Sign in to use this feature.

Years

Between: -

Subjects

remove_circle_outline
remove_circle_outline
remove_circle_outline
remove_circle_outline
remove_circle_outline
remove_circle_outline
remove_circle_outline
remove_circle_outline
remove_circle_outline

Journals

Article Types

Countries / Regions

Search Results (57)

Search Parameters:
Keywords = polyethylene glycol embedding

Order results
Result details
Results per page
Select all
Export citation of selected articles as:
17 pages, 3068 KB  
Article
Preparation, Stability and In Vitro Antineoplastic Function of Lecithin–Chitosan–Polyethylene Glycol Nanoparticles Loaded with Bioactive Peptides Derived from Phycocyanin
by Haozhe Cheng, Binyang Jia, Xinran Li, Yali Li, Boxiong Wu, Qi Yang, Chengtao Wang, Baoguo Sun and Shuai Hao
Foods 2025, 14(20), 3487; https://doi.org/10.3390/foods14203487 - 13 Oct 2025
Viewed by 733
Abstract
Phycocyanin (PC) is a type of alga-derived protein which exerts the role of light harvesting in Spirulina and Cyanophyta cells. Studies have widely proved that phycocyanin exhibits antineoplastic functions, while investigations on its bioactive peptides remain poorly documented. In previous work, three phycocyanin-derived [...] Read more.
Phycocyanin (PC) is a type of alga-derived protein which exerts the role of light harvesting in Spirulina and Cyanophyta cells. Studies have widely proved that phycocyanin exhibits antineoplastic functions, while investigations on its bioactive peptides remain poorly documented. In previous work, three phycocyanin-derived peptides (PCPs: PCP1-3), which exerted anticancer effects in non-small cell lung cancer (NSCLC) cells, were successfully identified. In consideration of the in vitro instability of bioactive peptides, this study firstly investigated the stabilization and function of phycocyanin-derived peptides loaded by nanoparticles (NPs). Herein, Lipid-core NPs (PCPs@LEC–CS–PEG, diameter less than 100 nm) were prepared by interfacial deposition of a polymer using lecithin (LEC, liposome core shell), chitosan (CS, coating material) and polyethylene glycol (PEG, stabilizer). The results indicate that the embedding of LEC liposomes could significantly increase the stability of PCPs through promoting their resistance to high temperature (68.256 ± 3.26%), pH (60.17 ± 3.67%) and protease. Moreover, the modification of NPs by PEG and CS could enhance the protective effects on PCPs. Furthermore, in vitro phenotypic experiments confirmed that the inclusion of PCPs@PEG-CS–LEC NPs also significantly increased the inhibitory activities of PCPs against multiple NSCLC cells including A549, H1299 and LTEP-a2 cells, compared with non-embedded PCPs. The results of this work could lay a theoretical foundation for the further development and utilization of peptides derived from phycocyanin, and also for the investigation of the antineoplastic effects of bioactive peptides. Full article
(This article belongs to the Section Nutraceuticals, Functional Foods, and Novel Foods)
Show Figures

Graphical abstract

11 pages, 1209 KB  
Communication
Upcycling Leather Waste Through Zero-Waste Hydrolysis for Versatile 3D Printable Composites
by Giovanni Venturelli, Luca Guida and Marinella Levi
Polymers 2025, 17(17), 2366; https://doi.org/10.3390/polym17172366 - 30 Aug 2025
Viewed by 1489
Abstract
The leather industry produces a substantial amount of solid waste, which is frequently disposed of via incineration or landfilling. While hydrolysis offers a valuable and sustainable method to chemically recycle leather waste, both acidic and alkaline processes present challenges due to the salts [...] Read more.
The leather industry produces a substantial amount of solid waste, which is frequently disposed of via incineration or landfilling. While hydrolysis offers a valuable and sustainable method to chemically recycle leather waste, both acidic and alkaline processes present challenges due to the salts produced during neutralization. This study aims to upcycle leather scraps through hydrolysis, producing a powdered filler for versatile composites suitable for both LCD vat photopolymerization and Direct Ink Writing 3D printing technologies. A zero-waste hydrolysis process was adopted using sulfuric acid neutralized with calcium hydroxide, achieving a yield of 91.3%. The composites featured a matrix composed of polyethylene-glycol-diacrylate and glycerol dimethacrylate, with embedded leather hydrolysate powder at concentrations up to 20% w/wmatrix. Tensile tests conducted on neat resin and composites demonstrated the strengthening effect of leather hydrolysate filler. Additionally, rheological tests displayed a viscoelastic behavior suitable for the adopted 3D printing technologies. The composites were successfully 3D-printed using both Direct Ink Writing and vat photopolymerization techniques, showing promising printing accuracy. This work demonstrates the potential of valorizing leather waste, upcycled via a hydrolysis method, to produce composites suitable for additive manufacturing to advance the sustainability and the circularity of the fashion sector. Full article
Show Figures

Graphical abstract

13 pages, 4113 KB  
Article
Metal–Organic Network-Based Composite Phase Change Materials with High Thermal and Photothermal Conversion Performance
by Dian Wei, Yi Wang, Shuoshuo Yu, Qingtang Zhang and Yi Wang
Materials 2025, 18(16), 3814; https://doi.org/10.3390/ma18163814 - 14 Aug 2025
Viewed by 1099
Abstract
Solid–liquid phase change materials (PCMs), promising for thermal management, face limited application due to leakage and low thermal conductivity. In this work, a shape-stabilized composite PCM was fabricated using a one-pot in situ process by mixing polyethylene glycol (PEG) with the novel metal–organic [...] Read more.
Solid–liquid phase change materials (PCMs), promising for thermal management, face limited application due to leakage and low thermal conductivity. In this work, a shape-stabilized composite PCM was fabricated using a one-pot in situ process by mixing polyethylene glycol (PEG) with the novel metal–organic network called CFK, which was synthesized from carboxylated multi-walled carbon nanotubes (CMWCNTs), FeCl3, and Kevlar nanofibers (KNFs). The morphology, composition, and thermophysical characteristics of the composite PCM were assessed. Key properties analyzed to validate its performance included leakage rate, thermal conductivity, latent heat, light absorption, photothermal conversion efficiency, and cycling stability. This composite PCM exhibits reduced leakage while maintaining remarkable thermal energy charge/discharge performance. The study establishes that the composite PCM containing 89.9 wt% PEG has a leakage rate of 0.76% since the PEG molecules are deeply embedded in the pores of CFK. The thermal conductivity of this composite PCM was enhanced by 170.5% relative to pure PEG, and the latent heat was measured as 147.9 J·g−1 for fusion and 143.7 J·g−1 for crystallization. Additionally, this composite PCM reveals excellent light absorption capacity, a photothermal conversion efficiency as high as 83.4%, and outstanding stability in photothermal cycling experiments. In short, this work offers a new strategy for both preparing high-performance composite PCMs and applying them in visible light conversion. Full article
(This article belongs to the Section Advanced Composites)
Show Figures

Graphical abstract

21 pages, 18533 KB  
Article
Calcium Phosphate Honeycomb Scaffolds with Tailored Microporous Walls Using Phase Separation-Assisted Digital Light Processing
by Gyu-Nam Kim, Jae-Hyung Park, Jae-Uk Song, Young-Hag Koh and Jongee Park
Materials 2025, 18(11), 2587; https://doi.org/10.3390/ma18112587 - 1 Jun 2025
Viewed by 1101
Abstract
The present study reports on the manufacturing of biphasic calcium phosphate (BCP) honeycomb scaffolds with tailored microporous walls using phase separation-assisted digital light processing (PS-DLP). To create micropores in BCP walls, camphene was used as the pore-forming agent for preparing BCP suspensions, since [...] Read more.
The present study reports on the manufacturing of biphasic calcium phosphate (BCP) honeycomb scaffolds with tailored microporous walls using phase separation-assisted digital light processing (PS-DLP). To create micropores in BCP walls, camphene was used as the pore-forming agent for preparing BCP suspensions, since it could be completely dissolved in photopolymerizable monomers composed of triethylene glycol dimethacrylate (TEGDMA) and polyethylene glycol diacrylate (PEGDA) and then undergo phase separation when placed at 5 °C. Therefore, solid camphene crystals could be formed in phase-separated BCP layers and then readily removed via sublimation after the photopolymerization of monomer networks embedding BCP particles by DLP. This approach allowed for tight control over the microporosity of BCP walls by adjusting the camphene content. As the camphene content increased from 40 to 60 vol%, the microporosity increased from ~38 to ~59 vol%. Consequently, the overall porosity of dual-scale porosity scaffolds increased from ~51 to ~67 vol%, while their compressive strength decreased from ~70.4 to ~13.7 MPa. The mass transport ability increased remarkably with an increase in microporosity. Full article
(This article belongs to the Section Porous Materials)
Show Figures

Figure 1

14 pages, 3771 KB  
Article
Polyvinyl Alcohol–Polyethylene Glycol Embedded Reduced Graphene Oxide Electronic Nose Sensor for Seafood Monitoring
by Baliram Nadekar, Pravin S. More, Sadaf Jamal Gilani, Yogesh B. Khollam, Ahmad Umar, Abu ul Hassan S. Rana and Marimuthu Palaniswami
Crystals 2025, 15(5), 405; https://doi.org/10.3390/cryst15050405 - 25 Apr 2025
Viewed by 819
Abstract
This study explores the development of an electronic nose (E-nose) sensor for fish freshness based on a composite of polyvinyl alcohol (PVA), polyethylene glycol (PEG), and reduced graphene oxide (rGO). The sensor leverages the unique properties of the PVA-PEG polymer matrix, such as [...] Read more.
This study explores the development of an electronic nose (E-nose) sensor for fish freshness based on a composite of polyvinyl alcohol (PVA), polyethylene glycol (PEG), and reduced graphene oxide (rGO). The sensor leverages the unique properties of the PVA-PEG polymer matrix, such as its flexibility and moisture responsiveness, in combination with the electrical conductivity of rGO. The PVA-PEG/rGO composite was synthesized through a low-temperature embedding process to ensure the preservation of sensitive biomolecules and prevent thermal degradation. This sensor demonstrates high sensitivity to volatile amines released during fish spoilage, providing real-time food monitoring to maintain freshness. Electrical resistance changes in the rGO network, influenced by the polymer’s interaction with spoilage gases, were correlated with fish freshness levels. The low cost, easy fabrication, and environmentally friendly nature of the PVA-PEG/rGO E-nose sensor make it a promising candidate for use in packaging or direct contact with fish products in the food industry. This study highlights the potential for extending shelf life and reducing food waste through rapid spoilage detection. Full article
(This article belongs to the Special Issue Nanoelectronics and Bioelectronics)
Show Figures

Figure 1

13 pages, 3765 KB  
Article
Design, Characterization, and Release Kinetics of a Hybrid Hydrogel Drug Delivery System for Sustained Hormone Therapy
by Mohammed E. Ali Mohsin, Akhtar Jahan Siddiqa, Suleiman Mousa and Nilesh Kumar Shrivastava
Polymers 2025, 17(8), 999; https://doi.org/10.3390/polym17080999 - 8 Apr 2025
Cited by 11 | Viewed by 4246
Abstract
This study presents a hybrid hydrogel system designed for the targeted delivery of letrozole, a key therapeutic agent in breast cancer treatment. Letrozole-loaded poly(lactic-co-glycolic acid) (PLGA) microparticles were embedded within a poly(2-hydroxyethyl methacrylate) (pHEMA) matrix coated onto acrylamide-grafted low-density polyethylene (AAm-g-LDPE), yielding a [...] Read more.
This study presents a hybrid hydrogel system designed for the targeted delivery of letrozole, a key therapeutic agent in breast cancer treatment. Letrozole-loaded poly(lactic-co-glycolic acid) (PLGA) microparticles were embedded within a poly(2-hydroxyethyl methacrylate) (pHEMA) matrix coated onto acrylamide-grafted low-density polyethylene (AAm-g-LDPE), yielding a mechanically stable system with tunable drug release. Field emission scanning electron microscopy (FE-SEM) and confocal microscopy confirmed uniform microparticle distribution. In vitro release studies in simulated uterine fluid (SUF) at 37 °C demonstrated a sustained release profile over 32 days, with a reduced initial burst effect (~15% lower than conventional PLGA systems). The system’s release kinetics followed the Higuchi model (R2 = 0.803–0.996), indicating Fickian diffusion. This hybrid hydrogel offers enhanced drug stability, reduced dosing frequency, and potential for personalized hormone therapy, improving patient compliance, particularly for individuals with physical or cognitive impairments. Full article
(This article belongs to the Special Issue Advances in Polymers for Drug Delivery Systems)
Show Figures

Figure 1

19 pages, 4745 KB  
Article
Synthesis and Characterization of Cellulose Acetate/Polyethylene Glycol/Poly(Styrene)-b-Poly(4-Vinylpyridine) Membrane Embedded with Hydrotermaly Activated TiO2 Nanoparticles for Waste-Waters Treatment by Membrane Processes
by Simona Căprărescu, Grațiela Teodora Tihan, Roxana Gabriela Zgârian, Alexandru Mihai Grumezescu, Carmen Lazau, Cornelia Bandas, Leonard Ionuț Atanase and Cristian-Andi Nicolae
Polymers 2025, 17(4), 446; https://doi.org/10.3390/polym17040446 - 8 Feb 2025
Cited by 2 | Viewed by 2067
Abstract
This study investigated the properties of a novel polymeric membrane based on cellulose acetate, polyethylene glycol/poly(styrene)-b-poly(4-vinylpyridine), and embedded with TiO2 nanoparticles (CA/PEG/PS154-b-P4VP381/TiO2 membrane) obtained by wet-phase inversion method. The TiO2 nanoparticles fabricated by a hydrothermal method [...] Read more.
This study investigated the properties of a novel polymeric membrane based on cellulose acetate, polyethylene glycol/poly(styrene)-b-poly(4-vinylpyridine), and embedded with TiO2 nanoparticles (CA/PEG/PS154-b-P4VP381/TiO2 membrane) obtained by wet-phase inversion method. The TiO2 nanoparticles fabricated by a hydrothermal method were characterized by XRD, SEM, EDX, and UV-Vis analyses to determine the purity, morphology, and optical band gap energy. The prepared polymeric membranes with and without TiO2 nanoparticles (CA/PEG/PS154-b-P4VP381/TiO2 and CA/PEG/PS154-b-P4VP381 membranes) were characterized by FTIR, SEM, EDXS, and TGA to observe the effect of TiO2 nanoparticles added to the polymeric membrane matrix and to analyze the chemical structure, morphology, and thermal stability of the obtained polymeric membranes. The contact angle, SFE, water retention, and porosity were also determined. The results showed that adding the TiO2 nanoparticles into the polymeric membrane (CA/PEG/PS154-b-P4VP381/TiO2) significantly reduced the pore size and the water contact angle, increasing the water retention and the porosity. The lower value of the water contact angle of 15.57 ± 0.45° for the CA/PEG/PS154-b-P4VP381/TiO2 membrane indicates a pronounced hydrophilic character. The investigations performed showed that the CA/PEG/PS154-b-P4VP381/TiO2 membrane presents excellent properties and can be a promising material for water and waste-water treatment through membrane processes (e.g., electrodialysis, ultrafiltration, nanofiltration, reverse osmosis) in the future. Full article
Show Figures

Figure 1

12 pages, 2012 KB  
Article
Aptamer-Conjugated Multi-Quantum Dot-Embedded Silica Nanoparticles for Lateral Flow Immunoassay
by Kwanghee Yoo, Hye-Seong Cho, Jaehi Kim, Minsup Shin, Jun-Sik Chu, Sohyeon Jang, Han-Joo Bae, Heung Su Jung, Homan Kang and Bong-Hyun Jun
Biosensors 2025, 15(1), 54; https://doi.org/10.3390/bios15010054 - 16 Jan 2025
Cited by 8 | Viewed by 3177
Abstract
Lateral flow immunoassays (LFIAs) are widely used for their low cost, simplicity, and rapid results; however, enhancing their reliability requires the meticulous selection of ligands and nanoparticles (NPs). SiO2@QD@SiO2 (QD2) nanoparticles, which consist of quantum dots (QDs) embedded [...] Read more.
Lateral flow immunoassays (LFIAs) are widely used for their low cost, simplicity, and rapid results; however, enhancing their reliability requires the meticulous selection of ligands and nanoparticles (NPs). SiO2@QD@SiO2 (QD2) nanoparticles, which consist of quantum dots (QDs) embedded in a silica (SiO2) core and surrounded by an outer SiO2 shell, exhibit significantly higher fluorescence intensity (FI) compared to single QDs. In this study, we prepared QD2@PEG@Aptamer, an aptamer conjugated with QD2 using succinimidyl-[(N-maleimidopropionamido)-hexaethyleneglycol]ester, which is 130 times brighter than single QDs, for detecting carbohydrate antigen (CA) 19-9 through LFIA. For LFIA optimization, we determined the optimal conditions as a 1.0:2.0 × 10−2 ratio of polyethylene glycol (PEG) to aptamer by adjusting the amounts of PEG and aptamer, phosphate-buffered saline containing 0.5% Tween® 20 as a developing solution, and 0.15 μg NPs by setting the NP weight during development. Under these conditions, QD2@PEG@Aptamer selectively detected CA19-9, achieving a detection limit of 1.74 × 10−2 mg·mL−1. Moreover, FI remained stable for 10 days after detection. These results highlight the potential of QD2 and aptamer conjugation technology as a reliable and versatile sensing platform for various diagnostic applications. Full article
Show Figures

Figure 1

14 pages, 2735 KB  
Article
Characterization and Comparison of Anammox Immobilization in Polyvinyl Alcohol, Polyethylene Glycol and Water-Borne Polyurethane
by Yi Yang, Hui Gong, Zhen Zhou and Xiaohu Dai
Processes 2024, 12(7), 1442; https://doi.org/10.3390/pr12071442 - 10 Jul 2024
Cited by 2 | Viewed by 1956
Abstract
Anammox bacteria were embedded with different mass fractions of polyvinyl alcohol (PVA), polyethylene glycol (PEG) and water-based polyurethane (WPU) materials. The embedded immobilized pellets with different particle sizes of about 2.8–3.2 mm were prepared. The effects of the mass fraction of the embedding [...] Read more.
Anammox bacteria were embedded with different mass fractions of polyvinyl alcohol (PVA), polyethylene glycol (PEG) and water-based polyurethane (WPU) materials. The embedded immobilized pellets with different particle sizes of about 2.8–3.2 mm were prepared. The effects of the mass fraction of the embedding material (PVA 6–12%, PEG 6–9%, WPU 10%) and the concentration of activated carbon added in the embedding process (0–4%) on the pellet was investigated. The performance of pellet formation, sedimentation rate, mechanical strength, expansion coefficient, and elasticity were compared and analyzed under different immobilization conditions, and the parameters of each embedding step were optimized. Anammox immobilized pellets prepared with 10% polyvinyl alcohol (PVA), 2% sodium alginate (SA), and 2% powdered activated carbon were proposed. The effects of salinity on anammox were investigated through a batch test, and the optimal reaction conditions were selected to carry out the operation test. The functional groups of embedded and unembedded anammox sludge were detected using the infrared spectrum. A continuous flow sequencing batch reactor (SBR) demonstrated stable operation with immobilized anammox. Scanning electron microscopy revealed that the immobilized anammox pellets appeared as irregular particles, with each micro-unit predominantly being spherical. Additionally, a minor presence of rod-shaped bacteria was also noted. After 30 days of stable operation of the reactor, the ammonia nitrogen removal rate reached 84.7%. Full article
Show Figures

Figure 1

31 pages, 52072 KB  
Article
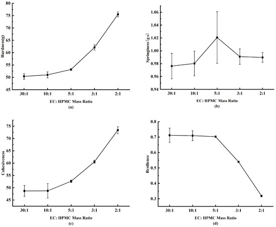
Development of Tetramycin-Loaded Core–Shell Beads with Hot-/Wet-Responsive Release Properties for Control of Bacterial Wilt Disease
by Juntao Gao, Guan Lin, Xinmin Deng, Junxian Zou, Yong Liu, Xingjiang Chen and Shiwang Liu
Agronomy 2024, 14(6), 1199; https://doi.org/10.3390/agronomy14061199 - 1 Jun 2024
Cited by 3 | Viewed by 1849
Abstract
Plant bacterial wilt is caused by Ralstonia solanacearum, a soilborne pathogen that infects plant conduits, leading to wilt disease. It is extremely difficult to cure plants infected with Ralstonia solanacearum; however, bactericide-loaded beads with hot-/wet-responsive properties may be able to release [...] Read more.
Plant bacterial wilt is caused by Ralstonia solanacearum, a soilborne pathogen that infects plant conduits, leading to wilt disease. It is extremely difficult to cure plants infected with Ralstonia solanacearum; however, bactericide-loaded beads with hot-/wet-responsive properties may be able to release a biocide in line with the increase in the hot-/wet-associated activity of Ralstonia solanacearum, effectively killing the pathogenic cells and providing high levels of plant protection. A biopesticide, Tetramycin, was embedded in corn kernel powder (CKP)-based cores. An oil-phase mixture was sprayed onto the core surface to form a hot-/wet-responsive intermediate shell (IMS). Subsequently, a layer of ethyl cellulose (EC) and hydroxypropyl methyl cellulose (HPMC) was coated onto the IMS to create a single wet-responsive outer shell (OTS). The ratios of the components in the cores, including the corn kernel powder (CKP), xanthan gum (XG), and Tetramycin, were optimized, as well as those of the IMS, including pentaerythrityl tetrastearate (PETS), pentaerythrityl tetraoleate (PETO), polyethylene glycol stearate (PEG400MS), and polyethylene glycol monooleate (PEG400MO), and those of the outer shell (OTS), including ethyl cellulose (EC) and hydroxypropyl methyl cellulose (HPMC). A texture performance analysis, differential scanning calorimetry (DSC) analysis, thermogravimetric analysis (TGA), temperature and humidity response performance tests, scanning electron microscope (SEM) observations, and a field effectiveness test were conducted to characterize the Tetramycin-loaded beads. The results indicated that the optimal formula for the bead cores comprised a mass ratio of CKP/Tetramycin solution/XG = 13.5:23:2. The preferred mass ratio for IMS was PETS/PETO/PEG400MO = 10:30:10, and the formula for the applicable OTS consisted of a mass ratio of EC/HPMC = 5:1. In soil with a temperature of 30–35 °C and humidity of 30%, the release period of the Tetramycin-loaded beads, with a cumulative release rate of over 95%, could last up to 35 days. Furthermore, the Tetramycin-loaded beads exhibited a gradual and multi-cyclic release process under alternating hot/wet and dry/cold environments. The relative preventive efficacy of 54.74% on tobacco was revealed at a field-testing scale. A significant reduction in the abundance of Ralstonia solanacearum was also observed under treatment with the Tetramycin-loaded beads. The early fungal community structure exhibited higher consistency compared to the control. However, in the later stage, the diversity differences between the soil layers were restored. In conclusion, Tetramycin-loaded beads that could effectively respond to temperature and humidity fluctuations were developed, resulting in enhanced disease prevention efficacy and offering broad prospects for the prevention and control of Ralstonia solanacearum in agricultural settings. Full article
(This article belongs to the Section Pest and Disease Management)
Show Figures

Figure 1

19 pages, 4047 KB  
Article
Three-Dimensional Printed Filters Based on Poly(ethylene glycol) Diacrylate Hydrogels Doped with Silver Nanoparticles for Removing Hg(II) Ions from Water
by Luca Burratti, Federica Bertelà, Michele Sisani, Irene Di Guida, Chiara Battocchio, Giovanna Iucci, Paolo Prosposito and Iole Venditti
Polymers 2024, 16(8), 1034; https://doi.org/10.3390/polym16081034 - 10 Apr 2024
Cited by 4 | Viewed by 2128
Abstract
Nowadays, due to water pollution, more and more living beings are exposed to dangerous compounds, which can lead to them contracting diseases. The removal of contaminants (including heavy metals) from water is, therefore, a necessary aspect to guarantee the well-being of living beings. [...] Read more.
Nowadays, due to water pollution, more and more living beings are exposed to dangerous compounds, which can lead to them contracting diseases. The removal of contaminants (including heavy metals) from water is, therefore, a necessary aspect to guarantee the well-being of living beings. Among the most used techniques, the employment of adsorbent materials is certainly advantageous, as they are easy to synthesize and are cheap. In this work, poly(ethylene glycol) diacrylate (PEGDA) hydrogels doped with silver nanoparticles (AgNPs) for removing Hg(II) ions from water are presented. AgNPs were embedded in PEGDA-based matrices by using a photo-polymerizable solution. By exploiting a custom-made 3D printer, the filters were synthesized. The kinetics of interaction was studied, revealing that the adsorption equilibrium is achieved in 8 h. Subsequently, the adsorption isotherms of PEGDA doped with AgNPs towards Hg(II) ions were studied at different temperatures (4 °C, 25 °C, and 50 °C). In all cases, the best isotherm model was the Langmuir one (revealing that the chemisorption is the driving process and the most favorable one), with maximum adsorption capacities equal to 0.55, 0.57, and 0.61 mg/g, respectively. Finally, the removal efficiency was evaluated for the three temperatures, obtaining for 4 °C, 25 °C, and 50 °C the values 94%, 94%, and 86%, respectively. Full article
(This article belongs to the Special Issue Metal Nanoparticles–Polymers Hybrid Materials III)
Show Figures

Figure 1

10 pages, 2277 KB  
Communication
Mouthguard-Type Wearable Sensor for Monitoring Salivary Turbidity to Assess Oral Hygiene
by Kenta Ichikawa, Kenta Iitani, Gentaro Kawase, Koji Toma, Takahiro Arakawa, Dzung Viet Dao and Kohji Mitsubayashi
Sensors 2024, 24(5), 1436; https://doi.org/10.3390/s24051436 - 23 Feb 2024
Cited by 11 | Viewed by 5139
Abstract
Salivary turbidity is a promising indicator for evaluating oral hygiene. This study proposed a wearable mouthguard-type sensor for continuous and unconstrained measurement of salivary turbidity. The sensor evaluated turbidity by measuring the light transmittance of saliva with an LED and a phototransistor sealed [...] Read more.
Salivary turbidity is a promising indicator for evaluating oral hygiene. This study proposed a wearable mouthguard-type sensor for continuous and unconstrained measurement of salivary turbidity. The sensor evaluated turbidity by measuring the light transmittance of saliva with an LED and a phototransistor sealed inside a double-layered mouthguard. The sensor was also embedded with a Bluetooth wireless module, enabling the wireless measurement of turbidity. The mouthguard materials (polyethylene terephthalate-glycol and ethylene-vinyl acetate) and the wavelength of the LED (405 nm) were experimentally determined to achieve high sensitivity in salivary turbidity measurement. The turbidity quantification characteristic of the proposed sensor was evaluated using a turbidity standard solution, and the sensor was capable of turbidity quantification over a wide dynamic range of 1–4000 FTU (formazine turbidity unit), including reported salivary turbidity (400–800 FTU). In vitro turbidity measurement using a saliva sample showed 553 FTU, which is equivalent to the same sample measured with a spectrophotometer (576 FTU). Moreover, in vivo experiments also showed results equivalent to that measured with a spectrophotometer, and wireless measurement of salivary turbidity was realized using the mouthguard-type sensor. Based on these results, the proposed mouthguard-type sensor has promising potential for the unconstrained continuous evaluation of oral hygiene. Full article
(This article belongs to the Section Biosensors)
Show Figures

Figure 1

2 pages, 130 KB  
Abstract
Novel Drug and Nutraceutical Delivery System for the Treatment of Inflammatory Bowel Disease
by Aoife Murtagh, Clement Higginbotham and Patricia Heavey
Proceedings 2023, 91(1), 163; https://doi.org/10.3390/proceedings2023091163 - 1 Feb 2024
Viewed by 1179
Abstract
Background and objectives: Inflammatory bowel disease is a chronic condition with no cure. However, there are a range of treatment options. Pharmacological approaches are usually the first step in treatment, and they are effective for many patients; however, for some, side effects are [...] Read more.
Background and objectives: Inflammatory bowel disease is a chronic condition with no cure. However, there are a range of treatment options. Pharmacological approaches are usually the first step in treatment, and they are effective for many patients; however, for some, side effects are evident, and effectiveness can reduce overtime. Research on advanced delivery systems, new drugs and the therapeutic benefits of nutraceuticals such as curcumin have been previously investigated with promising results for IBD treatment, although they present their own unique challenges including poor bioavailability. The poor bioavailability of hydrophobic agents including curcumin is partly attributed to poor solubility and inadequate concentrations at target tissues. Therefore, the aim of the present work was to develop a novel pH-sensitive drug and nutraceutical delivery system featuring microspheres embedded in a hydrogel. Methods: Polylactic acid–polyethylene glycol microspheres loaded with dexamethasone (0.8 wt%) and curcumin (0.8 wt%) were synthesised using an emulsion solvent evaporation method. pH-sensitive polyethylene glycol dimethacrylate-co-acrylic acid hydrogels (46.6% and 33.3%, respectively) were synthesised with water (20%) by UV-photopolymerisation. The dexamethasone and curcumin microspheres were embedded into the hydrogels. Hydrogels and microspheres were characterised separately to understand their properties. Results: The encapsulation efficiency of the dexamethasone and curcumin microspheres was promising with higher encapsulation efficiency achieved for the curcumin microspheres (29% and 92%, respectively). Swelling studies demonstrated the equilibrium water content (EWC), the ability of the hydrogel to uptake its surrounding solution, with differences observed in response to changes in pH. In pH 6.8, hydrogels took up more of the surrounding solution compared to pH 2.2 (EWC% after 24 h = 69% and 56%, respectively). Gel fraction studies showed that the efficiency of the network formed during photopolymerisation (96%). Discussion: This targeted drug and nutraceutical delivery system may have the potential to play a role for IBD treatment with the combined impact of the microspheres in the hydrogel to be established. Dexamethasone and curcumin were encapsulated into microspheres which aid their solubility. The hydrogel component may help achieve a targeted delivery system, owing to the changes observed in response to different pH levels, as would be observed along the gastrointestinal tract. Full article
(This article belongs to the Proceedings of The 14th European Nutrition Conference FENS 2023)
21 pages, 8185 KB  
Article
Mechanical Performance and Strengthening Mechanism of Polymer Concretes Reinforced with Carbon Nanofiber and Epoxy Resin
by Zhenfang Li, Aizhu Liu, Dong Gao, Chuanji Wu, Xin Liu and Haoran Zhai
Coatings 2023, 13(11), 1964; https://doi.org/10.3390/coatings13111964 - 17 Nov 2023
Cited by 2 | Viewed by 2252
Abstract
To address the issues of the brittleness, low tensile strength, insufficient bond strength, and reduced service life associated with ordinary cement concrete being used as a repair material, a water-based epoxy (WBE) and carbon-nanofiber-reinforced concrete composite repair material was designed, and the mechanical [...] Read more.
To address the issues of the brittleness, low tensile strength, insufficient bond strength, and reduced service life associated with ordinary cement concrete being used as a repair material, a water-based epoxy (WBE) and carbon-nanofiber-reinforced concrete composite repair material was designed, and the mechanical properties, bonding performance, and durability of the concrete modified using WBE and carbon fiber under various WBE contents were investigated and evaluated. In this paper, a self-emulsifying water-based epoxy curing agent with reactive, rigid, flexible, and water-soluble chains was obtained via chemical grafting, involving the incorporation of polyethylene glycol chain segments into epoxy resin molecules. The results demonstrated that a WBE has a contributing effect on improving the weak interfacial bond between the carbon fiber and concrete; moreover, the composite admixture of carbon fiber and WBE improves the mechanical properties and durability of concrete, in which the composite admixture of 1% carbon fiber and 10% WBE has the best performance. The flexural strength and chlorine ion permeability resistance of concrete were slightly reduced after more than 10% admixture, but bond strength, tensile strength, compressive strength, dry shrinkage resistance, and frost resistance were promoted. The addition of WBE significantly retards the cement hydration process while greatly improving the compactness and impermeability of the concrete. Furthermore, the combined effects of WBE and carbon fiber effectively prevented the generation and expansion of cracks. The interaction mechanism and microstructure evolution between the WBE, carbon fiber, and cement hydration were described by clarifying the mineral composition, organic–inorganic interactions, the evolution of the hydration products, and composite morphology at different scales. Carbon fiber and WBE exhibited synergistic effects on the tensile strength, ductility, and crack resistance of concrete. In the formed three-dimensional network structural system of concrete, the WBE formed an organic coating layer on the fiber surface and provided fiber protection as well as interfacial bonding reinforcement for the embedded cement particles. Full article
Show Figures

Figure 1

26 pages, 3202 KB  
Review
Recycling as a Key Enabler for Sustainable Additive Manufacturing of Polymer Composites: A Critical Perspective on Fused Filament Fabrication
by Antonella Sola and Adrian Trinchi
Polymers 2023, 15(21), 4219; https://doi.org/10.3390/polym15214219 - 25 Oct 2023
Cited by 23 | Viewed by 7179
Abstract
Additive manufacturing (AM, aka 3D printing) is generally acknowledged as a “green” technology. However, its wider uptake in industry largely relies on the development of composite feedstock for imparting superior mechanical properties and bespoke functionality. Composite materials are especially needed in polymer AM, [...] Read more.
Additive manufacturing (AM, aka 3D printing) is generally acknowledged as a “green” technology. However, its wider uptake in industry largely relies on the development of composite feedstock for imparting superior mechanical properties and bespoke functionality. Composite materials are especially needed in polymer AM, given the otherwise poor performance of most polymer parts in load-bearing applications. As a drawback, the shift from mono-material to composite feedstock may worsen the environmental footprint of polymer AM. This perspective aims to discuss this chasm between the advantage of embedding advanced functionality, and the disadvantage of causing harm to the environment. Fused filament fabrication (FFF, aka fused deposition modelling, FDM) is analysed here as a case study on account of its unparalleled popularity. FFF, which belongs to the material extrusion (MEX) family, is presently the most widespread polymer AM technique for industrial, educational, and recreational applications. On the one hand, the FFF of composite materials has already transitioned “from lab to fab” and finally to community, with far-reaching implications for its sustainability. On the other hand, feedstock materials for FFF are thermoplastic-based, and hence highly amenable to recycling. The literature shows that recycled thermoplastic materials such as poly(lactic acid) (PLA), acrylonitrile-butadiene-styrene (ABS), and polyethylene terephthalate (PET, or its glycol-modified form PETG) can be used for printing by FFF, and FFF printed objects can be recycled when they are at the end of life. Reinforcements/fillers can also be obtained from recycled materials, which may help valorise waste materials and by-products from a wide range of industries (for example, paper, food, furniture) and from agriculture. Increasing attention is being paid to the recovery of carbon fibres (for example, from aviation), and to the reuse of glass fibre-reinforced polymers (for example, from end-of-life wind turbines). Although technical challenges and economical constraints remain, the adoption of recycling strategies appears to be essential for limiting the environmental impact of composite feedstock in FFF by reducing the depletion of natural resources, cutting down the volume of waste materials, and mitigating the dependency on petrochemicals. Full article
(This article belongs to the Special Issue Polymer Composites in Waste Recycling)
Show Figures

Figure 1

Back to TopTop