Absolute linear encoders have emerged as a core technical enabler in the fields of high-end manufacturing and precision displacement measurement, owing to their inherent advantages such as the elimination of the need for homing operations and the retention of position data even upon [...] Read more.
Absolute linear encoders have emerged as a core technical enabler in the fields of high-end manufacturing and precision displacement measurement, owing to their inherent advantages such as the elimination of the need for homing operations and the retention of position data even upon power failure. However, there remains a notable scarcity of comprehensive review materials that can provide systematic guidance for practitioners engaged in the field of absolute linear encoder measurement technology. The present study aims to address this gap by offering a practical reference to professionals in this domain. In this research, we first systematically delineate the three fundamental categories of measurement principles underlying absolute linear encoders. Subsequently, we analyze the evolutionary trajectory of coding technologies, encompassing the design logics and application characteristics of quasi-absolute coding (including non-embedded and embedded variants) as well as absolute coding (covering multi-track and single-track configurations). Furthermore, we summarize the primary error sources that influence measurement accuracy and explore the operational mechanisms of various types of errors. This study clarifies the key technical pathways and existing challenges associated with absolute linear encoders, thereby providing practitioners in relevant fields with a decision-making guide for technology selection and insights into future development directions. Moving forward, efforts should focus on achieving breakthroughs in critical technologies such as high fault-tolerant coding design, integrated manufacturing, and error compensation, so as to advance the development of absolute linear encoders toward higher precision, miniaturization, cost reduction, and enhanced reliability. Full article
(This article belongs to the Section Optical Sensors)
Show Figures

Figure 1

24 pages, 10272 KB  
Article
Information Geometry-Based Two-Stage Track-Before-Detect Algorithm for Multi-Target Detection in Sea Clutter
by Jinguo Liu, Hao Wu, Zheng Yang, Xiaoqiang Hua and Yongqiang Cheng
Entropy 2025, 27(10), 1017; https://doi.org/10.3390/e27101017 - 27 Sep 2025
Viewed by 219
Abstract
To address the challenges of radar multi-target detection in marine environments, this paper proposes an information geometry (IG)-based, two-stage track-before-detect (TBD) framework. Specifically, multi-target measurements are first modeled on the manifold, leveraging its geometric properties for enhanced detection. The designed scoring function incorporates [...] Read more.
To address the challenges of radar multi-target detection in marine environments, this paper proposes an information geometry (IG)-based, two-stage track-before-detect (TBD) framework. Specifically, multi-target measurements are first modeled on the manifold, leveraging its geometric properties for enhanced detection. The designed scoring function incorporates both the feature dissimilarity between targets and clutter, as well as the precise inter-target path associations. Consequently, a novel merit function combining feature dissimilarity and transition cost is derived to mitigate the mutual interference between adjacent targets. Subsequently, to overcome the integrated merit function expansion phenomenon, a two-stage integration strategy combining dynamic programming (DP) and greedy integration (GI) algorithms was adopted. To tackle the challenges of unknown target numbers and computationally infeasible multi-hypothesis testing, a target cancellation detection scheme is proposed. Furthermore, by exploiting the independence of multi-target motions, an efficient implementation method for the detector is developed. Experimental results demonstrate that the proposed algorithm inherits the superior clutter discrimination capability of IG detectors in sea clutter environments while effectively resolving track mismatches between neighboring targets. Finally, the effectiveness of the proposed method was validated using real-recorded sea clutter data, showing significant improvements over conventional approaches, and the signal-to-clutter ratio was improved by at least 2 dB. Full article
(This article belongs to the Section Information Theory, Probability and Statistics)
Show Figures

Figure 1

21 pages, 2138 KB  
Article
Evaluation of a Cyber-Physical System with Fuzzy Control for Efficiency Optimization in Rotary Dryers: Real-Time Multivariate Monitoring of Humidity, Temperature, Air Velocity and Mass Loss
by Juan Manuel Tabares-Martinez, Adriana Guzmán-López, Micael Gerardo Bravo-Sánchez, Salvador Martín Aceves, Yaquelin Verenice Pantoja-Pacheco and Juan Pablo Aguilera-Álvarez
Technologies 2025, 13(9), 424; https://doi.org/10.3390/technologies13090424 - 21 Sep 2025
Viewed by 419
Abstract
Precise control and monitoring systems are essential for efficient energy consumption in food dehydration. This study develops an applied cyber-physical control system to optimize food dehydration in rotary dryers, integrating fuzzy control algorithms through data acquisition. The system architecture utilizes DHT22 transducers for [...] Read more.
Precise control and monitoring systems are essential for efficient energy consumption in food dehydration. This study develops an applied cyber-physical control system to optimize food dehydration in rotary dryers, integrating fuzzy control algorithms through data acquisition. The system architecture utilizes DHT22 transducers for temperature monitoring, a DHT11 for humidity measurement, an IP65 anemometer for dryer wind speed detection, and a load cell weight tracking system, all connected to an Arduino Mega 2560 R3 microcontroller implementing the integrated fuzzy logic library. Experimental evaluations were performed with different carrot loads (1.5, 2.5, and 3.5 kg), demonstrating optimal performance at the initial load of 3.5 kg with an energy consumption of 11,589 kJ for 9.33 h, achieving a final moisture reduction of 10%. The 1.5 kg sample showed optimal dehydration kinetics at an average dryer hot air velocity of 1.5 m/s, while maximum efficiency (86%) was achieved with the 3.5 kg load, compared to 30% and 17% for the smaller batches. These results validate the integration of cyber-physical systems to optimize the dehydration rate (0.301 kg/h), thereby ensuring product quality in agro-industrial drying applications. Full article
(This article belongs to the Section Assistive Technologies)
Show Figures

Graphical abstract

25 pages, 11424 KB  
Article
AI-Based Optimization of a Neural Discrete-Time Sliding Mode Controller via Bayesian, Particle Swarm, and Genetic Algorithms
by Carlos E. Castañeda
Robotics 2025, 14(9), 128; https://doi.org/10.3390/robotics14090128 - 19 Sep 2025
Viewed by 353
Abstract
This work introduces a unified Artificial Intelligence-based framework for the optimal tuning of gains in a neural discrete-time sliding mode controller (SMC) applied to a two-degree-of-freedom robotic manipulator. The novelty lies in combining surrogate-assisted optimization with normalized search spaces to enable a fair [...] Read more.
This work introduces a unified Artificial Intelligence-based framework for the optimal tuning of gains in a neural discrete-time sliding mode controller (SMC) applied to a two-degree-of-freedom robotic manipulator. The novelty lies in combining surrogate-assisted optimization with normalized search spaces to enable a fair comparative analysis of three metaheuristic strategies: Bayesian Optimization (BO), Particle Swarm Optimization (PSO), and Genetic Algorithms (GAs). The manipulator dynamics are identified via a discrete-time recurrent high-order neural network (NN) trained online using an Extended Kalman Filter with adaptive noise covariance updates, allowing the model to accurately capture unmodeled dynamics, nonlinearities, parametric variations, and process/measurement noise. This neural representation serves as the predictive plant for the discrete-time SMC, enabling precise control of joint angular positions under sinusoidal phase-shifted references. To construct the optimization dataset, MATLAB® simulations sweep the controller gains (k0*,k1*) over a bounded physical domain, logging steady-state tracking errors. These are normalized to mitigate scaling effects and improve convergence stability. Optimization is executed in Python® using integrated scikit-learn, DEAP, and scikit-optimize routines. Simulation results reveal that all three algorithms reach high-performance gain configurations. Here, the combined cost is the normalized aggregate objective J˜ constructed from the steady-state tracking errors of both joints. Under identical experimental conditions (shared data loading/normalization and a single Python pipeline), PSO attains the lowest error in Joint 1 (7.36×105 rad) with the shortest runtime (23.44 s); GA yields the lowest error in Joint 2 (8.18×103 rad) at higher computational expense (≈69.7 s including refinement); and BO is competitive in both joints (7.81×105 rad, 8.39×103 rad) with a runtime comparable to PSO (23.65 s) while using only 50 evaluations. Full article
(This article belongs to the Section AI in Robotics)
Show Figures

Figure 1

13 pages, 2630 KB  
Article
Research on Polar-Axis Direct Solar Radiation Spectrum Measurement Method
by Jingrui Sun, Yangyang Zou, Lu Wang, Jian Zhang, Yu Zhang, Ke Zhang, Yang Su, Junjie Yang, Ran Zhang and Guoyu Zhang
Photonics 2025, 12(9), 931; https://doi.org/10.3390/photonics12090931 - 18 Sep 2025
Viewed by 401
Abstract
High-precision measurements of direct solar radiation spectra are crucial for the development of solar resources, climate change research, and agricultural applications. However, the current measurement systems all rely on a moving two-axis tracking system with a complex structure and many error transmission links. [...] Read more.
High-precision measurements of direct solar radiation spectra are crucial for the development of solar resources, climate change research, and agricultural applications. However, the current measurement systems all rely on a moving two-axis tracking system with a complex structure and many error transmission links. In response to the above problems, a polar-axis rotating solar direct radiation spectroscopic measurement method is proposed, and an overall architecture consisting of a rotating reflector and a spectroradiometric measurement system is constructed, which simplifies the system’s structural form and enables year-round, full-latitude solar direct radiation spectroscopic measurements without requiring moving tracking. The paper focuses on the study of its optical system, optimizes the design of a polar-axis rotating solar direct radiation spectroscopy measurement optical system with a spectral range of 380–780 nm and a spectral resolution better than 2 nm, and carries out spectral reconstruction of the solar direct radiation spectra as well as the assessment of measurement accuracy. The results show that the point error distribution of the AM0 spectral curve ranges from −9.05% to 13.35%, and the area error distribution ranges from −0.04% to 0.09%; the point error distribution of the AM1.5G spectral curve ranges from −9.19% to 13.66%, and the area error distribution ranges from −0.03% to 0.11%. Both exhibit spatial and temporal uniformity exceeding 99.92%, ensuring excellent measurement performance throughout the year. The measurement method proposed in this study enhances the solar direct radiation spectral measurement system. Compared to the existing dual-axis moving tracking measurement method, the system composition is simplified, enabling direct solar radiation spectrum measurement at all latitudes throughout the year without the need for tracking, providing technical support for the development and application of new technologies for solar direct radiation measurement. It is expected to promote future theoretical research and technological breakthroughs in this field. Full article
Show Figures

Figure 1

28 pages, 2185 KB  
Review
Biosensor-Integrated Tibial Components in Total Knee Arthroplasty: A Narrative Review of Innovations, Challenges, and Translational Frontiers
by Ahmed Nadeem-Tariq, Christopher J. Fang, Jeffrey Lucas Hii and Karen Nelson
Bioengineering 2025, 12(9), 988; https://doi.org/10.3390/bioengineering12090988 - 17 Sep 2025
Viewed by 533
Abstract
Background: The incorporation of biosensors into orthopedic implants, particularly tibial components in total knee arthroplasty (TKA), marks a new era in personalized joint replacement. These smart systems aim to provide real-time physiological and mechanical data, enabling dynamic postoperative monitoring and enhanced surgical precision. [...] Read more.
Background: The incorporation of biosensors into orthopedic implants, particularly tibial components in total knee arthroplasty (TKA), marks a new era in personalized joint replacement. These smart systems aim to provide real-time physiological and mechanical data, enabling dynamic postoperative monitoring and enhanced surgical precision. Objective: This narrative review synthesizes the current landscape of electrochemical biosensor-embedded tibial implants in TKA, exploring technical mechanisms, clinical applications, challenges, and future directions for translation into clinical practice. Methods: A comprehensive literature review was conducted across PubMed and Google Scholar. Articles were thematically categorized into technology design, integration strategies, preclinical and clinical evidence, regulatory frameworks, ethical considerations, and strategic recommendations. Findings were synthesized narratively and organized to support forward-looking system design. Results: Smart tibial implants have demonstrated feasibility in both bench and early clinical settings. Key advances include pressure-sensing intraoperative tools, inertial measurement units for remote gait tracking, and chemical biosensors for infection surveillance. However, the field remains limited by biological encapsulation, signal degradation, regulatory uncertainty, and data privacy challenges. Interdisciplinary design, standardized testing, translational funding, and ethical oversight are essential to scaling these innovations. Conclusions: Biosensor-enabled tibial components represent a promising convergence of orthopedics, electronics, and data science. By addressing the technological, biological, regulatory, and ethical gaps outlined herein, this field can transition from prototype to widespread clinical reality—offering new precision in arthroplasty care. Full article
Show Figures

Figure 1

22 pages, 5930 KB  
Article
A Computer Vision-Based Pedestrian Flow Management System for Footbridges and Its Applications
by Can Zhao, Yiyang Jiang and Jinfeng Wang
Infrastructures 2025, 10(9), 247; https://doi.org/10.3390/infrastructures10090247 - 17 Sep 2025
Viewed by 427
Abstract
Urban footbridges are critical infrastructure increasingly challenged by vibration issues induced by crowd activity. Real-time monitoring of pedestrian dynamics is essential for evaluating structural safety, ensuring pedestrian comfort, and enabling proactive management. This paper proposes a lightweight, fully automated computer vision system for [...] Read more.
Urban footbridges are critical infrastructure increasingly challenged by vibration issues induced by crowd activity. Real-time monitoring of pedestrian dynamics is essential for evaluating structural safety, ensuring pedestrian comfort, and enabling proactive management. This paper proposes a lightweight, fully automated computer vision system for real-time monitoring of crowd dynamics on footbridges. The system integrates object detection, multi-target tracking, and monocular depth estimation to precisely quantify key crowd metrics: pedestrian flow rate, density, and velocity. Experimental validation demonstrated high performance: Flow rate estimation achieved 92.7% accuracy; density estimation yielded a 2.05% average relative error; and velocity estimation showed an 8.7% average relative error. Furthermore, the system demonstrates practical utility by successfully categorizing pedestrian behaviors using velocity data and triggering timely warnings. Crucially, field tests confirmed a minimum error of 5.56% between bridge vibration simulations driven by the system’s captured crowd data and physically measured acceleration data. This high agreement validates the system’s capability to provide reliable inputs for structural assessment. The proposed system establishes a practical technological foundation for intelligent footbridge management, focusing on safety, comfort, and operational efficiency through real-time crowd insights and automated alerts. Full article
Show Figures

Figure 1

21 pages, 2309 KB  
Article
LEO ISL-Assisted BDS-3 and LEO Rapid Joint Precise Orbit Determination
by Le Wang, Dandan Song, Wen Lai, Bobin Cui and Guanwen Huang
Remote Sens. 2025, 17(18), 3204; https://doi.org/10.3390/rs17183204 - 17 Sep 2025
Viewed by 381
Abstract
BDS-3 faces challenges in achieving precision orbit determination (POD) due to the difficulty of establishing a globally uniform distribution of independently operated ground tracking stations. The use of onboard BDS-3 observations collected by low Earth orbit (LEO) satellites can partially mitigate this limitation. [...] Read more.
BDS-3 faces challenges in achieving precision orbit determination (POD) due to the difficulty of establishing a globally uniform distribution of independently operated ground tracking stations. The use of onboard BDS-3 observations collected by low Earth orbit (LEO) satellites can partially mitigate this limitation. However, these observations introduce additional parameters, such as receiver clock offsets and carrier-phase ambiguities, which substantially increase the computational burden. Therefore, the capability of achieving real-time (RT) joint POD for BDS-3 and LEO satellites, relying solely on independently operated tracking stations, is greatly constrained. Currently, the inter-satellite links (ISLs) of BDS-3 have been successfully demonstrated to be effective for POD of BDS-3 satellites. In the future, ISLs of LEO satellites will also be incorporated as a measurement technique. Compared to traditional BDS-3 onboard observations, POD using ISLs involves almost no additional parameters other than the orbital states. Therefore, this paper proposes a method that combines onboard BDS-3 receivers on a subset of LEO satellites with LEO ISL observations to achieve rapid high-precision joint POD for BDS-3 and the full LEO constellation. To validate the proposed approach, measured BDS-3 data from regional ground stations in China are employed, together with simulated onboard BDS-3 data and simulated LEO ISL observations. All datasets were obtained over a three-day period, corresponding to days 131–133 of the year 2025. Firstly, it is demonstrated that, when relying solely on regional ground stations, the 24 MEO and 3 IGSO satellites of BDS-3 cannot achieve high-precision POD, with 1D RMS orbit accuracies of only 11.6 cm and 26.9 cm, respectively. Incorporating onboard BDS-3 data from LEO satellites significantly improves orbit determination accuracy, with 1D RMS accuracies reaching 4.9 cm for MEO and 6.4 cm for IGSO satellites, while LEO satellites themselves achieve orbit accuracy better than 5 cm. Subsequently, the computational burden introduced by onboard BDS-3 data from LEO satellites in joint POD is further assessed. On average, incorporating onboard BDS-3 data from 10 LEO satellites adds approximately 6780 parameters to be estimated, substantially increasing computation time. When onboard BDS-3 data from 20 LEO satellites are included, the achieved BDS-3 orbit accuracy shows negligible degradation compared to using data from all LEO satellites, with 1D RMS accuracies of 4.9 cm and 6.7 cm for MEO and IGSO, respectively. Meanwhile, the processing time for a single batch least squares (BLSQ) solution decreases dramatically from 27.0 min to 5.7 min. Increasing the number of LEO satellites to 30 further improves BDS-3 orbit accuracy, mainly due to the enhanced orbit precision of the LEO satellites. After incorporating LEO ISLs, LEO satellites achieve orbit accuracy in the 1D direction of approximately 1 cm, regardless of whether their onboard BDS-3 data are used. In summary, the proposed approach significantly reduces computational burden while ensuring orbit determination accuracy for both BDS-3 and LEO satellites. This approach is more likely to realize real-time joint POD of BDS-3 and LEO satellites based on large-scale LEO constellations. Full article
(This article belongs to the Special Issue GNSS and Multi-Sensor Integrated Precise Positioning and Applications)
Show Figures

Figure 1

14 pages, 3113 KB  
Article
mmPhysio: Millimetre-Wave Radar for Precise Hop Assessment
by José A. Paredes, Felipe Parralejo, Teodoro Aguilera and Fernando J. Álvarez
Sensors 2025, 25(18), 5751; https://doi.org/10.3390/s25185751 - 15 Sep 2025
Viewed by 388
Abstract
Motion tests for physiotherapy purposes are a cornerstone in a rehabilitation process. For many reasons, clinicians have been manually measuring and tracking movements so far, being subject to inaccuracies and increasing the time spent in those assessments. This paper studies the reliability of [...] Read more.
Motion tests for physiotherapy purposes are a cornerstone in a rehabilitation process. For many reasons, clinicians have been manually measuring and tracking movements so far, being subject to inaccuracies and increasing the time spent in those assessments. This paper studies the reliability of a millimetre wave (mmWave) radar to perform motion tracking for accurate hop tests. Once the variables of interest are extracted and the system set up, the results demonstrate that this system’s accuracy allows its use in clinical environments, facilitating the task of tracking motion and extracting the distance covered by the subject when hopping. The radar outputs are compared against a well-known marker-based optical system, showing high agreement and validating the radar’s effectiveness, with a difference of less 8 cm in the single hop test, 10 cm in the triple hop test, and 21 cm in the crossover hop test for 75% of all measurements. Hence, this approach offers a contactless, efficient, and precise alternative for physiotherapy motion assessment. Full article
(This article belongs to the Special Issue Radar Remote Sensing and Applications—2nd Edition)
Show Figures

Figure 1

20 pages, 7222 KB  
Article
Development and Validation of a Universal Eating Monitor (UEM) for Distinguishing the Intake of Multiple Foods and Macronutrients
by Li Xue, Ying Liu, Huihui Mei, Ying Yu, Huanan Zhang, Lin Gao, Zengguang Jin, Lu Wang, Chaoqun Niu and John R. Speakman
Nutrients 2025, 17(18), 2929; https://doi.org/10.3390/nu17182929 - 11 Sep 2025
Viewed by 504
Abstract
Background/Objectives: Dietary microstructure affects energy intake. Traditional Universal Eating Monitors (UEMs) offer accuracy but are limited for monitoring diverse diets. We developed the ‘Feeding Table’, a novel UEM that simultaneously tracks intake of up to 12 foods, enabling high-resolution monitoring of eating microstructure [...] Read more.
Background/Objectives: Dietary microstructure affects energy intake. Traditional Universal Eating Monitors (UEMs) offer accuracy but are limited for monitoring diverse diets. We developed the ‘Feeding Table’, a novel UEM that simultaneously tracks intake of up to 12 foods, enabling high-resolution monitoring of eating microstructure for multiple foods simultaneously. Methods: Forty-nine healthy volunteers participated: 15 (10 male, 8 female) in a location preference experiment and 31 (15 male, 16 female) in a standard meal test. The location preference study involved four weekly sessions. Participants received a standardized breakfast based on individual energy needs; lunch intake was measured 3 h later with food items in pseudo-randomized positions. The standard meal test occurred over two consecutive days to assess the Feeding Table’s performance in monitoring eating behavior under standardized conditions. Results: In two consecutive days of standard meal tests, the Feeding Table showed reasonable day-to-day repeatability for energy and macronutrient intake (energy: r = 0.82; fat: r = 0.86; carbohydrate: r = 0.86; protein: r = 0.58). Among the four repeated intake measurements, the results demonstrated high intra-class correlation coefficients (ICCs: energy 0.94, protein 0.90, fat 0.90, and carbohydrate 0.93). No significant positional bias was observed (energy: p = 0.07; macronutrients: p = 0.70). Conclusions: The Feeding Table maintains UEM accuracy while enabling multi-food, real-time monitoring of dietary microstructure and food choice, offering enhanced precision for studying eating behaviors. Full article
(This article belongs to the Section Nutrition Methodology & Assessment)
Show Figures

Figure 1

Back to TopTop