Sign in to use this feature.

Years

Between: -

Subjects

remove_circle_outline
remove_circle_outline
remove_circle_outline
remove_circle_outline
remove_circle_outline
remove_circle_outline
remove_circle_outline
remove_circle_outline
remove_circle_outline

Journals

remove_circle_outline
remove_circle_outline
remove_circle_outline
remove_circle_outline
remove_circle_outline
remove_circle_outline

Article Types

Countries / Regions

remove_circle_outline
remove_circle_outline
remove_circle_outline
remove_circle_outline

Search Results (397)

Search Parameters:
Keywords = post-germination

Order results
Result details
Results per page
Select all
Export citation of selected articles as:
18 pages, 3096 KB  
Article
Action Pathways of Coprinellus radians in Promoting Seed Germination of Cremastra appendiculata
by Zenglin Wu, Qiuyu Lv, Liu Tang, Dandan Liu, Ji Chen, Rui Li, Mingsheng Zhang and Mengliang Tian
Plants 2026, 15(3), 354; https://doi.org/10.3390/plants15030354 - 23 Jan 2026
Viewed by 12
Abstract
Cremastra appendiculata, a rare medicinal orchid, has extremely low natural seed germination due to immature embryos and dense seed coats, impeding its conservation. Commensal germination with fungi is effective, but the action pathways remain unclear. This study combined morphological observation (scanning electron [...] Read more.
Cremastra appendiculata, a rare medicinal orchid, has extremely low natural seed germination due to immature embryos and dense seed coats, impeding its conservation. Commensal germination with fungi is effective, but the action pathways remain unclear. This study combined morphological observation (scanning electron microscopy and section observation), physiological–biochemical detection (lignocellulolytic enzyme activities, nutrient/hormone contents, FTIR analysis) and transcriptomics to explore Coprinellus radians’ role in C. appendiculata seed germination, with commensal and non-commensal cultures on OMA medium set as experimental and control groups. Results showed C. radians significantly promoted C. appendiculata seed germination and protocorm development (superior to non-commensal conditions). Morphologically, C. radians hyphae invaded seed coats at 6 days post-inoculation; embryos broke through coats and formed apical meristems at 12 days, developing into peloton-containing protocorms at 25 days (breaking dormancy). Physiologically, C. radians secreted lignocellulolytic enzymes (laccase, cellulase, xylanase) to degrade coats, enhancing permeability and water uptake, while driving nutrient accumulation (starch, soluble sugars) and hormone balance. Transcriptomically, symbiosis activated carbon/energy metabolism genes, enriching starch-sucrose metabolism and glycolysis pathways. This study clarifies C. radians’ multi-dimensional action pathways in promoting C. appendiculata germination, providing support for rare orchid conservation. Full article
(This article belongs to the Section Plant Physiology and Metabolism)
Show Figures

Figure 1

15 pages, 3547 KB  
Article
Genome-Wide Identification, Phylogenetic Analysis and Salt-Responsive Expression Profiling of the MYB Transcription Factor Family in Cannabis sativa L. During Seed Germination
by Di Wang, Shuyue Liang, Ye Che, Guochao Qi, Zeyu Jiang, Wei Yang, Haohan Zhao, Jikang Chen, Aiguo Zhu and Gang Gao
Int. J. Mol. Sci. 2026, 27(2), 1087; https://doi.org/10.3390/ijms27021087 - 22 Jan 2026
Viewed by 16
Abstract
Seed germination is a critical developmental stage exhibiting high vulnerability to salt stress. The role of MYB transcription factors (TFs) in mediating this process in Cannabis sativa L. remains largely unexplored. In this study, we performed a genome-wide analysis and identified 115 CsMYB [...] Read more.
Seed germination is a critical developmental stage exhibiting high vulnerability to salt stress. The role of MYB transcription factors (TFs) in mediating this process in Cannabis sativa L. remains largely unexplored. In this study, we performed a genome-wide analysis and identified 115 CsMYB genes, which were phylogenetically classified into 12 distinct subgroups. In silico promoter analysis revealed a significant enrichment of abscisic acid (ABA)- and methyl jasmonate (MeJA)-responsive cis-elements, suggesting their potential linkage to phytohormone signaling pathways under stress conditions. To investigate their expression during salt stress, we profiled a subset of candidate CsMYB genes during seed germination under 150 mM NaCl treatment based on RNA-seq screening at 24 h post-imbibition (hpi) under salt stress. These candidates exhibited distinct temporal expression profiles: CsMYB33 and CsMYB44 were transiently induced at the early stage (12 h post-imbibition), while CsMYB14, CsMYB78, and CsMYB79 showed sustained upregulation from 24 h to 5 days. In contrast, CsMYB58 and CsMYB110 were downregulated. Synteny analysis indicated a closer evolutionary relationship between CsMYBs and their Arabidopsis thaliana orthologs compared to those in monocots. Protein–protein interaction predictions, based on orthology, further implicated these CsMYBs within putative ABA signaling and reactive oxygen species (ROS) homeostasis networks. Collectively, our findings provide a systematic genomic identification and genomic characterization of the CsMYB family and propose a model for the potential multi-phase involvement of selected CsMYBs in the salt stress response during seed germination. This work establishes a foundational resource and identifies key candidate genes for future functional validation aimed at enhancing salt tolerance in C. sativa. Full article
Show Figures

Figure 1

22 pages, 2871 KB  
Article
Modeling the Effect of Cold Stratification on Seed Germination Performance of Rudbeckia fulgida Aiton Using Response Surface Methodology (RSM)
by Türker Oğuztürk, Cem Alparslan, Merve Sipahi, Gülcay Ercan Oğuztürk, Ece Nur Topaloğlu, Şenol Bayraktar and Turan Yüksek
Plants 2026, 15(2), 220; https://doi.org/10.3390/plants15020220 - 10 Jan 2026
Viewed by 273
Abstract
This study investigates the influence of varying cold stratification durations (0–165 days) on the germination performance and early seedling development of Rudbeckia fulgida. Seeds were divided into 11 groups at 15-day intervals, using a total of 1320 seeds. For each stratification duration, [...] Read more.
This study investigates the influence of varying cold stratification durations (0–165 days) on the germination performance and early seedling development of Rudbeckia fulgida. Seeds were divided into 11 groups at 15-day intervals, using a total of 1320 seeds. For each stratification duration, an equivalent number of seeds stored at room temperature served as non-stratified controls. Results demonstrated a clear and significant increase in germination percentage with longer stratification periods (Kruskal–Wallis, H = 57.03, p < 0.001), with the highest germination observed at 135 and 165 days (96.7%). In contrast, seeds kept at room temperature exhibited low and inconsistent germination. Strong positive correlations were detected between stratification duration and both germination percentage (r = 0.914) and post-stratification seed weight (r = 0.419). Furthermore, a Response Surface Methodology (RSM) model was developed to predict germination behavior, achieving an exceptionally high 99% predictive accuracy. The RSM analysis confirmed that cold stratification duration is the dominant factor shaping germination responses in Rudbeckia fulgida Aiton. Overall, the study demonstrates that cold stratification is essential for breaking seed dormancy in R. fulgida, substantially improving propagation efficiency and offering valuable insights for nursery production, landscape practices, and restoration ecology. Full article
(This article belongs to the Section Plant Development and Morphogenesis)
Show Figures

Figure 1

17 pages, 2995 KB  
Article
In Vitro and In Silico Evaluation of Essential Oils from Three “Rosemary” Species Present in Chile as a Sustainable Alternative for Post-Harvest Fungi Control
by Alejandro Madrid, Evelyn Muñoz, Valentina Silva, Camila Venegas, Francisca Valdes, Constanza Reyes, Nelson Caro, Patricio Godoy, Enrique Werner, Katy Díaz and Iván Montenegro
Agronomy 2026, 16(2), 171; https://doi.org/10.3390/agronomy16020171 - 9 Jan 2026
Viewed by 379
Abstract
Phytopathogenic fungi that affect postharvest are a serious problem for agriculture, so this research explores the antifungal potential of three different “rosemary” species growing in Chile through in vitro and in silico assays. The analysis of essential oils (GC/MS) reveals the dominant constituents [...] Read more.
Phytopathogenic fungi that affect postharvest are a serious problem for agriculture, so this research explores the antifungal potential of three different “rosemary” species growing in Chile through in vitro and in silico assays. The analysis of essential oils (GC/MS) reveals the dominant constituents of Salvia rosmarinus (camphor: 66.96%), Baccharis linearis (lachnophyllum ester: 88.62%) and Fabiana imbricata (an oxygenated sesquiterpene: 43.66%) and shows profiles that differ from chemotypes of the same species from other areas of the world. B. linearis oil was shown to be a versatile antifungal substance, inhibiting Botrytis cinerea and Monilinia fructicola at moderate concentrations; F. imbricata oil stood out as a major inhibitor of mycelial growth of the same isolate of M. fructicola used to test B. linearis oil (EC50 of 15.86 + 0.67 µg/mL) and completely inhibited of its conidial germination. In silico assays confirmed the complexity of interactions of F. imbricata sequiterpenoids with catalytic sites of succinate dehydrogenase and catalase 2, key enzymes in mycelial growth and in maintaining redox homeostasis in the early development of M. fructicola, respectively. The results of this research make F. imbricata a good candidate for the development of a formulation applicable in vivo as an eco-friendly post-harvest antifungal agent. Full article
Show Figures

Figure 1

25 pages, 6507 KB  
Article
Potential of Thermal Sanitation of Stored Wheat Seeds by Flash Dry Heat as Protection Against Fungal Diseases
by Vladimír Brummer, Tomáš Juřena, Pavel Skryja, Melanie Langová, Jiří Bojanovský, Marek Pernica, Antonín Drda and Jan Nedělník
Appl. Sci. 2026, 16(2), 639; https://doi.org/10.3390/app16020639 - 7 Jan 2026
Viewed by 263
Abstract
The presented study aims to experimentally investigate the potential of flash sanitation (short time exposure to hot air stream) for wheat seeds to control surface contamination and protect against fungal diseases. Experiments were conducted at the laboratory scale using very short residence times [...] Read more.
The presented study aims to experimentally investigate the potential of flash sanitation (short time exposure to hot air stream) for wheat seeds to control surface contamination and protect against fungal diseases. Experiments were conducted at the laboratory scale using very short residence times (2–4 s) and higher temperature range (150–350 °C) of dry air stream at two different flow rates (280 L/min and 557 L/min). The goal was to identify thermal conditions that provide high sanitation efficiency while maintaining seed viability. A design of the experiment approach, employing central-composite design and face-centred response surface methodology, was used to evaluate the effects of the thermal treatment on seed surface temperature, sanitation efficiency, and germination capabilities. Higher air flow rate (557 L/min) significantly increased post-treatment seed surface temperatures (42.1–122.7 °C) compared to the flow rate of 280 L/min (36.7–80.5 °C). Pronounced germination drops were observed with air temperatures above 175 °C. Satisfactory sanitation efficiency >90% was achieved only with high-temperature air >250 °C, which, however, caused unacceptable germination loss. Extending residence time beyond the experimental plan is unlikely to yield significant benefits, as the factor was identified as weak and insignificant compared to temperature. Higher flow rates improve heat transfer but require strict control to prevent variability affecting seed quality. The heating media flow rate should be considered an essential factor in thermal treatment studies. Dry air has not proven to be appropriate for seeds’ flash sanitation within the selected experimental condition framework. Full article
(This article belongs to the Section Agricultural Science and Technology)
Show Figures

Figure 1

16 pages, 1712 KB  
Article
Transcriptomic Profiling Reveals Biphasic Regulatory Instability and Late-Stage Proteostatic Decline in Aging Mouse Oocytese
by Phuong Thanh N. Dinh, Seung Hwan Lee and Inchul Choi
Genes 2026, 17(1), 47; https://doi.org/10.3390/genes17010047 - 31 Dec 2025
Viewed by 349
Abstract
Background: Maternal aging progressively compromises oocyte competence, yet the precise molecular trajectory across the reproductive lifespan remains insufficiently defined. Methods: Here, we mapped the transcriptomic landscape of mouse germinal vesicle (GV) oocytes across three distinct reproductive stages: post-pubertal peak fertility (Young, 8 weeks), [...] Read more.
Background: Maternal aging progressively compromises oocyte competence, yet the precise molecular trajectory across the reproductive lifespan remains insufficiently defined. Methods: Here, we mapped the transcriptomic landscape of mouse germinal vesicle (GV) oocytes across three distinct reproductive stages: post-pubertal peak fertility (Young, 8 weeks), fertility decline (Middle, 12 months), and reproductive senescence (Old, 18 months). Results: Our bioinformatic analyses reveal that oocyte aging follows a biphasic nonlinear trajectory. The transition from Young to Middle age marked the most profound period of transcriptional destabilization, characterized by 1197 DEGs and extensive perturbation of metabolic and signaling networks. To elucidate the regulatory drivers of this early drift, we performed transcription factor binding site (TFBS) analysis, which identified massive regulatory potential involving master regulators such as LHX8, MYC, and GATA4. Interestingly, despite the predicted extensive TF–target interactions, the mRNA expression levels of these TFs remained stable across age groups. This discrepancy suggests that the observed transcriptional dysregulation is likely associated by age-associated epigenetic modifications that alter chromatin accessibility or binding efficiency, rather than TF depletion. In the subsequent transition from Middle to Old age, the landscape shifted from active perturbation to systemic collapse. This late stage was characterized by mitochondrial respiratory dysfunction and severe proteostatic stress. Conclusions: Colectively, our findings define oocyte aging as a biphasic transition from compensatory resistance to systemic collapse. We identify midlife as the critical inflection point of regulatory remodeling, followed by terminal network exhaustion in senescence. This framework provides a molecular foundation for therapeutic and rejuvenation strategies aimed at mitigating age-associated infertility. Full article
(This article belongs to the Section Molecular Genetics and Genomics)
Show Figures

Figure 1

23 pages, 6560 KB  
Article
Cross-Species Transcriptomic and Metabolomic Analysis Reveals Conserved and Divergent Fatty Acid Metabolic Regulatory Strategies During Mammalian Oocyte Maturation
by Mostafa Elashry, Yassin Kassim, Bingjie Hu, Hao Sheng, Guangjun Xu, Hagar Elashry and Kun Zhang
Int. J. Mol. Sci. 2026, 27(1), 397; https://doi.org/10.3390/ijms27010397 - 30 Dec 2025
Viewed by 402
Abstract
Mammalian oocyte maturation is a metabolically demanding process relying on lipid metabolism that supplies energy, structural substrates, and signaling mediators. However, a comprehensive cross-species understanding of the dynamic requirement for lipids during this process remains elusive, hindering the optimization of assisted reproductive technologies. [...] Read more.
Mammalian oocyte maturation is a metabolically demanding process relying on lipid metabolism that supplies energy, structural substrates, and signaling mediators. However, a comprehensive cross-species understanding of the dynamic requirement for lipids during this process remains elusive, hindering the optimization of assisted reproductive technologies. Utilizing an integrated single-cell transcriptomic and targeted lipidomic approach, we mapped the metabolic landscape of bovine oocyte maturation. Our analysis uncovered a global transcriptional downregulation, with 3259 genes suppressed during the transition from the germinal vesicle (GV) to the metaphase II (MII) stage. This was particularly apparent in lipid catabolism pathways (e.g., for ACAA1), while mitochondrial energy production genes (ATP6) were upregulated. Lipidomics indicated a selective depletion of saturated fatty acids (SFAs; e.g., C16:0, C18:0) in MII oocytes, while monounsaturated (MUFAs) and polyunsaturated fatty acids (PUFAs) were preferentially retained. Integrated network analysis specified hexadecanoic acid (C16:0) as a central metabolic hub, which rewires its interactions from biosynthetic genes (FASN, ELOVL6) in GV oocytes to degradative enzymes (ACADVL, HADH) in MII oocytes. Expanding to a cross-species transcriptomic atlas, we identified a core set of 59 lipid metabolism genes conserved across bovine, mouse, and human oocytes. Despite this conservation, we discovered stark species-specific regulatory strategies: bovine and human oocytes significantly downregulated fatty acid degradation and elongation post-maturation, whereas murine oocytes maintain pathway activity, upregulating key regulators like Acsl3. Our work unveils an evolutionarily conserved core lipid metabolic program in mammalian oocytes that is adaptively tuned to meet species-specific physiological demands. Bovine and human oocytes prioritize catabolic flexibility, using SFAs for energy, while mouse oocytes maintain their anabolic capacity for membrane biosynthesis. These findings provide a transformative resource for the field, offering biomarkers for oocyte quality and a rationale for enhancing species-tailored lipid formulations to develop in vitro maturation systems and amend reproductive outcomes in both agriculture and medicine. Full article
(This article belongs to the Section Molecular Biology)
Show Figures

Figure 1

26 pages, 5898 KB  
Article
Early Post-Germination Physiological Traits of Oak Species Under Various Environmental Conditions in Oak Forests
by Ljubica Mijatović, Branko Kanjevac, Janko Ljubičić, Ivona Kerkez Janković and Jovana Devetaković
Forests 2026, 17(1), 3; https://doi.org/10.3390/f17010003 - 19 Dec 2025
Viewed by 379
Abstract
Early post-germination physiological responses determine oak seedling establishment success under changing environmental conditions. This study investigated four oak species (Quercus cerris, Q. frainetto, Q. petraea, and Q. pubescens) through direct seeding experiments across four locations in Serbia representing [...] Read more.
Early post-germination physiological responses determine oak seedling establishment success under changing environmental conditions. This study investigated four oak species (Quercus cerris, Q. frainetto, Q. petraea, and Q. pubescens) through direct seeding experiments across four locations in Serbia representing varying habitat conditions. Physiological parameters (quantum yield of photosystem II, total stomatal conductance, and leaf vapor pressure deficit) were measured intensively during the first growing season, along with morphological traits and survival rates. Results revealed that microclimatic and soil conditions exerted stronger effects on seedling physiology than species identity, with air humidity, temperature, and soil moisture being primary drivers of photosynthetic performance. Surviving seedlings exhibited 18% higher PhiPSII and 128% higher stomatal conductance compared to non-survivors, demonstrating that physiological performance is a reliable predictor of establishment success. Species-specific differences were evident. Q. cerris and Q. frainetto maintained the highest photosynthetic activity across sites, Q. pubescens showed intermediate resilience, and Q. petraea displayed greater sensitivity to environmental stress. These findings highlight the dominant role of microsite conditions in shaping early seedling physiology and survival. Physiological measurements, particularly PhiPSII and gtw, provide useful early indicators of establishment success during the first growing season following direct seeding. Full article
Show Figures

Figure 1

17 pages, 1283 KB  
Article
Seed Germination Ecology and Herbicide Sensitivity of Aeschynomene indica L.: Implications for Integrated Management in Paddy Fields
by Ke Chai, Rui Cheng, Yueyue Shi, Mujeeba Fida, Weitang Liu, Zhiwen Wu and Yaling Bi
Agronomy 2025, 15(12), 2908; https://doi.org/10.3390/agronomy15122908 - 17 Dec 2025
Viewed by 373
Abstract
Aeschynomene indica L. has become a problematic weed in the upland direct-seeding rice fields of the lower Yangtze River region, China, leading to substantial yield reductions. A comprehensive understanding of its seed germination ecology and response to herbicides is crucial for developing effective [...] Read more.
Aeschynomene indica L. has become a problematic weed in the upland direct-seeding rice fields of the lower Yangtze River region, China, leading to substantial yield reductions. A comprehensive understanding of its seed germination ecology and response to herbicides is crucial for developing effective control strategies. This study examined the effects of major environmental factors including temperature, light, pH, salt stress, osmotic potential, and burial depth on seed germination of A. indica and assessed the efficacy of 20 commonly used herbicides in rice under controlled conditions. Results revealed that germination was highly sensitive to temperature, with optimum constant and alternating temperatures of 35 °C and 40/30 °C (day/night), respectively, both achieving germination rates above 90%. The seeds were non-photoblastic, maintaining a high germination rate of 83.33% under complete darkness. Germination remained consistently high across a broad pH range from 4 to 9, with rates ranging from 83.33% to 96.67%. Salt and osmotic stresses markedly suppressed germination, with EC50 values of 195.08 mmol·L−1 NaCl and −0.43 MPa, respectively. Seedling emergence decreased significantly with increasing burial depth, with no emergence occurring at depths greater than 7 cm. The EC50 for emergence was 4.21 cm. Among the herbicides screened, saflufenacil and mesotrione were the most effective pre-emergence treatments, with GR50 values of 5.38 and 12.02 g ai ha−1, respectively. Florpyrauxifen-benzyl and fluroxypyr-meptyl exhibited the highest post-emergence activity, with GR50 values of 0.20 and 19.69 g ai ha−1, respectively. These results underscore the high ecological adaptability of A. indica to paddy fields conditions and provide a scientific foundation for integrating chemical control with cultural practices such as deep tillage into sustainable weed management systems for paddy fields. Full article
(This article belongs to the Section Weed Science and Weed Management)
Show Figures

Figure 1

15 pages, 11252 KB  
Article
Enhanced Agrobacterium-Mediated Transformation in Chinese Cabbage via Tenoxicam, Phytohormone Optimization, and Visual Reporters
by Shubin Wang, Shuantao Liu, Ronghua Wang, Zhigang Zhang, Nianfang Xu, Qiaoyun Li and Zhizhong Zhao
Plants 2025, 14(24), 3802; https://doi.org/10.3390/plants14243802 - 13 Dec 2025
Viewed by 613
Abstract
Chinese cabbage (Brassica rapa ssp. pekinensis) is a globally important leafy vegetable, but functional genomics research on its recalcitrance to Agrobacterium-mediated genetic transformation is severely limited. In this study, we demonstrate that both Agrobacterium infection and antibiotic selection significantly inhibit [...] Read more.
Chinese cabbage (Brassica rapa ssp. pekinensis) is a globally important leafy vegetable, but functional genomics research on its recalcitrance to Agrobacterium-mediated genetic transformation is severely limited. In this study, we demonstrate that both Agrobacterium infection and antibiotic selection significantly inhibit cotyledonary petiole regeneration, representing one principal bottleneck to high-throughput transformation. Infection with different Agrobacterium strains suppressed the regenerated shoot per explant by 30.98–69.16%. Supplying the salicylic acid signaling inhibitor tenoxicam in the seed germination medium raised post-infection regeneration by up to 37.90%. Compared with non-infected controls, the optimal NAA concentration for explant regeneration after infection was higher, and 0.5 mg/L increased post-infection regeneration by 27.66%. Replacing antibiotic selectable markers with the visual reporter eYGFPuv or RUBY eliminated phytotoxicity, reduced false-positive shoots, and further elevated transformation efficiency to 19.33–20.00% (versus 2.67–6.67% under antibiotic selection). The integrated protocol yielded stable RUBY overexpressing lines, the biomass of which declined with rising transcript levels. Restricting RUBY expression to the inner head leaves generated a novel germplasm with less yield penalty. This work provides a high-efficiency transformation method that will accelerate gene discovery and genome editing in Chinese cabbage. Full article
(This article belongs to the Section Plant Genetics, Genomics and Biotechnology)
Show Figures

Figure 1

9 pages, 828 KB  
Article
Myasthenia Gravis and Thymectomy at a Tertiary-Care Surgical Centre: A 20-Year Retrospective Review
by Olivia Lauk, Alexandre Sarmento De Oliveira, Caroline Huynh, Sohat Sharma, Arthur Vieira, Michelle Mezei, Kristine Chapman, Hannah Briemberg, Kristin Jack, John Yee and Anna L. McGuire
Curr. Oncol. 2025, 32(12), 662; https://doi.org/10.3390/curroncol32120662 - 27 Nov 2025
Viewed by 593
Abstract
Background: Myasthenia gravis (MG) is frequently associated with thymic abnormalities, including thymomas and hyperplasia. This study aims to analyze the clinical and pathological characteristics of thymectomized patients over a 20-year period, focusing on the relationship between thymoma subtype and MG incidence, as well [...] Read more.
Background: Myasthenia gravis (MG) is frequently associated with thymic abnormalities, including thymomas and hyperplasia. This study aims to analyze the clinical and pathological characteristics of thymectomized patients over a 20-year period, focusing on the relationship between thymoma subtype and MG incidence, as well as post-thymectomy remission outcomes. Methods: We retrospectively analyzed 420 patients who underwent thymectomy (open or VATS), with a mean age of 54.4 years and 59% female. Thymic pathology included thymomas (56.2%), thymic cysts (14.3%), and other lesions. 39.5% of patients had MG, of which 48.8% were thymomatous MG. Multivariate regression was used to identify predictors of MG and remission outcomes. Results: MG was significantly associated with younger age (p < 0.005), germinal hyperplasia (p < 0.001), and thymoma, especially WHO B2 subtype (p = 0.016). Six-month complete remission rates did not differ between thymomatous and non-thymomatous MG. In the subgroup undergoing VATS, median length of stay decreased to 3 days compared to 5 days in the overall cohort. The intraoperative complication rate for VATS was 1.5%, compared to 11.6% for open surgery. Conclusions: This is one of the largest single-center studies to evaluate the link between thymoma histology and MG. WHO type B2 thymoma and germinal hyperplasia were more commonly associated with MG. Comparable remission outcomes support the role of thymectomy in both thymomatous and non-thymomatous MG, emphasizing the need for individualized surgical strategies. Full article
(This article belongs to the Special Issue The Role of Real-World Evidence (RWE) in Thoracic Malignancies)
Show Figures

Figure 1

28 pages, 3279 KB  
Article
Early Stress Resilience in Turfgrass: Comparative Germination and Seedling Responses of Lolium perenne L. and Poa pratensis L. Under Osmotic and Salt Stress
by Ligia Craciun, Rodolfo J. Bacharach Sánchez, Diana M. Mircea, Adrián Sapiña-Solano, Radu E. Sestras, Monica Boscaiu, Adriana F. Sestras and Oscar Vicente
Agronomy 2025, 15(12), 2719; https://doi.org/10.3390/agronomy15122719 - 26 Nov 2025
Viewed by 549
Abstract
Seed germination and early seedling development represent critical stages for turfgrass establishment under increasingly frequent drought and salinity constraints. This study evaluated the germination performance of three cultivars of Lolium perenne L. and three cultivars of Poa pratensis L. exposed to iso-osmotic drought [...] Read more.
Seed germination and early seedling development represent critical stages for turfgrass establishment under increasingly frequent drought and salinity constraints. This study evaluated the germination performance of three cultivars of Lolium perenne L. and three cultivars of Poa pratensis L. exposed to iso-osmotic drought stress simulated with polyethylene glycol (PEG) and salt stress induced by NaCl. Germination percentage, mean germination time, germination index, seedling vigor index, and radicle and plumule elongation were quantified, and post-stress recovery tests assessed the reversibility of stress effects. Osmotic restriction imposed by PEG caused stronger inhibition of germination and seedling growth than NaCl at equivalent water potentials. L. perenne showed higher overall tolerance, maintaining faster emergence and greater seedling vigor across treatments, while P. pratensis was more sensitive but exhibited substantial germination recovery after stress removal. Cultivar-dependent variation was evident in both species, and multivariate analyses consistently differentiated tolerant and sensitive genotypes. The contrasting germination strategies, with rapid activation in L. perenne and delayed, recovery-oriented germination in P. pratensis, highlight species-specific adaptive responses to water and salt stress. These findings provide a physiological basis for selecting resilient turfgrass cultivars suited to drought- and salinity-prone environments, contributing to sustainable turfgrass establishment and management. Full article
Show Figures

Figure 1

13 pages, 1989 KB  
Article
A Novel Laboratory Protocol for Pollen Viability Assessment to Inform Biosafety Evaluation of Transgenic Rice (Oryza sativa L.)
by Yuxiao Chen, Caiyue Liu, Xiaochun Zhang, Yufeng Dong, Jiangtao Yang, Dongmei Wang, Zhixing Wang and Xujing Wang
Agriculture 2025, 15(23), 2420; https://doi.org/10.3390/agriculture15232420 - 24 Nov 2025
Viewed by 509
Abstract
Rice (Oryza sativa L.) is a vital staple crop, and the environmental risk assessment of transgenic varieties is crucial for formulating biosafety policies. Rice pollen grains are spherical, with an average diameter of 40.03 ± 2.75 μm. This study established a standardized [...] Read more.
Rice (Oryza sativa L.) is a vital staple crop, and the environmental risk assessment of transgenic varieties is crucial for formulating biosafety policies. Rice pollen grains are spherical, with an average diameter of 40.03 ± 2.75 μm. This study established a standardized protocol for in vitro pollen germination by first optimizing key culture conditions. A single-factor experimental design identified the optimal medium composition as 150 g/L sucrose, 40 mg/L boric acid, 20 mg/L calcium chloride, 10 mg/L monopotassium phosphate, and 10 mg/L magnesium sulfate. The ideal germination temperature was determined to be 31 ± 1 °C, with no germination observed below 16 °C or above 40 °C. Pollen germination rates declined significantly within 5 min post-isolation and ceased completely after 30 min. Building on this optimized protocol, a standardized evaluation method was developed, defining key assessment conditions at temperatures of 25/31/37 °C and post-isolation times of 0/5/15 min. Under these defined conditions, the pollen viability of glyphosate-resistant transgenic rice G2-6 was compared to its non-transgenic recipient ZH11. No significant differences were found at any tested time–temperature combination (p > 0.05). This work establishes a practical and reproducible standard for transgenic rice pollen assessment, offering a scientific basis for evidence-based biosafety regulation and policy-making. Full article
(This article belongs to the Section Crop Genetics, Genomics and Breeding)
Show Figures

Figure 1

16 pages, 2732 KB  
Article
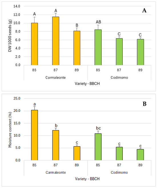
Tools to Produce Hemp (Cannabis sativa L.) for Sowing Seed: Optical Differentiation of Seed Ripening Stages Through a Portable Spectrometer
by Enrico Santangelo, Lavinia Moscovini, Simona Violino and Alberto Assirelli
Agronomy 2025, 15(12), 2680; https://doi.org/10.3390/agronomy15122680 - 21 Nov 2025
Viewed by 860
Abstract
Obtaining high-quality seeds is important for two reasons: from a nutritional point of view, for species in which the seed is the edible part; and for producing quality seeds for reproduction, which is fundamental for successful cultivation. Producing seed for reproduction in hemp [...] Read more.
Obtaining high-quality seeds is important for two reasons: from a nutritional point of view, for species in which the seed is the edible part; and for producing quality seeds for reproduction, which is fundamental for successful cultivation. Producing seed for reproduction in hemp (Cannabis sativa L.), presents many challenges and requires specific precautions. The present study analyzed the ripeness of hemp fruits using a portable and low-cost VIS/NIR spectrometer that covered a spectral range of 740–1070 nm. This study proposed the first attempt to apply optical systems to the hemp seed sowing production chain. The aim is to facilitate the handling of seeds at harvest and the complex post-harvest seed management. Seeds from two monoecious European industrial hemp genotypes, Carmaleonte and Codimono, were collected at the three growth stages of fruit ripening according to the BBCH scale from 50% of ripe fruits (BBCH 85 stage) to fully ripe fruits (BBCH 89 stage). The reflectance spectra showed a decreasing order BBCH 89-87 > 85 with the most obvious difference between the curves observed at a wavelength of 955 nm. At this wavelength, the reflectance at the BBCH 85 stage was clearly lower than at the BBCH 87 and 89 stages. In terms of germination rate the seeds collected at BBCH-85 had a higher percentage respect the other growing stages. These results demonstrate that a simple, portable spectrophotometer can discriminate the different ripening stages of the hemp seeds, thus confirming the effectiveness of optical systems in improving the production of certified seeds. Full article
(This article belongs to the Special Issue Industrial Crops Production in Mediterranean Climate)
Show Figures

Figure 1

11 pages, 1965 KB  
Article
Removal of an Invasive Alien Mediterranean Herbaceous (Asphodelus fistulosus) in a Mexican Botanical Garden
by Oscar Sandino Guerrero-Eloisa, Jordan Golubov, María C. Mandujano and Beatriz Maruri-Aguilar
J. Zool. Bot. Gard. 2025, 6(4), 59; https://doi.org/10.3390/jzbg6040059 - 21 Nov 2025
Viewed by 696
Abstract
Botanical gardens promote the conservation of native species of the sites where they are located, showing the importance of preserving native flora. It is common to find invasive alien species (IAS) established intentionally or accidentally in these sites. In a patch of native [...] Read more.
Botanical gardens promote the conservation of native species of the sites where they are located, showing the importance of preserving native flora. It is common to find invasive alien species (IAS) established intentionally or accidentally in these sites. In a patch of native vegetation within the Cadereyta de Montes Regional Botanical Garden, the removal of the invasive alien Asphodelus fistulosus was carried out and during a subsequent 108-month period. The repopulation of the species was supervised by removing new individuals at each visit. More than 1000 individual plants of A. fistulosus were removed during the entire monitoring period, and through subsequent visits, no new individuals have been spotted. The monetary cost associated with the removal, monitoring and control of A. fistulosus was calculated over MXN 15,000.00. The removal and post-removal monitoring of species at sites of interest provide valuable information about control time and economic costs to consider in the control of IAS. Additionally, the germination experiments carried out with seeds from different years of collection showed a higher germination percentage that was not affected by the age of the seeds. Full article
Show Figures

Figure 1

Back to TopTop