Next Article in Journal
A Supplementary Damping Control of D-STATCOM for Alleviating SSO in Photovoltaic Generation Integrated into Weak AC Grid
Previous Article in Journal
Research on a Universal Analytical Thermal Circuit Model for Civil Electric Cables
Previous Article in Special Issue
Research on Coupled Inductor Interleaved High Step-Up DC-DC Converter
 
 
Font Type:
Arial Georgia Verdana
Font Size:
Aa Aa Aa
Line Spacing:
Column Width:
Background:
Article

Multi-Frequency Small-Signal Modeling of TCM Inverters Considering the Joint Effects of Duty Cycle and Variable Switching Frequency

School of Electrical Engineering, Southeast University, Nanjing 210096, China
*
Author to whom correspondence should be addressed.
Energies 2026, 19(1), 235; https://doi.org/10.3390/en19010235
Submission received: 16 December 2025 / Revised: 25 December 2025 / Accepted: 26 December 2025 / Published: 31 December 2025

Abstract

With the increasing demand for high efficiency and high power density in photovoltaic power generation, triangular current mode (TCM) control has garnered significant attention due to its capability to achieve zero voltage switching (ZVS) for switches. However, TCM is inherently a variable-frequency control method. Traditional modeling approaches based on fixed-frequency assumptions neglect the non-linear characteristics and sideband effects introduced by frequency variations, failing to accurately describe the dynamic behavior of the system. This paper proposes a multi-frequency small-signal modeling method tailored for TCM inverters. Small-signal models characterizing the impact of duty cycle perturbations and frequency modulation perturbations on the output voltage are derived, and the joint effect of both the duty cycle and switching frequency is analyzed. On this basis, a loop gain expression incorporating sideband frequency components is derived using Mason’s gain formula. Finally, the proposed model is verified through simulation. The results demonstrate that, compared with the multi-frequency model, which only considers the effect of duty cycle control, the proposed multi-frequency model can more accurately predict the dynamic response of TCM inverters across a wide frequency range, providing a precise theoretical basis for the control system design of variable-frequency inverters.

1. Introduction

With the maturation and efficiency improvement of wind and photovoltaic (PV) technologies, renewable energy is poised to become a pivotal force in “carbon substitution.” According to estimates by BP (British Petroleum), the costs of wind and PV power are projected to decrease by 20–25% and 40–55%, respectively, by 2030 [1]. Solar energy resources are among the most widely distributed clean energy sources on Earth. Consequently, PV power generation is less affected by geographical limitations, allowing for local power generation and avoiding energy losses associated with long-distance transmission. Furthermore, solar power components are relatively stable in operation and have a long service life. Therefore, the PV power generation industry has broad development prospects and can play an important role in the process of carbon neutrality [2,3].
As a crucial component of PV power generation, the inverter determines whether clean energy can be utilized efficiently. Currently, the mainstream modulation method for inverters is fixed-frequency SPWM, which typically operates in continuous conduction mode (CCM). An inverter can be viewed as a synchronous rectification Buck converter. In CCM, the active switches cannot achieve zero voltage switching (ZVS) turn-on. This limits the increase in the switching frequency, resulting in passive components such as inductors often occupying a large volume, making it difficult to further improve power density.
Driven by the trend towards high frequency and high power density in power electronic devices, soft-switching technology for full-bridge inverters has attracted increasing attention. Marxgut et al. first proposed the triangular current mode (TCM) control method [4]. Based on the critical conduction mode (CRM), this control method introduces an additional negative inductor current to provide more energy for resonance, replacing the valley switching. It was applied to PFC to reduce switching losses. A quasi-constant frequency TCM technique for PFC was proposed in [5], which extends the turn-on and turn-off times and increases the inductor current ripple, thereby narrowing the variation range of the switching frequency. The primary advantage of TCM lies in its ability to achieve ZVS turn-on for the active switches, thereby significantly reducing switching losses and electromagnetic interference (EMI). In a typical TCM switching cycle, the turn-on instant of the active switch is purposely delayed. This allows the inductor current to reverse direction and reach a sufficient negative magnitude, Ineg, which extracts the charge from the parasitic output capacitance, Coss, of the MOSFETs, discharging the drain–source voltage to zero before the gate signal is applied.
The TCM control method is universally applicable to bridge topologies; therefore, an increasing number of studies have applied it to inverters to achieve ZVS turn-on without auxiliary components [6,7,8,9,10]. This control method allows switches to operate at frequencies of hundreds of kHz. Due to the larger inductor ripple, the volume of the inductor can be significantly reduced, improving power density. The efficiency under three TCM modes was analyzed (constant reverse current, variable reverse current, and constant hysteretic band) at different current magnitudes, and a dual-region modulation method was proposed, which effectively reduced the switching frequency near the zero-crossing point and lowered switching losses [11]. TCM control involves relatively high frequencies, which can lead to hardware interference and delay issues. Sabi et al. proposed hardware improvement schemes to address this [12,13]. Haider proposed the S-TCM modulation method, which makes the current envelope boundary a continuous sine curve, avoiding problems caused by switching regions during the control process, reducing the variation range of the switching frequency [14]. He also proposed various current boundaries under light load conditions and compared their losses horizontally. A hybrid control method of quasi-constant frequency TCM was presented in [15,16]. By optimizing the shape of the inductor current envelope, the switching frequency variation range and light load efficiency were reduced. In order to reduce the additional conduction loss of the body diode caused by excessive dead time, an adaptive dead-time TCM control strategy was studied in [17].
Currently, small-signal modeling for inverters has been extensively studied, primarily focusing on traditional fixed-frequency control schemes [18]. Among these, the State-Space Averaging (SSA) method is the most widely adopted approach due to its simplicity and clear physical insight [19,20]. Based on the small-ripple assumption, this method averages the state variables of each switching cycle for modeling. Through state averaging, the H-bridge can be regarded as a constant proportional gain. This approach significantly simplifies the model complexity and provides high accuracy in the low-frequency range, typically well below half of the switching frequency. When modeling the H-bridge, delay or first-order inertial parts can also be added based on this model to approximate modulation delays [21]. However, this modeling method ignores the sample-and-hold effects of the modulator, leading to larger errors when the control bandwidth approaches the switching frequency.
It is worth noting that the investigation of dynamic coupling effects under multi-frequency or alternating-current excitation is a fundamental challenge attracting significant attention across diverse physical and engineering domains [22,23,24,25]. In the specific context of power electronics, to address the inaccuracies of average models in the high-frequency domain, multi-frequency small-signal models have been introduced to analyze the stability of fixed-frequency modulation inverters [26]. These advanced models explicitly account for the characteristics of the modulation stage. Fundamentally, the pulse width modulation (PWM) process acts as a non-linear sampler, regardless of whether the control implementation is analog or digital. A perturbation at a baseband frequency, ωp, interacts with the carrier signal, generating infinite sideband harmonics at frequencies ωp + s (where l is an integer). Especially in closed-loop operations, these high-frequency sideband components do not simply vanish; instead, they are coupled back into the baseband frequency through the feedback loop, creating aliasing effects where high-frequency spectral components fold back into the lower frequency, which alter the effective loop gain [27]. While the multi-frequency modeling framework is theoretically capable of capturing these dynamics, existing research has predominantly focused on its application to fixed-frequency inverters. Consequently, the specific implementation of this methodology for variable-frequency inverters—particularly for TCM, where the switching frequency is inherently coupled with the duty cycle—remains a gap in the current literature.
However, the modeling of TCM inverters presents a unique challenge. Unlike standard PWM schemes, TCM is inherently a variable-frequency control strategy where the switching frequency varies continuously with the duty cycle over the AC line period. This creates a complex coupling mechanism: a duty cycle perturbation in the control loop not only directly modulates the bridge arm output voltage but also induces a simultaneous variation in the switching frequency. This frequency modulation effect introduces an additional non-linear perturbation path that superimposes onto the output voltage dynamics. Standard SSA methods, which average out frequency information, and traditional multi-frequency models, which assume a fixed carrier frequency, both fail to capture this joint effect of duty cycle and frequency variation. Therefore, a dedicated multi-frequency modeling approach tailored for variable-frequency operation is needed to accurately describe the dynamic behavior of TCM inverters.
This paper is organized as follows: Section 2 elucidates the fundamental operating principles of TCM inverters and analyzes the characteristics of three typical control strategies (traditional TCM, B-TCM, and S-TCM). Section 3 derives the multi-frequency small-signal model considering the joint perturbation effects of duty cycle and switching frequency, quantifying the impact of aliasing caused by frequency modulation on the loop gain. Section 4 validates the proposed model through high-fidelity circuit simulations and discusses the frequency domain response characteristics of the loop gain in detail. Finally, Section 5 concludes this paper.

2. Introduction to TCM Control Strategy

The main research object of this paper is Average Current Mode TCM control. The control block diagram is shown in Figure 1 (block diagram of Average Current Mode TCM control).
Under TCM control, since the capacitor mainly filters out high-frequency ripples and has a low capacitance value, the line-frequency current flowing through the capacitor can be approximated as zero. Therefore, the average value of the inductor current is approximately equal to the load current. To ensure that the zero-crossing triangular current always exists, the inductor current ripple is constrained within a certain envelope.
Using different types of ripple variation laws in control determines different envelope shapes. This section will compare and analyze three typical control methods and their corresponding inductor current envelope shapes.
Traditional TCM: TCM was first applied to PFC control. Traditional TCM control maintains the negative inductor current at a constant value. The inductor current envelope is in the shape of a “bun” (or dome), as shown in Figure 2, where iL is the inductor current, iavg is the average inductor current, and ibound represents the upper and lower envelope boundaries of the inductor current (a very low switching frequency is used in the figure to clearly demonstrate the dense distribution of the triangular inductor current).
B-TCM: Frequency-limiting processing is applied to traditional TCM. Fixed-frequency modulation at the maximum switching frequency is used where the switching frequency is highest. Therefore, the final current hysteresis bandwidth will increase in the frequency-limited region, and the current ripple at the zero-crossing point of the average inductor current will be larger, as shown in Figure 3.
S-TCM: A constant current hysteresis bandwidth is maintained, so the inductor current envelope boundary is a continuous sine curve, as shown in Figure 4. The controller calculation load is small. At the same time, the loop width of this control method is constant, and there is no need to account for the phase of the average inductor current, so there is no phase error caused by ignoring the capacitor line-frequency current.
Different envelope shapes affect the variation range of the switching frequency. Therefore, different types of TCM control have different switching frequency variation characteristics, which will be analyzed in this section.
Since the dead time is very small compared to the switching period, the influence of dead time is ignored in the steady-state analysis. Therefore, a switching cycle can be regarded as the following process:
V dc V ac L t on = Δ i L
where Vac represents the output AC voltage, which can be considered a constant value during the switching cycle. Moreover, L represents the inverter-side inductor of the passive filter, and ΔiL is the peak-to-peak value of the inductor current ripple.
The expression for turn-on time, ton, can be derived as follows:
t on = Δ i L L V dc V ac
When the switch is turned off, the circuit can similarly be regarded as a process where a DC source with a voltage of VdcVac charges the inductor. The inductor current falls linearly. The turn-off time, toff, can be calculated using the following formula:
t off = Δ i L L V dc + V ac
Then, the switching frequency, fs, under S-TCM control is:
f s = 1 t on + t off = V dc 2 V ac 2 2 Δ i L L V dc
Under the bipolar modulation strategy, the steady-state input–output relationship of the full-bridge topology is as follows, where D is the duty cycle:
V ac = 2 D 1 V dc
Substituting into the switching frequency expression, we can obtain
f s = 2 D 1 D V dc Δ i L L
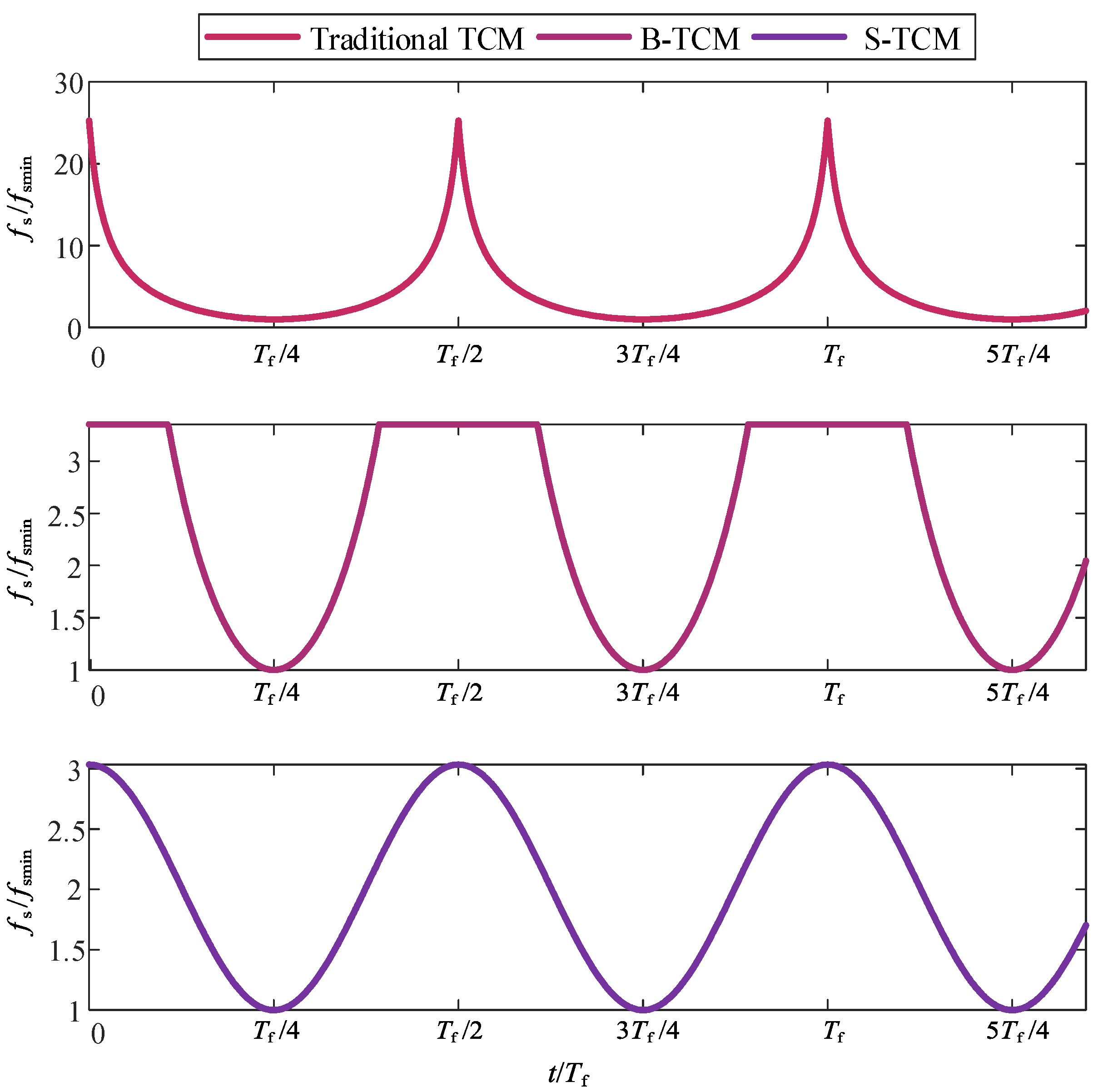
The switching frequency, fs, takes the maximum value at the zero-crossing of the reference voltage and the minimum value at the fundamental peak. The variation frequency is twice the fundamental frequency. Figure 5 shows the variation of switching frequency with time for different types of TCM control when the inductor L = 180 μH, current variation ΔiL = 5 A, Vdc = 380 V, and the minimum switching frequency remains unchanged.
From the figure, it can be seen that with the same parameter values, traditional TCM control has the disadvantage of an excessively large frequency variation range, with the maximum switching frequency being more than twenty times the minimum frequency. This increases the difficulty of output filter design. At the same time, excessively high switching frequencies increase switching losses, which is detrimental to efficiency improvement.
The logic of B-TCM control is that when the frequency is higher than the set maximum value, maintain the set maximum frequency for fixed-frequency modulation. By limiting the frequency amplitude, the range of switching frequency variation is reduced.
The S-TCM control method reduces the variation range of the switching frequency by keeping the hysteresis bandwidth of the inductor current constant.
These three modes represent the most distinct trade-offs between efficiency and control complexity in current industrial applications. Traditional TCM serves as the baseline, while B-TCM and S-TCM represent improved control implementation. Analyzing these three covers the majority of practical operating scenarios for variable-frequency inverters.

3. Small-Signal Modeling of TCM Inverters

In [28], the multi-frequency small-signal model of the bridge structure in resonant converters has been derived. Although the overall modeling approach is similar, the situation for PWM converters differs to some extent; therefore, a detailed derivation will be presented in this section and Appendix A.

3.1. Transfer Function from Duty Cycle Perturbation to Inverter Bridge Output Voltage

For a bipolar modulation rising carrier Vc with a peak value Vm. The steady-state duty cycle signal is D, and the modulation signal is Vmod. When there is a perturbation in the modulation signal, it can be written as:
v mod t = V mod + v ^ mod = V mod + V ^ mod cos ω p t + θ mod
From the geometric relationship, the magnitude of the duty cycle perturbation is
d ^ = v ^ mod t V m
The duty cycle perturbation can be viewed as an impulse sequence d ^ Ts, as presented in Figure 6. Therefore, the time-domain signal of the duty cycle perturbation can be expressed as:
v ^ d t = d ^ T s n = + δ t n T s D T s = v ^ mod t V m T s n = + δ t n T s D T s = V ^ mod T s V m cos ω p t + θ mod n = + δ t n T s D T s
Under bipolar modulation, the time-domain expression of the bridge arm output voltage, VAB(t), can be expressed as:
V AB t = V dc , V d t = 1 V dc , V d t = 0
After adding the perturbation, v ^ d(t), the perturbation v ^ AB(t) of VAB(t) is as follows:
v ^ AB t = 2 V dc v ^ d t = 2 V ^ mod V dc T s V m cos ω p t + θ mod n = + δ t n T s D T s
It can be seen that v ^ AB(t) has two aliased frequency components, ωp and ωs, corresponding to the perturbation and carrier frequencies, respectively. Since these two frequencies are independent variables, a double Fourier series expansion is required for analysis. Let θp = ωp t, and θs = ωs t. The coefficient is given by the equation below.
v ^ AB j ω p + l ω s = 1 2 π 2 0 2 π 0 2 π v ^ AB θ p , θ s e j θ p e j l θ s d θ p d θ s = 2 V ^ mod V dc T s V m 0 2 π 1 2 π cos θ p + θ mod e j θ p d θ p 0 2 π 1 2 π δ θ s ω s D T s e j l θ s d θ s
The Dirac delta function satisfies the following property:
δ θ s ω s D T s = ω s δ θ s D T s ω s = ω s δ θ s 2 π D
Substituting the expression and integrating yields:
v ^ AB j ω p + l ω s = 2 V ^ mod V dc T s V m 1 2 e j θ mod 1 T s e j l 2 π D = V ^ mod V dc V m e j θ mod e j l 2 π D
Considering that the amplitude of the voltage modulation signal at frequency ωp is V ^ mod emod, according to (14), we can derive:
v ^ mod j ω p d ^ j ω p = 1 V m
Combining equations, the transfer function from the duty cycle perturbation at frequency ωp to the perturbation of v ^ AB at sideband frequency ωp + s can be obtained:
v ^ AB j ω p + l ω s d ^ j ω p = 2 V dc e j l 2 π D

3.2. Transfer Function from Frequency Perturbation to Inverter Bridge Output Voltage

Similar to (7), the frequency perturbation signal can be expressed as
f mod t = F mod + f ^ mod = F mod + F ^ mod cos ω p t + θ fmod
where Fmod is the steady-state frequency modulation signal, and F ^ mod is the perturbation of the frequency signal.
The duty cycle perturbation caused by frequency modulation appears as a series of alternating positive and negative narrow square waves, as shown in Figure 7. The positive square wave pulse are formed at the intersection moment of the carrier and the modulation wave Vmod, and the negative square wave pulse is formed at the end of the carrier period. Vd represents the square wave generated by PWM comparator without frequency modulation, while the carrier is Vc. After the frequency perturbation is introduced, the square wave and carrier are respectively denoted as vd and vc.
The expression for t ^ k can be approximated as:
t ^ k F ^ ω p F mod sin ω p T k + θ fmod sin θ fmod
For more details, a step-by-step derivation of t ^ k has been presented in Appendix A. As shown in the figure, the perturbation signal manifests in the time domain as a train of narrow square wave pulses. Similar to the derivation for duty cycle perturbation, these square wave pulses can be approximated as equivalent-area impulse signals:
v ^ d t = t ^ k δ t T k 1 k + 1 = t ^ 2 k + 1 δ t k T s D T s t ^ 2 k δ t k T s = F ^ ω p F mod sin ω p T 2 k + 1 + θ fmod sin θ fmod δ t k T s D T s + F ^ ω p F mod sin ω p T 2 k + θ fmod sin θ fmod δ t k T s
According to the sampling property of the impulse function,
f T d δ t T d = f t δ t T d
Equation (19) can be further written as:
v ^ d t = t ^ k δ t T k 1 k + 1 = t ^ 2 k + 1 δ t k T s D T s t ^ 2 k δ t k T s = F ^ ω p F mod sin ω p t + θ fmod sin θ fmod δ t k T s D T s δ t k T s
The expression for v ^ AB(t) is:
v ^ AB t = 2 V dc v ^ d t = 2 V dc F ^ ω p F mod sin ω p t + θ fmod sin θ fmod δ t k T s D T s δ t k T s
Therefore, the gain of frequency perturbation to v ^ AB[j(ωp + s)] can be written as
v ^ AB j ω p + l ω s f ^ mod j ω p = 2 V dc j ω p 1 e j l 2 π D
From (23), the frequency perturbation has an integral effect on the bridge arm output voltage, causing a large gain uplift at low frequencies. This is inconsistent with the physical characteristics of Buck-type converters. The reason is that the switching time perturbation accumulates infinitely. However, in a real modulation system, the switching cycle has a reset effect. If the accumulated low-frequency phase shift caused by the low-frequency perturbation exceeds the switching cycle, the perturbation will reset to 0. This physical characteristic requires further modeling investigation. In this paper, to avoid low-frequency model deviation, the effect caused by frequency perturbation is artificially set to 0 in the frequency band where aliasing effects begin to occur (ωp < ωs/2). Specifically, for perturbation frequencies below the Nyquist frequency, the resulting sideband components generated by frequency modulation are shifted to the high-frequency range near the switching frequency. Since the output passive filter is designed to provide significant attenuation at the switching frequency, these high-frequency sidebands are effectively suppressed. Therefore, neglecting these specific components in the low-frequency band does not compromise the accuracy of the model.

3.3. Joint Effect of Duty Cycle and Frequency

According to (6), the switching frequency, fs, is controlled by the duty cycle, D. Therefore, a duty cycle perturbation will cause a switching frequency perturbation, which in turn affects the dynamic characteristics of the converter. Substituting (5) into (6) and separating the small-signal perturbation (retaining only the first-order differential term), we obtain:
f ^ s = 2 V dc Δ i L L 1 2 D d ^
Therefore, when the duty cycle is perturbed, the frequency perturbation signal, fs, will also generate a perturbation at frequency ωp proportional to the duty cycle perturbation. According to the superposition effect, we have:
v ^ AB = v ^ AB d ^ d ^ + v ^ AB f ^ f ^
Thus, under TCM control, the gain, Gl, of the bridge arm output voltage perturbation corresponding to the l-th sideband frequency caused by the duty cycle perturbation is:
G l = v ^ AB j ω p + l ω s d ^ j ω p = 2 V dc e j l 2 π D + 2 V dc j ω p 1 e j l 2 π D 2 V dc Δ i L L 1 2 D = 2 V dc e j l 2 π D + 2 V dc 1 2 D j ω p Δ i L L 1 e j l 2 π D
From the above equation, it can be found that when l = 0, the transfer function from duty cycle to output is the same as the conclusion of the average model, and the frequency perturbation is 0 in this frequency band; when l ≠ 0, there will be perturbation components under the combined action of duty cycle and frequency inside the system. Gl can be regarded as a frequency-shifting element that increases the original signal frequency.
For Buck-type converters, the output terminal of the switching network is a linear filter, so sideband perturbations will not alias the original frequency during open-loop operation. However, once closed-loop control is introduced, the perturbation component of the sideband frequency will propagate back to the modulation stage through the feedback path. Since the modulation stage has a frequency-shifting effect, the perturbation of the sideband frequency will be moved back to the original frequency, thereby affecting the loop gain.
The figure below illustrates the block diagram with closed-loop control. After passing through the modulator, the duty cycle control signal generates not only the signal v ^ AB(p) at the same frequency but also the sideband component v ^ AB[j(ωp + s)] due to the frequency-shifting effect. This component then passes through the compensator −H and is shifted back to the frequency ωp via the frequency-shifting action of G+l.
The equivalent plant gain, Gl., aggregates the modulation stage of the H-bridge derived in the previous section. The feedback block −H represents the controller transfer function (including the linear compensator and feedback sensors). Since the small-signal analysis focuses on the loop gain for stability assessment, the perturbation of the constant reference signal is zero and is therefore omitted from the diagram.
To facilitate stability analysis using classical control theory, the complex signal flow diagram in Figure 8 can be simplified into an equivalent single-input single-output (SISO) block diagram using Mason’s gain formula, as shown in Figure 9.
From the figure, it can be concluded that considering the effect of sideband components is equivalent to paralleling a gain Geq on the basis of the average model, which can be expressed by the following formula:
G eq j ω p = G l j ω p G + l j ω p l ω s T eq j ω p l ω s
where
T eq j ω = G f j ω H j ω 1 + G 0 G f j ω H j ω
Through derivation, the loop gain considering the joint effect of duty cycle and frequency can be obtained:
T j ω = G 0 + G eq j ω G f j ω H j ω

4. Simulation Verification

To verify the accuracy of the proposed modeling method, simulation models were built in MATLAB/Simulink R2025a and SIMPLIS 8.20. The simulation parameter settings are shown in Table 1 (simulation parameter settings).
First, the simulation model was built in MATLAB/Simulink. The simulation process is as follows: Fix the operating point of the inverter, then inject a perturbation signal lower than the switching frequency by 10 kHz into the duty cycle using an AC sine wave generator under different switching frequencies. The generated sideband frequency should be 10 kHz. After the output stabilizes, the fast Fourier transform (FFT) is used to analyze the amplitude of this frequency.
To visually demonstrate the combined effect of duty cycle and frequency, two sets of simulations were set up for comparison. In the first case, the frequency calculation (6) does not introduce duty cycle perturbation. In the second case, the duty cycle with superimposed perturbation is input into the frequency calculation block, and the sideband frequency components of the open-loop output current are analyzed. The simulation and FFT analysis results are shown in the figure.
When the duty cycle D = 0.5, according to (26), the frequency perturbation will not affect the amplitude of the output current sideband frequency at 10 kHz. From the simulation and FFT analysis in Figure 10—where the red highlighted region in the time-domain waveform denotes the sampling window utilized for FFT analysis, the amplitude of the 10 kHz component is almost equal before and after applying the frequency perturbation, which is consistent with the model’s prediction. However, when the duty cycle D = 0.8163, the switching frequency is 150 kHz. After applying a 140 kHz perturbation, the amplitude of the 10 kHz component differs by nearly a factor of 2 (Figure 11). These simulation results serve as evidence for the theoretical derivation.
Based on the loop gain derived from (29), taking l = 2, a three-dimensional Bode plot within one line-frequency AC cycle is plotted, as shown in Figure 12.
It can be seen from the figure that within one line-frequency AC cycle, the loop gain, considering the combined action of duty cycle and frequency, is time-varying. This is more significant in the high-frequency band, and there are also certain fluctuations in the low-frequency band. For this 3D image, it can be analyzed from two projection perspectives. Figure 13 shows the projections of Figure 12 on the x–y plane and the y–z plane.
The projection on the x–y plane shows that the trend of loop gain magnitude and phase variation with time is related to the switching frequency. Resonance peaks are also generated on both sides of the switching frequency, which will cause a significant impact when designing high-bandwidth controllers.
The projection on the y–z plane forms the envelope of the loop gain variation. The black curve is the multi-frequency loop gain model without considering the frequency effect. It can be seen from (26) that when only considering the duty cycle, the loop gain is not time-varying. Only when D = 0.5 are the results of the two models consistent. Within one line-frequency AC cycle, both the magnitude and phase in the high-frequency band change over a wide range, and the magnitude in the low-frequency band also fluctuates within a small range, which cannot be predicted by the traditional model.
Finally, to verify the accuracy of the model, a simulation was built in SIMPLIS. Five operating points were taken within one line-frequency AC cycle, and AC sweep analysis was used to compare with the theoretical model. In Figure 14, the labels ‘SSA’, ‘D Model’, and ‘D-F Model’ represent the SSA model, the multi-frequency model considering only duty cycle, and the multi-frequency model considering the combined action of duty cycle and frequency, respectively. The duty cycle values, Dy, represent the instantaneous operating points at specific phase angles of the AC line cycle for small-signal analysis.
As illustrated in the figure, the proposed multi-frequency model (D-F Model), which accounts for the joint actuation of duty cycle and frequency, maintains high fidelity across a wide frequency range. It significantly outperforms traditional methods and accurately aligns with the true dynamic characteristics of the converter. In contrast, the traditional SSA model fails to capture the critical loop gain and phase variations in the high-frequency band, rendering it inadequate for guiding high-bandwidth control design.
The D and D-F models coincide when Dy = 0.5. However, as the duty cycle deviates from 0.5, significant discrepancies emerge in the high-frequency band. The D model fails to predict the distinct gain and phase variations as the perturbation frequency approaches the switching frequency.

5. Conclusions

Addressing the limitations of traditional State-Space Averaging (SSA) and existing multi-frequency methods that focus on fixed-frequency inverters, this paper proposes an improved D-F Model specifically tailored to the inherent variable-frequency characteristics of TCM inverters. By incorporating the joint perturbation effects of both duty cycle and switching frequency, this work deeply reveals the modulation mechanism where duty cycle perturbations not only affect output voltage but also induce concomitant frequency variations. These frequency perturbations generate sideband components that alias into the baseband loop gain, a critical dynamic path ignored by the traditional D model.
Validation through SIMPLIS AC sweep simulations confirms the superior fidelity of the proposed model. Comparative analysis demonstrates that while traditional and proposed models converge at a 50% duty cycle, the D model fails to predict resonant peaks and abrupt phase changes when the duty cycle deviates from 0.5. In contrast, the D-F model accurately captures these high-frequency dynamics.
Furthermore, the proposed model balances mathematical rigor with operational efficiency. Although the accurate characterization of delay effects introduces complex exponential terms, Padé approximation can be readily applied to linearize these terms for standard pole-zero analysis. Crucially, the proposed method eliminates the complexity of solving for the steady-state operating point of the converter. It relies solely on the steady-state duty cycle—a parameter straightforwardly calculated from the voltage modulation ratio—thereby combining high theoretical fidelity with ease of deployment.
These findings establish a vital engineering guideline: high-bandwidth controller design must be predicated on the worst-case operating point exhibiting the maximum phase drop to mitigate instability risks. Future research will extend this work by conducting hardware validation to corroborate the simulation results and by further exploring the complex non-linearities associated with frequency modulation effects.

Author Contributions

Conceptualization, M.C.; Methodology, M.C.; Software, M.C.; Validation, M.C.; Writing–review & editing, Q.W.; Supervision, Q.W.; Project administration, Q.W.; Funding acquisition, Q.W. All authors have read and agreed to the published version of the manuscript.

Funding

This work was supported by the National Natural Science Foundation of China (52477181) and by the Natural Science Foundation of Jiangsu Province (BK20242032).

Data Availability Statement

The original contributions presented in this study are included in the article. Further inquiries can be directed to the corresponding author.

Conflicts of Interest

The authors declare no conflict of interest.

Appendix A

Derivation of the Expression of t ^ k

The carrier can be expressed as the integration of the frequency control signal. Let the carrier peak be Vsaw_peak and the steady-state duty cycle be D. The value when the carrier intersects the reference wave is D Vsaw_peak, which can be expressed as the definite integral of the frequency modulation signal within the time interval [t2k−2, t2k−1]:
D V saw _ peak = t 2 k 2 t 2 k 1 f mod t d t , t 2 k 2 = T 2 k 2 + t ^ 2 k 2 t 2 k 1 = T 2 k 1 + t ^ 2 k 1 T 2 k 1 T 2 k 2 = D T s
Similarly, the definite integral of the frequency modulation signal in the time interval [t2k−2, t2k] can be expressed as
1 D V saw _ peak = t 2 k 1 t 2 k f mod t d t , t 2 k 1 = T 2 k 1 + t ^ 2 k 1 t 2 k = T 2 k + t ^ 2 k T 2 k T 2 k 1 = 1 D T s
Taking (A1) as an example for analysis, the integral can be split into two parts, P1 and P2. P1 represents the steady-state part, and P2 represents the perturbation part.
t 2 k 2 t 2 k 1 f mod t d t = t 2 k 2 t 2 k 1 F mod + F ^ mod cos ω p t + θ fmod d t = t 2 k 2 t 2 k 1 F mod d t             P 1 + t 2 k 2 t 2 k 1 F ^ mod cos ω p t + θ fmod d t P 2
For the P1 component, it can be processed as follows:
P 1 = t 2 k 2 T 2 k 1 + t ^ 2 k 2 F mod d t + T 2 k 1 + t ^ 2 k 2 t 2 k 1 F mod d t
Since D Vsaw_peak is a fixed value and Fmod is the frequency at the static operating point (a DC value), the first part of P1 can be regarded as the expression for the carrier peak in the steady state, which is equal to D Vsaw_peak. The second part is also easily obtained. Thus, the expression for P1 is derived as
P 1 = D V saw _ peak + F mod t ^ 2 k 1 t ^ 2 k 2
For the P2 component, integrating the cosine function yields
P 2 = F ^ mod ω p sin ω p t 2 k 1 + θ fmod sin ω p t 2 k 2 + θ fmod
Combining (A3), (A5), and (A6), the relationship between t ^ 2k−1 and t ^ 2k−2 can be obtained:
t ^ 2 k 1 + F ^ mod ω p F mod sin ω p t 2 k 1 + θ fmod = t ^ 2 k 2 + F ^ mod ω p F mod sin ω p t 2 k 2 + θ fmod
Similarly, by analyzing (A2), the relationship between t ^ 2k and t ^ 2k−1 can be derived:
t ^ 2 k + F ^ mod ω p F mod sin ω p t 2 k + θ fmod = t ^ 2 k 1 + F ^ mod ω p F mod sin ω p t 2 k 1 + θ fmod
Based on (A7) and (A8), the recursive formula for t ^ k is obtained:
t ^ k + F ^ mod ω p F mod sin ω p t k + θ fmod = t ^ k 1 + F ^ mod ω p F mod sin ω p t k 1 + θ fmod = = t ^ 0 + F ^ mod ω p F mod sin ω p t 0 + θ fmod
Assuming t ^ 0 = 0 and t0 = 0 when k = 0, and ignoring the impact on the sine signal, the expression for t ^ k can be approximated as
t ^ k = F ^ ω p F mod sin ω p t k + θ fmod sin θ fmod F ^ ω p F mod sin ω p T k + θ fmod sin θ fmod

References

  1. BP. BP Energy Outlook: 2022 Edition. BP p.l.c., 2022. Available online: www.bp.com/content/dam/bp/business-sites/en/global/corporate/pdfs/energy-economics/energy-outlook/bp-energy-outlook-2022.pdf (accessed on 15 December 2025).
  2. Pater, S.; Szczotka, K. Comparison of Typical Meteorological Years for Assessment and Simulation of Renewable Energy Systems. Energies 2025, 18, 6063. [Google Scholar] [CrossRef]
  3. Moncada, J.; de Goeij, B.; van den Ham, J.; Buskens, P.; Meulendijks, N.; Detz, R.J. Evaluating the Costs of Integrated Solar Hydrogen Systems: Exploring the Effect of Scale, Intermittency, and Energy Storage. Energies 2025, 18, 6069. [Google Scholar] [CrossRef]
  4. Marxgut, C.; Krismer, F.; Bortis, D.; Kolar, J.W. Ultraflat Interleaved Triangular Current Mode (TCM) Single-Phase PFC Rectifier. IEEE Trans. Power Electron. 2014, 29, 873–882. [Google Scholar] [CrossRef]
  5. Haryani, N.; Burgos, R.; Boroyevich, D. Variable Frequency and Constant Frequency Modulation Techniques for GaN Based MHz H-Bridge PFC. In Proceedings of the 2015 IEEE Applied Power Electronics Conference and Exposition (APEC), Charlotte, NC, USA, 15–19 March 2015; pp. 1889–1896. [Google Scholar] [CrossRef]
  6. Zhang, Q.; Hu, H.; Zhang, D.; Fang, X.; Shen, Z.J.; Bartarseh, I. A Controlled-Type ZVS Technique Without Auxiliary Components for the Low Power DC/AC Inverter. IEEE Trans. Power Electron. 2013, 28, 3287–3296. [Google Scholar] [CrossRef]
  7. Zhang, D.; Zhang, Q.; Hu, H.; Grishina, A.; Shen, J.; Batarseh, I. High Efficiency Current Mode Control for Three-Phase Micro-Inverters. In Proceedings of the 2012 Twenty-Seventh Annual IEEE Applied Power Electronics Conference and Exposition (APEC), Orlando, FL, USA, 5–9 February 2012; pp. 892–897. [Google Scholar] [CrossRef]
  8. Amirahmadi, A.; Chen, L.; Somani, U.; Hu, H.; Kutkut, N.; Bartarseh, I. High Efficiency Dual-Mode Current Modulation Method for Low-Power DC/AC Inverters. IEEE Trans. Power Electron. 2014, 29, 2638–2642. [Google Scholar] [CrossRef]
  9. Ahmed, M.; Yapo, X.; Huawu, L.; Hang, L.; Li, G.; Haibing, H. Two-Stage Single-Phase Photovoltaic Grid-Tied Micro-Inverter Using Soft-Switching Techniques. In Proceedings of the 2016 IEEE 2nd Annual Southern Power Electronics Conference (SPEC), Auckland, New Zealand, 5–8 December 2016; pp. 1–6. [Google Scholar] [CrossRef]
  10. Amirahmadi, A.; Hu, H.; Grishina, A.; Zhang, Q.; Chen, L.; Somani, U.; Batarseh, I. Hybrid ZVS BCM Current Controlled Three-Phase Microinverter. IEEE Trans. Power Electron. 2014, 29, 2124–2134. [Google Scholar] [CrossRef]
  11. Tayebi, S.M.; Batarseh, I. Analysis and Optimization of Variable-Frequency Soft-Switching Peak Current Mode Control Techniques for Microinverters. IEEE Trans. Power Electron. 2018, 33, 1644–1653. [Google Scholar] [CrossRef]
  12. Sabi, K.; Costinett, D. Delay Mitigation in High Frequency Dual Current Programmed Mode Control GaN-Based ZVS Inverter. In Proceedings of the 2019 20th Workshop on Control and Modeling for Power Electronics (COMPEL), Toronto, ON, Canada, 17–20 June 2019; pp. 1–7. [Google Scholar] [CrossRef]
  13. Sabi, K.; Costinett, D. Noise Mitigation and Delay Compensation in High Frequency Dual Current Programmed Mode Control. In Proceedings of the 2018 IEEE Applied Power Electronics Conference and Exposition (APEC), San Antonio, TX, USA, 4–8 March 2018; pp. 3095–3101. [Google Scholar] [CrossRef]
  14. Haider, M.; Anderson, J.A.; Mirić, S.; Nain, N.; Zulauf, G.; Kolar, J.W.; Xu, D.; Deboy, G. Novel ZVS S-TCM Modulation of Three-Phase AC/DC Converters. IEEE Open J. Power Electron. 2020, 1, 529–543. [Google Scholar] [CrossRef]
  15. Liu, T.; Chen, C.; Xu, K.; Zhang, Y.; Kang, Y. GaN-Based Megahertz Single-Phase Inverter with a Hybrid TCM Control Method for High Efficiency and High-Power Density. IEEE Trans. Power Electron. 2021, 36, 6797–6813. [Google Scholar] [CrossRef]
  16. Son, G.; Huang, Z.; Li, Q.; Lee, F.C. Analysis and Control of Critical Conduction Mode High-Frequency Single-Phase Transformerless PV Inverter. IEEE Trans. Power Electron. 2021, 36, 13188–13199. [Google Scholar] [CrossRef]
  17. Kohlhepp, B.; Foerster, T.; Duerbaum, T. High Frequency ZVS GaN-Inverter with Adaptive Dead Time. In Proceedings of the 2021 56th International Universities Power Engineering Conference (UPEC), Middlesbrough, UK, 31 August–3 September 2021; pp. 1–6. [Google Scholar] [CrossRef]
  18. Rezazadeh, H.; Monfared, M.; Fazeli, M.; Golestan, S. Virtual Oscillator Control for Grid-Forming Inverters: Recent Advances, Comparative Evaluation, and Small-Signal Analysis. Energies 2025, 18, 5981. [Google Scholar] [CrossRef]
  19. Munsi, A.; Kumar, R.; Aditya, K. Simplified Average Model of Voltage Source Inverter for Controller Design. In Proceedings of the 2024 IEEE International Conference on Power Electronics, Drives and Energy Systems (PEDES), Mangalore, India, 18–21 December 2024; pp. 1–5. [Google Scholar] [CrossRef]
  20. Banerjee, S.; Mishra, S.K. An Averaged Discrete Circuit Model for a Single-Phase Grid-Connected Inverter. IEEE J. Emerg. Sel. Top. Ind. Electron. 2025, 6, 1491–1502. [Google Scholar] [CrossRef]
  21. Yoon, C.; Bai, H.; Beres, R.N.; Wang, X.; Bak, C.L.; Blaabjerg, F. Harmonic Stability Assessment for Multiparalleled, Grid-Connected Inverters. IEEE Trans. Sustain. Energy 2016, 7, 1388–1397. [Google Scholar] [CrossRef]
  22. Tao, Y.; Xue, R.; Wu, Q.; Wang, B.; Fang, M.; Ruan, Q.; Liu, W.; Ren, Y. Polarization-Selective Dynamic Coupling: Electrorotation-Orbital Motion of Twin Colloids in Rotating Fields. Electrophoresis 2025. [Google Scholar] [CrossRef] [PubMed]
  23. Tao, Y.; Liu, W.; Li, X.; Wang, S.; Sun, Y.; Wu, Q.; Xu, H.; Tu, L.; Ren, Y. Alternating-current induced-charge electrokinetic self-propulsion of metallodielectric Janus particles in confined microchannels within a wide frequency range. J. Appl. Phys. 2025, 138, 184702. [Google Scholar] [CrossRef]
  24. Tao, Y.; Gao, Y.; Liu, Z.; Chen, Y.; Liu, W.; Yu, G.; Ren, Y. Many-body electrohydrodynamic contact dynamics in alternating-current dielectrophoresis: Resolving hierarchical assembly of soft binary colloids. Phys. Fluids 2025, 37, 082043. [Google Scholar] [CrossRef]
  25. Liu, W.; Ren, Y.; Tao, Y.; Zhou, Z.; Wu, Q.; Xue, R.; Yao, B. Multiple Frequency Electrothermal Induced Flow: Theory and Microfluidic Applications. J. Phys. D Appl. Phys. 2020, 53, 175304. [Google Scholar] [CrossRef]
  26. San, G.; Zhang, W.; Luo, R.; Guo, X.; Xin, H.; Tedeschi, E.; Malinowski, M. Small-Signal Multi-Frequency Model for Grid-Connected Inverter System with PWM Effect. CSEE J. Power Energy Syst. 2020, 6, 307–317. [Google Scholar] [CrossRef]
  27. Qiu, Y.; Xu, M.; Yao, K.; Sun, J.; Lee, F.C. Multifrequency Small-Signal Model for Buck and Multiphase Buck Converters. IEEE Trans. Power Electron. 2006, 21, 1185–1192. [Google Scholar] [CrossRef]
  28. Li, X.; Zhang, Y.; Chen, S.; Zhang, X.; Tang, Y. General Multi-Frequency Small-Signal Model for Resonant Converters. IEEE Trans. Power Electron. 2022, 37, 3892–3912. [Google Scholar] [CrossRef]
Figure 1. Block diagram of Average Current Mode TCM control.
Figure 1. Block diagram of Average Current Mode TCM control.
Energies 19 00235 g001
Figure 2. Inductor current schematic of traditional TCM control.
Figure 2. Inductor current schematic of traditional TCM control.
Energies 19 00235 g002
Figure 3. Inductor current schematic of B-TCM control.
Figure 3. Inductor current schematic of B-TCM control.
Energies 19 00235 g003
Figure 4. Inductor current schematic of S-TCM control.
Figure 4. Inductor current schematic of S-TCM control.
Energies 19 00235 g004
Figure 5. Variation of switching frequency for TCM control.
Figure 5. Variation of switching frequency for TCM control.
Energies 19 00235 g005
Figure 6. Small-signal behavior of duty cycle modulation.
Figure 6. Small-signal behavior of duty cycle modulation.
Energies 19 00235 g006
Figure 7. Small-signal behavior of frequency modulation.
Figure 7. Small-signal behavior of frequency modulation.
Energies 19 00235 g007
Figure 8. Block diagram of closed-loop control considering sideband frequencies.
Figure 8. Block diagram of closed-loop control considering sideband frequencies.
Energies 19 00235 g008
Figure 9. Simplified closed-loop control block diagram.
Figure 9. Simplified closed-loop control block diagram.
Energies 19 00235 g009
Figure 10. Sideband frequency response before and after adding frequency perturbation (D = 0.5).
Figure 10. Sideband frequency response before and after adding frequency perturbation (D = 0.5).
Energies 19 00235 g010
Figure 11. Sideband frequency response before and after adding frequency perturbation (D = 0.8163).
Figure 11. Sideband frequency response before and after adding frequency perturbation (D = 0.8163).
Energies 19 00235 g011
Figure 12. Multi-frequency model loop gain under one line-frequency AC cycle.
Figure 12. Multi-frequency model loop gain under one line-frequency AC cycle.
Energies 19 00235 g012
Figure 13. Multi-frequency model Bode plot projections (black is the model considering only duty cycle modulation; the colored envelope is the model considering frequency modulation).
Figure 13. Multi-frequency model Bode plot projections (black is the model considering only duty cycle modulation; the colored envelope is the model considering frequency modulation).
Energies 19 00235 g013
Figure 14. Comparison of loop gains derived from different models and SIMPLIS sweep results.
Figure 14. Comparison of loop gains derived from different models and SIMPLIS sweep results.
Energies 19 00235 g014
Table 1. Simulation parameter settings.
Table 1. Simulation parameter settings.
ParameterValue
DC Bus Voltage, Vdc (V)380
Switching Frequency Range (kHz)82.4~250.1
Filter Inductor, Lf (μH)160
Filter Capacitance, Cf (μF)1
Load Resistance, RL (Ω)150
Disclaimer/Publisher’s Note: The statements, opinions and data contained in all publications are solely those of the individual author(s) and contributor(s) and not of MDPI and/or the editor(s). MDPI and/or the editor(s) disclaim responsibility for any injury to people or property resulting from any ideas, methods, instructions or products referred to in the content.

Share and Cite

MDPI and ACS Style

Chen, M.; Wang, Q. Multi-Frequency Small-Signal Modeling of TCM Inverters Considering the Joint Effects of Duty Cycle and Variable Switching Frequency. Energies 2026, 19, 235. https://doi.org/10.3390/en19010235

AMA Style

Chen M, Wang Q. Multi-Frequency Small-Signal Modeling of TCM Inverters Considering the Joint Effects of Duty Cycle and Variable Switching Frequency. Energies. 2026; 19(1):235. https://doi.org/10.3390/en19010235

Chicago/Turabian Style

Chen, Mingqian, and Qingsong Wang. 2026. "Multi-Frequency Small-Signal Modeling of TCM Inverters Considering the Joint Effects of Duty Cycle and Variable Switching Frequency" Energies 19, no. 1: 235. https://doi.org/10.3390/en19010235

APA Style

Chen, M., & Wang, Q. (2026). Multi-Frequency Small-Signal Modeling of TCM Inverters Considering the Joint Effects of Duty Cycle and Variable Switching Frequency. Energies, 19(1), 235. https://doi.org/10.3390/en19010235

Note that from the first issue of 2016, this journal uses article numbers instead of page numbers. See further details here.

Article Metrics

Article metric data becomes available approximately 24 hours after publication online.
Back to TopTop