Polyzwitterion–SiO2 Double-Network Polymer Electrolyte with High Strength and High Ionic Conductivity
Abstract
1. Introduction
2. Experimental Section
2.1. Materials
2.2. Synthesis of Organic–Inorganic Double-Network PEs
2.3. Characterization and Testing
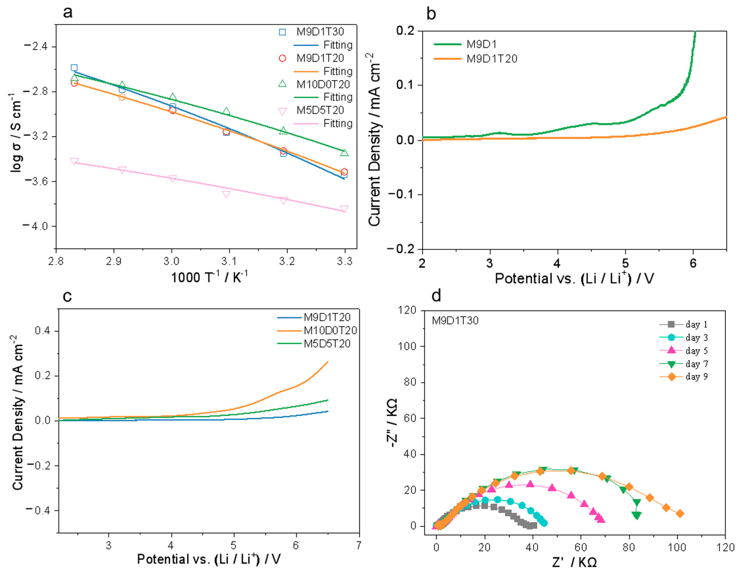
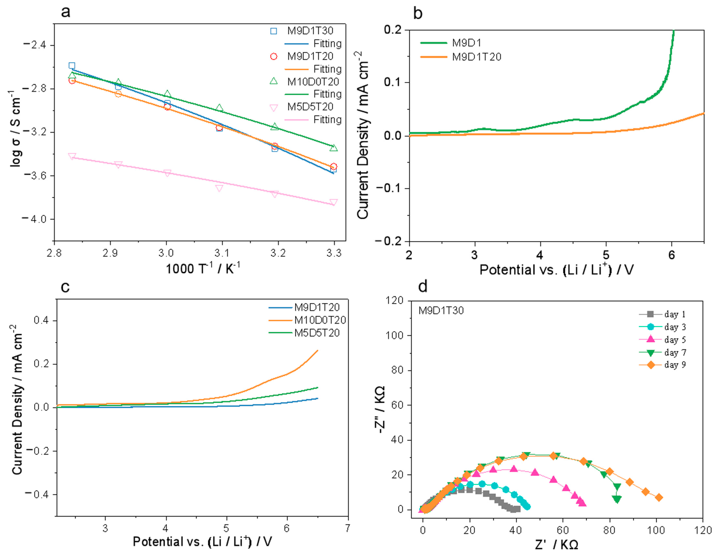
3. Results and Discussion
4. Conclusions
Supplementary Materials
Author Contributions
Funding
Institutional Review Board Statement
Data Availability Statement
Conflicts of Interest
References
- Martinez, M.C.; Boaretto, N.; Naylor, A.; Alcaide, F.; Salian, G.; Palombardini, F.; Ayerbe, E.; Borras, M.; Casas-Cabanas, M. Are Polymer-Based Electrolytes Ready for High-Voltage Lithium Battery Applications? An Overview of Degradation Mechanisms and Battery Performance. Adv. Energy Mater. 2022, 12, 2201264. [Google Scholar] [CrossRef]
- Choudhury, S.; Tu, Z.; Nijamudheen, A.; Zachman, M.; Stalin, S.; Deng, Y.; Zhao, Q.; Vu, D.; Kourkoutis, L.; Mendoza-Cortes, J.; et al. Stabilizing polymer electrolytes in high-voltage lithium batteries. Nat. Commun. 2019, 10, 3091. [Google Scholar] [CrossRef]
- Fan, L.-Z.; He, H.; Nan, C.-W. Tailoring inorganic-polymer composites for the mass production of solid-state batteries. Nat. Rev. Mater. 2021, 6, 1003–1019. [Google Scholar] [CrossRef]
- Bachman, J.; Muy, S.; Grimaud, A.; Chang, H.-H.; Pour, N.; Lux, S.; Paschos, O.; Maglia, F.; Lupart, S.; Lamp, P.; et al. Inorganic Solid-State Electrolytes for Lithium Batteries: Mechanisms and Properties Governing Ion Conduction. Chem. Rev. 2016, 116, 140–162. [Google Scholar] [CrossRef]
- Wang, H.; Wang, Q.; Cao, X.; He, Y.; Wu, K.; Yang, J.; Zhou, H.; Liu, W.; Sun, X. Thiol-Branched Solid Polymer Electrolyte Featur-ing High Strength, Toughness, and Lithium Ionic Conductivity for Lithium-Metal Batteries. Adv. Mater. 2020, 32, 2001259. [Google Scholar] [CrossRef] [PubMed]
- Wang, S.; Cheng, T.; Zhang, Y.; Wu, X.; Xiao, S.; Lai, W.-Y. Deformable lithium-ion batteries for wearable and implantable elec-tronics. Appl. Phys. Rev. 2022, 9, 041310. [Google Scholar] [CrossRef]
- Alarco, P.; Abu-Lebdeh, Y.; Abouimrane, A.; Armand, M. The plastic-crystalline phase of succinonitrile as a universal matrix for solid-state ionic conductors. Nat. Mater. 2004, 3, 476–481. [Google Scholar] [CrossRef]
- Zhang, L. Robust thiol-branched all-solid-state polymer electrolyte featuring high ionic conductivity for lithium-metal batter-ies. Ionics 2021, 27, 599–605. [Google Scholar] [CrossRef]
- Wang, S.; Li, Q.; Bai, M.; He, J.; Liu, C.; Li, Z.; Liu, X.; Lai, W.-Y.; Zhang, L. A dendrite-suppressed flexible polymer-in-ceramic elec-trolyte membrane for advanced lithium batteries. Electrochim. Acta 2020, 353, 136604. [Google Scholar] [CrossRef]
- Zhang, L.; Gao, H.; Xiao, S.; Li, J.; Ma, T.; Wang, Q.; Liu, W.; Wang, S. In-Situ Construction of Ceramic–Polymer All-Solid-State Electrolytes for High-Performance Room-Temperature Lithium Metal Batteries. ACS Mater. Lett. 2022, 4, 1297–1305. [Google Scholar] [CrossRef]
- Wang, S.; Li, X.; Cheng, T.; Liu, Y.; Li, Q.; Bai, M.; Liu, X.; Geng, H.; Lai, W.-Y.; Huang, W. Highly conjugated three-dimensional co-valent organic frameworks with enhanced Li-ion conductivity as solid-state electrolytes for high-performance lithium metal batteries. J. Mater. Chem. A 2022, 10, 8761–8771. [Google Scholar] [CrossRef]
- Su, Y.; Rong, X.; Gao, A.; Liu, Y.; Li, J.; Mao, M.; Qi, X.; Chai, G.; Zhang, Q.; Suo, L. Rational design of a topological polymeric solid electrolyte for high-performance all-solid-state alkali metal batteries. Nat. Commun. 2022, 13, 4181. [Google Scholar] [CrossRef] [PubMed]
- Wang, X.; Zhang, C.; Sawczyk, M.; Sun, J.; Yuan, Q.; Chen, F.; Mendes, T.; Howlett, P.; Fu, C.; Wang, Y. Ultra-stable all-solid-state sodium metal batteries enabled by perfluoropolyether-based electrolytes. Nat. Mater. 2022, 21, 1057–1065. [Google Scholar] [CrossRef] [PubMed]
- Atik, J.; Diddens, D.; Thienenkamp, J.; Brunklaus, G.; Winter, M.; Paillard, E. Cation-Assisted Lithium-Ion Transport for High-Performance PEO-based Ternary Solid Polymer Electrolytes, Angew. Chem. Int. Ed. 2021, 60, 11919–11927. [Google Scholar] [CrossRef]
- Tan, J.; Ao, X.; Dai, A.; Yuan, Y.; Zhuo, H.; Lu, H.; Zhuang, L.; Ke, Y.; Su, C.; Peng, X.; et al. Polycation ionic liquid tailored PEO-based solid polymer electrolytes for high temperature lithium metal batteries. Energy Storage Mater. 2020, 33, 173–180. [Google Scholar] [CrossRef]
- Lopez, J.; Mackanic, D.; Cui, Y.; Bao, Z. Designing polymers for advanced battery chemistries. Nat. Revi. Mater. 2019, 4, 312–330. [Google Scholar] [CrossRef]
- Christie, A.; Lilley, S.; Staunton, E.; Andreev, Y.; Bruce, P. Increasing the conductivity of crystalline polymer electrolytes. Nature 2005, 433, 50. [Google Scholar] [CrossRef]
- Croce, F.; Appetecchi, G.; Persi, L.; Scrosati, B. Nanocomposite polymer electrolytes for lithium batteries. Nature 1998, 394, 456. [Google Scholar] [CrossRef]
- Isaac, J.; Devaux, D.; Bouchet, R. Dense inorganic electrolyte particles as a lever to promote composite electrolyte conductiv-ity. Nat. Mater. 2022, 21, 1412–1418. [Google Scholar] [CrossRef]
- Wang, S.; Zhang, L.; Li, J.; Zeng, Q.; Liu, X.; Chen, P.; Lai, W.-Y.; Zhao, T.; Zhang, L. A nanowire-nanoparticle double composite polymer electrolyte for high performance ambient temperature solid-state lithium batteies. Electrochim. Acta 2019, 320, 134560. [Google Scholar] [CrossRef]
- Ding, J.; Chuy, C.; Holdcroft, S. Solid Polymer Electrolytes Based on Ionic Graft Polymers: Effect of Graft Chain Length on Nano-Structured, Ionic Networks. Adv. Funct. Mater. 2002, 12, 389–394. [Google Scholar] [CrossRef]
- Bouchet, R.; Maria, S.; Meziane, R.; Aboulaich, A.; Lienafa, L.; Bonnet, J.-P.; Phan, T.; Bertin, D.; Gigmes, D.; Devaux, D. Single-ion BAB triblock copolymers as highly efficient electrolytes for lithium-metal batteries. Nat. Mater. 2013, 12, 452. [Google Scholar] [CrossRef]
- Wang, S.; He, J.; Li, Q.; Wang, Y.; Liu, C.; Cheng, T.; Lai, W.-Y. Highly elastic energy storage device based on intrinsically su-per-stretchable polymer lithium-ion conductor with high conductivity. Fund. Res. 2022. [Google Scholar] [CrossRef]
- Wang, Z.; Wang, S.; Wang, A.; Liu, X.; Chen, J.; Zeng, Q.; Zhang, L.; Liu, W.; Zhang, L. Covalently linked metal-organic framework (MOF)-polymer all-solid-state electrolyte membranes for room temperature high performance lithium batteries. J. Mater. Chem. A 2018, 6, 17227–17234. [Google Scholar] [CrossRef]
- Appetecchi, G.; Croce, F.; Hassoun, J.; Scrosati, B.; Salomon, M.; Cassel, F. Hot-pressed, dry, composite, PEO-based electrolyte membranes: I. Ionic conductivity characterization. J. Power Sources 2003, 114, 105–112. [Google Scholar] [CrossRef]
- Niitani, T.; Shimada, M.; Kawamura, K.; Dokko, K.; Rho, Y.-H.; Kanamura, K. Synthesis of Li+ ion conductive PEO-PSt block co-polymer electrolyte with microphase separation structure. Electrochem. Solid State Lett. 2005, 8, A385. [Google Scholar] [CrossRef]
- Wang, S.; Zhang, L.; Zeng, Q.; Liu, X.; Lai, W.-Y.; Zhang, L. Cellulose Microcrystals with Brush-Like Architectures as Flexible All-Solid-State Polymer Electrolyte for Lithium-Ion Battery. ACS Sustain. Chem. Eng. 2020, 8, 3200–3207. [Google Scholar] [CrossRef]
- Balo, L.; Gupta, H.; Singh, V.; Singh, R. Flexible gel polymer electrolyte based on ionic liquid EMIMTFSI for rechargeable battery application. Electrochim. Acta 2017, 230, 123–131. [Google Scholar] [CrossRef]
- Osada, I.; de Vries, H.; Scrosati, B.; Passerini, S. Ionic-Liquid-Based Polymer Electrolytes for Battery Applications. Angew. Chem. Int. Ed. 2016, 55, 500–513. [Google Scholar] [CrossRef]
- Nakayama, A.; Kakugo, A.; Gong, J.; Osada, Y.; Takai, M.; Erata, T.; Kawano, S. High mechanical strength double-network hy-drogel with bacterial cellulose. Adv. Funct. Mater. 2004, 14, 1124–1128. [Google Scholar] [CrossRef]
- Gong, J.; Katsuyama, Y.; Kurokawa, T.; Osada, Y. Double-network hydrogels with extremely high mechanical strength. Adv. Mater. 2003, 15, 1155–1158. [Google Scholar] [CrossRef]
- Gong, J. Why are double network hydrogels so tough? Soft Matter 2010, 6, 2583–2590. [Google Scholar] [CrossRef]
- Kamio, E.; Yasui, T.; Iida, Y.; Gong, J.; Matsuyama, H. Inorganic/Organic Double-Network Gels Containing Ionic Liquids. Adv. Mater. 2017, 29, 1704118. [Google Scholar] [CrossRef]
- Yu, L.; Guo, S.; Lu, Y.; Li, Y.; Lan, X.; Wu, D.; Li, R.; Wu, S.; Hu, X. Highly Tough, Li-Metal Compatible Organic-Inorganic Dou-ble-Network Solvate Ionogel. Adv. Energy Mater. 2019, 9, 1900257. [Google Scholar] [CrossRef]
- Wang, S.; Zeng, Q.; Wang, A.; Liu, X.; Chen, J.; Wang, Z.; Zhang, L. Constructing stable ordered ion channels for a solid electro-lyte membrane with high ionic conductivity by combining the advantages of liquid crystal and ionic liquid. J. Mater. Chem. A 2019, 7, 1069–1075. [Google Scholar] [CrossRef]
- Zhang, L.; Wang, S.; Li, J.; Liu, X.; Chen, P.; Zhao, T.; Zhang, L. A nitrogen-containing all-solid-state hyperbranched polymer elec-trolyte for superior performance lithium batteries. J. Mater. Chem. A 2019, 7, 6801–6808. [Google Scholar] [CrossRef]
- Wang, S.; Liu, X.; Wang, A.; Wang, Z.; Chen, J.; Zeng, Q.; Jiang, X.; Zhou, H.; Zhang, L. High-Performance All-Solid-State Polymer Electrolyte with Controllable Conductivity Pathway Formed by Self-Assembly of Reactive Discogen and Immobilized via a Facile Photopolymerization for a Lithium-Ion Battery. ACS Appl. Mater. Interfaces 2018, 10, 25273–25284. [Google Scholar] [CrossRef]
- Chen, N.; Xing, Y.; Wang, L.; Liu, F.; Li, L.; Chen, R.; Wu, F.; Guo, S. “Tai Chi” philosophy driven rigid-flexible hybrid ionogel electrolyte for high-performance lithium battery. Nano Energy 2018, 47, 35–42. [Google Scholar] [CrossRef]
- Wang, S.; Bai, M.; Liu, C.; Li, G.; Lu, X.; Cai, H.; Liu, C.; Lai, W.-Y. Highly stretchable multifunctional polymer ionic conductor with high conductivity based on organic-inorganic dual networks. Chem. Eng. J. 2022, 440, 135824. [Google Scholar] [CrossRef]




Disclaimer/Publisher’s Note: The statements, opinions and data contained in all publications are solely those of the individual author(s) and contributor(s) and not of MDPI and/or the editor(s). MDPI and/or the editor(s) disclaim responsibility for any injury to people or property resulting from any ideas, methods, instructions or products referred to in the content. |
© 2023 by the authors. Licensee MDPI, Basel, Switzerland. This article is an open access article distributed under the terms and conditions of the Creative Commons Attribution (CC BY) license (https://creativecommons.org/licenses/by/4.0/).
Share and Cite
Zhang, L.; Gao, H.; Guan, L.; Li, Y.; Wang, Q. Polyzwitterion–SiO2 Double-Network Polymer Electrolyte with High Strength and High Ionic Conductivity. Polymers 2023, 15, 466. https://doi.org/10.3390/polym15020466
Zhang L, Gao H, Guan L, Li Y, Wang Q. Polyzwitterion–SiO2 Double-Network Polymer Electrolyte with High Strength and High Ionic Conductivity. Polymers. 2023; 15(2):466. https://doi.org/10.3390/polym15020466
Chicago/Turabian StyleZhang, Lei, Haiqi Gao, Lixiang Guan, Yuchao Li, and Qian Wang. 2023. "Polyzwitterion–SiO2 Double-Network Polymer Electrolyte with High Strength and High Ionic Conductivity" Polymers 15, no. 2: 466. https://doi.org/10.3390/polym15020466
APA StyleZhang, L., Gao, H., Guan, L., Li, Y., & Wang, Q. (2023). Polyzwitterion–SiO2 Double-Network Polymer Electrolyte with High Strength and High Ionic Conductivity. Polymers, 15(2), 466. https://doi.org/10.3390/polym15020466

