Abstract
Ultra-high-energy cosmic rays (UHECRs) are the most energetic particles known—and yet their origin is still an open question. However, with the precision and accumulated statistics of the Pierre Auger Observatory and the Telescope Array, in combination with advancements in theory and modeling—e.g., of the Galactic magnetic field—it is now possible to set solid constraints on the sources of UHECRs. The spectrum and composition measurements above the ankle can be well described by a population of extragalactic, homogeneously distributed sources emitting mostly intermediate-mass nuclei. Additionally, using the observed anisotropy in the arrival directions, namely the large-scale dipole > 8 EeV, as well as smaller-scale warm spots at higher energies, even more powerful constraints on the density and distribution of sources can be placed. Yet, open questions remain—like the striking similarity of the sources that is necessary to describe the rather pure mass composition above the ankle, or the origin of the highest energy events whose tracked back directions point toward voids. The current findings and possible interpretation of UHECR data will be presented in this review.
1. Introduction
Although ultra-high-energy cosmic rays (UHECRs), nuclei with energies , were first detected decades ago, their origin remains an open question. What kind of powerful objects can accelerate particles to such energies, and how exactly acceleration works, is still unclear. Through theoretical considerations, several constraints can be placed on UHECR sources, for example, the Hillas criterion [1], which gives a necessary geometrical condition on the size and magnetic field of the accelerator for the case of electromagnetic acceleration. Additionally, the sources must have sufficient power to generate particle fluxes of the observed energies [2,3,4]. Another criterion can be set by requiring the sources to supply the observed UHECR intensity, implying that the product of their number density and luminosity must be large enough. For more information, see e.g., [5,6,7,8]. Different types of possible steady or transient UHECR sources have been proposed and discussed in the literature, such as active galactic nuclei (AGNs), gamma-ray bursts (GRBs), starburst galaxies (SBGs), galaxy clusters, tidal disruption events (TDEs), binary neutron star (BNS) mergers, and more; see e.g., [6,9]. Several of these candidates fulfill the theoretical conditions, so definite conclusions regarding the sources of UHECRs must rely on measured data.
In the past years, a large increase in statistics has been achieved thanks to the two largest current observatories for UHECR measurements, the Pierre Auger Observatory [10] (Auger in the following) in the southern hemisphere, and the Telescope Array [11] (TA) in the northern one. Due to their massive areas and extensive measurement times since 2004 and 2008, respectively, precise measurements of the energy spectrum and arrival directions of UHECRs are now available. Additionally, the mass composition can be constrained by means of the depth of shower maximum [12] or the amount of muons in the shower [13].
Still, the interpretation of the data remains a delicate task. Next to systematic uncertainties and differences in how the observatories work, this is in part due to the influence of magnetic fields that deflect UHECRs on their way from the sources to Earth. Recently, significant progress has been made regarding models of the galactic magnetic field (GMF) [14,15], enabling far more precise predictions of the directional deflections of UHECRs. Nevertheless, the influence of the extragalactic magnetic field (EGMF) remains quite unknown (for a review, see [16]). A lower limit on the EGMF of in voids can be placed through the non-observation of a secondary component from blazars, which would be expected from the propagation of TeV -ray through the EGMF [17,18]. An upper bound on the field strength in voids of can be inferred from observations of the cosmic microwave background [19], but it is only applicable for a primordial origin of the EGMF. A comparable upper limit, independent of the EGMF origin, can, however, be placed using rotation measures [20]. Note, however, that both upper and lower limits only apply in voids, while in clusters, filaments, or overdense regions like the Local Group, the field strengths can be significantly higher [21]. Next to the influence of the GMF and EGMF, effects such as the interactions with background photon fields also have to be considered when interpreting UHECR data. In recent years, models for the origin of UHECRs have become more and more sophisticated, allowing for better conclusions on UHECR sources but also opening up even more questions.
In this review, recent progress regarding the interpretation of UHECR data will be discussed. For that, first, the UHECR energy spectrum and composition data, as well as their possible interpretation using models, are presented in Section 2, and important common conclusions about UHECR sources will be identified. In Section 3, further constraints from arrival direction data will be discussed, starting with a summary of the effects of the Galactic magnetic field in Section 3.1. Possible interpretations of the arrival direction data will be explored, moving from large-scale anisotropies in Section 3.2, through intermediate scales in Section 3.3, to the highest energy events in Section 3.4. In the end, a conclusion and outlook for the future will be given in Section 4.
This article is a revised and expanded version of a paper entitled “Probing UHECR sources—Constraints from cosmic-ray measurements”, which was presented at the ICRC conference (August 2025) in Geneva, Switzerland. The conference proceedings can be found here [22].
2. Characteristics of UHECR Sources—Constraints from the Measured Spectrum and Composition
One of the key measurements of cosmic rays is the energy spectrum, which is shown in Figure 1. It extends over several orders of magnitude and decreases strongly with the energy, roughly . Beyond that, several features have been identified, like the knee at a few times and the second knee at ∼. In the energy range relevant for this work, ≳, the spectrum shows three significant features: the ankle at ∼ eV, the instep (or shoulder) at ∼ eV, and a suppression of the flux beyond eV. While the spectra measured in the Southern Hemisphere by Auger [23] and the Northern Hemisphere by TA [24] agree on the general features and align well at lower energies when considering systematic uncertainties, there is some discrepancy at higher energies [25], whose origin is still under debate.
Figure 1.
The cosmic-ray energy spectrum, multiplied by a factor , modified from [26]. Significant changes in the spectral index are indicated by purple arrows with the commonly used names stated. At lower energies, where the flux is still sufficiently large, cosmic rays can be detected directly, which enables the determination of the flux of individual elements or groups within the all-particle flux, as indicated by the different colors. The data from different experiments were extracted from the Cosmic-Ray Data Base [27].
The measurement of the depth of the shower maximum allows for conclusions on the primary mass of UHECRs. The Auger fluorescence detector data show a transition from a mixture of lighter elements below the ankle toward continuously heavier mass at higher energies [12,28]. The second moment of decreases continuously ≳, indicating that the amount of mixing between elements decreases with energy, and the composition becomes progressively heavier and purer. These trends were recently confirmed by surface detector data using a neural network-based analysis [29], which allowed for a 10-fold increase in statistics and an extension of the moments to higher energies. Also, it was shown that the Auger data are better described if the predicted by hadronic interaction models is shifted toward deeper values, implying an even heavier mass composition than previously inferred [30]. While the TA data are often interpreted as light even above the ankle [31], it was recently shown that they are compatible within uncertainties with both an all-proton and a heavier Auger mix interpretation [32]. The arrival directions measured at TA show a high level of isotropy, implying a heavy mass composition, at least at the highest energies, ≳ [33]. Soon, the mass composition at the highest energies will also be tested more directly using surface detector data by TA as well [34].
The energy spectrum and mass composition of UHECRs encode valuable information about the source environment, acceleration, and propagation of UHECRs [35,36,37]. For example, the suppression at the highest energies was long believed to be due to the GZK effect [38,39], while it is now more likely to be at least partly due to the CR accelerators having reached their maximum energy around the GZK energy [40]. The ankle was previously interpreted as the pair-production dip of an all-proton composition [41], which has now been ruled out by Auger composition measurements [28].
By comparing a model, including source injection, propagation, and detection, to data, parameters of the model can be constrained to gain information about UHECR sources. Many such fits have been conducted in the last 15 years; see, e.g., [40,42,43,44,45,46,47,48,49,50]. Usually, these phenomenological fits start with an assumption about the emission of the sources, which is often parameterized as a power law with a cutoff function that depends on the energy E (plus additional parameters, see below):
Here, the spectral index and the fractions of some representative elements with charge number Z and mass number A are free model parameters that are adjusted to best describe the measured energy spectrum and distributions through a maximum-likelihood fit.
It is often assumed that UHECRs are accelerated electromagnetically, leading to a Peters cycle [51], where the cutoff energy scales linearly with Z, so that . The rigidity cutoff is then another free model parameter. Often, a broken-exponential cutoff function that sets in only when the energy E becomes larger than is used instead of a simple exponential cutoff for better interpretability of the value of . Recently, parameterizations with more variability have been tried out successfully, such as ; see, e.g., [50]. A value of could, for example, stem from CR acceleration through magnetized turbulence [52]. An even more flexible parameterization was investigated in [53], which could account for energy losses in the source environment or beyond-standard-model physics. It was shown that the Peters cycle ( and ) may not be the optimal choice, but signatures of different cutoff functions are not significantly differentiable from influences of additional source populations with current data.
Usually, one homogeneously distributed extragalactic source population is assumed to dominate above the ankle. Directly below the ankle, the mass composition is relatively light. Models where the transition from Galactic to extragalactic sources occurs at these energies can, however, be excluded by the low level of anisotropy, contrary to expectations from light Galactic CRs at ankle energies [54]. Thus, current models often assume a second extragalactic population, which consists of protons only and dominates below the ankle. This proton component can either be fitted freely [49,55] or assumed to be directly related to the high-energy population and generated through photo-disintegration in the source environment [44,56,57] (sometimes referred to as the “UFA” model [44]). Explaining both components by a single population has the advantage that the smoothness of the energy spectrum, without any dips or abrupt breaks, is explained without fine-tuning of the normalizations of the two contributions. Examples of works where UHECR (and neutrino) production in specific types of source candidates is modeled and compared to data are [58,59,60,61,62,63] for gamma-ray bursts (GRBs), [64,65,66,67] for active galactic nuclei (AGNs), [68,69,70] for tidal disruption events (TDEs), [71] for starburst galaxies, [72] for black hole jets, and [73] for binary neutron star (BNS) mergers. In addition to the secondary component from in-source interactions in the high-energy population, a subdominant intermediate [49] to heavy [44] Galactic component is needed to explain the spectrum and composition below the ankle.
Another way to describe the UHECR data is by a second extragalactic population dominating directly below the ankle that also emits a mixed composition, in addition to the high-energy extragalactic component [49]. In that case, no galactic component is needed for . In Figure 2, the spectrum is shown; the left figure shows the model with a secondary proton component from in-source interactions [44], and the right one shows the model with a second mixed extragalactic component [48].
Figure 2.
Measured (black markers) and modeled (colors) energy spectrum at Earth. Left: The “UFA” model with one galactic (dashed) and one extragalactic mixed source population, also considering in-source interactions (taken from [44]). Right: A model with two extragalactic mixed populations without in-source interactions (taken from [48]), where the bands indicate the size of the systematic uncertainties. Note that the dataset used in the left figure is from 2013, while the one on the right is from 2020 and hence contains significantly larger statistics.
Even though all aforementioned models put emphasis on different details, several solid conclusions about the source population dominating above the ankle have emerged as common between fits to the spectrum and composition data:
- A not-too-strong source evolution: The redshift evolution of the source population is often parameterized as , where z is the redshift and m a free model parameter. It has been shown that a strong source evolution with , where the sources are predominantly far away, leads to an overproduction of low-energy secondaries and hence an overshoot of the spectrum below the ankle [48,49,74]. Additionally, strong source evolution can lead to an overproduction of -rays not compatible with current limits [48,75], and they can also overshoot the limits on cosmogenic neutrinos in the case of a secondary proton-producing population [76,77]. A source evolution with is associated with intermediate-luminosity AGNs and even stronger evolutions with high-luminosity AGNs [78], thus disfavoring both as the sole sources of UHECRs.
- A hard emission spectrum in combination with a mixed (often nitrogen-dominated) composition: This is necessary in order to describe the pronounced features of the spectrum and the progressively heavier composition above the ankle, in combination with the small mixing between elements indicated by the distributions [12]. As shown in Figure 2, each nuclear component only contributes to a small energy range. In those models, the instep is explained by the transition from helium to nitrogen, and no additional flux contribution, e.g., from a local source, is necessary. Note that a scenario where the instep is generated by a few foreground sources is also disfavored by the fact that the spectrum feature is consistently observed over the whole declination range covered by Auger [79]. The major point of criticism about these models is that values for the spectral index are unexpected from shock acceleration. Note, however, that the spectrum given in Equation (1) relates to the emission leaving the source environment, so the true acceleration spectrum may differ due to magnetic confinement and interactions in the source environment [44]. Also, the inferred value of is strongly influenced by the shape of the cutoff function [50], systematic uncertainties [49], and the assumed source evolution (anti-correlation between m and [74]). Additionally, the flux suppression of low-energy particles in the EGMF can have a substantial effect on [46,50], although extremely strong magnetic fields between the Milky Way and the first sources of around 10–200 nG have to be assumed to obtain in accordance with shock acceleration. A consequence of the hard Peters cycle source emission is that the predicted rigidity of UHECRs above the ankle stays relatively constant, with only a small spread at [80].
- Almost-identical maximum source rigidities: In [81], the extent to which it is justified to approximate all sources as the same is examined, while even within one source class, variations between source luminosity, size, magnetic field, etc., are expected. The authors of [81] built a model where the maximum source rigidity varies between candidates in the population . It was found that values are preferred, meaning that the population variance is surprisingly low within a factor of a few, and that UHECR sources are essentially “standard candles”. This is necessary to explain the sharp features in the energy spectrum along with the small allowed mixing of the mass composition. In [82], the small allowed variance of the maximum rigidity was confirmed, while they found that the spectral index allows for a larger variation. Explaining the unexpectedly narrow maximum rigidity range is currently one of the pressing questions about UHECR sources. One proposed explanation is that BNS mergers are the sources of UHECRs, for which the small variance in NS masses driving the dynamo gravitationally could explain the similarity between maximum rigidities [83].
Having established these findings, recent works have started to extend the combined fit framework, e.g., to constrain parameters of a possible EGMF [50,80], or the contribution of ultraheavy elements [84]. An exciting extension is also the inclusion of explicit source candidates in the model, whose contribution to the flux can then be determined. Examples include FR0 radio galaxies [85], specific AGNs [66,67], catalogs of starburst galaxies, AGNs, or the nearby radio galaxy Centaurus A (hereafter Cen A) [49], or sources with different number densities following the large-scale structure (LSS) [80]. In most of these analyses, the arrival directions have been used as an additional, powerful observable; these works will be discussed in more detail below.
In the future, the combined fit of spectrum and composition will become even more constraining thanks to the inclusion of composition data from the surface detectors of Auger and TA, as described above. The strong increase in statistics and the addition of composition information at the highest energies will lead to stronger constraints on the source parameters and model variations.
3. Constraints from Cosmic-Ray Arrival Directions
On top of the constraints from the UHECR spectrum and composition measurements, the arrival directions offer the possibility to learn more, especially about the spatial distribution of UHECR sources. As the arrival directions are heavily influenced by the Galactic magnetic field, its effect on the arrival flux of UHECRs will be described in the following Section 3.1. Afterward, the constraints from large- and intermediate-scale anisotropies, as well as the highest energy events, will be analyzed in Section 3.2, Section 3.3, and Section 3.4, respectively.
3.1. Influence of the Galactic Magnetic Field
The Galactic magnetic field can lead to substantial deflections of UHECRs that have to be accounted for in order to draw conclusions about their sources. The typical deflection of a UHECR with rigidity is around 30°, as shown in Figure 3a. Another important effect of the GMF that has to be considered is the (de-)magnification of the flux from different directions [86,87,88]: CRs from some directions can reach Earth easily, while CRs from, e.g., behind the Galactic center are deflected strongly and simply never reach Earth. This effect is demonstrated in Figure 3b (for the UF23 GMF model suite, see below). It is visible that at large parts of the flux from behind the Galactic center and up to the Galactic north and south are strongly demagnified and hence almost invisible to us (see also [88] for examples with other rigidities). It is important to note that Liouville’s theorem [89] is not violated by the flux (de-)magnification. An example where demagnification is important is the prediction of large-scale UHECR flux features such as the dipole [88], as discussed below in Section 3.2. In Figure 3c, the influence of different GMF models (which will be described below) on an extragalactic flux distribution is shown as a function of rigidity. In the upper plot, that extragalactic flux is solely dipolar and points in the direction of the local extragalactic matter dipole component (shown as a grey square in Figure 5 (right); see [80] for details). In general, the GMF dissolves the anisotropy and with that the dipole in the extragalactic flux—an effect that becomes stronger for smaller rigidities where deflections are larger. The GMF influence on the dipolar flux component becomes more complicated when also considering the fine structure in the extragalactic flux (expected from the local matter distribution) instead of just its dipole component, as shown in the lower plot. In that case, it can easily happen that the dipole is dissolved more by the GMF at rigidities than at (which is the relevant range for UHECRs, as described above), or that the dipole amplitude is intensified by the GMF through magnification (such as for the KST24 model).
Figure 3.
Impact of the Galactic magnetic field (GMF) on UHECRs; for details, see the text. (a) Median deflection angle distribution over the sphere for different GMF models at rigidity , from [90]. The median is around 30° for both newest GMF models, UF23-base [14] and KST24 [15], with a tail extending up to (100°). (b) Flux magnification (>1, brownish) and demagnification (<1, greenish) in the UF23 GMF model suite at . The color bar shows regions where all 8 UF23 models (with Planck-tuned JF12 random field) agree, while white denotes no agreement. The directions of some popular source candidates are indicated by star markers. From [88]. (c) Suppression of a dipole by different GMF models for an perfect extragalactic dipole in the upper plot, pointing to the Large-Scale Structure (LSS) dipole direction (grey square in Figure 5 (right)) and for the full LSS illumination (Figure 5 (right)) in the lower plot. (d) Deflection directions for different GMF models at . The CR arrival direction is shown as a filled circle, the origin before different GMF models is shown with different markers, and the line indicates larger rigidities. The colors are for visual purposes only, to better differentiate better between arrival directions. Combined from [90,91].
There are multiple tracers for magnetic field strength, such as Faraday rotation measures and polarized intensity of synchrotron radiation, that can be used to model the GMF; for a review, see, e.g., [92]. The main challenge is that the tracers are only available integrated along the line of sight, which makes the large-scale field structure especially complicated to infer due to Earth’s position within the Milky Way disk. In the past decade, the state-of-the-art GMF model was the JF12 model [93,94], which consists of parametric model parts for the disk field, as well as the toroidal and poloidal fields. It can be divided into a regular field part responsible for coherent deflections and a random field part. Both are of approximately equal strength. The random field part was updated when new data from the Planck satellite became available [95].
In the past two years, great efforts have been made to improve different aspects of GMF modeling, leading to the emergence of quite a few new GMF models. Note, however, that to this point, only the regular part of the GMF has been studied in these updates. Thus, for now, all results shown in this review are produced using the JF12 Planck-tuned random field [95] (abbreviated as “Pl” in all figures).
The UF23 suite of GMF models [14] provides, for the first time, an uncertainty estimate of the GMF model by exploring combinations of different parameterizations, datasets used for the tracers, and auxiliary models, such as the model for the distribution of thermal electrons. This has led to a suite of eight models, which are reasonably representative of the expected uncertainty. Additionally, newer tracer data have been taken into account, which are not in agreement with the JF12 model anymore. The KST24 model [15] considers, for the first time, the contribution of the local bubble (a magnetized region of in the radius in which the Sun resides [96]) to the tracers during modeling. Additionally, they included the Fan region (a region of strong radio emissions near the Galactic plane) as a regular Galactic-scale feature instead of masking it out as local foreground, which leads to very strong inferred field strengths in the Perseus spiral arm and is still under debate [91]. After the release of the KST model, another (preliminary) version within the UF23 model suite was produced, which also takes into account the effect of the local bubble, called the UF23-locBub model [91]. It results in a slightly better fit quality than the previous eight UF23 models. Note that even when including a more realistic shape for the bubble in variations of the UF23 model, the predicted UHECR deflections stay within the ballpark of the other UF23 models [97]. After discrepancies in the demagnification of the UF23 model suite compared to the predecessor JF12 model were found in [88] (significantly influencing the predicted large-scale UHECR anisotropy; see Section 3.2), another model variant of the UF23 suite was introduced: the UF23-asymT model [91]. For that model, the UF23 fit was forced into a local minimum where the radial extent of the toroidal halo fields is different in the north and south, as is the case for JF12 (and KST24). The UF23-asymT model reaches a within the ballpark of the other UF23 models, implying that an asymmetric halo cannot be excluded from current rotational measure data.
The deflection of a UHECR with within all aforementioned GMF models is depicted in Figure 3d. In general, a relatively good level of agreement between the models is visible, which is promising for UHECR source studies. The JF12 model generally predicts deflections within the range of the UF23 models. The deflections by the KST24 model are often in that region as well due to the shared antisymmetric halo, but they are generally larger (as expected from Figure 3a). This is especially true in the outer Galaxy due to the strong model field strength in the Fan region.
3.2. Constraints from Large-Scale Anisotropies
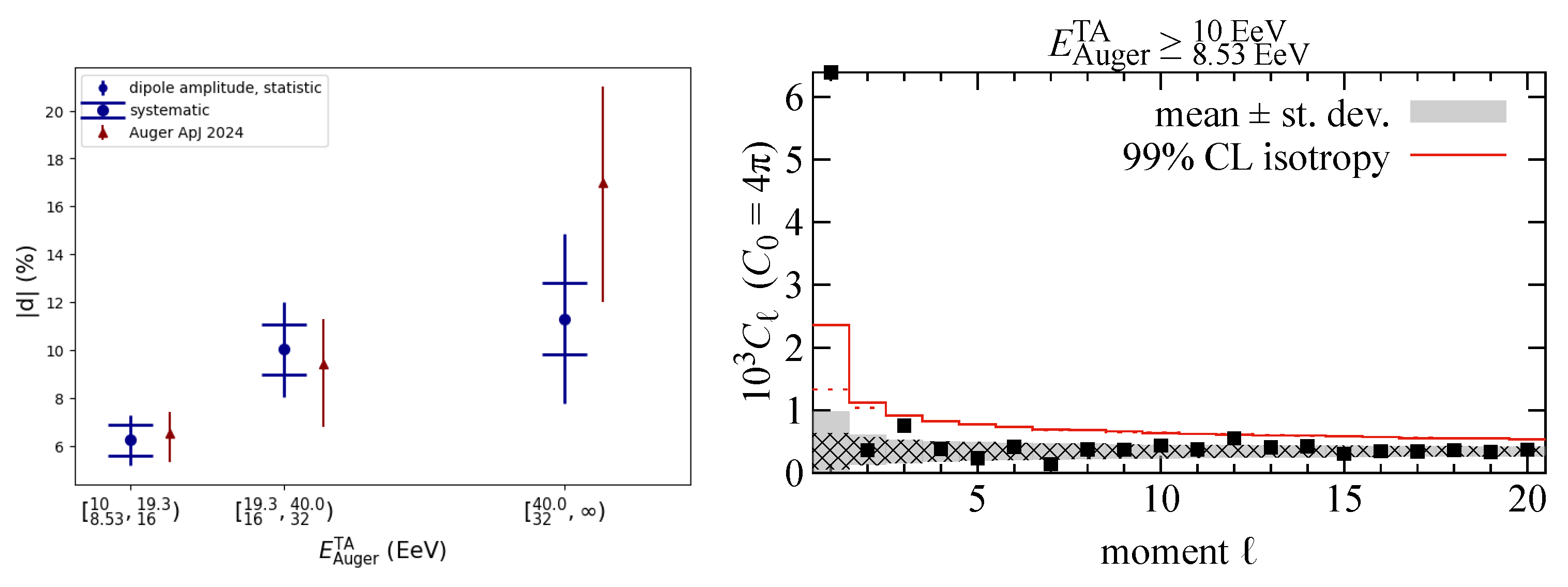
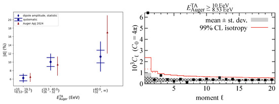
The only discovery-level anisotropy in the UHECR arrival directions is a large-scale dipole above 8 EeV [98]. It has been measured with a current significance of [99] as a right-ascension modulation at an energy by Auger. Using the full-sky data set by Auger + TA [100], its amplitude can be constrained without assumptions about the higher moments to 6.5% [101]. TA data alone are compatible with both isotropy and a dipolar distribution, with a slight preference for the latter [102]. The dipole amplitude increases with the energy, as shown in Figure 4 (left), and the amplitudes are compatible between the Auger-only and Auger + TA measurements. Note that the dipole moment is the only significant one and that all higher multipole moments are compatible with isotropy, as shown in Figure 4 (right). The dipole direction is shown in Figure 5 (left). It points ∼114° away from the Galactic center [101], indicating an extragalactic origin of UHECRs at these energies. The dipole direction measured by Auger only is compatible with the full-sky Auger + TA, apart from the highest-energy bin, where the angular difference is ϑ = 81°. This is due to intermediate-scale flux excesses visible in the TA data [103] (mainly the “TA hotspot”, which will be discussed further in Section 3.3), driving the direction of the Auger + TA dipole more toward the TA field of view (FOV).
Figure 4.
Left: Amplitude of the dipole moment, as measured by Auger only [99] (red markers) and by the combined working group of Auger and TA [100] (blue markers). Right: Angular power spectrum (black squares) from the combined Auger + TA dataset for the integrated bin corresponding to for Auger and for TA. The hatched region (red dashed line) corresponds to the gray solid region (red solid line) but neglects the systematic uncertainty from the energy scale calibration. Only the dipole deviates from isotropic expectations. Both figures are from [100].
Figure 4.
Left: Amplitude of the dipole moment, as measured by Auger only [99] (red markers) and by the combined working group of Auger and TA [100] (blue markers). Right: Angular power spectrum (black squares) from the combined Auger + TA dataset for the integrated bin corresponding to for Auger and for TA. The hatched region (red dashed line) corresponds to the gray solid region (red solid line) but neglects the systematic uncertainty from the energy scale calibration. Only the dipole deviates from isotropic expectations. Both figures are from [100].

Figure 5.
Left: Dipole direction in Galactic coordinates, as measured by Auger only [99] (thin ellipses with star centers), and by the combined working group of Auger and TA [100] (thick ellipses with circle centers) for different energy bins and thresholds. Taken from [100]. Right: “Illumination”: predicted relative UHECR flux at the edge of the Galaxy from the LSS in a mixed-composition hard-injection scenario (see also Figure 6), annotated from [80]. The direction of the dipole component is indicated by the grey square.
Figure 5.
Left: Dipole direction in Galactic coordinates, as measured by Auger only [99] (thin ellipses with star centers), and by the combined working group of Auger and TA [100] (thick ellipses with circle centers) for different energy bins and thresholds. Taken from [100]. Right: “Illumination”: predicted relative UHECR flux at the edge of the Galaxy from the LSS in a mixed-composition hard-injection scenario (see also Figure 6), annotated from [80]. The direction of the dipole component is indicated by the grey square.

Explaining the dipole has been the aim of several publications in the past decade. Different theories have emerged:
- A few sources dominate the UHECR flux EeV and generate the dipole. This scenario is explored in, for example [66,67], where a model based on a few nearby radio galaxies in combination with a diffuse background from farther-away unresolved radio galaxies is used to explain spectrum, composition, and large-scale anisotropies. In most cases discussed in [67], the EGMF has to be rather strong, with around for coherence length in order not to produce too-strong anisotropies, and the flux is dominated by Virgo A (situated in the Virgo cluster) and Fornax A (see also [104]). With only a few dominant sources, reproducing the subdominant quadrupole and the dipole direction energy evolution requires fine-tuning. Additionally, it is difficult to explain the smoothness of the UHECR energy spectrum (without any bumps hinting at contributions by individual sources) and the fact that the spectrum exhibits the same features in every direction [24,79].
- An even more extreme case would be that only one source is responsible for the dipole, a scenario that was explored long before high-statistics UHECR measurements and models of the GMF were available; see, e.g., [105,106]. This is an especially compelling hypothesis because the dominance of a single source would naturally explain the observed similarity of the sources described in Section 2 as well as the directional uniformity of the spectral features. Using the newest measurements of the spectrum and composition, in [107], a model with the nearest radio galaxy Cen A (at around distance) supplying the flux above the ankle is tuned to the data. Qualitatively, the model reproduces the large-scale anisotropy for a very strong EGMF field strength of around 5–15 that has to be present between Cen A and Earth. When requiring that the model also reproduces the intermediate-scale cosmic-ray excess in the Centaurus region properly (see Section 3.3), an even stronger EGMF of 20–35 is necessary [108]. Note, however, that the dipole direction is not reproduced well with Cen A as the only source without at least minor contributions from other sources [108].
- UHECR sources are numerous and at least roughly follow the large-scale structure (LSS), as explored in [80,88,98,99,109,110,111,112,113,114,115,116,117,118]. These sources could be, for example, compact objects tracing the matter distribution or transient events occurring more often in matter-dense regions, or the acceleration of UHECRs could happen in accretion shocks present around galaxy clusters and filaments [119]. In this scenario, the cosmic-ray flux is dominated by galaxy clusters, most importantly Virgo, Great Attractor, and Coma (all in the Galactic north), as well as Perseus-Pisces. This is visible in Figure 5 (right) showing the flux at the edge of the Galaxy expected from such a model. Note that in such models, the cosmic-ray dipole is mostly generated by (sources in) the galaxy clusters in the Galactic north, whose flux is then coherently deflected southward to reproduce the observed dipole direction (see Figure 5 (left)). The absence of a flux excess in the Virgo direction that is sometimes regarded as peculiar (e.g., [120]) is hence naturally explained by GMF deflections. It was demonstrated in [80] that the (dark) matter distribution can be used as a bias-free estimator of the UHECR source distribution, meaning that neither an increased amount of sources in overdense nor in underdense regions is preferred (see also [109]). Especially if Virgo, as an overdense cluster region, is not emitting UHECRs (e.g., due to magnetic confinement [121]), the dipole cannot be reproduced well with that model. The case of multiple sources following the LSS is a natural assumption that is frequently discussed in the literature, and predictions about anisotropies and constraints on quantities such as source density and distribution have been drawn using the newest models of the GMF; therefore, the following part of this subsection will concentrate on that scenario.
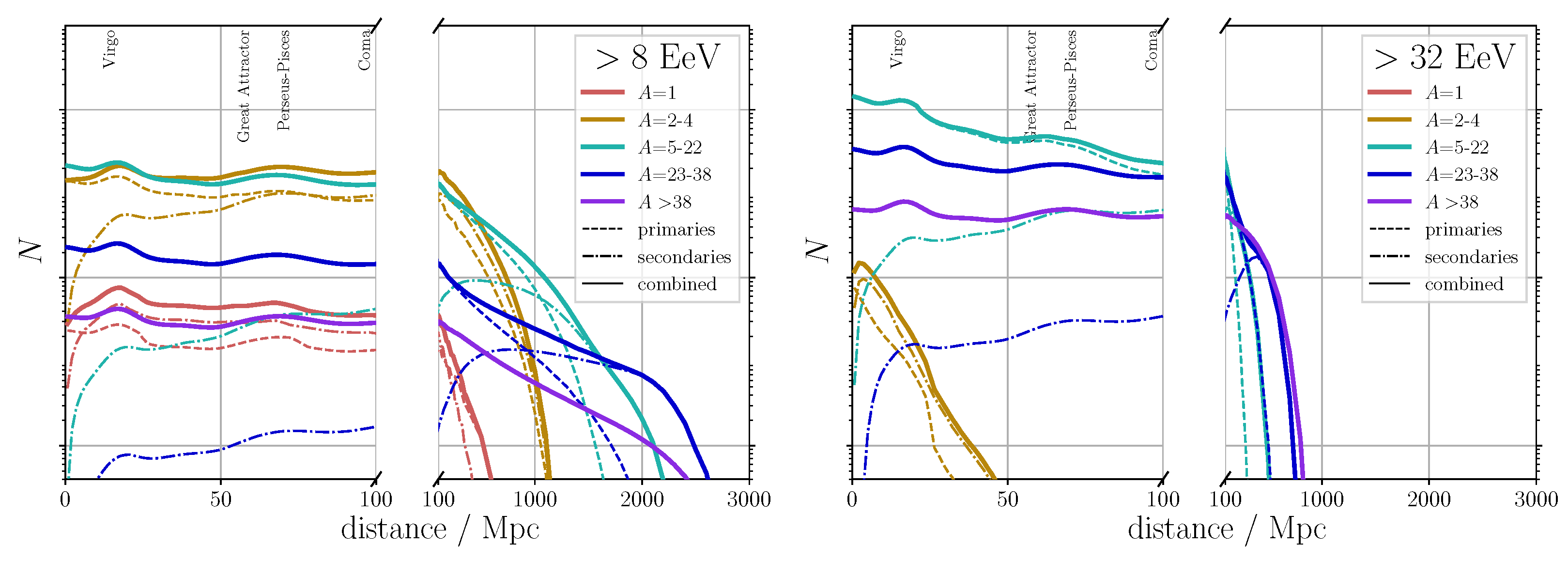
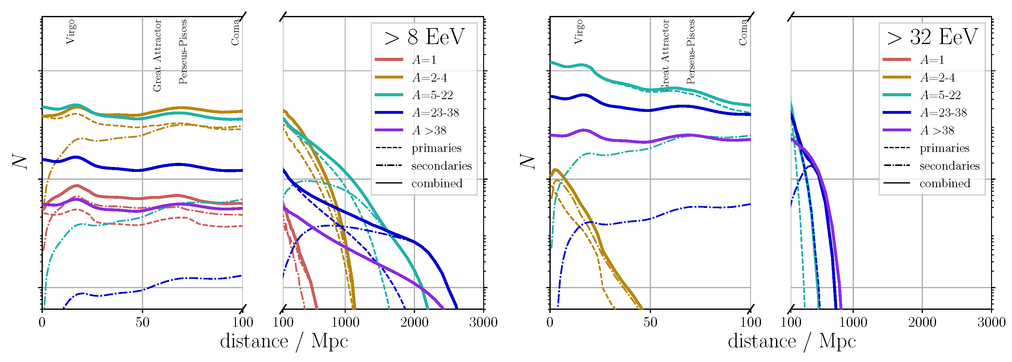
For the large-scale anisotropies to be explainable by sources following the LSS, the composition has to be mixed because a protonic composition is not in agreement with the measured dipole direction [117] and is disfavored by too-large quadrupole moments [114]. In [80], a model where the source distribution is assumed to follow the (dark) matter distribution provided by CosmicFlows2 [122] is fit to the spectrum, composition, and dipole moments . The model source emission parameters are in agreement with the findings described in Section 2. The resulting contribution of different element groups from different distances is shown in Figure 6. Above 8 EeV, the flux is dominated by ∼50% helium and ∼40% from the CNO group, while at >, ∼60% is CNO, ∼30% is Si-like, and ∼10% is Fe-like. The effect of different horizons of different elements is shown in Figure 6; at these energies, lighter elements like helium have much smaller interaction lengths than heavier elements, leading to a mass ordering in the distance from which different elements contribute [123]. Note that this also implies a significantly larger dipole moment of lighter elements simply from propagation because the anisotropy is generated by the first ≲200 Mpc, after which the universe becomes more and more homogeneous on large scales. In this model, the dipole stems mostly from primaries, moving from a dominant helium contribution at 8 EeV to mostly CNO at 32 EeV. Secondaries, decay products from heavier primaries, typically come from further away, as shown in Figure 6 and are hence more isotropically distributed.
Figure 6.
Contributions (in arbitrary units) to the flux of different element groups and different distances for two energy thresholds, (left) for and (right) for , predicted by the LSS-based model from [80]. The distances of dominant galaxy clusters are indicated at the top. Note that the plots have been split into the nearby (more anisotropic) part and the further-away, more isotropic part , both displayed on linear scales.
Figure 6.
Contributions (in arbitrary units) to the flux of different element groups and different distances for two energy thresholds, (left) for and (right) for , predicted by the LSS-based model from [80]. The distances of dominant galaxy clusters are indicated at the top. Note that the plots have been split into the nearby (more anisotropic) part and the further-away, more isotropic part , both displayed on linear scales.

Another important consequence of this model is that the observed rise of the dipole amplitude with the energy is naturally explained by the shrinking propagation horizon with the energy: only around 25% of the flux comes from within the more anisotropic above 8 EeV, which increases to 65% above 32 EeV, as shown in Figure 6. As explained in Section 2, the rigidity stays almost constant with the energy as the mass composition becomes heavier, so that the suppression of the dipole for lower rigidities by the GMF, as shown in Figure 3c, is only a subdominant effect in this model.
The evolution of the dipole and quadrupole moments predicted by the LSS-based model from [80] for different GMF models was explored in [88] and can be seen in Figure 7. It is visible that for the continuous model (in the limit of infinite source number density), the dipole amplitude is consistently smaller for the UF23 models compared to the predecessor JF12 model. This is because the Virgo/Great Attractor overdensity region is demagnified (Figure 3b) by all UF23 models compared to JF12 [88,124], as shown in Figure 3c. The underlying reason for this is the symmetric toroidal halo field of the UF23 model variants [91]—when using the UF23-asymT model with forced asymmetric halo, the values are indeed more similar to the ones predicted by JF12, as shown in Figure 7. The KST24 model also has an asymptotic halo and magnifies the Virgo/Great Attractor region (see Figure 3c), leading to a larger dipole component.
Figure 7.
Dipole (left) and quadrupole (right) moments predicted by the LSS model based on CosmicFlows 2 [80] using different GMF models, modified from [88] for different source number densities. Black circle markers indicate the measured values from [100] (right) and from [99] (left).
When, instead of the continuous model, the more appropriate case of a finite source number density is investigated, the dipole and quadrupole moments are influenced by cosmic variance: they vary depending on the exact source locations, which is indicated by the error bars in Figure 7. The smaller the source density, the larger the contribution by fewer and fewer individual local sources becomes, driving up the anisotropy. For a source density of around , the best agreement with dipole and quadrupole moments is reached for the UF23 models, as larger densities undershoot the dipole, and smaller ones overshoot both dipole and quadrupole. For the older JF12 model, the KST24 model, and the UF23-asymT model, only larger source densities are compatible with both quadrupole and dipole amplitudes. This shows how sensitive the inferred source density is to properties of the GMF model and that the number has to be treated cautiously; see also the discussion below. Note that these results, based on the CosmicFlows 2 LSS model, are compatible with studies based on the 2MRS galaxy catalog [99,118]. The obtained limits on the source density allow for conclusions on the sources of UHECRs. Sparse source types like blazars ( [125]), high-luminosity AGNs ( [126]), and even starburst galaxies ( [126]) may be too sparse to be the sole sources of UHECRs due to too-strong anisotropies if no severe smoothing by the EGMF is considered [73,80]. More common source types like starforming galaxies, low-luminosity AGNs, or transients with high rates like non-jetted TDEs [127] or BNS merger [83] are preferred.
The predicted dipole directions of the CosmicFlows-based model are shown in Figure 8. Note that the dipole directions predicted using the 2MRS catalog [99,118] agree with the CosmicFlows predictions shown in Figure 8 within (10°) for the JF12 model. Predictions for other GMF models based on the 2MRS catalog are not yet available. The dipole directions predicted using the full sky and using only the limited Auger FOV (both depicted in Figure 8) can differ by up to = 30° at lower energies, depending on the GMF model. For the highest energy bin , the difference is 10° for all models. All GMF model predictions are roughly compatible with the measured dipole directions by Auger (even though no model fits perfectly for all energies). However, none of the models can reproduce the full-sky measured dipole direction by Auger + TA in the highest energy bin , which differs substantially from the Auger FOV one (Note that the measured ϑ = 81° angular difference between the full-sky and Auger FOV dipole directions in the bin is also not reproduced when considering cosmic variance. On average, it is ∼20° for and ≲30° for , independent of the GMF model). This is because the intermediate-scale anisotropies measured by TA at energies (see Section 3.3) pulling the dipole direction closer to the TA FOV are not reproduced by the LSS with any GMF model. Thus, if these intermediate-scale anisotropies turn out to be statistically significant, they are more likely to originate from local or transient sources instead of the galaxy clusters represented in the LSS; see also [128].
Figure 8.
Predicted and measured dipole directions in Galactic coordinates, modified from [88]: Colored markers indicate the dipole directions for different GMF models, where larger markers show the Auger FOV and smaller markers the full-sky one. The blue region shows the uncertainty due to cosmic variance in the source positions for the UF23-base model with and using the Auger FOV. The black contours represent the and uncertainty domains of the measured dipole in the Auger FOV [99], and the gray dotted ones represent the whole sky as measured by Auger + TA [100].
The difference between predictions using different random field coherence lengths is (15°) at lower energies and decreases to (5°) for (see [88]). The predicted dipole direction clearly also depends on cosmic variance, and variations increase quickly with decreasing source density. In Figure 8, the uncertainty for the UF23-base model at is shown as an example. Already at that source density, the uncertainty from cosmic variance is larger than the differences between different GMF models.
Along with the uncertainty from cosmic variance, which is an inherent uncertainty that is not avoidable until the sources of UHECRs are identified individually, there are evidently other uncertainties involved in models such as the ones described above. The uncertainty on the coherent GMF model is manageable thanks to the recent development of several new models [88]. Remarkably, even GMF models by different authors agree on both the dipole direction and amplitude predictions within the uncertainties from cosmic variance for all reasonable source densities smaller than (which corresponds to the density of Milky-Way-like galaxies). The EGMF, however, could have an unknown effect, both on the inferred source density and also on other model parameters as investigated in [46,50,80,118]. However, to estimate that effect reliably, more knowledge about the structure and strength of the EGMF [16,21,129], that of nearby galaxy clusters [121], and the magnetic field of the local group is necessary. When also considering structured EGMFs instead of simple turbulent approximations, simulations and model fits become extremely computationally expensive.
Another important uncertainty stems from the source model—while it seems that conclusions reached with models based on LSS approximations from dark-matter distributions such as CosmicFlows 2 [80,88,113,116,117] agree in general with the conclusions drawn from models based on galaxy catalogs [99,114,118], it was also shown that the predicted large-scale anisotropies are extremely sensitive to the interplay of GMF model demagnification and source distribution. Updated predictions using CosmicFlows 4 [130] as well as explicit galaxy catalogs with newer GMF models are needed for better estimation of the impact of the source distribution. Note that a homogeneous source distribution can also lead to the observed large-scale anisotropies for sufficiently small source densities [80,111,115,118,131], but for that case, the dipole direction is clearly non-informative.
Finally, the mass composition can also have a significant impact on the predicted large-scale anisotropies. While variations in the hadronic interaction model or source emission fit parameters seem to have a minor impact [80,118], significant shifts of the scale toward heavier elements could lead to a decreased level of anisotropy [132] and thus require smaller source densities.
The measurement of mass estimators for individual events at the highest energies [29] could offer great chances to learn more about UHECR sources and the GMF. For example, the analysis proposed in [133] where the dipole component is calculated for a heavy and a light event selection in each energy bin could test the mass-dependent effects described above: the anticorrelation between dipole moment and mass expected from propagation, and the rigidity-dependent suppression by the GMF, as shown in Figure 3c. In particular, a significant split of the dipole direction between heavy and light selections could be extremely informative about GMF models and possibly even the influence of local sources.
3.3. Constraints from Intermediate-Scale Anisotropies
While at energies the UHECR sky is dominated by the large-scale dipole signal, at higher energies , anisotropies at smaller scales start arising. This is as expected from the shrinking propagation horizon, as shown in Figure 6, indicating a larger relative flux contribution of local sources. The full-sky flux at energies , as measured by Auger and TA combined, is shown in Figure 9 (left). The Auger data have been scanned for anisotropies over different angular scales and energy thresholds in every available direction, revealing no significant anisotropies beyond a p-value of 2% [134,135]. The maximum significance is reached at for an angular scale of 27°. It is close to the direction of the nearby radio galaxy Centaurus A (Cen A) and thus often called the Centaurus region excess. More details will be discussed further below. The autocorrelation and correlation with the Galactic and supergalactic plane all yield p-values > 10%.
Figure 9.
Left: Measured arrival flux of UHECRs in Galactic coordinates with (see title) with a 25° tophat blurring. Right: Corresponding local LiMa significance. The names for the three prominent overdensities often used in the literature are indicated, as well as the directions of some source candidates for the Centaurus region excess. Both (annotated) from [101].
In the TA data, a scan has revealed an overdensity at , which is often referred to as the “TA hotspot” [103]. Its significance grows over time and is now at post-trial on an angular scale of 25° [136]. Several theories on its origin have been discussed in the literature, mostly nearby candidates close to the hotspot direction [128], like the starburst galaxy M82, or more complicated proposals, like CRs originating in Virgo and then being deflected along filaments [137] (note, however, that a pure-proton composition was used in [137]). Another excess at slightly lower energies ∼ was later identified in a manual search at 20° angular windows with a local significance of ∼3.9σ. Often, this overdensity is referred to as the “Perseus-Pisces” excess because it is close to the supercluster direction (compare to Figure 5 (right)). Note that the quoted post-trial significance of [136] refers to how often such an excess appears close to Perseus-Pisces instead of quantifying the overdensity on a statistical basis, accounting for the scan in direction and energy that was indirectly performed. Note also that in the studies described above based on a LSS model including Perseus-Pisces as a dominant source in the extragalactic flux, its flux excess is dissolved by the GMF, and no excess is observable at Earth [80].
The combined full-sky significance map from Auger and TA is shown in Figure 9 (right) with the names of the three described intermediate-scale overdensities indicated. Interestingly, both the TA hotspot and the Perseus-Pisces excess are also within the FOV of Auger, albeit at the border and only observed in inclined events. However, due to the larger size of Auger, its exposure in the two excess regions is comparable to the one of TA. In the Auger data, no overdensity in the hotspot or the Perseus-Pisces direction is observed [134,138]. This also disfavors the claim [139] that flux excesses in the northern hemisphere, only visible for TA, could explain the discrepancy in the flux seen by Auger and TA, a hypothesis investigated in, e.g, [140,141]. Note that taking into account possible energy scale mismatches, a mere statistical overfluctuation seen by TA and/or an underfluctuation seen by Auger in the excess regions cannot be excluded at this point [138].
3.3.1. Correlation with Cen A
The correlation with the nearby radio galaxy Cen A is currently observed with level post-trial significance for [134] at an angular scale of 27°. Cen A has been suspected as a source of UHECRs for years [142,143,144,145], long before the overdensity had emerged, due to its proximity and powerful radio jets. Acceleration of UHECRs up to the highest energies is possible for Cen A, according to simulations and theoretical modeling, e.g., [146,147].
In [49], a model was simultaneously fit to the Auger energy spectrum, mass composition, and arrival directions , based on the assumption that Cen A (or other galaxy catalogs, see below) is a source of UHECRs and contributes part of the flux above the ankle. Additionally, another part of the model flux originates from homogeneous background sources, as in the models introduced above in Section 2. By taking into account propagation effects and a rigidity-dependent blurring (but no coherent deflections), the level of anisotropy rises naturally with the energy due to the increased relative contribution of the nearby source Cen A, with a best fit of around at . The model including Cen A describes the arrival direction distribution significantly better than the model based on only homogeneous sources, especially around and ∼. These two peaks in the correlation could hint at different mass groups being accelerated to the same rigidity [148]. In the model discussed in [49], the dominant mass groups at the respective energies are helium and CNO, with an appropriate factor of 2–3 between their charge numbers.
In [138], it was recently confirmed that the Centaurus region excess extends to smaller energies of ∼. The position of the excess remains constant with the energy, which could indicate that the CR rigidity remains constant or that no strong coherent deflections occur due to a subdominant regular magnetic field in that direction. Note that the angular window was kept fixed in the analysis [138], so no conclusions regarding the GMF can be drawn from that. The arrival directions of UHECRs from Cen A that are expected for different GMF models are shown in Figure 10. It is apparent that all GMF models predict that CRs are deflected toward the Galactic plane, which is also the direction where the maximum overdensity occurs; see the cross marker in Figure 10. In order to not have too-large coherent deflections that displace the excess too far from the observed direction, the excess can only be generated by Cen A if the charge number Z is ≲6 (or for the KST24 model). To reproduce additionally the angular size and significance of the overdensity, the EGMF between Cen A and Earth has to be strong, with for , for , and for [108]. Here, the angular distribution of the cosmic-ray beam after traversing a turbulent magnetic field was be parameterized by a Fisher distribution proportional to the quantity [149], with being the coherence length and B the rms field strength. Note that there is a strong correlation between the EGMF and the relative source contribution, and both a small signal fraction with a smaller EGMF and a large signal fraction with a larger EGMF are possible; see Section 3.2. For Cen A to be the only source supplying the whole UHECR flux , the mass composition has to be mixed, and the EGMF between it and Earth has to be strong, with .
Figure 10.
Simulated UHECRs from Cen A (black star) using different GMF models and no EGMF. The energies of the events follow the Auger spectrum , and the charge number and resulting mean rigidity are given on top of each plot. The contours roughly indicate the regions containing of all events. The red cross indicates the direction of the maximum found in the Auger overdensity search, and the red dashed contour indicates the angular size of 27° [135]. From [108].
3.3.2. Correlation with Active Galactic Nuclei
Not just the nearest radio galaxy Cen A but also active galactic nuclei (AGNs) in general were long suspected to be sources of UHECRs due to their powerful jets and magnetized lobes, both of which could be good candidates for acceleration to the highest energies [7,150]. Different theories for acceleration in the core, lobes, and jets of AGNs (including also two-stage and re-acceleration processes) have been investigated; see, e.g., [151,152,153,154,155]. In the case that UHECRs are accelerated along the jet, blazars where the jet points into the direction of Earth are prime candidates for UHECR acceleration [64,156]. Note that the detection of a correlation of the UHECR arrival directions with AGNs might be hindered if time delays, e.g., due to the EGMF, become larger than typical AGN duty cycles [157].
Early Auger data seemed to correlate with AGNs on angular scales ≲6° [158]. While that correlation turned out to be a statistical fluctuation, current tests for correlation between the Auger + TA arrival directions and AGNs have reached a significance of . Three parameters were optimized, the energy threshold , an anisotropic fraction , and a Fisher search radius around the sources of 15.4° [159]. Additionally, a model of jetted AGNs (-AGNs) has been tested, where the UHECR luminosity is assumed to be scaled with the -ray flux measured by Fermi. The model reaches a significance of ∼ for a similar angular scale and energy threshold and an anisotropic fraction of . In the subsequent analysis including an energy-dependent modeling of the catalog contribution in a combined fit to spectrum, composition, and arrival directions measured by Auger, the -AGN model was, however, disfavored because the modeled UHECR flux was completely dominated by the blazar Markarian 421 (due to its extremely large flux weight even while being far away compared to the other sources in the catalog), which does not fit well with the measured arrival direction distribution [49]. In [160], it was suggested to correct the UHECR flux weighting with the observed -ray flux, as that implicitly assumes that UHECRs experience the same beaming along the jet as -rays, which is unexpected due to magnetic field decollimation. Instead, for example, the intrinsic unbeamed -ray flux or the jet power could be used as a proxy. This is also in accordance with the finding from [66,67] that nearby radio galaxies could explain the measured Auger data including the dipole when the UHECR flux is more carefully modeled and not simply scaled with the -ray flux (see Section 3.2), and the observation that -ray bright sources like blazars alone are too sparse and hence produce too much anisotropy [80,161]. Instead of considering only the brightest and most powerful AGNs that lead to too-large anisotropies, lately, models also considering weaker, more prevalent classes of AGNs, like FR0 [85,162] or Seyfert galaxies [163], have been investigated, even though it remains unclear whether they can produce sufficiently high energies. Those weaker source candidates also have the advantage that their source evolution is weaker [78] and hence does not lead to the overproduction of secondaries overshooting the spectrum below the ankle, as is the case for powerful AGNs [48,49]; see Section 2.
3.3.3. Correlation with Starburst Galaxies
Along with AGNs, a catalog of starburst galaxies (SBGs) has also been tested for correlations with arrival direction data. These are galaxies detectable by high infrared luminosities as they undergo extreme star formation activity, driving powerful magnetized winds. Comparing the Auger + TA arrival direction data to a model where part of the UHECR flux comes from these SBGs, a significance of is reached for an energy threshold , an anisotropic fraction , and a search radius of 17.6° [159]. Using the model including propagation and rigidity-dependent blurring for a combined fit of the Auger energy spectrum, composition, and arrival directions, the SBG model is favored over a homogeneous model at significance (including experimental systematic uncertainties) [49]. In particular, the excess in the Cen A region is well described by the SBG model. In that model, the flux excess comes from NGC4945 and M83 instead of Cen A, both SBGs close in direction to Cen A and at a similar distance of ∼ (see Figure 9).
Despite its large significance, the observed correlation with SBGs is difficult to interpret because only symmetric search radii or a rigidity-dependent blurring were taken into account in the analyses [49,159,164], but no coherent displacements were observed, as expected by the regular part of the GMF. In [124,165], it was shown that it is possible but not straightforward to reproduce the SBG correlation if UHECR sources simply follow the 2MRS catalog and GMF deflections are included. The correlation is, however, easier to reproduce in models with coherent deflections if UHECR sources are galaxies with high starformation rates [124]. In [166,167], it was also shown that it is possible to reproduce the significance, the best-fit search radius, and the anisotropic fraction inferred by Auger in simulations based on the SBG catalog even when including a coherent GMF model. In that case, the true signal fraction from the SBG catalog has to be higher ∼(10–30)% (depending on the GMF model) than the inferred anisotropic fraction of ∼10% because heavier particles are deflected too much and do not fall within the search radius anymore [167]. In [108], it was found that NGC4945 can reproduce the Centaurus region excess well for and M83 for [108] (for all GMF models apart from the KST24 model, for which Z has to be 1). Due to their close proximity in direction and distance to Cen A, limits on the EGMF can be placed, as described above.
Naturally, the observed correlation between the UHECR data and starburst galaxies has sparked debate on whether SBGs could actually be the sources of UHECRs [168,169,170]. It is still somewhat unclear whether and how CRs could be accelerated to ultra-high energies in SBGs, especially because strong radiation losses are expected [71,171,172,173,174]. Alternatively, UHECRs could also be (pre-)accelerated not by the SBGs themselves but by transient events like supernovae or GRBs, which are numerous in the central region of SBGs [175]. The hypothesis that transient events occuring proportionally to the SFR in any galaxy are the sources of UHECRs was investigated in [176]. By comparing models with different transient burst rates to the flux excesses seen in the Cen A region and the TA hotspot region, they concluded that long GRBs are favored to explain the measured data. Note, however, that conclusion may change once coherent magnetic field deflections and event-by-event data are taken into account [177]. Another possibility to explain the observed correlation of UHECRs with SBGs without SBGs being the actual sources of UHECRs is explored in [178,179]. In that model, UHECRs are accelerated by Cen A in an earlier powerful outburst episode and then merely scattered by magnetic fields of the nearby galaxies, forming the “Council of Giants”, which includes many of the SBGs used in the correlation analysis described above [135,164].
3.3.4. Deflection Patterns and Multiplets
While many of the described analyses hint at nearby source candidates like Cen A or SBGs being sources of UHECRs, no firm conclusions can be drawn yet. Even if a correlation significance surpasses , it could still be that the overdensity is actually caused by other sources. For the Centaurus region excess, for example, other source candidates next to Cen A, such as the nearby starburst galaxies NGC4945 or M83 (see above), or further away sources like the Virgo cluster, could also explain the observed anisotropies [108,117,118,124,180], see Figure 9.
One way to disentangle the different sources in the Centaurus excess region is to search for energy-ordered events (multiplets) expected from magnetic field deflections. In a blind search, no significant multiplets were found in the Auger FOV [181,182]. Also, no elongated patterns expected from coherent deflections were found in a principal-axis analysis. In a targeted search at Cen A’s position, a nineplet was found with a p-value of 6% [182]. Another targeted search conducted by TA found a indication for energy-ordered multiplets along the supergalactic plane [183] that could be indicative of UHECRs diffusing from sources along that plane and hence roughly following the LSS.
In another preliminary scan on Auger open data using a dedicated likelihood including parameters of the magnetic field [184], a multiplet was identified with a post-trial significance of , including one of the highest-energy events measured by Auger, at . The multiplet itself is in the Centaurus region, yet—considering coherent magnetic field deflections—the most probable source is identified to be the Sombrero galaxy (see Figure 9), an AGN at around distance. Note that the likelihood to find multiplets will, in general, always be higher in flux excess regions (such as the Centaurus region). This effect is not penalized for in [184]. In [108], it was confirmed that the Sombrero galaxy could indeed explain the Centaurus region excess. For the excess direction to be compatible with the observed one using current GMF models (apart from the KST24 model [15], which is incompatible in this case), the charge number has to be . The EGMF between the Sombrero galaxy and Earth has to be to reproduce the angular scale of the excess.
In the future, it will be very insightful to search for rigidity-ordered multiplets instead of just energy-ordered ones using the event-level mass estimators being developed by Auger [29] and TA [34]. This is especially important because the UHECR mass composition changes so quickly with energy. A rigidity-ordered multiplet pointing unambiguously into the direction of a source like Cen A would be a clear indication of it being an actual UHECR source and the first direct observation of coherent magnetic field deflections. On the other hand, the reconstruction of the magnetic field indirectly from UHECR deflections might also become possible [185], especially using machine-learning methods (see, e.g., [186,187]).
3.4. Constraints from the Highest-Energy Events
At even higher energies than where the intermediate-scale anisotropies have started to arise, the event number decreases quickly. However, due to the shrinking propagation horizon with energy, these events have to originate from relatively nearby sources, so that correlation studies with nearby matter or auto-correlation may still be very informative. Before the start of Auger and TA, when the event statistic was still very limited, the arrival directions of UHECRs seemed to exhibit clustering in doublets and triplets [188,189], which was utilized to constrain properties of UHECR sources like the source number density; see, e.g., [190,191,192,193,194]. Using an early Auger data set from 2011, a limit of was set on the source number density —but that limit only applies if magnetic field deflections are <30°. As shown in Figure 3a, deflections can be a lot larger for a realistic mass composition heavier than nitrogen at . No comparable analyses taking into account heavier mixed compositions and updated GMF models are yet available.
Recently, TA measured an event with an exceptionally large energy of , referred to as the “Amaterasu” event [195]. By backtracking its arrival direction using different models of the GMF and assuming that the particle was originally an iron nucleus, it was found that Amaterasu most likely originated from a direction within the local void and cannot be associated with any known local powerful galaxy or cluster [90,195,196,197]. This is shown in Figure 11 for different models of the GMF and associated uncertainties. Due to its large energy, the source has to be close [198], within ∼(8–50), depending on the exact event energy and assuming an iron nucleus at the source [196]. For all TA events to be associated with the local matter distribution, either a very strong EGMF has to be present or the composition has to be extremely heavy [33]. For Auger, a statistical analysis was performed to test the association between the events and different source catalogs [199], as displayed in Figure 11 (right). Not even a small contribution from any of the catalogs fit significantly better than isotropy. A contribution from the Lunardini catalog of starburst galaxies, the Swift-BAT AGN catalog, and the Fermi-LAT catalog of jetted AGNs is even excluded at . Note that deflections by the EGMF are currently neglected in the analysis.
Figure 11.
Left: Possible origins of the Amaterasu event [195] in Galactic coordinates. The measured arrival direction is indicated by a black star. The backtracked possible origins for the KST24 GMF model (including variations of the model parameters and energy within plus a 5° turbulent blurring) is shown by a purple contour, taking the lower energy bound of and assuming an iron nucleus (from [90]). The multiple colorful contours indicate the backtracked origin for the UF23 GMF model with varying random fields, also assuming an iron nucleus and taking the lower energy bound (from [196]). For reference, the backtracked direction in the JF12 model is also indicated for an iron nucleus (from [196]). The expected flux of UHECRs from the LSS (from [80], as in Figure 5 (right)) is shown in the background, demonstrating that the backtracked directions point towards the local void (blue) instead of an overdense regions (red). The directions of several nearby source candidates are also indicated. Right: Test statistic for associating the 40 highest-energy Auger events with different source catalogs, assuming the UF23 GMF models and a mixed composition, from [199]. Only a ∼ contribution from the Fermi-LAT catalog of jetted AGNs (light blue) fits slightly better than isotropy. A contribution ≳ from the van-Velzen catalog of radio galaxies, as well as ≳ from the Swift-BAT AGN catalog (dark blue), the Lunardini SBG catalog (green), and the Fermi-LAT catalog (light blue), is excluded at .
This non-association of the highest-energy events with local source candidates or the LSS has sparked theories about the origin of Amaterasu and the highest-energy events in general, which also involve beyond-standard-model physics or superheavy dark matter [200,201,202]. A simpler possible explanation could be a very strong EGMF that diffuses the particles a lot more than was taken into account in the studies described above. If very local sources dominate the flux, the limits on the EGMF placed in voids of [20] do not apply due to the local overdensity around the Milky Way. For example, if Cen A is the only source of all cosmic rays above the ankle, an EGMF of between Cen A and Earth is enough to reproduce the uniform distribution of the highest energy events [108].
Another theory is that the sources indeed lie in voids and are just not special or powerful enough to be a prominent source candidate. In that case, UHECRs could originate from transient events happening in these ordinary galaxies [196], such as TDEs, young magnetars, or BNS mergers [83]. It could also be that UHECR generation anti-correlates with the electromagnetic source power, so that less prominent sources like the Sombrero galaxy (see Section 3.3) are responsible for UHECR production [203]. For these lower-power sources, lower photon densities are expected, which may allow UHECRs to escape without heavy losses and hence without producing a strong -ray flux; see also [161].
Another possible explanation is that the highest-energy events are in fact heavier than iron [204] and produced, for example, in r-processes happening in BNS mergers or collapsars [83,84,205]. In that case, the propagation distance is still at [84,206], so that the sources could be further away. Additionally, deflections in the GMF would be larger for higher charge numbers. For the Amaterasu event, this means that sources on the supergalactic plane fall within the possible backtracked directions [84].
4. Conclusions and Outlook
Since the detection of UHECRs, their origin has remained a mystery. Thanks to the large increase in statistics of data by the Pierre Auger Observatory and the Telescope Array, however, several characteristics of UHECR sources have been narrowed down over the past years. Quite a few of the findings were unexpected, such as the intermediate- to heavy-mass composition at the highest energies. By adapting models to best describe the measured energy spectrum, shower depth distributions, and more recently the arrival directions, the following characteristics of UHECR sources have been identified as most likely in the energy range above the ankle (∼(8–32):
- They are extragalactic and evolve with a source evolution weaker than [40,48,49,74] (see Section 2).
- They emit (possibly after in-source interactions or magnetic confinement [44]) a relatively hard spectrum and mixed composition [40,48,49], where the maximum rigidity does not differ much between sources [81,82] (see Section 2).
- They probably roughly follow the large-scale structure [80,88,99,109,110,111,112,113,114,116,117,118] and have a relatively large density (see Section 3.2) [80,88,99,118].
In particular, the last two points have sparked debates about which kind of source class could be, on one hand, so common and, on the other hand, so identical [83]. Also, further modeling is needed to gain information about the exact relevant energy range where the above-listed findings apply, i.e., whether the same source class could be responsible for the dipole, intermediate-scale anisotropies, and the highest-energy events.
The sources of the smaller-scale anisotropies are still heavily under debate, e.g., the source behind the most significant intermediate-scale overdensity in the Centaurus region seen by Auger. The overdensity could be caused by Cen A itself [144,145,179], by the nearby starburst galaxies NGC4945 and M83 [49,164,180], or by deflected events from the Sombrero galaxy [184,203] (see Section 3.3 and [108]).
Another pressing question has emerged regarding the highest-energy events, which cannot easily be associated with nearby prominent source candidates or the extragalactic matter distribution [90,91,195,196]. If these events are produced by the same source class that is dominant around the ankle, the sources are likely of a transient nature—such as binary neutron star mergers [83]—and the mass composition at the highest energies is likely heavier than iron [84,204] (see Section 3.4). Another possibility is the dominance of a single source (like Cen A) above the ankle, in combination with a strong EGMF between the source and Earth [107,177], which explains both the excess in the Centaurus region and the distribution of the highest-energy events. If such a scenario can also explain the large-scale anisotropy needs further investigation.
Some of these questions could be answered in the near future by using mass estimators from the Auger and TA surface detectors [29,34]. Combining event-by-event charge information at the highest energies with energy and arrival direction measurements will provide powerful constraints on UHECR sources. This could be carried out, for example, by extending combined fits of models to multiple observables, such as [49], by investigating the difference between heavy and light components in large- and intermediate-scale anisotropies [133,207], or by searching for rigidity orderings near source candidates. Additionally, multi-messenger analyses can be a powerful probe of UHECR sources. First hints about UHECR sources from neutrinos are, for example, the observation of neutrinos from the nearby starburst galaxy NGC1068 [208], a neutrino associated with a tidal disruption event [209], or the non-observation of neutrinos from gamma-ray bursts [210].
When comparing the findings listed in this review to the open questions raised in [6], it can be seen that several of those questions have been at least partially answered in the last six years. However, the next generation of UHECR experiments, such as GCOS [211] or POEMMA [212], is needed to provide a further increase in statistics and precision of mass indicators, especially at the highest energies, to answer remaining questions. Additionally, further improvements in modeling have to be made, e.g., by even better models of the Galactic and extragalactic magnetic fields.
Funding
This research was funded by the Dutch research council (NWO) with a VENI grant.
Data Availability Statement
No new data were created or analyzed in this study. Data sharing is not applicable to this article.
Acknowledgments
I thank my colleagues from the Pierre Auger Collaboration for useful discussions, and Silvia Mollerach, Armando di Matteo, Josina Schulte, and the anonymous reviewers for useful comments on this manuscript. I also thank Alexander Korochkin and Michael Unger for providing their GMF models.
Conflicts of Interest
The author declares no conflicts of interest.
Abbreviations
The following abbreviations are used in this manuscript:
| CR | Cosmic Ray |
| UHECR | Ultra-high-energy Cosmic Ray |
| TA | Telescope Array |
| GZK | Greisen, Zatsepin, Kuzmin |
| LSS | Large-scale Structure |
| GMF | Galactic Magnetic Field |
| EGMF | Extragalactic Magnetic Field |
| FOV | Field of View |
| CNO | Carbon, Nitrogen, Oxygen |
References
- Hillas, A.M. The Origin of Ultra-High-Energy Cosmic Rays. Annu. Rev. Astron. Astrophys. 1984, 22, 425–444. [Google Scholar] [CrossRef]
- Lovelace, R.V.E. Dynamo model of double radio sources. Nature 1976, 262, 649–652. [Google Scholar] [CrossRef]
- Waxman, E. Cosmological Gamma-Ray Bursts and the Highest Energy Cosmic Rays. Phys. Rev. Lett. 1995, 75, 386–389. [Google Scholar] [CrossRef]
- Blandford, R.D. Acceleration of Ultra High Energy Cosmic Rays. Phys. Scr. 2000, T85, 191. [Google Scholar] [CrossRef]
- Anchordoqui, L.A. Ultra-High-Energy Cosmic Rays. Phys. Rep. 2019, 801, 1–93. [Google Scholar] [CrossRef]
- Alves Batista, R.; Biteau, J.; Bustamante, M.; Dolag, K.; Engel, R.; Fang, K.; Kampert, K.H.; Kostunin, D.; Mostafa, M.; Murase, K.; et al. Open Questions in Cosmic-Ray Research at Ultrahigh Energies. Front. Astron. Space Sci. 2019, 6, 23. [Google Scholar] [CrossRef]
- Matthews, J.H.; Bell, A.R.; Blundell, K.M. Particle acceleration in astrophysical jets. New Astron. Rev. 2020, 89, 101543. [Google Scholar] [CrossRef]
- Globus, N.; Blandford, R. Ultra High Energy Cosmic Rays. arXiv 2025, arXiv:2505.21846. [Google Scholar] [CrossRef]
- Zhang, B.T. Source Models of UHECRs. In Proceedings of the 7th International Symposium on Ultra High Energy Cosmic Rays (UHECR2024), Mendoza, Argentina, 17–21 November 2024; Volume 484, p. 001. [Google Scholar] [CrossRef]
- The Pierre Auger Collaboration. The Pierre Auger Cosmic Ray Observatory. Nucl. Instrum. Methods Phys. Res. A 2015, 798, 172–213. [Google Scholar] [CrossRef]
- Kawai, H.; Yoshida, S.; Yoshii, H.; Tanaka, K.; Cohen, F.; Fukushima, M.; Hayashida, N.; Hiyama, K.; Ikeda, D.; Kido, E.; et al. Telescope Array Experiment. Nucl. Phys. Proc. Suppl. 2008, 175–176, 221–226. [Google Scholar] [CrossRef]
- Fitoussi, T.; for the Pierre Auger Collaboration. Mass composition of ultra-high-energy cosmic rays at the Pierre Auger Observatory. In Proceedings of the 7th International Symposium on Ultra High Energy Cosmic Rays (UHECR2024), Mendoza, Argentina, 17–21 November 2024; Volume 484, p. 041. [Google Scholar] [CrossRef]
- Stadelmaier, M.; for the Pierre Auger Collaboration. Reconstructing Air-Shower Observables using a Universality-Based Model at the Pierre Auger Observatory. In Proceedings of the 39th International Cosmic Ray Conference (ICRC 2025), Geneva, Switzerland, 15–24 July 2025; Volume 501, p. 426. [Google Scholar] [CrossRef]
- Unger, M.; Farrar, G.R. The Coherent Magnetic Field of the Milky Way. Astrophys. J. 2024, 970, 95. [Google Scholar] [CrossRef]
- Korochkin, A.; Semikoz, D.; Tinyakov, P. The coherent magnetic field of the Milky Way halo, Local Bubble and Fan Region. Astron. Astrophys. 2025, 693, A284. [Google Scholar] [CrossRef]
- Durrer, R.; Neronov, A. Cosmological Magnetic Fields: Their Generation, Evolution and Observation. Astron. Astrophys. Rev. 2013, 21, 62. [Google Scholar] [CrossRef]
- Blunier, J.; Neronov, A.; Semikoz, D. Revision of conservative lower bound on intergalactic magnetic field from Fermi and Cherenkov telescope observations of extreme blazars. arXiv 2025, arXiv:2506.22285. [Google Scholar] [CrossRef]
- Acciari, V.A.; Agudo, I.; Aniello, T.; Ansoldi, S.; Antonelli, L.A.; Arbet Engels, A.; Artero, M.; Asano, K.; Baack, D.; Babić, A.; et al. A lower bound on intergalactic magnetic fields from time variability of 1ES 0229+200 from MAGIC andFermi/LAT observations. Astron. Astrophys. 2023, 670, A145. [Google Scholar] [CrossRef]
- The Plack Collaboration. Planck 2015 results—XIX. Constraints on primordial magnetic fields. Astron. Astrophys. 2016, 594, A19. [Google Scholar] [CrossRef]
- Pshirkov, M.S.; Tinyakov, P.G.; Urban, F.R. New limits on extragalactic magnetic fields from rotation measures. Phys. Rev. Lett. 2016, 116, 191302. [Google Scholar] [CrossRef] [PubMed]
- Vazza, F.; Locatelli, N.; Rajpurohit, K.; Banfi, S.; Domínguez-Fernández, P.; Wittor, D.; Angelinelli, M.; Inchingolo, G.; Brienza, M.; Hackstein, S.; et al. Magnetogenesis and the Cosmic Web: A Joint Challenge for Radio Observations and Numerical Simulations. Galaxies 2021, 9, 109. [Google Scholar] [CrossRef]
- Bister, T. Probing UHECR sources—Constraints from cosmic-ray measurements. In Proceedings of the 39th International Cosmic Ray Conference (ICRC 2025), Geneva, Switzerland, 15–24 July 2025; Volume 501, p. 1387. [Google Scholar] [CrossRef]
- The Pierre Auger Collaboration Features of the Energy Spectrum of Cosmic Rays above 2.5 × 1018 eV using the Pierre Auger Observatory. Phys. Rev. Lett. 2020, 125, 121106. [CrossRef]
- Kim, J.; for the Telescope Array Collaboration. Energy Spectrum Measured by the Telescope Array Surface Detectors. In Proceedings of the 7th International Symposium on Ultra High Energy Cosmic Rays (UHECR2024), Malargüe, Argentina, 17–21 November 2024; Volume 484, p. 037. [Google Scholar] [CrossRef]
- Tsunesada, Y.; for the Pierre Auger Collaboration and the Telescope Array Collaboration. Measurement of UHECR energy spectrum with the Pierre Auger Observatory and the Telescope Array. In Proceedings of the 38th International Cosmic Ray Conference (ICRC2023), Nagoya, Japan, 26 July–3 August 2023; Volume 444, p. 406. [Google Scholar] [CrossRef]
- Navas, S.; Amsler, C.; Gutsche, T.; Hanhart, C.; Hernández-Rey, J.J.; Lourenço, C.; Masoni, A.; Mikhasenko, M.; Mitchell, R.E.; Patrignani, C.; et al. Review of particle physics. Phys. Rev. D 2024, 110, 030001. [Google Scholar] [CrossRef]
- Maurin, D.; Ahlers, M.; Dembinski, H.; Haungs, A.; Mangeard, P.S.; Melot, F.; Mertsch, P.; Wochele, D.; Wochele, J. A cosmic-ray database update: CRDB v4.1. Eur. Phys. J. C 2023, 83, 971. [Google Scholar] [CrossRef]
- The Pierre Auger Collaboration. Depth of maximum of air-shower profiles at the Pierre Auger Observatory. II. Composition implications. Phys. Rev. D 2014, 90, 122006. [Google Scholar] [CrossRef]
- The Pierre Auger Collaboration. Inference of the Mass Composition of Cosmic Rays with Energies from 1018.5 to 1020 eV Using the Pierre Auger Observatory and Deep Learning. Phys. Rev. Lett. 2025, 134, 021001. [Google Scholar] [CrossRef] [PubMed]
- The Pierre Auger Collaboration. Testing hadronic-model predictions of depth of maximum of air-shower profiles and ground-particle signals using hybrid data of the Pierre Auger Observatory. Phys. Rev. D 2024, 109, 102001. [Google Scholar] [CrossRef]
- Kim, J.; Bergman, D.; Telescope Array Collaboration. The fractional analysis of mass composition measured by the Telescope Array FADC fluorescence detectors in hybrid mode. In Proceedings of the 7th International Symposium on Ultra High Energy Cosmic Rays (UHECR2024), Mendoza, Argentina, 17–21 November 2024; Volume 484, p. 098. [Google Scholar] [CrossRef]
- Yushkov, A.; for the Pierre Auger Collaboration and the Telescope Array Collaboration. Depth of maximum of air-shower profiles: Testing the compatibility of the measurements at the Pierre Auger Observatory and the Telescope Array. In Proceedings of the 38th International Cosmic Ray Conference (ICRC2023), Nagoya, Japan, 26 July–3 August 2023; Volume 444, p. 249. [Google Scholar] [CrossRef]
- The Telescope Array Collaboration. Isotropy of Cosmic Rays beyond 1020 eV Favors Their Heavy Mass Composition. Phys. Rev. Lett. 2024, 133, 041001. [Google Scholar] [CrossRef]
- Prosekin, A.; for the Telescope Array Collaboration. Evaluation of the Telescope Array surface detector’s energy reconstruction performance using a deep neural network and hybrid data. In Proceedings of the 7th International Symposium on Ultra High Energy Cosmic Rays (UHECR2024), Mendoza, Argentina, 17–21 November 2024; Volume 484, p. 040. [Google Scholar] [CrossRef]
- Gaisser, T.K.; Stanev, T.; Tilav, S. Cosmic Ray Energy Spectrum from Measurements of Air Showers. arXiv 2013, arXiv:1303.3565. [Google Scholar] [CrossRef]
- Aloisio, R.; Berezinsky, V.; Gazizov, A. Transition from galactic to extragalactic cosmic rays. Astropart. Phys. 2012, 39–40, 129–143. [Google Scholar] [CrossRef]
- Allard, D. Extragalactic propagation of ultrahigh energy cosmic-rays. Astropart. Phys. 2012, 39–40, 33–43. [Google Scholar] [CrossRef]
- Greisen, K. End to the Cosmic-Ray Spectrum? Phys. Rev. Lett. 1966, 16, 748–750. [Google Scholar] [CrossRef]
- Zatsepin, G.; Kuzmin, V. Upper limit of the spectrum of cosmic rays. JETP Lett. 1966, 4, 78–80. [Google Scholar]
- The Pierre Auger Collaboration. Combined fit of spectrum and composition data as measured by the Pierre Auger Observatory. J. Cosmol. Astropart. Phys. 2017, 2017, 038. [Google Scholar] [CrossRef]
- Berezinsky, V.; Gazizov, A.; Grigorieva, S. On astrophysical solution to ultrahigh energy cosmic rays. Phys. Rev. D 2006, 74, 043005. [Google Scholar] [CrossRef]
- Hooper, D.; Taylor, A.M. On the heavy chemical composition of the ultra-high energy cosmic rays. Astropart. Phys. 2010, 33, 151–159. [Google Scholar] [CrossRef]
- Taylor, A.M.; Ahlers, M.; Hooper, D. Indications of negative evolution for the sources of the highest energy cosmic rays. Phys. Rev. D 2015, 92, 063011. [Google Scholar] [CrossRef]
- Unger, M.; Farrar, G.R.; Anchordoqui, L.A. Origin of the ankle in the ultra-high energy cosmic ray spectrum and of the extragalactic protons below it. Phys. Rev. D 2015, 92, 123001. [Google Scholar] [CrossRef]
- Heinze, J.; Fedynitch, A.; Boncioli, D.; Winter, W. A New View on Auger Data and Cosmogenic Neutrinos in Light of Different Nuclear Disintegration and Air-shower Models. Astrophys. J. 2019, 873, 88. [Google Scholar] [CrossRef]
- Mollerach, S.; Roulet, E. Extragalactic cosmic rays diffusing from two populations of sources. Phys. Rev. D 2020, 101, 103024. [Google Scholar] [CrossRef]
- Bergmann, D.; for the Telescope Array Collaboration. Telescope Array Combined Fit to Cosmic Ray Spectrum and Composition. In Proceedings of the 37th International Cosmic Ray Conference (ICRC 2021), Berlin, Germany, 15–22 July 2021; Volume 395, p. 338. [Google Scholar] [CrossRef]
- Pierre Auger Collaboration. Constraining the sources of ultra-high-energy cosmic rays across and above the ankle with the spectrum and composition data measured at the Pierre Auger Observatory. J. Cosmol. Astropart. Phys. 2023, 05, 024. [Google Scholar] [CrossRef]
- The Pierre Auger Collaboration. Constraining models for the origin of ultra-high-energy cosmic rays with a novel combined analysis of arrival directions, spectrum, and composition data measured at the Pierre Auger Observatory. J. Cosmol. Astropart. Phys. 2024, 01, 022. [Google Scholar] [CrossRef]
- The Pierre Auger Collaboration. Impact of the magnetic horizon on the interpretation of the Pierre Auger Observatory spectrum and composition data. J. Cosmol. Astropart. Phys. 2024, 2024, 094. [Google Scholar] [CrossRef]
- Peters, B. Primary cosmic radiation and extensive air showers. Il Nuovo Cimento (1955–1965) 1961, 22, 800–819. [Google Scholar] [CrossRef]
- Comisso, L.; Farrar, G.R.; Muzio, M.S. Ultra-High-Energy Cosmic Rays Accelerated by Magnetically Dominated Turbulence. Astrophys. J. Lett. 2024, 977, L18. [Google Scholar] [CrossRef]
- Muzio, M.S.; Anchordoqui, L.A.; Unger, M. Peters cycle at the end of the cosmic ray spectrum? Phys. Rev. D 2024, 109, 023006. [Google Scholar] [CrossRef]
- The Pierre Auger Collaboration. Constraints on the origin of cosmic rays above 1018 eV from large-scale anisotropy searches in data of the Pierre Auger Observatory. Astrophys. J. Lett. 2012, 762, L13. [Google Scholar] [CrossRef]
- Aloisio, R.; Berezinsky, V.; Blasi, P. Ultra high energy cosmic rays: Implications of Auger data for source spectra and chemical composition. J. Cosmol. Astropart. Phys. 2014, 2014, 020. [Google Scholar] [CrossRef]
- Muzio, M.S.; Farrar, G.R.; Unger, M. Probing the environments surrounding ultrahigh energy cosmic ray accelerators and their implications for astrophysical neutrinos. Phys. Rev. D 2022, 105, 023002. [Google Scholar] [CrossRef]
- Luce, Q.; Marafico, S.; Biteau, J.; Condorelli, A.; Deligny, O. Observational Constraints on Cosmic-Ray Escape from Ultrahigh-energy Accelerators. Astrophys. J. 2022, 936, 62. [Google Scholar] [CrossRef]
- Baerwald, P.; Bustamante, M.; Winter, W. UHECR escape mechanisms for protons and neutrons from GRBs, and the cosmic ray-neutrino connection. Astrophys. J. 2013, 768, 186. [Google Scholar] [CrossRef]
- Globus, N.; Allard, D.; Parizot, E. A complete model of the CR spectrum and composition across the Galactic to Extragalactic transition. Phys. Rev. D 2015, 92, 021302. [Google Scholar] [CrossRef]
- Globus, N.; Allard, D.; Mochkovitch, R.; Parizot, E. UHECR acceleration at GRB internal shocks. Mon. Not. R. Astron. Soc. 2015, 451, 751–790. [Google Scholar] [CrossRef]
- Biehl, D.; Boncioli, D.; Fedynitch, A.; Winter, W. Cosmic ray and neutrino emission from gamma-ray bursts with a nuclear cascade. Astron. Astrophys. 2018, 611, A101. [Google Scholar] [CrossRef]
- Zhang, B.T.; Murase, K.; Kimura, S.S.; Horiuchi, S.; Mészáros, P. Low-luminosity gamma-ray bursts as the sources of ultrahigh-energy cosmic ray nuclei. Phys. Rev. D 2018, 97, 083010. [Google Scholar] [CrossRef]
- Heinze, J.; Biehl, D.; Fedynitch, A.; Boncioli, D.; Rudolph, A.; Winter, W. Systematic parameter space study for the UHECR origin from GRBs in models with multiple internal shocks. Mon. Not. R. Astron. Soc. 2020, 498, 5990–6004. [Google Scholar] [CrossRef]
- Rodrigues, X.; Heinze, J.; Palladino, A.; van Vliet, A.; Winter, W. Active Galactic Nuclei Jets as the Origin of Ultrahigh-Energy Cosmic Rays and Perspectives for the Detection of Astrophysical Source Neutrinos at EeV Energies. Phys. Rev. Lett. 2021, 126, 191101. [Google Scholar] [CrossRef] [PubMed]
- Supanitsky, A.; Cobos, A.; Etchegoyen, A. Origin of the light cosmic ray component below the ankle. Phys. Rev. D 2018, 98, 103016. [Google Scholar] [CrossRef]
- Eichmann, B.; Rachen, J.P.; Merten, L.; van Vliet, A.; Becker Tjus, J. Ultra-high-energy cosmic rays from radio galaxies. J. Cosmol. Astropart. Phys. 2018, 2018, 036. [Google Scholar] [CrossRef]
- Eichmann, B.; Kachelrieß, M.; Oikonomou, F. Explaining the UHECR spectrum, composition and large-scale anisotropies with radio galaxies. J. Cosmol. Astropart. Phys. 2022, 07, 006. [Google Scholar] [CrossRef]
- Guépin, C.; Kotera, K.; Barausse, E.; Fang, K.; Murase, K. Ultra-high-energy cosmic rays and neutrinos from tidal disruptions by massive black holes. Astron. Astrophys. 2018, 616, A179. [Google Scholar] [CrossRef]
- Biehl, D.; Boncioli, D.; Lunardini, C.; Winter, W. Tidally disrupted stars as a possible origin of both cosmic rays and neutrinos at the highest energies. Sci. Rep. 2018, 8, 10828. [Google Scholar] [CrossRef]
- Plotko, P.; Winter, W.; Lunardini, C.; Yuan, C. Ultra-High-Energy Cosmic Rays from Neutrino-Emitting Tidal Disruption Events. arXiv 2024, arXiv:2410.19047. [Google Scholar] [CrossRef]
- Condorelli, A.; Boncioli, D.; Peretti, E.; Petrera, S. Testing hadronic and photo-hadronic interactions as responsible for UHECR and neutrino fluxes from Starburst Galaxies. Phys. Rev. D 2023, 107, 083009. [Google Scholar] [CrossRef]
- Fang, K.; Murase, K. Linking high-energy cosmic particles by black-hole jets embedded in large-scale structures. Nat. Phys. 2018, 14, 396–398. [Google Scholar] [CrossRef]
- Rossoni, S.; Boncioli, D.; Sigl, G. Investigating binary-neutron-star mergers as production sites of high-energy neutrinos. arXiv 2024, arXiv:2407.19957. [Google Scholar] [CrossRef]
- Alves Batista, R.; de Almeida, R.M.; Lago, B.; Kotera, K. Cosmogenic photon and neutrino fluxes in the Auger era. J. Cosmol. Astropart. Phys. 2019, 2019, 002. [Google Scholar] [CrossRef]
- Globus, N.; Allard, D.; Parizot, E.; Piran, T. Probing the Extragalactic Cosmic-Ray Origin with Gamma-Ray and Neutrino Backgrounds. Astrophys. J. Lett. 2017, 839, L22. [Google Scholar] [CrossRef]
- Ehlert, D.; van Vliet, A.; Oikonomou, F.; Winter, W. Constraints on the proton fraction of cosmic rays at the highest energies and the consequences for cosmogenic neutrinos and photons. J. Cosmol. Astropart. Phys. 2024, 02, 022. [Google Scholar] [CrossRef]
- Muzio, M.S.; Unger, M.; Wissel, S. Prospects for joint cosmic ray and neutrino constraints on the evolution of trans-Greisen-Zatsepin-Kuzmin proton sources. Phys. Rev. D 2023, 107, 103030. [Google Scholar] [CrossRef]
- Hasinger, G.; Miyaji, T.; Schmidt, M. Luminosity-dependent evolution of soft X-ray selected AGN: New Chandra and XMM-Newton surveys. Astron. Astrophys. 2005, 441, 417–434. [Google Scholar] [CrossRef]
- The Pierre Auger Collaboration. The Energy Spectrum of Ultra-High Energy Cosmic Rays across Declinations −90° to +44.8° as measured at the Pierre Auger Observatory. arXiv 2025, arXiv:2506.11688. [Google Scholar] [CrossRef]
- Bister, T.; Farrar, G.R. Constraints on UHECR Sources and Extragalactic Magnetic Fields from Directional Anisotropies. Astrophys. J. 2024, 966, 71. [Google Scholar] [CrossRef]
- Ehlert, D.; Oikonomou, F.; Unger, M. Curious case of the maximum rigidity distribution of cosmic-ray accelerators. Phys. Rev. D 2023, 107, 103045. [Google Scholar] [CrossRef]
- Luce, Q.; Biteau, J.; Deligny, O.; Condorelli, A. Indication of population effect in UHECR sources. In Proceedings of the 39th International Cosmic Ray Conference (ICRC 2025), Geneva, Switzerland, 14–24 July 2025; Volume 501, p. 322. [Google Scholar]
- Farrar, G.R. Binary Neutron Star Mergers as the Source of the Highest Energy Cosmic Rays. Phys. Rev. Lett. 2025, 134, 081003. [Google Scholar] [CrossRef] [PubMed]
- Zhang, B.T.; Murase, K.; Ekanger, N.; Bhattacharya, M.; Horiuchi, S. Ultraheavy Ultrahigh-Energy Cosmic Rays. arXiv 2024, arXiv:2405.17409. [Google Scholar] [CrossRef]
- Lundquist, J.P.; Vorobiov, S.; Merten, L.; Reimer, A.; Boughelilba, M.; Da Vela, P.; Tavecchio, F.; Bonnoli, G.; Righi, C. Combined Fit of Spectrum and Composition for FR0 Radio-galaxy-emitted Ultra–high energy Cosmic Rays with Resulting Secondary Photons and Neutrinos. Astrophys. J. 2025, 978, 20. [Google Scholar] [CrossRef]
- Farrar, G.R.; Sutherland, M.S. Deflections of UHECRs in the Galactic magnetic field. J. Cosmol. Astropart. Phys. 2019, 2019, 004. [Google Scholar] [CrossRef]
- Eichmann, B.; Winchen, T. Galactic magnetic field bias on inferences from UHECR data. J. Cosmol. Astropart. Phys. 2020, 2020, 047. [Google Scholar] [CrossRef]
- Bister, T.; Farrar, G.R.; Unger, M. The Large-scale Anisotropy and Flux (de)magnification of Ultrahigh-energy Cosmic Rays in the Galactic Magnetic Field. Astrophys. J. Lett. 2024, 975, L21. [Google Scholar] [CrossRef]
- Liouville, J. Nouvelle démonstration d’un théorème sur les irrationnelles algébriques. C. R. Acad. Sci. Paris 1844, 18, 910–911. [Google Scholar]
- Korochkin, A.; Semikoz, D.; Tinyakov, P. UHECR deflections in the Galactic magnetic field. arXiv 2025, arXiv:2501.16158. [Google Scholar] [CrossRef]
- Unger, M.; Farrar, G.R. The Galactic Magnetic Field and UHECR Deflections. In Proceedings of the 7th International Symposium on Ultra High Energy Cosmic Rays (UHECR2024), Mendoza, Argentina, 17–21 November 2024; Volume 484, p. 003. [Google Scholar] [CrossRef]
- Jaffe, T.R. Practical Modeling of Large-Scale Galactic Magnetic Fields: Status and Prospects. Galaxies 2019, 7, 52. [Google Scholar] [CrossRef]
- Jansson, R.; Farrar, G.R. The Galactic Magnetic Field. Astrophys. J. 2012, 761, L11. [Google Scholar] [CrossRef]
- Jansson, R.; Farrar, G.R. A New Model of the Galactic Magnetic Field. Astrophys. J. 2012, 757, 14. [Google Scholar] [CrossRef]
- The Planck collaboration. Planck intermediate results—XLII. Large-scale Galactic magnetic fields. Astron. Astrophys. 2016, 596, A103. [Google Scholar] [CrossRef]
- Pelgrims, V.; Ferrière, K.; Boulanger, F.; Lallement, R.; Montier, L. Modeling the magnetized Local Bubble from dust data. Astron. Astrophys. 2020, 636, A17. [Google Scholar] [CrossRef]
- Pelgims, V.; Maris, I.; Unger, M. The Effect of Our Cosmic Neighborhood’s Magnetic Field on UHECR Propagation. In Proceedings of the 39th International Cosmic Ray Conference (ICRC 2025), Geneva, Switzerland, 14–24 July 2025; Volume 501, p. 357. [Google Scholar]
- The Pierre Auger Collaboration. Observation of a Large-scale Anisotropy in the Arrival Directions of Cosmic Rays above 8×1018 eV. Science 2017, 357, 1266–1270. [Google Scholar] [CrossRef]
- The Pierre Auger Collaboration. Large-scale Cosmic-ray Anisotropies with 19 yr of Data from the Pierre Auger Observatory. Astrophys. J. 2024, 976, 48. [Google Scholar] [CrossRef]
- Rubtsov, G.; for the Pierre Auger Collaboration and the Telescope Array Collaboration. Update on full-sky searches for large- and medium-scale anisotropies in the UHECR flux using the Pierre Auger Observatory and the Telescope Array. In Proceedings of the 7th International Symposium on Ultra High Energy Cosmic Rays (UHECR2024), Mendoza, Argentina, 17–21 November 2024; Volume 484, p. 009. [Google Scholar] [CrossRef]
- L. Caccianiga for the Pierre Auger Collaboration. Update on the searches for anisotropies in UHECR arrival directions with the Pierre Auger Observatory and the Telescope Array. In Proceedings of the 38th International Cosmic Ray Conference (ICRC2023), Nagoya, Japan, 26 July–3 August 2023; Volume 444, p. 521. [Google Scholar] [CrossRef]
- The Telescope Array Collaboration. Search for Large-scale Anisotropy on Arrival Directions of Ultra-high-energy Cosmic Rays Observed with the Telescope Array Experiment. Astrophys. J. Lett. 2020, 898, L28. [Google Scholar] [CrossRef]
- The Telescope Array Collaboration. Indications of Intermediate-Scale Anisotropy of Cosmic Rays with Energy Greater Than 57 EeV in the Northern Sky Measured with the Surface Detector of the Telescope Array Experiment. Astrophys. J. 2014, 790, L21. [Google Scholar] [CrossRef]
- Seo, J.; Ryu, D.; Kang, H. Energy Spectrum and Mass Composition of Ultra-High-Energy Cosmic Rays Originating from Relativistic Jets of Nearby Radio Galaxies. arXiv 2025, arXiv:2506.15110. [Google Scholar] [CrossRef]
- Berezinskii, V.S.; Grigor’eva, S.I.; Dogiel, V.A. Predicted spectrum and anisotropy of the ultra-high energy cosmic rays in a single-source model. Astron. Astrophys. 1990, 232, 582–588. [Google Scholar]
- Isola, C.; Lemoine, M.; Sigl, G. Centaurus A as the Source of ultra-high energy cosmic rays? Phys. Rev. D 2001, 65, 023004. [Google Scholar] [CrossRef]
- Mollerach, S.; Roulet, E. Case for Centaurus A as the main source of ultrahigh-energy cosmic rays. Phys. Rev. D 2024, 110, 063030. [Google Scholar] [CrossRef]
- Bister, T. The source of the cosmic-ray excess in the Centaurus region—Constraints on possible candidates, mass composition and cosmic magnetic fields. arXiv 2025, arXiv:2509.06594. [Google Scholar] [CrossRef]
- Waxman, E.; Fisher, K.B.; Piran, T. The Signature of a Correlation between Cosmic-ray Sources above 1019 eV and Large-Scale Structure. Astrophys. J. 1997, 483, 1–7. [Google Scholar] [CrossRef]
- Cuoco, A.; D’Abrusco, R.; Longo, G.; Miele, G.; Serpico, P.D. The footprint of large scale cosmic structure on the ultrahigh energy cosmic ray distribution. J. Cosmol. Astropart. Phys. 2006, 2006, 009. [Google Scholar] [CrossRef][Green Version]
- Harari, D.; Mollerach, S.; Roulet, E. Anisotropies of ultrahigh energy cosmic ray nuclei diffusing from extragalactic sources. Phys. Rev. D 2015, 92, 063014. [Google Scholar] [CrossRef]
- Tinyakov, P.G.; Urban, F.R. Full sky harmonic analysis hints at large ultra-high energy cosmic ray deflections. JETP 2015, 120, 533–540. [Google Scholar] [CrossRef][Green Version]
- Globus, N.; Piran, T. The Extragalactic Ultra-high-energy Cosmic-Ray Dipole. Astrophys. J. Lett. 2017, 850, L25. [Google Scholar] [CrossRef]
- di Matteo, A.; Tinyakov, P. How isotropic can the UHECR flux be? Mon. Not. R. Astron. Soc. 2018, 476, 715–723. [Google Scholar] [CrossRef]
- The Pierre Auger Collaboration. Large-scale cosmic-ray anisotropies above 4 EeV measured by the Pierre Auger Observatory. Astrophys. J. 2018, 868, 4. [Google Scholar] [CrossRef]
- Globus, N.; Piran, T.; Hoffman, Y.; Carlesi, E.; Pomarède, D. Cosmic ray anisotropy from large-scale structure and the effect of magnetic horizons. Mon. Not. R. Astron. Soc. 2019, 484, 4167–4173. [Google Scholar] [CrossRef]
- Ding, C.; Globus, N.; Farrar, G.R. The Imprint of Large-scale Structure on the Ultrahigh-energy Cosmic-Ray Sky. Astrophys. J. Lett. 2021, 913, L13. [Google Scholar] [CrossRef]
- Allard, D.; Aublin, J.; Baret, B.; Parizot, E. What can be learnt from UHECR anisotropies observations—I. Large-scale anisotropies and composition features. Astron. Astrophys. 2022, 664, A120. [Google Scholar] [CrossRef]
- Simeon, P.; Globus, N.; Barrow, K.S.S.; Blandford, R. A Hierarchical Shock Model of Ultra-High-Energy Cosmic Rays. arXiv 2025, arXiv:2503.10795. [Google Scholar] [CrossRef]
- Fargion, D.; De Sanctis Lucentini, P.G.; Khlopov, M.Y. UHECR Clustering: Lightest Nuclei from Local Sheet Galaxies. Universe 2024, 10, 323. [Google Scholar] [CrossRef]
- Condorelli, A.; Biteau, J.; Adam, R. Impact of Galaxy Clusters on the Propagation of Ultrahigh-energy Cosmic Rays. Astrophys. J. 2023, 957, 80. [Google Scholar] [CrossRef]
- Hoffman, Y.; Carlesi, E.; Pomarède, D.; Tully, R.B.; Courtois, H.M.; Gottlöber, S.; Libeskind, N.I.; Sorce, J.G.; Yepes, G. The quasi-linear nearby Universe. Nat. Astron. 2018, 2, 680–687. [Google Scholar] [CrossRef]
- Alves Batista, R. The Quest for the Origins of Ultra-High-Energy Cosmic Rays. arXiv 2025, arXiv:2412.17201. [Google Scholar] [CrossRef]
- Allard, D.; Aublin, J.; Baret, B.; Parizot, E. What can be learnt from UHECR anisotropies observations Paper II: Intermediate-scale anisotropies. Astron. Astrophys. 2024, 686, A292. [Google Scholar] [CrossRef]
- Ajello, M.; Romani, R.W.; Gasparrini, D.; Shaw, M.S.; Bolmer, J.; Cotter, G.; Finke, J.; Greiner, J.; Healey, S.E.; King, O.; et al. The cosmic evolution of Fermi BL Lacertae objects. Astrophys. J. 2013, 780, 73. [Google Scholar] [CrossRef]
- Gruppioni, C.; Pozzi, F.; Rodighiero, G.; Delvecchio, I.; Berta, S.; Pozzetti, L.; Zamorani, G.; Andreani, P.; Cimatti, A.; Ilbert, O.; et al. The Herschel PEP/HerMES luminosity function—I. Probing the evolution of PACS selected Galaxies to z≃4. Mon. Not. R. Astron. Soc. 2013, 432, 23–52. [Google Scholar] [CrossRef]
- Farrar, G.R.; Gruzinov, A. Giant AGN flares and cosmic ray bursts. Astrophys. J. 2009, 693, 329–332. [Google Scholar] [CrossRef]
- He, H.N.; Kusenko, A.; Nagataki, S.; Zhang, B.B.; Yang, R.Z.; Fan, Y.Z. Monte Carlo Bayesian search for the plausible source of the Telescope Array hotspot. Phys. Rev. D 2016, 93, 043011. [Google Scholar] [CrossRef]
- Hackstein, S.; Vazza, F.; Brüggen, M.; Sorce, J.G.; Gottlöber, S. Simulations of ultra-high energy cosmic rays in the local Universe and the origin of cosmic magnetic fields. Mon. Not. R. Astron. Soc. 2018, 475, 2519–2529. [Google Scholar] [CrossRef]
- Valade, A.; Libeskind, N.I.; Pomarede, D.; Tully, R.B.; Hoffmann, Y.; Pfeifer, S.; Kourkchi, E. Identification of Basins of Attraction in the Local Universe. Nat. Astron. 2024, 8, 1610–1616. [Google Scholar] [CrossRef]
- Lang, R.G.; Taylor, A.M.; de Souza, V. Ultrahigh-energy cosmic rays dipole and beyond. Phys. Rev. D 2021, 103, 063005. [Google Scholar] [CrossRef]
- Vícha, J.; Bakalová, A.; Müller, A.L.; Tkachenko, O.; Stadelmaier, M.K. A Heavy-metal Scenario of Ultra-high-energy Cosmic Rays. Astrophys. J. Lett. 2025, 986, L34. [Google Scholar] [CrossRef]
- Martins, E.E.; for the Pierre Auger Collaboration. Prospects of a composition-enhanced search for large-scale anisotropy with the Pierre Auger Observatory. In Proceedings of the 7th International Symposium on Ultra High Energy Cosmic Rays (UHECR2024), Mendoza, Argentina, 17–21 November 2024; Volume 484, p. 102. [Google Scholar] [CrossRef]
- Golup, G.; for the Pierre Auger Collaboration. An update on the arrival direction studies made with data from the Pierre Auger Observatory. In Proceedings of the 38th International Cosmic Ray Conference (ICRC2023), Nagoya, Japan, 26 July–3 August 2023; Volume 444, p. 252. [Google Scholar] [CrossRef]
- The Pierre Auger Collaboration. Arrival Directions of Cosmic Rays above 32 EeV from Phase One of the Pierre Auger Observatory. Astrophys. J. 2022, 935, 170. [Google Scholar] [CrossRef]
- Kim, J.; for the Telescope Array Collaboration. Telescope Array Surface Detector Medium-scale Anisotropy Analyses. In Proceedings of the 7th International Symposium on Ultra High Energy Cosmic Rays (UHECR2024), Mendoza, Argentina, 17–21 November 2024; Volume 484, p. 097. [Google Scholar] [CrossRef]
- Kim, J.; Ryu, D.; Kang, H.; Kim, S.; Rey, S.C. Filaments of galaxies as a clue to the origin of ultrahigh-energy cosmic rays. Science Advances 2019, 5, eaau8227. [Google Scholar] [CrossRef] [PubMed]
- The Pierre Auger Collaboration. The flux of ultra-high-energy cosmic rays along the supergalactic plane measured at the Pierre Auger Observatory. Astrophys. J. 2025, 984, 123. [Google Scholar] [CrossRef]
- The Telescope Array Collaboration. Observation of Declination Dependence in the Cosmic Ray Energy Spectrum. arXiv 2024, arXiv:2406.08612. [Google Scholar] [CrossRef]
- Globus, N.; Allard, D.; Parizot, E.; Lachaud, C.; Piran, T. Can We Reconcile the TA Excess and Hotspot with Auger Observations? Astrophys. J. 2017, 836, 163. [Google Scholar] [CrossRef]
- Plotko, P.; Vliet, A.V.; Rodrigues, X.; Winter, W. Differences Between the Pierre Auger Observatory and Telescope Array Spectra: Systematic Effects or Indication of a Local Source of Ultra-High-Energy Cosmic Rays? Astrophys. J. 2023, 953, 129. [Google Scholar] [CrossRef]
- Cavallo, G. On the sources of ultra-high energy cosmic rays. Astron. Astrophys. 1978, 65, 415–419. [Google Scholar]
- Romero, G.E.; Combi, J.A.; Perez Bergliaffa, S.E.; Anchordoqui, L.A. Centaurus A as a source of extragalactic cosmic rays with arrival energies well beyond the GZK cutoff. Astropart. Phys. 1996, 5, 279–283. [Google Scholar] [CrossRef]
- Farrar, G.R.; Piran, T. Deducing the Source of Ultrahigh Energy Cosmic Rays. arXiv 2000, arXiv:astro-ph/0010370. [Google Scholar] [CrossRef]
- Gorbunov, D.; Tinyakov, P.; Tkachev, I.; Troitsky, S. Comment on “Correlation of the Highest-Energy Cosmic Rays with Nearby Extragalactic Objects”. JETP Lett. 2007, 87, 461–463. [Google Scholar] [CrossRef]
- Wykes, S.; Croston, J.H.; Hardcastle, M.J.; Eilek, J.A.; Biermann, P.L.; Achterberg, A.; Bray, J.D.; Lazarian, A.; Haverkorn, M.; Protheroe, R.J.; et al. Mass entrainment and turbulence-driven acceleration of ultra-high energy cosmic rays in Centaurus A. Astron. Astrophys. 2013, 558, A19. [Google Scholar] [CrossRef]
- Wang, J.; Reville, B.; Rieger, F.M.; Aharonian, F.A. Acceleration of ultra-high-energy cosmic rays in the kiloparsec-scale jets of nearby radio galaxies. arXiv 2024, arXiv:2411.16674. [Google Scholar] [CrossRef]
- Lemoine, M.; Waxman, E. Anisotropy vs chemical composition at ultra-high energies. J. Cosmol. Astropart. Phys. 2009, 2009, 009. [Google Scholar] [CrossRef]
- Achterberg, A.; Gallant, Y.A.; Kirk, J.G.; Guthmann, A.W. Particle acceleration by ultrarelativistic shocks: Theory and simulations. Mon. Not. R. Astron. Soc. 2001, 328, 393–408. [Google Scholar] [CrossRef]
- Rieger, F.M. Active Galactic Nuclei as Potential Sources of Ultra-High Energy Cosmic Rays. Universe 2022, 8, 607. [Google Scholar] [CrossRef]
- Caprioli, D. “Espresso” acceleration of ultra-high-energy cosmic rays. Astrophys. J. 2015, 811, L38. [Google Scholar] [CrossRef]
- Murase, K.; Stecker, F.W. High-Energy Neutrinos from Active Galactic Nuclei. In The Encyclopedia of Cosmology; World Scientific Publishing: London, UK, 2023; pp. 483–540. [Google Scholar] [CrossRef]
- Kimura, S.S.; Murase, K.; Zhang, B.T. Ultrahigh-energy cosmic-ray nuclei from black hole jets: Recycling galactic cosmic rays through shear acceleration. Phys. Rev. D 2018, 97, 023026. [Google Scholar] [CrossRef]
- Matthews, J.H.; Bell, A.R.; Blundell, K.M.; Araudo, A.T. Ultrahigh energy cosmic rays from shocks in the lobes of powerful radio galaxies. Mon. Not. R. Astron. Soc. 2019, 482, 4303–4321. [Google Scholar] [CrossRef]
- Ehlert, D.; Oikonomou, F.; Peretti, E. Ultra-high-energy cosmic rays from ultra-fast outflows of active galactic nuclei. arXiv 2025, arXiv:2411.05667. [Google Scholar] [CrossRef]
- Resconi, E.; Coenders, S.; Padovani, P.; Giommi, P.; Caccianiga, L. Connecting blazars with ultrahigh-energy cosmic rays and astrophysical neutrinos. Mon. Not. R. Astron. Soc. 2017, 468, 597–606. [Google Scholar] [CrossRef]
- Mbarek, R.; Caprioli, D. Revisiting Propagation Delays of Ultra-High-Energy Cosmic Rays from Long-lived Sources. arXiv 2025, arXiv:2502.01022. [Google Scholar] [CrossRef]
- The Pierre Auger Collaboration. Correlation of the Highest-Energy Cosmic Rays with Nearby Extragalactic Objects. Science 2007, 318, 938–943. [Google Scholar] [CrossRef] [PubMed]
- Galvez Ureña, A.; for the Pierre Auger Collaboration and the Telescope Array Collaboration. New full-sky studies of the distribution of ultra-high-energy cosmic-ray arrival directions. In Proceedings of the 39th International Cosmic Ray Conference (ICRC 2025), Geneva, Switzerland, 14–24 July 2025; Volume 501, p. 282. [Google Scholar]
- de Oliveira, C.; Lang, R.G.; Batista, P. On Gamma Rays as Predictors of Ultra-high-energy Cosmic-Ray Flux in Active Galactic Nuclei. Astrophys. J. 2025, 981, 123. [Google Scholar] [CrossRef]
- Partenheimer, A.; Fang, K.; Alves Batista, R.; Almeida, R.M.d. Ultra-high-energy Cosmic Ray Sources can be Gamma-ray Dim. Astrophys. J. Lett. 2024, 967, L15. [Google Scholar] [CrossRef]
- Merten, L.; Boughelilba, M.; Reimer, A.; Vela, P.D.; Vorobiov, S.; Tavecchio, F.; Bonnoli, G.; Lundquist, J.P.; Righi, C. Scrutinizing FR 0 Radio Galaxies as Ultra-High-Energy Cosmic Ray Source Candidates. Astropart. Phys. 2021, 128, 102564. [Google Scholar] [CrossRef]
- Anjos, R.C.; Coimbra-Araujo, C.H. Central accumulation of magnetic flux in massive Seyfert galaxies as a possible engine to trigger ultrahigh energy cosmic rays. Phys. Rev. D 2017, 96, 023008. [Google Scholar] [CrossRef]
- The Pierre Auger Collaboration. An Indication of anisotropy in arrival directions of ultra-high-energy cosmic rays through comparison to the flux pattern of extragalactic gamma-ray sources. Astrophys. J. Lett. 2018, 853, L29. [Google Scholar] [CrossRef]
- Kuznetsov, M.; for the Pierre Auger Collaboration and the Telescope Array Collaboration. Possible interpretations of the joint observations of UHECR arrival directions using data recorded at the Telescope Array and the Pierre Auger Observatory. In Proceedings of the 38th International Cosmic Ray Conference (ICRC2023), Nagoya, Japan, 26 July–3 August 2023; Volume 444, p. 528. [Google Scholar] [CrossRef]
- Higuchi, R.; Sako, T.; Fujii, T.; Kawata, K.; Kido, E. Effects of the Galactic Magnetic Field on the UHECR Correlation Studies with Starburst Galaxies. Astrophys. J. 2023, 949, 107. [Google Scholar] [CrossRef]
- Deval, L.; Engel, R.; Fitoussi, T.; Roulet, E.; Unger, M. Impact of the Galactic magnetic field modelling on studies of the UHECRs arrival direction. In Proceedings of the 7th International Symposium on Ultra High Energy Cosmic Rays (UHECR2024), Mendoza, Argentina, 17–21 November 2024; Volume 484, p. 080. [Google Scholar] [CrossRef]
- Lunardini, C.; Vance, G.S.; Emig, K.L.; Windhorst, R.A. Are starburst galaxies a common source of high energy neutrinos and cosmic rays? J. Cosmol. Astropart. Phys. 2019, 2019, 073. [Google Scholar] [CrossRef]
- van Vliet, A.; Palladino, A.; Taylor, A.; Winter, W. Extragalactic magnetic field constraints from ultrahigh-energy cosmic rays from local galaxies. Mon. Not. R. Astron. Soc. 2022, 510, 1289–1297. [Google Scholar] [CrossRef]
- de Oliveira, C.; de Souza, V. Nearby active galactic nuclei and starburst galaxies as sources of the measured UHECRs anisotropy signal. J. Cosmol. Astropart. Phys. 2023, 2023, 058. [Google Scholar] [CrossRef]
- Anchordoqui, L.A. Acceleration of ultrahigh-energy cosmic rays in starburst superwinds. Phys. Rev. D 2018, 97, 063010. [Google Scholar] [CrossRef]
- Romero, G.E.; Müller, A.L.; Roth, M. Particle acceleration in the superwinds of starburst galaxies. Astron. Astrophys. 2018, 616, A57. [Google Scholar] [CrossRef]
- Anchordoqui, L.A.; Torres, D.F. Exploring the superwind mechanism for generating ultrahigh-energy cosmic rays using large-scale modeling of starbursts. Phys. Rev. D 2020, 102, 023034. [Google Scholar] [CrossRef]
- Peretti, E.; Morlino, G.; Blasi, P.; Cristofari, P.; Ahlers, M. Exploring galactic wind superbubbles by multimessenger observations. In Proceedings of the 37th International Cosmic Ray Conference (ICRC 2021), Berlin, Germany, 15–22 July 2021; Volume 395, p. 995. [Google Scholar] [CrossRef]
- Kachelriess, M. Extragalactic cosmic rays. In Proceedings of the 37th International Cosmic Ray Conference (ICRC 2021), Berlin, Germany, 15–22 July 2021; Volume 395, p. 018. [Google Scholar] [CrossRef]
- Marafico, S.; Biteau, J.; Condorelli, A.; Deligny, O.; Bregeon, J. Closing the Net on Transient Sources of Ultrahigh-energy Cosmic Rays. Astrophys. J. 2024, 972, 4. [Google Scholar] [CrossRef]
- Bister, T.; Biteau, J. Prospects for constraining transient sources of UHECRs with arrival-direction data. In Proceedings of the 7th International Symposium on Ultra High Energy Cosmic Rays (UHECR2024), Mendoza, Argentina, 17–21 November 2024; Volume 484, p. 070. [Google Scholar] [CrossRef]
- Bell, A.R.; Matthews, J.H. Echoes of the past: Ultra-high-energy cosmic rays accelerated by radio galaxies, scattered by starburst galaxies. Mon. Not. R. Astron. Soc. 2022, 511, 448–456. [Google Scholar] [CrossRef]
- Taylor, A.M.; Matthews, J.H.; Bell, A.R. UHECR echoes from the Council of Giants. Mon. Not. R. Astron. Soc. 2023, 524, 631–642. [Google Scholar] [CrossRef]
- Dolgikh, K.; Korochkin, A.; Rubtsov, G.; Semikoz, D.; Tkachev, I. Cen A hotspot in Ultra-High-Energy Cosmic Rays illuminated by M83 or Cen A? arXiv 2025, arXiv:2505.14344. [Google Scholar] [CrossRef]
- The Pierre Auger Collaboration. Search for magnetically-induced signatures in the arrival directions of ultra-high-energy cosmic rays measured at the Pierre Auger Observatory. J. Cosmol. Astropart. Phys. 2020, 06, 017. [Google Scholar] [CrossRef]
- Apollonio, L.; for the Pierre Auger Collaboration. Update on the intermediate arrival-direction analyses of the Pierre Auger Observatory. In Proceedings of the 39th International Cosmic Ray Conference (ICRC 2025), Geneva, Switzerland, 14–24 July 2025; Volume 501, p. 172. [Google Scholar]
- The Telescope Array Collaboration. Evidence for a Supergalactic Structure of Magnetic Deflection Multiplets of Ultra-high-energy Cosmic Rays. Astrophys. J. 2020, 899, 86. [Google Scholar] [CrossRef]
- He, H.N.; Kido, E.; Duan, K.K.; Yang, Y.; Higuchi, R.; Fan, Y.Z.; Wang, T.; Jiang, L.Y.; Li, R.L.; Zhu, B.Y.; et al. Evidence for the Sombrero Galaxy as an Accelerator of the Highest-Energy Cosmic Rays. arXiv 2024, arXiv:2412.11966. [Google Scholar] [CrossRef]
- Golup, G.; Harari, D.; Mollerach, S.; Roulet, E. Source position reconstruction and constraints on the galactic magnetic field from ultra-high energy cosmic rays. Astropart. Phys. 2009, 32, 269–277. [Google Scholar] [CrossRef]
- Wirtz, M.; Bister, T.; Erdmann, M. Towards extracting cosmic magnetic field structures from cosmic-ray arrival directions. EPJC 2021, 81, 794. [Google Scholar] [CrossRef]
- Schulte, J.; Bister, T.; Erdmann, M. An all-sky search method for coherent magnetic field deflections of ultra-high-energy cosmic rays based on Deep Learning. In Proceedings of the 38th International Cosmic Ray Conference (ICRC2023), Nagoya, Japan, 26 July–3 August 2023; Volume 444, p. 198. [Google Scholar] [CrossRef]
- Takeda, M.; Hayashida, N.; Honda, K.; Inoue, N.; Kadota, K.; Kakimoto, F.; Kamata, K.; Kawaguchi, S.; Kawasaki, Y.; Kawasumi, N.; et al. Small-scale anisotropy of cosmic rays above 1019 eV observed with the Akeno Giant Air Shower Array. Astrophys. J. 1999, 522, 225–237. [Google Scholar] [CrossRef]
- Uchihori, Y.; Nagano, M.; Takeda, M.; Teshima, M.; Lloyd-Evans, J.; Watson, A.A. Cluster Analysis of Extremely High Energy Cosmic Rays in the Northern Sky. Astropart. Phys. 2000, 13, 151–160. [Google Scholar] [CrossRef]
- Sigl, G.; Lemoine, M.; Olinto, A.V. Maximum likelihood analysis of clusters of ultrahigh energy cosmic rays. Phys. Rev. D 1997, 56, 4470–4479. [Google Scholar] [CrossRef][Green Version]
- Dubovsky, S.L.; Tinyakov, P.G.; Tkachev, I.I. Statistics of Clustering of Ultrahigh Energy Cosmic Rays and the Number of Their Sources. Phys. Rev. Lett. 2000, 85, 1154–1157. [Google Scholar] [CrossRef]
- Sigl, G.; Miniati, F.; Ensslin, T. Ultra-High Energy Cosmic Ray Probes of Large Scale Structure and Magnetic Fields. Phys. Rev. D 2004, 70, 043007. [Google Scholar] [CrossRef]
- Singh, S.; Ma, C.P.; Arons, J. Gamma-Ray Bursts and Magnetars as Possible Sources of Ultra High Energy Cosmic Rays: Correlation of Cosmic Ray Event Positions with IRAS Galaxies. Phys. Rev. D 2004, 69, 063003. [Google Scholar] [CrossRef]
- Kachelriess, M.; Semikoz, D. Ultra-high energy cosmic rays from a finite number of point sources. Astropart. Phys. 2005, 23, 486–492. [Google Scholar] [CrossRef][Green Version]
- The Telescope Array Collaboration. An extremely energetic cosmic ray observed by a surface detector array. Science 2023, 382, 903–907. [Google Scholar] [CrossRef] [PubMed]
- Unger, M.; Farrar, G.R. Where Did the Amaterasu Particle Come From? Astrophys. J. Lett. 2024, 962, L5. [Google Scholar] [CrossRef]
- Bourriche, N.; Capel, F. Beyond the Local Void: A comprehensive view on the origins of the Amaterasu particle. arXiv 2024, arXiv:2406.16483. [Google Scholar] [CrossRef]
- Kuznetsov, M.Y. A nearby source of ultra-high energy cosmic rays. J. Cosmol. Astropart. Phys. 2024, 2024, 042. [Google Scholar] [CrossRef]
- Bianciotto, M.; for the Pierre Auger Collaboration. Constraining the origin of the highest-energy cosmic-ray events detected by the Pierre Auger Observatory: A three-dimensional approach. In Proceedings of the 39th International Cosmic Ray Conference (ICRC 2025), Geneva, Switzerland, 14–24 July 2025; Volume 501, p. 195. [Google Scholar] [CrossRef]
- Lang, R.G. New physics as a possible explanation for the Amaterasu particle. J. Cosmol. Astropart. Phys. 2024, 2024, 023. [Google Scholar] [CrossRef]
- Sarmah, P.; Das, N.; Borah, D.; Chakraborty, S.; Mehta, P. The Amaterasu particle: Constraining the superheavy dark matter origin of UHECRs. arXiv 2024, arXiv:2406.03174. [Google Scholar] [CrossRef]
- Frampton, P.H.; Kephart, T.W. The Amaterasu cosmic ray as a magnetic monopole and implications for extensions of the standard model. PLB 2024, 855, 138777. [Google Scholar] [CrossRef]
- Anchordoqui, L.A.; Castillo, K.P. Sombrero Galaxy as an Accelerator of Ultrahigh Energy Cosmic Ray Nuclei. arXiv 2025, arXiv:2503.13315. [Google Scholar] [CrossRef]
- Anchordoqui, L.A.; Dova, M.T.; McCauley, T.P.; Reucroft, S.; Swain, J.D. Unmasking the tail of the cosmic ray spectrum. PLB 2000, 482, 343–348. [Google Scholar] [CrossRef]
- Guo, G.; Qian, Y.Z.; Wu, M.R. Binary Neutron Star Mergers as Potential Sources for Ultra-High-Energy Cosmic Rays and High-Energy Neutrinos. arXiv 2025, arXiv:2506.17581. [Google Scholar] [CrossRef]
- Andrade Dourado, L.; Boncioli, D.; di Matteo, A.; Evoli, C.; Petrera, S.; Salamida, F. Towards the implementation of the photodisintegration interaction in SimProp Sirente. In Proceedings of the 7th International Symposium on Ultra High Energy Cosmic Rays (UHECR2024), Mendoza, Argentina, 17–21 November 2024; Volume 484, p. 067. [Google Scholar] [CrossRef]
- Apollonio, L.; for the Pierre Auger Collaboration. Amplifying UHECR arrival direction information using mass estimators at the Pierre Auger Observatory. In Proceedings of the 7th International Symposium on Ultra High Energy Cosmic Rays (UHECR2024), Mendoza, Argentina, 17–21 November 2024; Volume 484, p. 068. [Google Scholar] [CrossRef]
- The IceCube Collaboration. Evidence for neutrino emission from the nearby active galaxy NGC 1068. Science 2022, 378, 538–543. [Google Scholar] [CrossRef] [PubMed]
- Stein, R.; Velzen, S.v.; Kowalski, M.; Franckowiak, A.; Gezari, S.; Miller-Jones, J.C.A.; Frederick, S.; Sfaradi, I.; Bietenholz, M.F.; Horesh, A.; et al. A tidal disruption event coincident with a high-energy neutrino. Nat. Astron. 2021, 5, 510–518. [Google Scholar] [CrossRef]
- The IceCube Collaboration. Searches for Neutrinos from Gamma-Ray Bursts Using the IceCube Neutrino Observatory. Astrophys. J. 2022, 939, 116. [Google Scholar] [CrossRef]
- Ahlers, M.; Allekotte, I.; Alvarez-Muniz, J.; Anastasi, G.A.; Anchordoqui, L.; de Cassia Dos Anjos, R.; Balakrishnan, H.H.; Alves Batista, R.; Bellido, J.; Bertaina, M.; et al. Ideas and Requirements for the Global Cosmic-Ray Observatory (GCOS). arXiv 2025, arXiv:2502.05657. [Google Scholar] [CrossRef]
- The POEMMA Collaboration. The POEMMA (Probe of Extreme Multi-Messenger Astrophysics) observatory. J. Cosmol. Astropart. Phys. 2021, 2021, 007. [Google Scholar] [CrossRef]
Disclaimer/Publisher’s Note: The statements, opinions and data contained in all publications are solely those of the individual author(s) and contributor(s) and not of MDPI and/or the editor(s). MDPI and/or the editor(s) disclaim responsibility for any injury to people or property resulting from any ideas, methods, instructions or products referred to in the content. |
© 2025 by the author. Licensee MDPI, Basel, Switzerland. This article is an open access article distributed under the terms and conditions of the Creative Commons Attribution (CC BY) license (https://creativecommons.org/licenses/by/4.0/).







