Sign in to use this feature.

Years

Between: -

Subjects

remove_circle_outline
remove_circle_outline
remove_circle_outline
remove_circle_outline
remove_circle_outline
remove_circle_outline
remove_circle_outline
remove_circle_outline
remove_circle_outline

Journals

remove_circle_outline
remove_circle_outline
remove_circle_outline
remove_circle_outline
remove_circle_outline
remove_circle_outline

Article Types

Countries / Regions

remove_circle_outline
remove_circle_outline
remove_circle_outline
remove_circle_outline
remove_circle_outline
remove_circle_outline
remove_circle_outline
remove_circle_outline

Search Results (1,246)

Search Parameters:
Keywords = photovoltaic module system

Order results
Result details
Results per page
Select all
Export citation of selected articles as:
27 pages, 1537 KB  
Article
Improved Black-Winged Kite Algorithm for Sustainable Photovoltaic Energy Modeling and Accurate Parameter Estimation
by Sulaiman Z. Almutairi and Abdullah M. Shaheen
Sustainability 2026, 18(2), 731; https://doi.org/10.3390/su18020731 (registering DOI) - 10 Jan 2026
Abstract
Accurate modeling and parameter estimation of photovoltaic (PV) systems are vital for advancing energy sustainability and achieving global decarbonization goals. Reliable PV models enable better integration of solar resources into smart grids, improve system efficiency, and reduce maintenance costs. This aligns with the [...] Read more.
Accurate modeling and parameter estimation of photovoltaic (PV) systems are vital for advancing energy sustainability and achieving global decarbonization goals. Reliable PV models enable better integration of solar resources into smart grids, improve system efficiency, and reduce maintenance costs. This aligns with the vision of sustainable energy systems that combine intelligent optimization with environmental responsibility. The recently introduced Black-Winged Kite Algorithm (BWKA) has shown promise by emulating the predatory and migratory behaviors of black-winged kites; however, it still suffers from issues of slow convergence, limited population diversity, and imbalance between exploration and exploitation. To address these limitations, this paper proposes an Improved Black-Winged Kite Algorithm (IBWKA) that integrates two novel strategies: (i) a Soft-Rime Search (SRS) modulation in the attacking phase, which introduces a smoothly decaying nonlinear factor to adaptively balance global exploration and local exploitation, and (ii) a Quadratic Interpolation (QI) refinement mechanism, applied to a subset of elite individuals, that accelerates local search by fitting a parabola through representative candidate solutions and guiding the search toward promising minima. These dual enhancements reinforce both global diversity and local accuracy, preventing premature convergence and improving convergence speed. The effectiveness of the proposed IBWKA in contrast to the standard BWKA is validated through a comprehensive experimental study for accurate parameter identification of PV models, including single-, double-, and three-diode equivalents, using standard datasets (RTC France and STM6_40_36). The findings show that IBWKA delivers higher accuracy and faster convergence than existing methods, with its improvements confirmed through statistical analysis. Compared to BWKA and others, it proves to be more robust, reliable, and consistent. By combining adaptive exploration, strong diversity maintenance, and refined local search, IBWKA emerges as a versatile optimization tool. Full article
(This article belongs to the Special Issue Sustainable Renewable Energy: Smart Grid and Electric Power System)
Show Figures

Figure 1

26 pages, 2527 KB  
Article
Coordinated Scheduling of BESS–ASHP Systems in Zero-Energy Houses Using Multi-Agent Reinforcement Learning
by Jing Li, Yang Xu, Yunqin Lu and Weijun Gao
Buildings 2026, 16(2), 274; https://doi.org/10.3390/buildings16020274 - 8 Jan 2026
Abstract
This paper addresses the critical challenge of multi-objective optimization in residential Home Energy Management Systems (HEMS) by proposing a novel framework based on an Improved Multi-Agent Proximal Policy Optimization (MAPPO) algorithm. The study specifically targets the low convergence efficiency of Multi-Agent Deep Reinforcement [...] Read more.
This paper addresses the critical challenge of multi-objective optimization in residential Home Energy Management Systems (HEMS) by proposing a novel framework based on an Improved Multi-Agent Proximal Policy Optimization (MAPPO) algorithm. The study specifically targets the low convergence efficiency of Multi-Agent Deep Reinforcement Learning (MADRL) for coupled Battery Energy Storage System (BESS) and Air Source Heat Pump (ASHP) operation. The framework synergistically integrates an action constraint projection mechanism with an economic-performance-driven dynamic learning rate modulation strategy, thereby significantly enhancing learning stability. Simulation results demonstrate that the algorithm improves training convergence speed by 35–45% compared to standard MAPPO. Economically, it delivers a cumulative cost reduction of 15.77% against rule-based baselines, outperforming both Independent Proximal Policy Optimization (IPPO) and standard MAPPO benchmarks. Furthermore, the method maximizes renewable energy utilization, achieving nearly 100% photovoltaic self-consumption under favorable conditions while ensuring robustness in extreme scenarios. Temporal analysis reveals the agents’ capacity for anticipatory decision-making, effectively learning correlations among generation, pricing, and demand to achieve seamless seasonal adaptability. These findings validate the superior performance of the proposed centralized training architecture, providing a robust solution for complex residential energy management. Full article
28 pages, 4241 KB  
Article
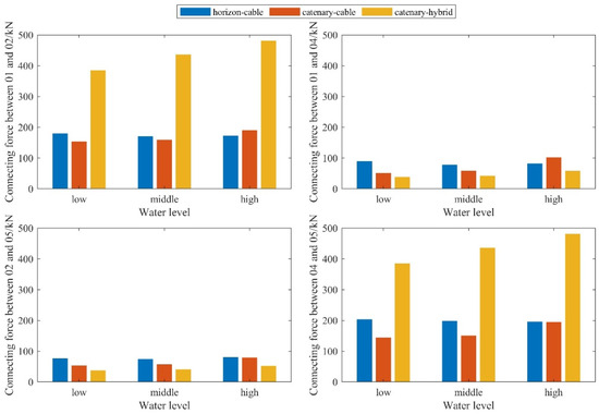
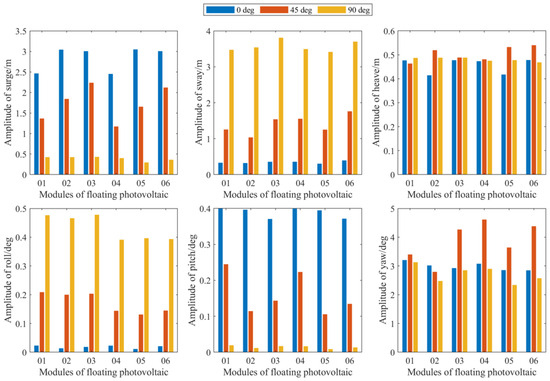
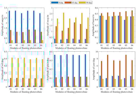
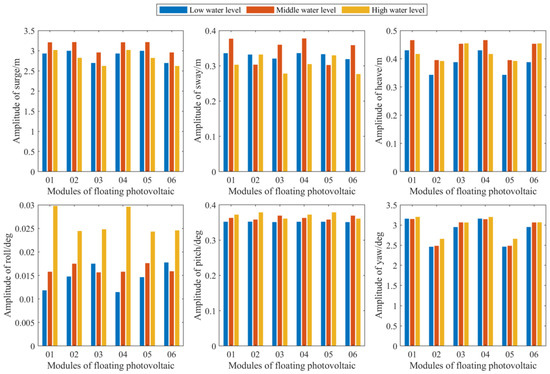
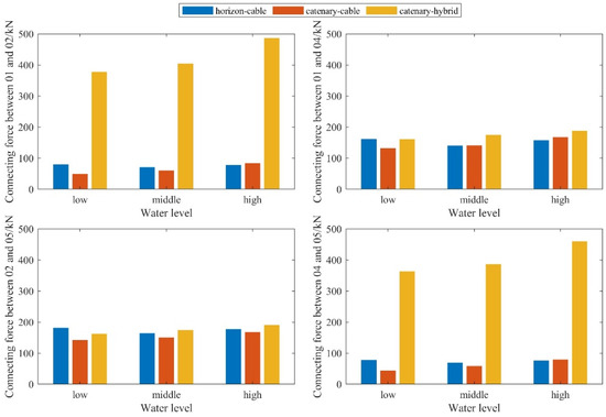
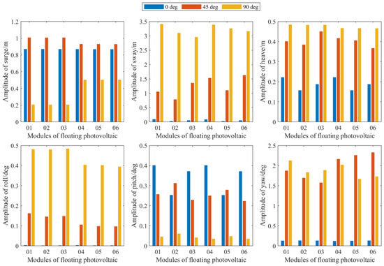
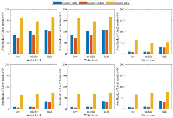
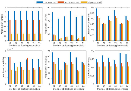
Coupled Responses and Performance Assessment of Mooring-Connection Systems for Floating Photovoltaic Arrays in Shallow Waters
by Xiao Wang, Shuqing Wang, Xiancang Song and Bingtao Song
J. Mar. Sci. Eng. 2026, 14(2), 117; https://doi.org/10.3390/jmse14020117 - 7 Jan 2026
Viewed by 89
Abstract
Offshore floating photovoltaic (FPV) platforms are usually deployed in shallow waters with large tidal variations, where the modules of FPV are connected with each other via the connectors to form an array and mounted to the seabed via the mooring system. Therefore, the [...] Read more.
Offshore floating photovoltaic (FPV) platforms are usually deployed in shallow waters with large tidal variations, where the modules of FPV are connected with each other via the connectors to form an array and mounted to the seabed via the mooring system. Therefore, the mooring system and module connectors have significant influence on the dynamic response characteristics of FPV. In targeting such shallow waters with large tidal ranges, this paper proposes four integrated mooring-connection schemes based on configuration and parameter customization guided by adaptability optimization, including two kinds of mooring systems, named as horizontal mooring system and catenary mooring system with clumps, and two kinds of connection schemes, named as cross-cable connection and hybrid connection, are proposed. The feasibility of the mooring systems to adhere to the tidal range and the influence of the connection schemes on the dynamic response of the FPV are numerically investigated in detail. Results indicate the two mooring systems have comparable positioning performance; horizontal mooring offers slightly better tidal adaptability but much higher mooring tension, compromising system safety. Hybrid connection yields smaller surge amplitudes than cross-cable connection but generates excessively large connection forces, also posing safety risks. Comprehensive comparison indicates that catenary mooring with clumps combined with cross-cable connection imposes lower requirements on platform structural safety factors, while horizontal mooring with cross-cable connection exhibits stronger adaptability to water level and environmental load direction changes in shallow waters. Full article
(This article belongs to the Special Issue Advanced Analysis of Ship and Offshore Structures)
Show Figures

Figure 1

20 pages, 5104 KB  
Article
A Novel Ultra-Short-Term PV Power Forecasting Method Based on a Temporal Attention-Variable Parallel Fusion Encoder Network
by Jinman Zhang, Zengbao Zhao, Rongmei Guo, Xue Hu, Tonghui Qu, Chang Ge and Jie Yan
Energies 2026, 19(1), 274; https://doi.org/10.3390/en19010274 - 5 Jan 2026
Viewed by 183
Abstract
Accurate photovoltaic (PV) power forecasting is critical for the stable operation of power systems. Existing methods rely solely on historical data, which significantly decline in forecasting accuracy at 3–4 h ahead. To address this problem, a novel ultra-short-term PV power forecasting method based [...] Read more.
Accurate photovoltaic (PV) power forecasting is critical for the stable operation of power systems. Existing methods rely solely on historical data, which significantly decline in forecasting accuracy at 3–4 h ahead. To address this problem, a novel ultra-short-term PV power forecasting method based on temporal attention-variable parallel fusion encoder network is proposed to enhance the stability of forecasting results by incorporating Numerical Weather Prediction data to correct temporal predictions. Specifically, independent encoding modules are constructed for both historical power sequences and future NWP sequences, enabling deep feature extraction of their respective temporal characteristics. During the decoding phase, a two-stage coupled decoding strategy is employed: for 1–8 steps predictions, the model relies solely on temporal features, while for 9–16 steps horizons, it dynamically fuses encoded information from historical power data and future NWP inputs. This approach allows for accurate characterization of future trend dynamics. Experimental results demonstrate that, compared with conventional methods, the proposed model reduces the average normalized root mean square error (NRMSE) at 4th ultra-short-term forecasting by 0.50–5.20%, while it improves the R2 by 0.047–0.362, validating the effectiveness of the proposed approach. Full article
(This article belongs to the Section A: Sustainable Energy)
Show Figures

Figure 1

28 pages, 7884 KB  
Article
Numerical Analysis of Deformation Behavior in the Double-Layer Flexible Photovoltaic Support Structure
by Xin Ye, Ming Luo, Hang Zou, Zhu Zhu, Ronglin Hong, Yehui Cui and Jiachen Zhao
Eng 2026, 7(1), 27; https://doi.org/10.3390/eng7010027 - 5 Jan 2026
Viewed by 175
Abstract
Flexible photovoltaic (PV) support systems, referring to cable-supported structural systems that carry conventional rigid PV modules rather than flexible thin-film modules, have attracted increasing attention as a promising solution for photovoltaic construction in complex terrains due to their advantages of broad-span design and [...] Read more.
Flexible photovoltaic (PV) support systems, referring to cable-supported structural systems that carry conventional rigid PV modules rather than flexible thin-film modules, have attracted increasing attention as a promising solution for photovoltaic construction in complex terrains due to their advantages of broad-span design and simplified installation. However, the deformation behavior of flexible PV supports remains insufficiently understood, which restricts its application and engineering optimization. To address this issue, a three-dimensional finite element model of a flexible PV support system was developed using an in-house Python code to investigate its deformation characteristics. The model discretizes the structure into beam and cable elements according to their mechanical properties, and the coupling relationship between their degrees of freedom is established by means of a multi-point constraint. The validation of the proposed model is confirmed by comparison with theoretical solutions. Simulation results reveal that the deformation of flexible PV supports is more sensitive to horizontal loads, indicating that their overall deformation performance is primarily governed by lateral rather than vertical loading. Furthermore, dynamic analyses show that higher loading frequencies induce noticeable torsional de-formation of the structure, which may compromise the stability of the PV panels. These findings provide valuable theoretical guidance for the design and optimization of flexible PV support systems deployed in complex terrains. Full article
Show Figures

Figure 1

21 pages, 2404 KB  
Article
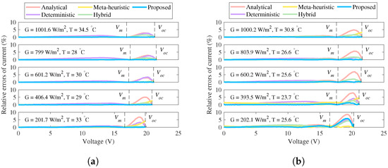
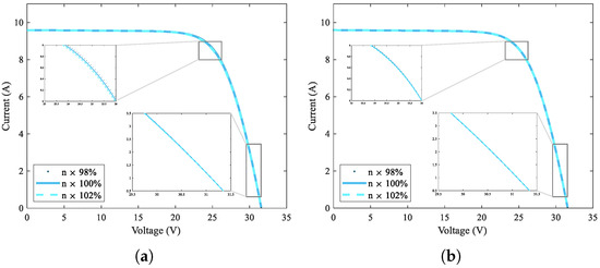
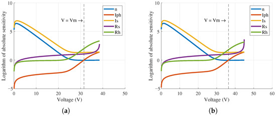
A Sensitivity-Inspired Parameter Identification Method for the Single-Diode Model of Photovoltaic Modules
by Yu Shen, Xiaojue Xue, Xinyi Chen, Chaoliu Tong, Shixiong Fang, Kanjian Zhang and Haikun Wei
Modelling 2026, 7(1), 12; https://doi.org/10.3390/modelling7010012 - 5 Jan 2026
Viewed by 235
Abstract
Parametrization of photovoltaic (PV) modules makes an important foundation for monitoring and fault diagnosis. This work focus on the sensitivity of parameters for the single-diode model (SDM), which fills the gap in existing research. The sensitivity analysis in this work provides a fundamentally [...] Read more.
Parametrization of photovoltaic (PV) modules makes an important foundation for monitoring and fault diagnosis. This work focus on the sensitivity of parameters for the single-diode model (SDM), which fills the gap in existing research. The sensitivity analysis in this work provides a fundamentally new perspective on understanding parameter robustness as well as the prior knowledge for the parameter identification method. Based on insights into the sensitivity analysis, a novel parameter identification method is proposed, which combines analytical expressions with the grid search algorithm. The proposed method reduces the relative error of the extracted parameters in the simulated dataset, and the quantitative improvement of the reverse saturation current is significant (12.6% average reduction). This method achieves the state-of-the-art overall performance in the measured dataset, and the Friedman test confirms that this improvement is statistically significant (p < 0.05). The transition capability of the proposed method is excellent under varying operating conditions, which implies that it has the potential to be applied to the intelligent operation and maintenance of photovoltaic systems. Full article
Show Figures

Graphical abstract

39 pages, 2355 KB  
Review
Life-Cycle Assessment of Innovative Industrial Processes for Photovoltaic Production: Process-Level LCIs, Scale-Up Dynamics, and Recycling Implications
by Kyriaki Kiskira, Nikitas Gerolimos, Georgios Priniotakis and Dimitrios Nikolopoulos
Appl. Sci. 2026, 16(1), 501; https://doi.org/10.3390/app16010501 - 4 Jan 2026
Viewed by 116
Abstract
The rapid commercialization of next-generation photovoltaic (PV) technologies, particularly perovskite, thin-film roll-to-roll (R2R) architectures, and tandem devices, requires robust assessment of environmental performance at the level of industrial manufacturing processes. Environmental impacts can no longer be evaluated solely at the device or module [...] Read more.
The rapid commercialization of next-generation photovoltaic (PV) technologies, particularly perovskite, thin-film roll-to-roll (R2R) architectures, and tandem devices, requires robust assessment of environmental performance at the level of industrial manufacturing processes. Environmental impacts can no longer be evaluated solely at the device or module level. Although many life-cycle assessment (LCA) studies compare silicon, cadmium telluride (CdTe), copper indium gallium selenide (CIGS), and perovskite technologies, most rely on aggregated indicators and database-level inventories. Few studies systematically compile and harmonize process-level life-cycle inventories (LCIs) for the manufacturing steps that differentiate emerging industrial routes, such as solution coating, R2R processing, atomic layer deposition, low-temperature annealing, and advanced encapsulation–metallization strategies. In addition, inconsistencies in functional units, system boundaries, electricity-mix assumptions, and scale-up modeling continue to limit meaningful cross-study comparison. To address these gaps, this review (i) compiles and critically analyzes process-resolved LCIs for innovative PV manufacturing routes across laboratory, pilot, and industrial scales; (ii) quantifies sensitivity to scale-up, yield, throughput, and electricity carbon intensity; and (iii) proposes standardized methodological rules and open-access LCI templates to improve reproducibility, comparability, and integration with techno-economic and prospective LCA models. The review also synthesizes current evidence on recycling, circularity, and critical-material management. It highlights that end-of-life (EoL) benefits for emerging PV technologies are highly conditional and remain less mature than for crystalline-silicon systems. By shifting the analytical focus from technology class to manufacturing process and life-cycle configuration, this work provides a harmonized evidence base to support scalable, circular, and low-carbon industrial pathways for next-generation PV technologies. Full article
(This article belongs to the Special Issue Life Cycle Assessment in Sustainable Materials Manufacturing)
Show Figures

Graphical abstract

18 pages, 3247 KB  
Article
Effects of Photovoltaic-Integrated Tea Plantation on Tea Field Productivity and Tea Leaf Quality
by Xin-Qiang Zheng, Xue-Han Zhang, Jian-Gao Zhang, Rong-Jin Zheng, Jian-Liang Lu, Jian-Hui Ye and Yue-Rong Liang
Agriculture 2026, 16(1), 125; https://doi.org/10.3390/agriculture16010125 - 3 Jan 2026
Viewed by 249
Abstract
Agrivoltaics integrates photovoltaic (PV) power generation with agricultural practices, enabling dual land-use and mitigating land-use competition between agriculture and energy production. China has 3.43 million hectares of tea fields, offering significant potential for PV-integrated tea plantations (PVtea) to address land scarcity in clean [...] Read more.
Agrivoltaics integrates photovoltaic (PV) power generation with agricultural practices, enabling dual land-use and mitigating land-use competition between agriculture and energy production. China has 3.43 million hectares of tea fields, offering significant potential for PV-integrated tea plantations (PVtea) to address land scarcity in clean energy development. This study aimed to investigate the impact of PV modules above tea bushes in PVtea on the yield and quality of tea, as well as tea plant resistance to environmental stresses. The PV system uses a single-axis tracking system with a horizontal north–south axis and ±45° tilt. It includes 70 UL-270P-60 polycrystalline solar panels (270 Wp each), arranged in 5 columns of 14 panels, spaced 4500 mm apart, covering 280 m2. The panels are mounted 2400 mm above the ground, with a total capacity of 18.90 kWp (656 kWp/ha). Tea yield, quality-related components, leaf photosystem II (PSII) activity, and plant resistance to environmental stresses were investigated in comparison to an adjacent open-field tea plantation (control). The mean photosynthetic active radiation (PAR) reaching the plucking table of PVtea was 52.9% of the control, with 32.0% of the control on a sunny day and 49.0% on a cloudy day, accompanied by an increase in ambient relative humidity. These changes alleviated the midday depression of leaf PSII activity caused by high light, resulting in a 9.3–15.3% increase in leaf yield. Moreover, PVtea summer tea exhibited higher levels of amino acids and total catechins, resulting in tea quality improvement. Additionally, PVtea enhanced the resistance of tea plants to frost damage in spring and heat stress in summer. PVtea integrates photovoltaic power generation with tea cultivation practices, which not only facilitates clean energy production—an average annual generation of 697,878.5 kWh per hectare—but also increases tea productivity by 9.3–15.3% and the land-use equivalence ratio (LER) by 70%. Full article
(This article belongs to the Special Issue Advanced Cultivation Technologies for Horticultural Crops Production)
Show Figures

Graphical abstract

19 pages, 10771 KB  
Article
When Analog Electronics Extends Solar Life: Gate-Resistance Retuning for PV Reuse
by Euzeli C. dos Santos, Yongchun Ni, Fabiano Salvadori and Haitham Kanakri
Processes 2026, 14(1), 146; https://doi.org/10.3390/pr14010146 - 1 Jan 2026
Viewed by 309
Abstract
This paper proposes an analog retuning strategy that strengthens the functional longevity of photovoltaic (PV) systems operating within circular-economy environments. Although PV modules can be relocated from large generation sites to low-demand rural or remote settings, their electrical behavior offers no adjustable quantities [...] Read more.
This paper proposes an analog retuning strategy that strengthens the functional longevity of photovoltaic (PV) systems operating within circular-economy environments. Although PV modules can be relocated from large generation sites to low-demand rural or remote settings, their electrical behavior offers no adjustable quantities capable of extending service duration. In many cases, even after formal disposal or decommissioning, these solar panels still retain a considerable portion of their energy-generation capability and can operate for many additional years before their output becomes negligible, making second-life deployment both technically viable and economically attractive. In contrast, the associated power-electronic converters contain modifiable gate-driver parameters that can be reconfigured to moderate transient phenomena and lessen device stress. The method introduced here adjusts the external gate resistance in conjunction with coordinated switching-frequency adaptation, reducing overshoot, ringing, and steep dv/dt slopes while preserving the original switching-loss budget. A unified analytical framework connects stress mitigation, ripple evolution, and projected lifetime enhancement, demonstrating that deliberate analog tuning can substantially increase the endurance of aged semiconductor hardware without compromising suitability for second-life PV applications. Analytical results are supported by experimental validation, including hardware measurements of switching waveforms and energy dissipation under multiple gate-resistance configurations. Full article
Show Figures

Figure 1

19 pages, 16366 KB  
Article
A Supplementary Damping Control of D-STATCOM for Alleviating SSO in Photovoltaic Generation Integrated into Weak AC Grid
by Qichao Chen, Nan Wei, Zhidong Wang, Zhi An, Peng Tao and Yiqi Liu
Energies 2026, 19(1), 234; https://doi.org/10.3390/en19010234 - 31 Dec 2025
Viewed by 208
Abstract
The interaction between the Photovoltaic station and the weak grid can easily trigger sub- or super-synchronous oscillation (SSO). In this article, the equivalent impedance model of the photovoltaic grid-connected system is built, and the mechanism of SSO is analyzed based on the global [...] Read more.
The interaction between the Photovoltaic station and the weak grid can easily trigger sub- or super-synchronous oscillation (SSO). In this article, the equivalent impedance model of the photovoltaic grid-connected system is built, and the mechanism of SSO is analyzed based on the global admittance criterion (GA). To mitigate the SSO, a Distribution Static Synchronous Compensator (D-STATCOM) supplementary damping control (SDC) strategy is proposed, which uses a three-parameter notch filter to extract the sub- or super-synchronous harmonic component without a phase shift. The component is superimposed on the modulated wave of the D-STATCOM through the gain link to obtain the modulation instruction. At the sub- or super-synchronous frequency, the D-STATCOM can be equivalent to the parallel impedance in the system and play a role in suppressing the sub- or super-synchronous oscillation. Compared to the complex combination filters in the traditional SDC, which require phase compensation and have poor adaptability, the three-parameter notch filter used in this SDC does not need a phase compensation stage and can effectively cope with the presence of oscillation frequencies on both sides of the fundamental frequency with a simpler design. Simulation results prove that the proposed scheme effectively improves the stability of photovoltaic generation under different short-circuit ratios, irradiance levels, and fault conditions. The proposed solution can be applied to photovoltaic generation equipped with D-STATCOM. Full article
Show Figures

Figure 1

19 pages, 3905 KB  
Article
Multi-Frequency Small-Signal Modeling of TCM Inverters Considering the Joint Effects of Duty Cycle and Variable Switching Frequency
by Mingqian Chen and Qingsong Wang
Energies 2026, 19(1), 235; https://doi.org/10.3390/en19010235 - 31 Dec 2025
Viewed by 208
Abstract
With the increasing demand for high efficiency and high power density in photovoltaic power generation, triangular current mode (TCM) control has garnered significant attention due to its capability to achieve zero voltage switching (ZVS) for switches. However, TCM is inherently a variable-frequency control [...] Read more.
With the increasing demand for high efficiency and high power density in photovoltaic power generation, triangular current mode (TCM) control has garnered significant attention due to its capability to achieve zero voltage switching (ZVS) for switches. However, TCM is inherently a variable-frequency control method. Traditional modeling approaches based on fixed-frequency assumptions neglect the non-linear characteristics and sideband effects introduced by frequency variations, failing to accurately describe the dynamic behavior of the system. This paper proposes a multi-frequency small-signal modeling method tailored for TCM inverters. Small-signal models characterizing the impact of duty cycle perturbations and frequency modulation perturbations on the output voltage are derived, and the joint effect of both the duty cycle and switching frequency is analyzed. On this basis, a loop gain expression incorporating sideband frequency components is derived using Mason’s gain formula. Finally, the proposed model is verified through simulation. The results demonstrate that, compared with the multi-frequency model, which only considers the effect of duty cycle control, the proposed multi-frequency model can more accurately predict the dynamic response of TCM inverters across a wide frequency range, providing a precise theoretical basis for the control system design of variable-frequency inverters. Full article
Show Figures

Figure 1

27 pages, 659 KB  
Article
A New Approach to Assessing Photovoltaic Module Enhancers for Optimal Lifespan, Area and Cost Efficiency
by Sakhr M. Sultan and Tso Chih Ping
Sustainability 2026, 18(1), 404; https://doi.org/10.3390/su18010404 - 31 Dec 2025
Viewed by 158
Abstract
A comprehensive assessment of photovoltaic (PV) enhancement technologies requires a metric that incorporates not only performance gains but also economic viability and system compatibility. This paper introduces the Lifespan-, Surface-area-, and Cost-Adjusted Effectiveness factor (FLSCAE), a [...] Read more.
A comprehensive assessment of photovoltaic (PV) enhancement technologies requires a metric that incorporates not only performance gains but also economic viability and system compatibility. This paper introduces the Lifespan-, Surface-area-, and Cost-Adjusted Effectiveness factor (FLSCAE), a novel multi-dimensional indicator designed to evaluate the overall effectiveness of PV enhancers—such as passive and active coolers—by jointly accounting for lifespan alignment, spatial integration, and cost-to-performance trade-offs. Unlike conventional performance metrics, FLSCAE captures the interdependence between technical and economic parameters by integrating the enhancer’s contribution to net power output, its operational lifespan relative to the PV module, its physical area relative to the PV surface, and the manufacturing cost in relation to the cost per watt of PV power. A series of analytical case studies were conducted involving four PV cooler patterns with varying power outputs, costs, sizes, and lifespans. The findings demonstrate that FLSCAE is highly sensitive to power enhancement and cost fluctuations, and it penalizes oversizing or lifespan mismatches. Furthermore, the minimum threshold effectiveness (FLSCAE,min), derived from the ratio of actual to maximum PV output under standard test conditions, provides a robust baseline for determining system viability. The proposed metric proves to be a reliable and scalable tool for the comparative evaluation of PV enhancement strategies. It enables stakeholders to make informed decisions about design optimization, financial planning, and policy formulation. FLSCAE serves as a critical advancement in PV performance analysis, offering a unified framework to assess not only energy gain but also the practicality and sustainability of PV enhancement technologies. Full article
Show Figures

Figure 1

14 pages, 3619 KB  
Article
Multifunctional Benzene-Based Solid Additive for Synergistically Boosting Efficiency and Stability in Layer-by-Layer Organic Photovoltaics
by Junchen Li, Peng He, Wuchao Xie, Yujie Xie, Yongquan Fu, Shutian Huang, Guojuan Lai, Zhen Wang, Fujun Zhang and Xixiang Zhu
Energies 2026, 19(1), 211; https://doi.org/10.3390/en19010211 - 31 Dec 2025
Viewed by 183
Abstract
The realization of desirable vertical phase separation, enabled by sequential processing that allows for the separate deposition and targeted regulation of donor and acceptor components to construct a well-defined donor–acceptor (D-A) interface, serves as a pivotal factor governing the performance of layer-by-layer organic [...] Read more.
The realization of desirable vertical phase separation, enabled by sequential processing that allows for the separate deposition and targeted regulation of donor and acceptor components to construct a well-defined donor–acceptor (D-A) interface, serves as a pivotal factor governing the performance of layer-by-layer organic photovoltaics (LOPVs). This study explores the utility of 4-trifluoromethyl benzoic anhydride (4-TBA), a multifunctional benzene-based solid additive, in the PM6/L8-BO LOPV system, focusing on its role in regulating the vertical phase separation of donor-PM6 and acceptor-L8-BO components to form a well-structured D-A interface. To this end, 4-TBA is doped into the donor-PM6 layer, acceptor-L8-BO layer, or both layers, and its effects on device performance are systematically characterized. The results show that simultaneous doping of 0.05 wt% 4-TBA in both PM6 and L8-BO layers yields the optimal performance, with the power conversion efficiency reaching 18.49% compared to the pristine device with a PCE of 17.05%, and this is accompanied by a significant increase in short-circuit current density from 24.71 mA/cm2 to 26.65 mA/cm2. Additionally, the optimal devices exhibit better stability, as unencapsulated devices retain 76% of their initial PCE after 175 h under ambient conditions compared to 73% for the devices without 4-TBA doping. Essentially, solid additive 4-TBA modulates molecular packing via its interaction between the donor and acceptor molecules and enhances molecular aggregation and hydrophobicity, thereby suppressing bimolecular and trap-assisted recombination, reducing trap density of states, and forming favorable interpenetrating networks. This work validates 4-TBA, which contains benzene rings and other functional groups, as a versatile additive suitable for the LOPV system and offers a generalizable strategy for optimizing LOPV performance by leveraging multifunctional solid additives. Full article
(This article belongs to the Section A2: Solar Energy and Photovoltaic Systems)
Show Figures

Figure 1

19 pages, 1730 KB  
Article
Optimizing EV Battery Charging Using Fuzzy Logic in the Presence of Uncertainties and Unknown Parameters
by Minhaz Uddin Ahmed, Md Ohirul Qays, Stefan Lachowicz and Parvez Mahmud
Electronics 2026, 15(1), 177; https://doi.org/10.3390/electronics15010177 - 30 Dec 2025
Viewed by 175
Abstract
The growing use of electric vehicles (EVs) creates challenges in designing charging systems that are smart, dependable, and efficient, especially when environmental conditions change. This research proposes a fuzzy-logic-based PID control strategy integrated into a photovoltaic (PV) powered EV charging system to address [...] Read more.
The growing use of electric vehicles (EVs) creates challenges in designing charging systems that are smart, dependable, and efficient, especially when environmental conditions change. This research proposes a fuzzy-logic-based PID control strategy integrated into a photovoltaic (PV) powered EV charging system to address uncertainties such as fluctuating solar irradiance, grid instability, and dynamic load demands. A MATLAB-R2023a/Simulink-R2023a model was developed to simulate the charging process using real-time adaptive control. The fuzzy logic controller (FLC) automatically updates the PID gains by evaluating the error and how quickly the error is changing. This adaptive approach enables efficient voltage regulation and improved system stability. Simulation results demonstrate that the proposed fuzzy–PID controller effectively maintains a steady charging voltage and minimizes power losses by modulating switching frequency. Additionally, the system shows resilience to rapid changes in irradiance and load, improving energy efficiency and extending battery life. This hybrid approach outperforms conventional PID and static control methods, offering enhanced adaptability for renewable-integrated EV infrastructure. The study contributes to sustainable mobility solutions by optimizing the interaction between solar energy and EV charging, paving the way for smarter, grid-friendly, and environmentally responsible charging networks. These findings support the potential for the real-world deployment of intelligent controllers in EV charging systems powered by renewable energy sources This study is purely simulation-based; experimental validation via hardware-in-the-loop (HIL) or prototype development is reserved for future work. Full article
(This article belongs to the Special Issue Data-Related Challenges in Machine Learning: Theory and Application)
Show Figures

Figure 1

34 pages, 4272 KB  
Review
Toward Low-Carbon Buildings: Breakthroughs and Challenges in PV–Storage–DC–Flexibility System
by Qihang Jin and Wei Lu
Energies 2026, 19(1), 197; https://doi.org/10.3390/en19010197 - 30 Dec 2025
Viewed by 292
Abstract
The photovoltaic–energy storage–direct current–flexibility (PEDF) system provides an integrated pathway for low-carbon and intelligent building energy management by combining on-site PV generation, electrical storage, DC distribution, and flexible load control. This paper reviews recent advances in these four modules and synthesizes quantified benefits [...] Read more.
The photovoltaic–energy storage–direct current–flexibility (PEDF) system provides an integrated pathway for low-carbon and intelligent building energy management by combining on-site PV generation, electrical storage, DC distribution, and flexible load control. This paper reviews recent advances in these four modules and synthesizes quantified benefits reported in real-world deployments. Building-scale systems typically integrate 20–150 kW PV and achieve ~10–18% energy-efficiency gains enabled by DC distribution. Industrial-park deployments scale to 500 kW–5 MW, with renewable self-consumption often exceeding 50% and CO2 emissions reductions of ~40–50%. Community-level setups commonly report 10–15% efficiency gains and annual CO2 reductions on the order of tens to hundreds of tons. Key barriers to large-scale adoption are also discussed, including multi-energy coordination complexity, high upfront costs and uncertain business models, limited user engagement, and gaps in interoperability standards and supportive policies. Finally, we outline research and deployment priorities toward open and interoperable PEDF architectures that support cross-sector integration and accelerate the transition toward carbon-neutral (and potentially carbon-negative) built environments. Full article
Show Figures

Figure 1

Back to TopTop