Sign in to use this feature.

Years

Between: -

Subjects

remove_circle_outline
remove_circle_outline
remove_circle_outline
remove_circle_outline
remove_circle_outline
remove_circle_outline

Journals

Article Types

Countries / Regions

Search Results (26)

Search Parameters:
Keywords = polymeric ionic liquid-based electrolytes

Order results
Result details
Results per page
Select all
Export citation of selected articles as:
18 pages, 1837 KB  
Article
Exploring Binder–Ionic Liquid Electrolyte Systems in Silicon Oxycarbide Negative Electrodes for Lithium-Ion Batteries
by Ivonne E. Monje, Nedher Sanchez-Ramírez, Laurence Savignac, Pedro H. Camargo, Steen B. Schougaard, Daniel Bélanger and Roberto M. Torresi
Electrochem 2025, 6(3), 34; https://doi.org/10.3390/electrochem6030034 - 12 Sep 2025
Viewed by 1753
Abstract
Enhancing the safety of lithium-ion batteries (LIBs) by replacing flammable electrolytes is a key challenge. Ionic liquid (IL)-based electrolytes are considered an interesting alternative due to their thermal and chemical stability, high voltage stability window, and tunable properties. This study investigates the electrochemical [...] Read more.
Enhancing the safety of lithium-ion batteries (LIBs) by replacing flammable electrolytes is a key challenge. Ionic liquid (IL)-based electrolytes are considered an interesting alternative due to their thermal and chemical stability, high voltage stability window, and tunable properties. This study investigates the electrochemical behavior of two newly synthesized ILs, comparing them to conventional alkyl carbonate-based electrolytes. Nitrogen-doped carbon silicon oxycarbide (NC-SiOC), used as the active material in negative electrodes, was combined with two polymeric binders: poly(acrylic acid) (PAA) and poly(acrylonitrile) (PAN). NC-SiOC/PAN electrodes exhibited a significantly higher initial charge capacity—approximately 25–30% greater than their PAA-based counterparts in the first cycle at 0.1 A g−1 (850–990 mAh g−1 vs. 600–700 mAh g−1), and demonstrated an improved initial Coulombic efficiency (67% vs. 62%). Long-term cycling stability over 1000 cycles at 1.6 A g−1 retained 75–80% of the initial 0.1 A g−1 capacity. This outstanding performance is attributed to the synergistic effects of nitrogen-rich carbonaceous phases within the NC-SiOC material and the cyclized-PAN binder, which facilitate structural stability by accommodating volumetric changes and enhancing solid electrolyte interphase (SEI) stability. Notably, despite the lower ionic transport properties of the IL electrolytes, their incorporation did not compromise performance, supporting their feasibility as safer electrolyte alternatives. These findings offer one of the most promising electrochemical performances reported for SiOC materials to date. Full article
(This article belongs to the Special Issue Silicon Electrochemistry: Fundamentals and Modern Applications)
Show Figures

Graphical abstract

12 pages, 2615 KB  
Article
Poly(Ionic Liquid)-Based Composite Electrolyte Membranes: Additive Effect of Silica Nanofibers on Their Properties
by Yoshiki Kawai, Yirui Lu, Shaoling Zhang, Gen Masuda and Hidetoshi Matsumoto
Membranes 2025, 15(9), 254; https://doi.org/10.3390/membranes15090254 - 27 Aug 2025
Viewed by 1388
Abstract
Poly(ionic liquids) (PILs) show great promise as a new class of solid electrolytes for energy applications, including high-temperature polymer electrolyte fuel cells, owing to their combination of the unique electrochemical properties of ionic liquids and macromolecular architecture. In this study, we prepared and [...] Read more.
Poly(ionic liquids) (PILs) show great promise as a new class of solid electrolytes for energy applications, including high-temperature polymer electrolyte fuel cells, owing to their combination of the unique electrochemical properties of ionic liquids and macromolecular architecture. In this study, we prepared and characterized PIL-based composite polymer electrolyte membranes containing silica nanofibers (SiO2NFs). The SiO2NFs were prepared via electrospinning, followed by calcination, and were used as a thermally and mechanically stable, porous substrate. The crosslinked protic PIL was synthesized via in situ radical polymerization of imidazolium hydrogensulfate-based reagents (one monomer and one crosslinker). It was then used as the membrane matrix. The prepared freestanding PIL membranes remained thermally stable at temperatures of up to 180 °C. Furthermore, the PIL/SiO2NF composite electrolyte membranes demonstrated improved mechanical properties due to reinforcement by the NF framework. These composite membranes also exhibited relatively high proton conductivity (approximately 0.1 to 1 mS/cm) in the 100–150 °C temperature range. Full article
(This article belongs to the Special Issue Design, Synthesis and Applications of Ion Exchange Membranes)
Show Figures

Figure 1

29 pages, 5210 KB  
Article
Ion Conduction Dynamics, Characterization, and Application of Ionic Liquid Tributyl Methyl Phosphonium Iodide (TMPI)-Doped Polyethylene Oxide Polymer Electrolyte
by Suneyana Rawat, Monika Michalska, Pramod K. Singh, Karol Strzałkowski, Nisha Pal, Markus Diantoro, Diksha Singh and Ram Chandra Singh
Polymers 2025, 17(14), 1986; https://doi.org/10.3390/polym17141986 - 19 Jul 2025
Cited by 2 | Viewed by 966
Abstract
The increasing demand for high-performance energy storage devices has stimulated interest in advanced electrolyte materials. Among them, ionic liquids (ILs) stand out for their thermal stability, wide electrochemical windows, and good ionic conductivity. When doped into polymeric matrices, these [...] Read more.
The increasing demand for high-performance energy storage devices has stimulated interest in advanced electrolyte materials. Among them, ionic liquids (ILs) stand out for their thermal stability, wide electrochemical windows, and good ionic conductivity. When doped into polymeric matrices, these ionic liquids form hybrid polymeric electrolytes that synergize the benefits of both liquid and solid electrolytes. This study explores a polymeric electrolyte based on polyethylene oxide (PEO) doped with tributylmethylphosphonium iodide (TMPI) and ammonium iodide (NH4I), focusing on its synthesis, structural and electrical properties, and performance in energy storage devices such as dye-sensitized solar cells and supercapacitors. Strategies to improve its ionic conductivity, mechanical and chemical stability, and electrode compatibility are also discussed, along with future directions in this field. Full article
(This article belongs to the Section Polymer Chemistry)
Show Figures

Figure 1

53 pages, 6609 KB  
Review
Research Progress in Ionic Liquid-Based Electrolytes for Electrochromic Devices
by Hao Zhang, Yixuan Liu, Xuehan Wang, Keying Feng, Qilin Wang, Zheng Chen and Zhenhua Jiang
Molecules 2025, 30(4), 973; https://doi.org/10.3390/molecules30040973 - 19 Feb 2025
Cited by 8 | Viewed by 5364
Abstract
Electrochromic (EC) technology has become one of the smart technologies with the most potential for development and application at this stage. Based on electrochromic devices (ECDs), this technology has shown extraordinary potential in the fields of smart windows, display devices, and sensing systems. [...] Read more.
Electrochromic (EC) technology has become one of the smart technologies with the most potential for development and application at this stage. Based on electrochromic devices (ECDs), this technology has shown extraordinary potential in the fields of smart windows, display devices, and sensing systems. With the optimization and iteration of various core components in ECDs, the electrolyte layer, a key component, evolved from its initial liquid state to a quasi-solid state and solid state. As driven by increasing application demands, the development trend indicates that all-solid-state, transparent electrolytes will likely become the future form of the electrolyte layer. Recently, the application of ionic liquid (IL)-based electrolytes in the field of electrochromism attracted a lot of attention due to their ability to bring outstanding EC cycling stability, thermal stability, and a wider operating voltage range to ECDs, and they are regarded as the new generation of electrolyte materials with the most potential for application. Although compared with conventional electrolytes, IL-based electrolytes have the characteristics of high price, high viscosity, and low conductivity, they are still considered the most promising electrolyte materials for applications. However, so far, there has been a lack of comprehensive analysis reports on “Research progress in ionic liquid-based electrolytes for electrochromic devices” within the EC field. In this article, the research progress of IL-based electrolytes in ECDs will be summarized from three perspectives: liquid, quasi-solid, and solid state. The future development directions of IL-based electrolytes for ECDs are discussed. Full article
Show Figures

Graphical abstract

13 pages, 2325 KB  
Article
Structural Investigation of Chloride Ion-Containing Acrylate-Based Imidazolium Poly(Ionic Liquid) Homopolymers and Crosslinked Networks: Effect of Alkyl Spacer and N-Alkyl Substituents
by Mahmoud Al-Hussein, Lisa Ehrlich, Doris Pospiech and Petra Uhlmann
Nanomaterials 2025, 15(1), 40; https://doi.org/10.3390/nano15010040 - 29 Dec 2024
Viewed by 1320
Abstract
Understanding the interplay between the molecular structure of the ionic liquid (IL) subunit, the resulting nanostructure and ion transport in polymerized ionic liquids (PILs) is necessary for the realization of high-performance solid-state electrolytes required in various advanced applications. Herein, we present a detailed [...] Read more.
Understanding the interplay between the molecular structure of the ionic liquid (IL) subunit, the resulting nanostructure and ion transport in polymerized ionic liquids (PILs) is necessary for the realization of high-performance solid-state electrolytes required in various advanced applications. Herein, we present a detailed structural characterization of a recently synthesized series of acrylate-based PIL homopolymers and networks with imidazolium cations and chloride anions with varying alkyl spacer and terminal group lengths designed for organic solid-state batteries based on X-ray scattering. The impact of the concentrations of both the crosslinker and added tetrabutylammonium chloride (TBACl) conducting salt on the structural characteristics is also investigated. The results reveal that the length of both the spacer and terminal group influence the chain packing and, in turn, the nanophase segregation of the polar domains. Long spacers and terminal groups seem to induce denser polar aggregates sandwiched between more compact alkyl spacer and terminal group domains. However, the large inter-backbone spacing achieved seems to limit the ionic conductivity of these PILs. More importantly, our findings show that the previously reported general relationships between the ionic conductivity and the structural parameters of the nanostructure of PILs are not always attainable for different molecular structures of the IL side group. Full article
Show Figures

Figure 1

15 pages, 2385 KB  
Article
Poly(vinyl benzoate)-b-poly(diallyldimethyl ammonium TFSI)-b-poly(vinyl benzoate) Triblock Copolymer Electrolytes for Sodium Batteries
by Pierre L. Stigliano, Antonela Gallastegui, Carlos Villacis-Segovia, Marco Amores, Ajit Kumar, Luke A. O’Dell, Jian Fang, David Mecerreyes, Cristina Pozo-Gonzalo and Maria Forsyth
Batteries 2024, 10(4), 125; https://doi.org/10.3390/batteries10040125 - 8 Apr 2024
Cited by 3 | Viewed by 3671
Abstract
Block copolymers (BCPs) as solid electrolytes for batteries are usually designed to have an ion-solvating block for ion conduction and an ionophobic block for providing mechanical strength. Here, we show a novel solid polymer electrolyte (SPE) for sodium batteries based on a poly(vinyl [...] Read more.
Block copolymers (BCPs) as solid electrolytes for batteries are usually designed to have an ion-solvating block for ion conduction and an ionophobic block for providing mechanical strength. Here, we show a novel solid polymer electrolyte (SPE) for sodium batteries based on a poly(vinyl benzoate)-b-poly(diallyldimethyl ammonium bis(trifluoromethanesulfonyl)imide) PVBx-b-PDADMATFSIy-b-PVBx ABA triblock copolymer. The SPE triblock copolymer comprises a polymerized ionic liquid (PIL) ion-solvating block combined with NaFSI salt as an internal block and an ionophilic PVB as an external block. Four distinct compositions with varying chain lengths of the blocks were synthesized by reversible addition−fragmentation chain-transfer (RAFT) polymerization. The neat copolymers were subsequently mixed with NaFSI in a 2:1 mol ratio of Na to ionic monomer units. Through comprehensive analysis using differential scanning calorimetry (DSC), Fourier-transform infrared spectroscopy (FTIR), and nuclear magnetic resonance (NMR), it was revealed that the ion coordination within the polymer–salt mixtures undergoes changes based on the composition of the starting neat polymer. Electrochemical evaluations identified the optimal composition for practical application as PVB11.5K-b-PDADMATFSI33K-b-PVB11.5K, showing an ionic conductivity at 70 °C of 4.2 × 10−5 S cm−1. This polymer electrolyte formulation was investigated for sodium in Na|Na symmetrical cells, showing an overpotential of 200 mV at 70 °C at 0.1 mA cm−2. When applied in a sodium–air battery, the polymer electrolyte membrane achieved a discharge capacity of 1.59 mAh cm−2 at 50 °C. Full article
(This article belongs to the Special Issue Recent Advances in Polymer Electrolytes for Batteries)
Show Figures

Graphical abstract

19 pages, 4987 KB  
Article
Nanocomposite Polymer Gel Electrolyte Based on TiO2 Nanoparticles for Lithium Batteries
by Nikita A. Slesarenko, Alexander V. Chernyak, Kyunsylu G. Khatmullina, Guzaliya R. Baymuratova, Alena V. Yudina, Galiya Z. Tulibaeva, Alexander F. Shestakov, Vitaly I. Volkov and Olga V. Yarmolenko
Membranes 2023, 13(9), 776; https://doi.org/10.3390/membranes13090776 - 1 Sep 2023
Cited by 12 | Viewed by 2692
Abstract
In this article, the specific features of competitive ionic and molecular transport in nanocomposite systems based on network membranes synthesized by radical polymerization of polyethylene glycol diacrylate in the presence of LiBF4, 1-ethyl-3-methylimidazolium tetrafluoroborate, ethylene carbonate (EC), and TiO2 nanopowder [...] Read more.
In this article, the specific features of competitive ionic and molecular transport in nanocomposite systems based on network membranes synthesized by radical polymerization of polyethylene glycol diacrylate in the presence of LiBF4, 1-ethyl-3-methylimidazolium tetrafluoroborate, ethylene carbonate (EC), and TiO2 nanopowder (d~21 nm) were studied for 1H, 7Li, 11B, 13C, and 19F nuclei using NMR. The membranes obtained were studied through electrochemical impedance, IR-Fourier spectroscopy, DSC, and TGA. The ionic conductivity of the membranes was up to 4.8 m Scm−1 at room temperature. The operating temperature range was from −40 to 100 °C. Two types of molecular and ionic transport (fast and slow) have been detected by pulsed field gradient NMR. From quantum chemical modeling, it follows that the difficulty of lithium transport is due to the strong chemisorption of BF4 anions with counterions on the surface of TiO2 nanoparticles. The theoretical conclusion about the need to increase the proportion of EC in order to reduce the influence of this effect was confirmed by an experimental study of a system with 4 moles of EC. It has been shown that this approach leads to an increase in lithium conductivity in an ionic liquid medium, which is important for the development of thermostable nanocomposite electrolytes for Li//LiFePO4 batteries with a base of lithium salts and aprotonic imidasolium ionic liquid. Full article
Show Figures

Figure 1

33 pages, 11802 KB  
Review
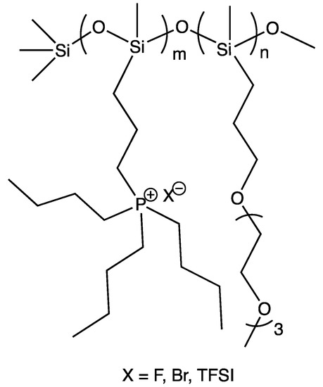
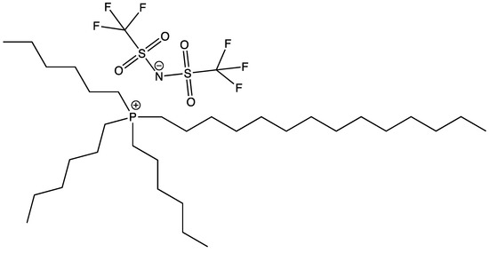
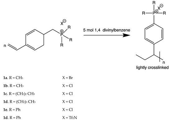
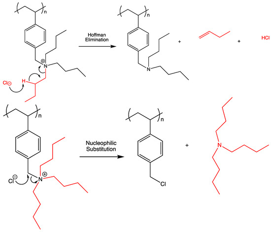
Phosphonium-Based Polyelectrolytes: Preparation, Properties, and Usage in Lithium-Ion Batteries
by Muhammad Syukri Mohamad Misenan, Rolf Hempelmann, Markus Gallei and Tarik Eren
Polymers 2023, 15(13), 2920; https://doi.org/10.3390/polym15132920 - 30 Jun 2023
Cited by 21 | Viewed by 4454
Abstract
Phosphorous is an essential element for the life of organisms, and phosphorus-based compounds have many uses in industry, such as flame retardancy reagents, ingredients in fertilizers, pyrotechnics, etc. Ionic liquids are salts with melting points lower than the boiling point of water. The [...] Read more.
Phosphorous is an essential element for the life of organisms, and phosphorus-based compounds have many uses in industry, such as flame retardancy reagents, ingredients in fertilizers, pyrotechnics, etc. Ionic liquids are salts with melting points lower than the boiling point of water. The term “polymerized ionic liquids” (PILs) refers to a class of polyelectrolytes that contain an ionic liquid (IL) species in each monomer repeating unit and are connected by a polymeric backbone to form macromolecular structures. PILs provide a new class of polymeric materials by combining some of the distinctive qualities of ILs in the polymer chain. Ionic liquids have been identified as attractive prospects for a variety of applications due to the high stability (thermal, chemical, and electrochemical) and high mobility of their ions, but their practical applicability is constrained because they lack the benefits of both liquids and solids, suffering from both leakage issues and excessive viscosity. PILs are garnering for developing non-volatile and non-flammable solid electrolytes. In this paper, we provide a brief review of phosphonium-based PILs, including their synthesis route, properties, advantages and drawbacks, and the comparison between nitrogen-based and phosphonium-based PILs. As phosphonium PILs can be used as polymer electrolytes in lithium-ion battery (LIB) applications, the conductivity and the thermo-mechanical properties are the most important features for this polymer electrolyte system. The chemical structure of phosphonium-based PILs that was reported in previous literature has been reviewed and summarized in this article. Generally, the phosphonium PILs that have more flexible backbones exhibit better conductivity values compared to the PILs that consist of a rigid backbone. At the end of this section, future directions for research regarding PILs are discussed, including the use of recyclable phosphorus from waste. Full article
(This article belongs to the Section Polymer Applications)
Show Figures

Graphical abstract

11 pages, 8751 KB  
Article
Hysteresis in Organic Electrochemical Transistors: Relation to the Electrochemical Properties of the Semiconductor
by Raufar Shameem, Lukas M. Bongartz, Anton Weissbach, Hans Kleemann and Karl Leo
Appl. Sci. 2023, 13(9), 5754; https://doi.org/10.3390/app13095754 - 7 May 2023
Cited by 18 | Viewed by 5476
Abstract
The ability to bridge ionic and electronic transport coupled with large volumetric capacitance renders organic electrochemical transistors (OECTs) ideal candidates for bioelectronic applications. Adopting ionic-liquid-based solid electrolytes extends their applicability and facilitates large-area printable productions. However, OETCs employing solid electrolytes tend to show [...] Read more.
The ability to bridge ionic and electronic transport coupled with large volumetric capacitance renders organic electrochemical transistors (OECTs) ideal candidates for bioelectronic applications. Adopting ionic-liquid-based solid electrolytes extends their applicability and facilitates large-area printable productions. However, OETCs employing solid electrolytes tend to show a pronounced hysteresis in the transfer curve. A detailed understanding of the hysteresis is crucial for their accurate characterizations and reliable applications. Here, we demonstrated fully photopatternable poly(3,4-ethylenedioxythiophene):tosylate (PEDOT:Tos)- based OECTs incorporating the ionic liquid [EMIM][EtSO4] in a solid electrolyte (SE). The PEDOT:Tos films deposited through vapor phase polymerization (VPP) were annealed for different durations after the polymerization step. Upon rinsing with ethanol and the deposition of the SE, the OECTs made of these films showed impressive bias stress stability under prolonged operation cycles, a high switching ratio, a low threshold voltage, and a high transconductance. Furthermore, by taking transfer measurements with different sweep rates, we revealed two distinct regimes of hysteresis: kinetic hysteresis and non-kinetic hysteresis. We observed pronounced changes in these regimes after annealing. Finally, impedance spectroscopy exhibited that the PEDOT:Tos turned from a Faradaic to a non-Faradaic response through annealing, explaining the observed hysteresis changes in both regimes. Full article
(This article belongs to the Section Materials Science and Engineering)
Show Figures

Figure 1

8 pages, 2644 KB  
Article
Polyzwitterion–SiO2 Double-Network Polymer Electrolyte with High Strength and High Ionic Conductivity
by Lei Zhang, Haiqi Gao, Lixiang Guan, Yuchao Li and Qian Wang
Polymers 2023, 15(2), 466; https://doi.org/10.3390/polym15020466 - 16 Jan 2023
Cited by 5 | Viewed by 3048
Abstract
The key to developing high-performance polymer electrolytes (PEs) is to achieve their high strength and high ionic conductivity, but this is still challenging. Herein, we designed a new double-network PE based on the nonhydrolytic sol–gel reaction of tetraethyl orthosilicate and in situ polymerization [...] Read more.
The key to developing high-performance polymer electrolytes (PEs) is to achieve their high strength and high ionic conductivity, but this is still challenging. Herein, we designed a new double-network PE based on the nonhydrolytic sol–gel reaction of tetraethyl orthosilicate and in situ polymerization of zwitterions. The as-prepared PE possesses high strength (0.75 Mpa) and high stretchability (560%) due to the efficient dissipation energy of the inorganic network and elastic characteristics of the polymer network. In addition, the highest ionic conductivity of the PE reaches 0.44 mS cm−1 at 30 °C owning to the construction of dynamic ion channels between the polyzwitterion segments and between the polyzwitterion segments and ionic liquids. Furthermore, the inorganic network can act as Lewis acid to adsorb trace impurities, resulting in a prepared electrolyte with a high electrochemical window over 5 V. The excellent interface compatibility of the as-prepared PE with a Li metal electrode is also confirmed. Our work provides new insights into the design and preparation of high-performance polymer-based electrolytes for solid-state energy storage devices. Full article
(This article belongs to the Special Issue Organic-Inorganic Hybrid Materials III)
Show Figures

Figure 1

12 pages, 1097 KB  
Article
Thermal and Electrochemical Properties of Ionic Liquids Bearing Allyl Group with Sulfonate-Based Anions—Application Potential in Epoxy Resin Curing Process
by Andrea Szpecht, Dawid Zielinski, Maciej Galinski and Marcin Smiglak
Molecules 2023, 28(2), 709; https://doi.org/10.3390/molecules28020709 - 10 Jan 2023
Cited by 8 | Viewed by 4489
Abstract
Sulfonate-based ionic liquids (ILs) with allyl-containing cations have been previously obtained by us, however, the present study aims to investigate the thermal, electrochemical and curing properties of these ILs. To determine the temperature range in which ionic liquid maintains a liquid state, thermal [...] Read more.
Sulfonate-based ionic liquids (ILs) with allyl-containing cations have been previously obtained by us, however, the present study aims to investigate the thermal, electrochemical and curing properties of these ILs. To determine the temperature range in which ionic liquid maintains a liquid state, thermal properties must be examined using Differential Scanning Calorimetry (DSC) and Thermogravimetric Analysis (TGA). Melting, cold crystallization and glass transition temperatures are discussed, as well as decomposition temperatures for imidazolium- and pyridinium-based ionic liquids. The conductivity and electrochemical stability ranges were studied in order to investigate their potential applicability as electrolytes. Finally, the potential of triflate-based ILs as polymerization initiators for epoxy resins was proven. Full article
(This article belongs to the Special Issue Feature Papers in Materials Chemistry)
Show Figures

Figure 1

13 pages, 1480 KB  
Article
Synthesis and Characterization of Quadrupolar-Hydrogen-Bonded Polymeric Ionic Liquids for Potential Self-Healing Electrolytes
by Chenming Li, Rajesh Bhandary, Anja Marinow, Dmitrii Ivanov, Mengxue Du, René Androsch and Wolfgang H. Binder
Polymers 2022, 14(19), 4090; https://doi.org/10.3390/polym14194090 - 29 Sep 2022
Cited by 11 | Viewed by 3616
Abstract
Within the era of battery technology, the urgent demand for improved and safer electrolytes is immanent. In this work, novel electrolytes, based on pyrrolidinium-bistrifluoromethanesulfonyl-imide polymeric ionic liquids (POILs), equipped with quadrupolar hydrogen-bonding moieties of ureido-pyrimidinone (UPy) to mediate self-healing properties were synthesized. Reversible [...] Read more.
Within the era of battery technology, the urgent demand for improved and safer electrolytes is immanent. In this work, novel electrolytes, based on pyrrolidinium-bistrifluoromethanesulfonyl-imide polymeric ionic liquids (POILs), equipped with quadrupolar hydrogen-bonding moieties of ureido-pyrimidinone (UPy) to mediate self-healing properties were synthesized. Reversible addition–fragmentation chain-transfer (RAFT) polymerization was employed using S,S-dibenzyl trithiocarbonate as the chain transfer agent to produce precise POILs with a defined amount of UPy and POIL-moieties. Kinetic studies revealed an excellent control over molecular weight and polydispersity in all polymerizations, with a preferable incorporation of UPy monomers in the copolymerizations together with the ionic monomers. Thermogravimetric analysis proved an excellent thermal stability of the polymeric ionic liquids up to 360 °C. By combining the results from differential scanning calorimetry (DSC), broadband dielectric spectroscopy (BDS), and rheology, a decoupled conductivity of the POILs from glass transition was revealed. While the molecular weight was found to exert the main influence on ionic conductivity, the ultimate strength and the self-healing efficiency (of up to 88%) were also affected, as quantified by tensile tests for both pristine and self-healed samples, evidencing a rational design of self-healing electrolytes bearing both hydrogen bonding moieties and low-molecular-weight polymeric ionic liquids. Full article
(This article belongs to the Special Issue Polymeric Self-Healing Materials)
Show Figures

Graphical abstract

32 pages, 4438 KB  
Review
Ionic Liquid-Based Gels for Applications in Electrochemical Energy Storage and Conversion Devices: A Review of Recent Progress and Future Prospects
by Sharmin Sultana, Kumkum Ahmed, Prastika Krisma Jiwanti, Brasstira Yuva Wardhana and MD Nahin Islam Shiblee
Gels 2022, 8(1), 2; https://doi.org/10.3390/gels8010002 - 21 Dec 2021
Cited by 34 | Viewed by 11208
Abstract
Ionic liquids (ILs) are molten salts that are entirely composed of ions and have melting temperatures below 100 °C. When immobilized in polymeric matrices by sol–gel or chemical polymerization, they generate gels known as ion gels, ionogels, ionic gels, and so on, which [...] Read more.
Ionic liquids (ILs) are molten salts that are entirely composed of ions and have melting temperatures below 100 °C. When immobilized in polymeric matrices by sol–gel or chemical polymerization, they generate gels known as ion gels, ionogels, ionic gels, and so on, which may be used for a variety of electrochemical applications. One of the most significant research domains for IL-based gels is the energy industry, notably for energy storage and conversion devices, due to rising demand for clean, sustainable, and greener energy. Due to characteristics such as nonvolatility, high thermal stability, and strong ionic conductivity, IL-based gels appear to meet the stringent demands/criteria of these diverse application domains. This article focuses on the synthesis pathways of IL-based gel polymer electrolytes/organic gel electrolytes and their applications in batteries (Li-ion and beyond), fuel cells, and supercapacitors. Furthermore, the limitations and future possibilities of IL-based gels in the aforementioned application domains are discussed to support the speedy evolution of these materials in the appropriate applicable sectors. Full article
(This article belongs to the Special Issue Polymer Gels)
Show Figures

Graphical abstract

16 pages, 5671 KB  
Article
Poly(ionic liquid) Based Composite Electrolytes for Lithium Ion Batteries
by Robert Löwe, Thomas Hanemann, Tatiana Zinkevich and Andreas Hofmann
Polymers 2021, 13(24), 4469; https://doi.org/10.3390/polym13244469 - 20 Dec 2021
Cited by 7 | Viewed by 5395
Abstract
Polymerized ionic liquids (PIL) are an interesting substance class, which is discussed to transfer the outstanding properties and tunability of ionic liquids into a solid material. In this study we extend our previous research on ammonium based PIL and discuss the influence of [...] Read more.
Polymerized ionic liquids (PIL) are an interesting substance class, which is discussed to transfer the outstanding properties and tunability of ionic liquids into a solid material. In this study we extend our previous research on ammonium based PIL and discuss the influence of additives and their usability as polymer electrolyte membranes for lithium ion batteries. The polymer electrolyte is thereby used as replacement for the commercially widespread system of a separator that is soaked with liquid electrolyte. The influence of the material composition on the ionic conductivity (via electrochemical impedance spectroscopy) and the diffusion coefficients (via pulsed-field-gradient nuclear magnetic resonance spectroscopy) were studied and cell tests with adapted membrane materials were performed. High amounts of the additional ionic liquid (IL) MPPyrr-TFSI (1-methyl-1-propylpyrrolidinium bis(trifluoromethylsulfonyl)imide) increased the ionic conductivity of the materials up to 1.3·10−4 S·cm−1 but made the usage of a cross-linker necessary to obtain mechanically stable membranes. The application of liquid electrolyte mixtures with ethylene carbonate (EC) and MPPyrr-TFSI decreased ionic conductivity values down to the 10−9 S·cm−1 range, but increased 7Li diffusion coefficients with increasing amounts of EC up to 1.7·10−10 m2·s−1. Cell tests with two membrane mixtures proofed that it is possible to build electrolyte membranes on basis of the polymerized ionic liquids, but also showed that further research is necessary to ensure stable and efficient cell cycling. Full article
(This article belongs to the Special Issue Advance in New Energy Materials and Devices)
Show Figures

Figure 1

20 pages, 5748 KB  
Review
Perovskite Solid-State Electrolytes for Lithium Metal Batteries
by Shuo Yan, Chae-Ho Yim, Vladimir Pankov, Mackenzie Bauer, Elena Baranova, Arnaud Weck, Ali Merati and Yaser Abu-Lebdeh
Batteries 2021, 7(4), 75; https://doi.org/10.3390/batteries7040075 - 7 Nov 2021
Cited by 62 | Viewed by 17107
Abstract
Solid-state lithium metal batteries (LMBs) have become increasingly important in recent years due to their potential to offer higher energy density and enhanced safety compared to conventional liquid electrolyte-based lithium-ion batteries (LIBs). However, they require highly functional solid-state electrolytes (SSEs) and, therefore, many [...] Read more.
Solid-state lithium metal batteries (LMBs) have become increasingly important in recent years due to their potential to offer higher energy density and enhanced safety compared to conventional liquid electrolyte-based lithium-ion batteries (LIBs). However, they require highly functional solid-state electrolytes (SSEs) and, therefore, many inorganic materials such as oxides of perovskite La2/3−xLi3xTiO3 (LLTO) and garnets La3Li7Zr2O12 (LLZO), sulfides Li10GeP2S12 (LGPS), and phosphates Li1+xAlxTi2−x(PO4)3x (LATP) are under investigation. Among these oxide materials, LLTO exhibits superior safety, wider electrochemical window (8 V vs. Li/Li+), and higher bulk conductivity values reaching in excess of 10−3 S cm−1 at ambient temperature, which is close to organic liquid-state electrolytes presently used in LIBs. However, recent studies focus primarily on composite or hybrid electrolytes that mix LLTO with organic polymeric materials. There are scarce studies of pure (100%) LLTO electrolytes in solid-state LMBs and there is a need to shed more light on this type of electrolyte and its potential for LMBs. Therefore, in our review, we first elaborated on the structure/property relationship between compositions of perovskites and their ionic conductivities. We then summarized current issues and some successful attempts for the fabrication of pure LLTO electrolytes. Their electrochemical and battery performances were also presented. We focused on tape casting as an effective method to prepare pure LLTO thin films that are compatible and can be easily integrated into existing roll-to-roll battery manufacturing processes. This review intends to shed some light on the design and manufacturing of LLTO for all-ceramic electrolytes towards safer and higher power density solid-state LMBs. Full article
(This article belongs to the Special Issue Solid State Batteries)
Show Figures

Figure 1

Back to TopTop