Coupled Responses and Performance Assessment of Mooring-Connection Systems for Floating Photovoltaic Arrays in Shallow Waters
Abstract
1. Introduction
2. Preliminaries of the Coupling Dynamics Analysis of the FPV
2.1. Three-Dimensional Potential Flow Theory
2.2. Environmental Loads
2.3. Connector Coupled Mechanical Model
2.4. Multibody Motion Equation in Time Domain
3. Numerical Model and Parameters of FPV Array
3.1. Structure of FPV
3.2. Environmental Condition
3.3. Mooring System and Connection Scheme
3.3.1. Mooring System
3.3.2. Connection Schemes
4. Results and Discussions
4.1. Analysis of Motion Response of FPV
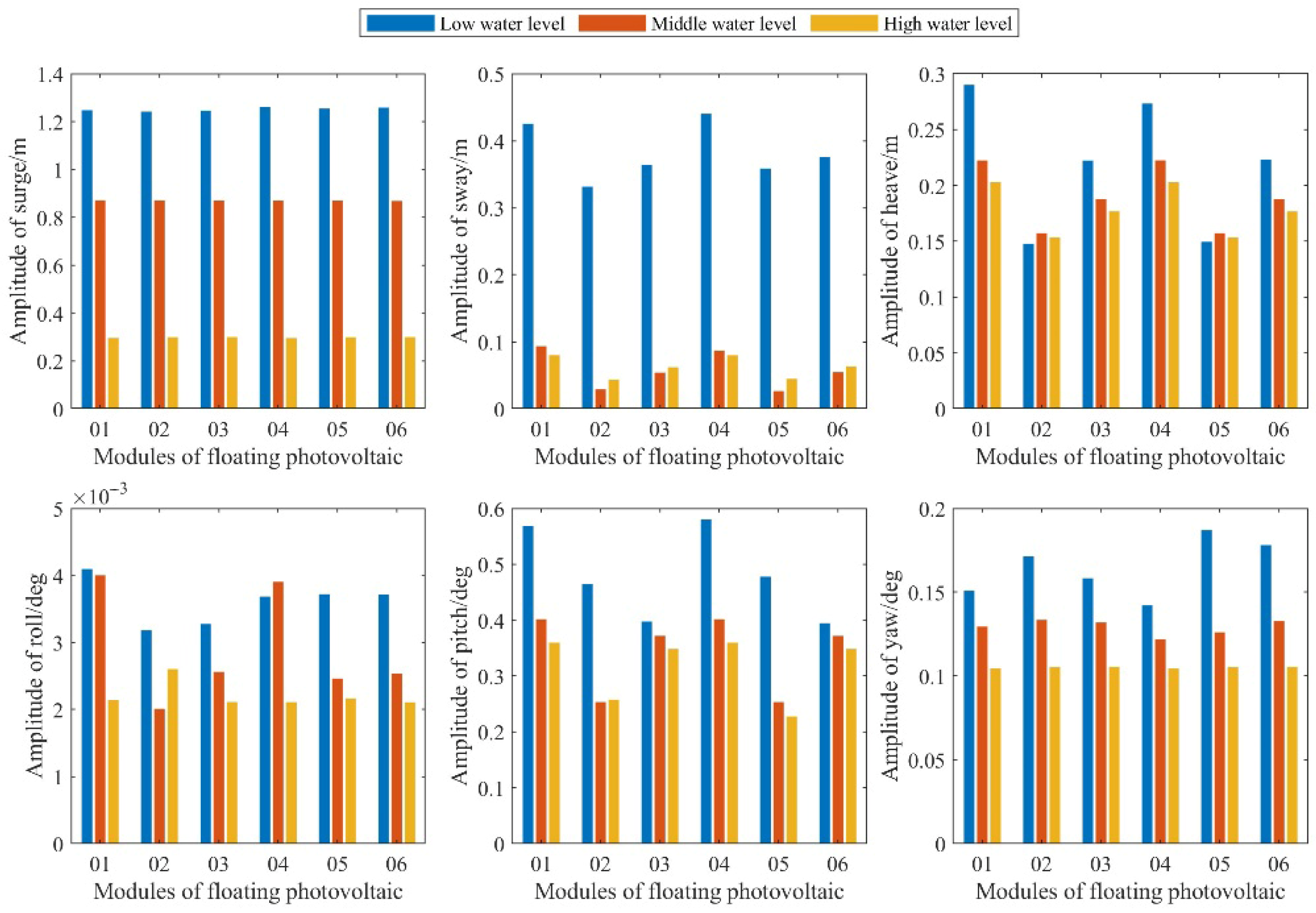
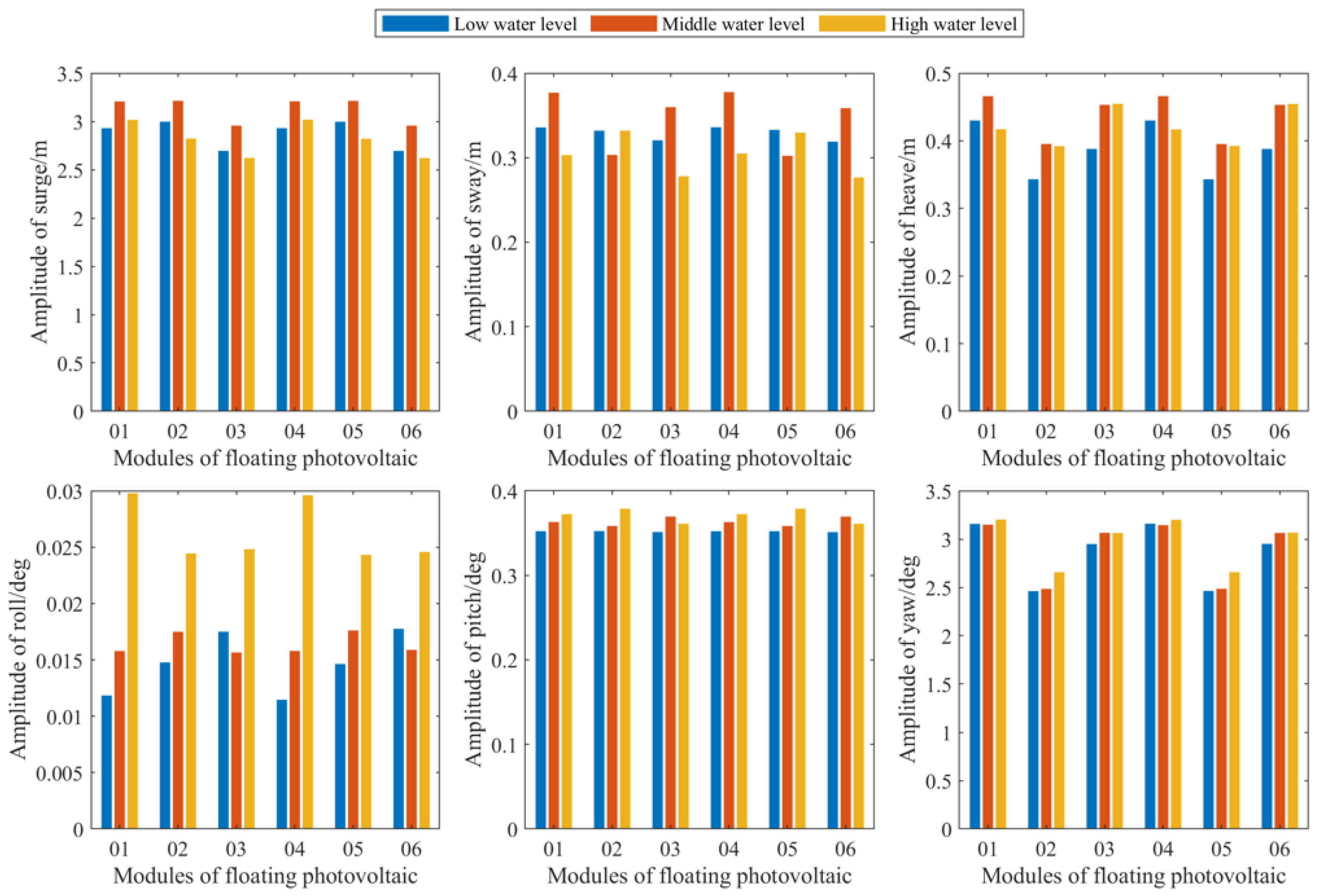
4.1.1. The Influence of Different Water Levels on the Motion Response of FPV
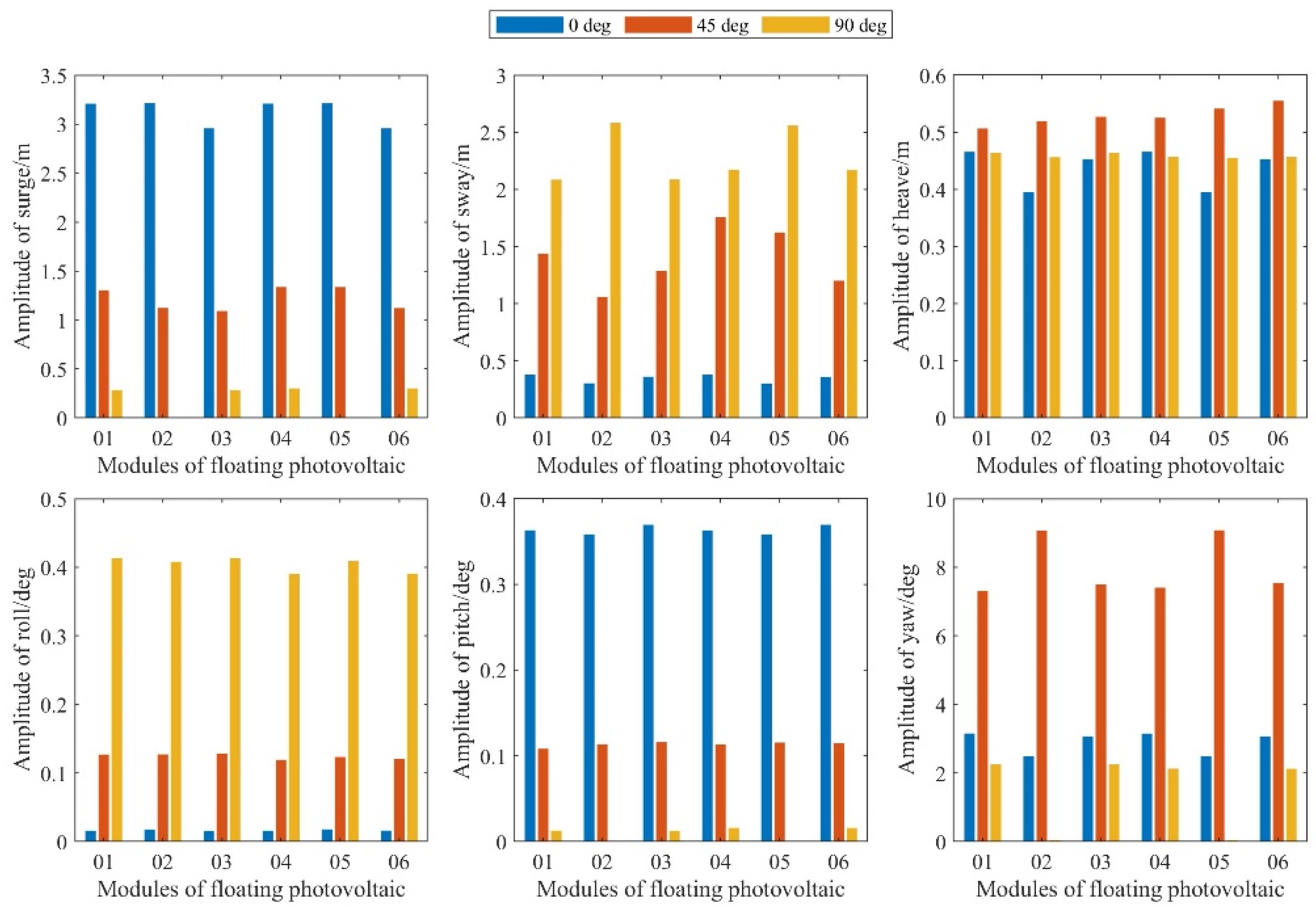
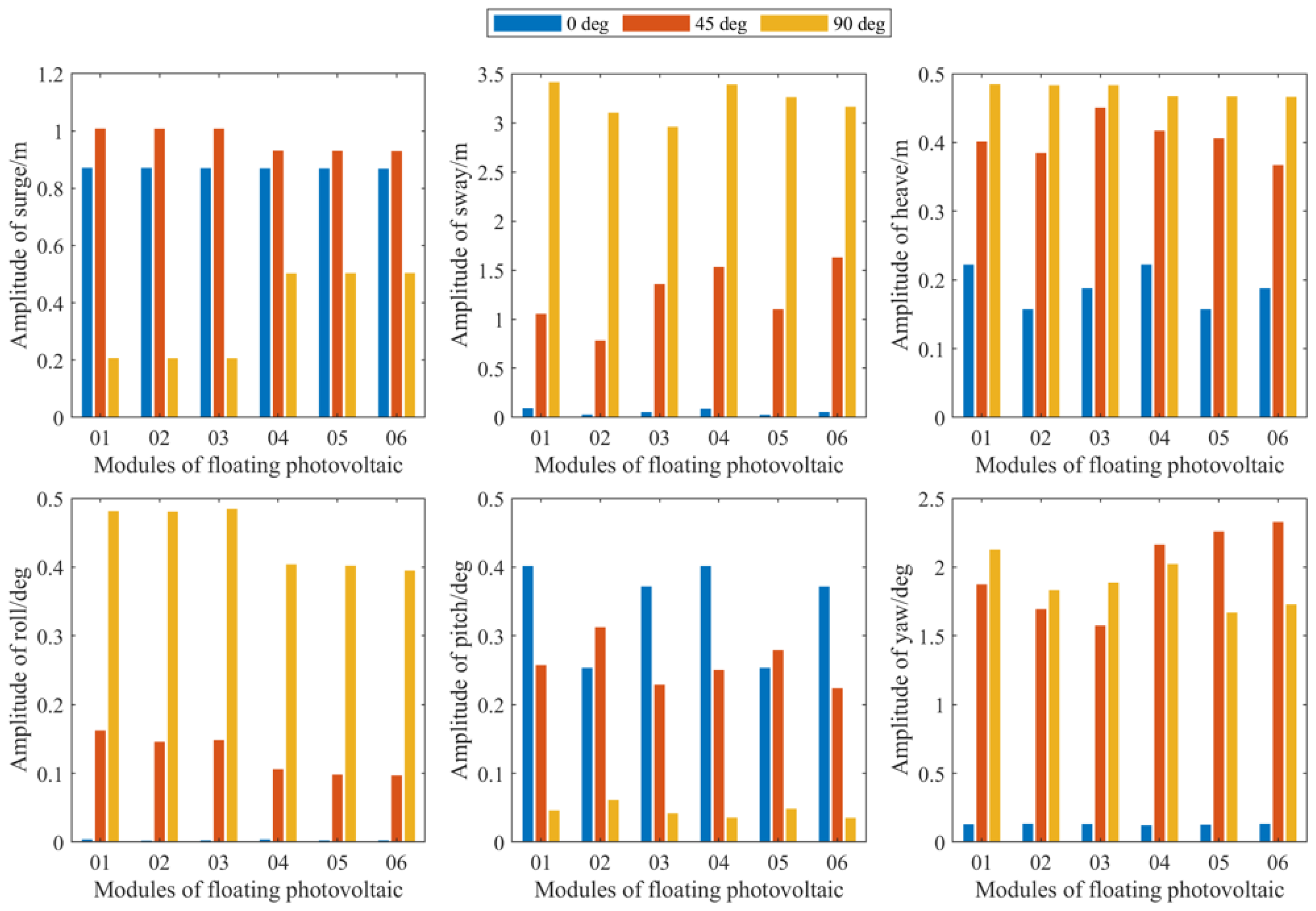
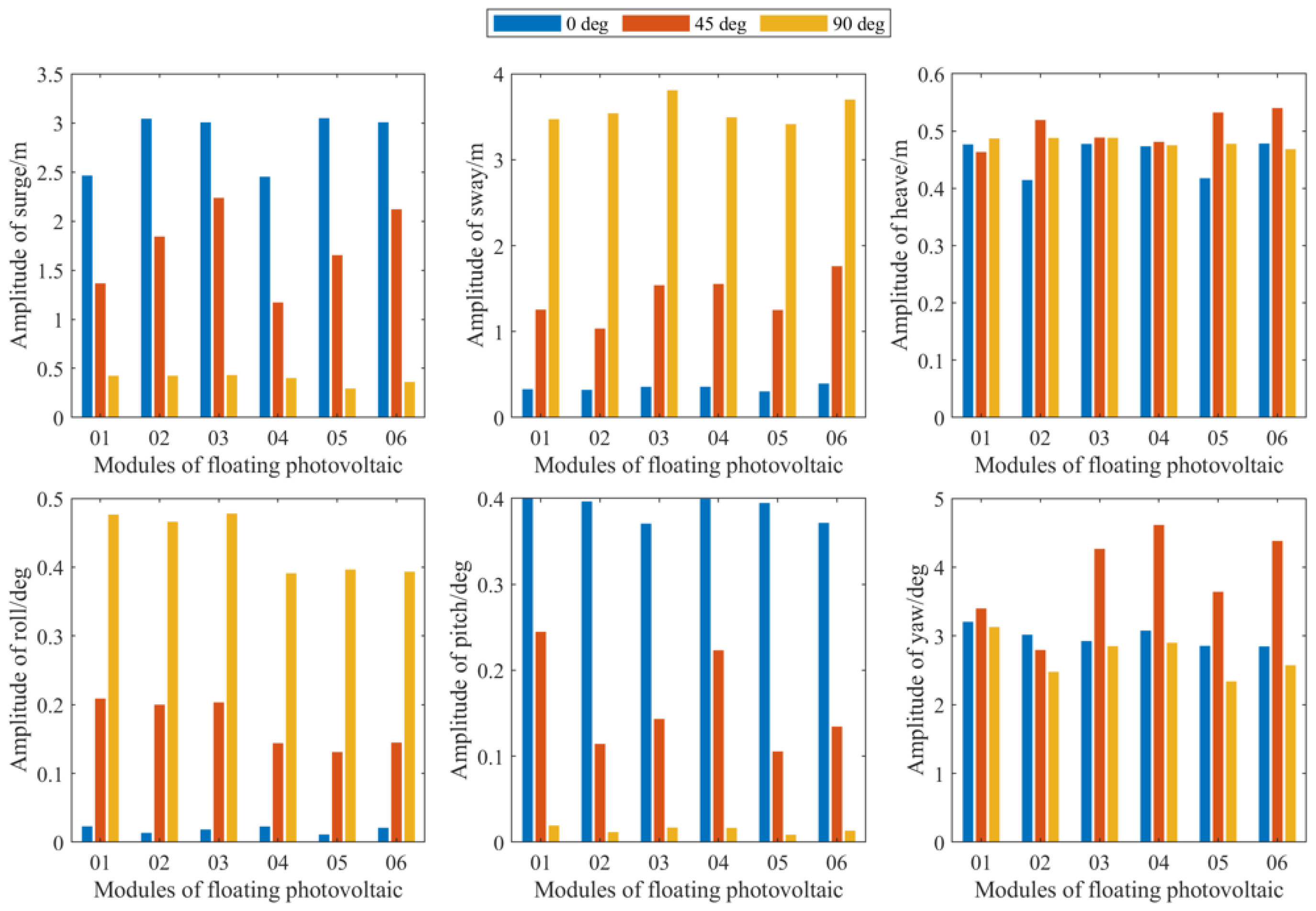
4.1.2. The Influence of Different Load Cases on the Motion Response of FPV
4.1.3. The Influence of Mooring Systems and Connection Schemes on the Motion Response of FPV
4.2. Analysis of Mooring Tension of FPV
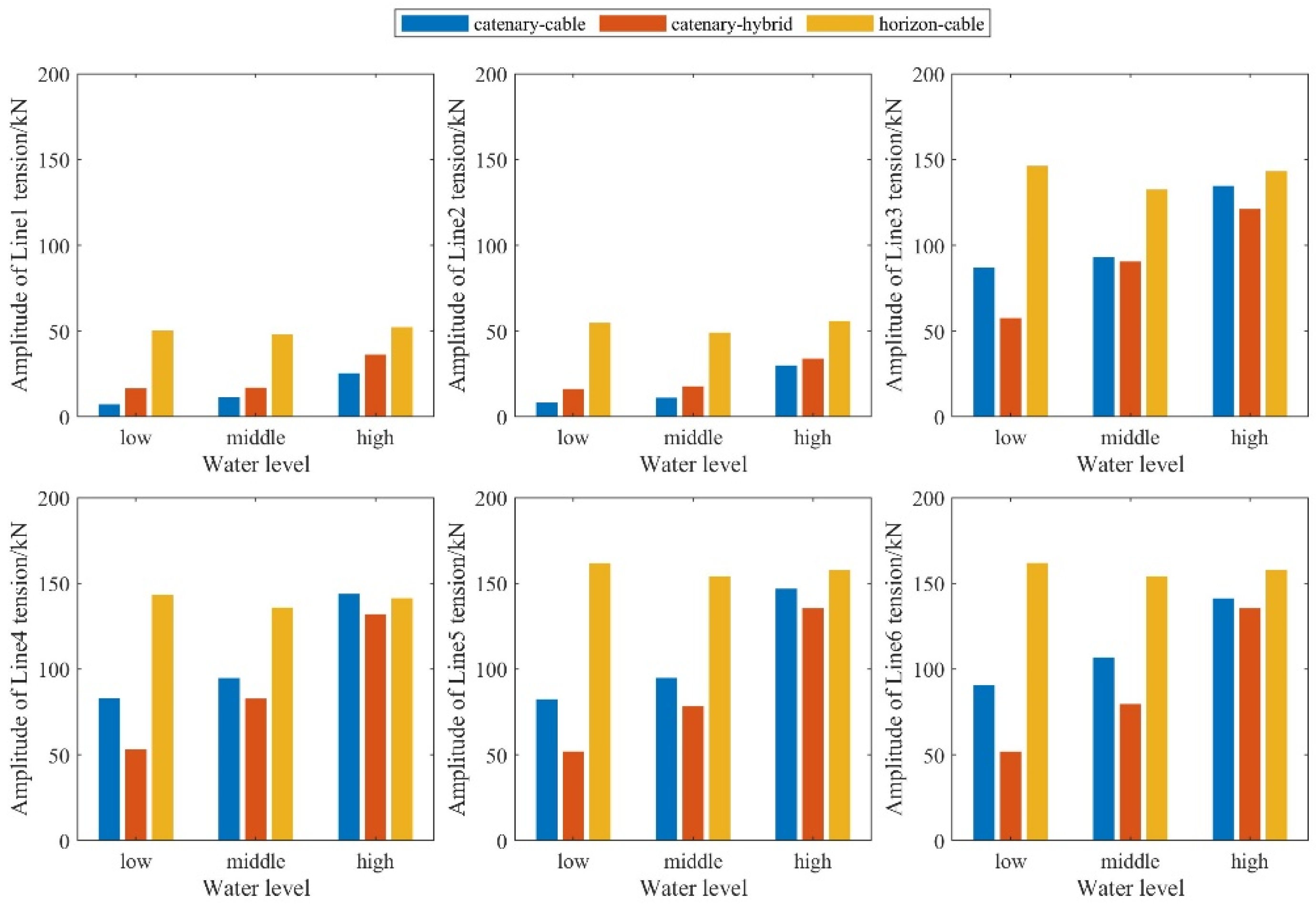
4.2.1. The Influence of Different Water Levels on the Mooring Tension of FPV
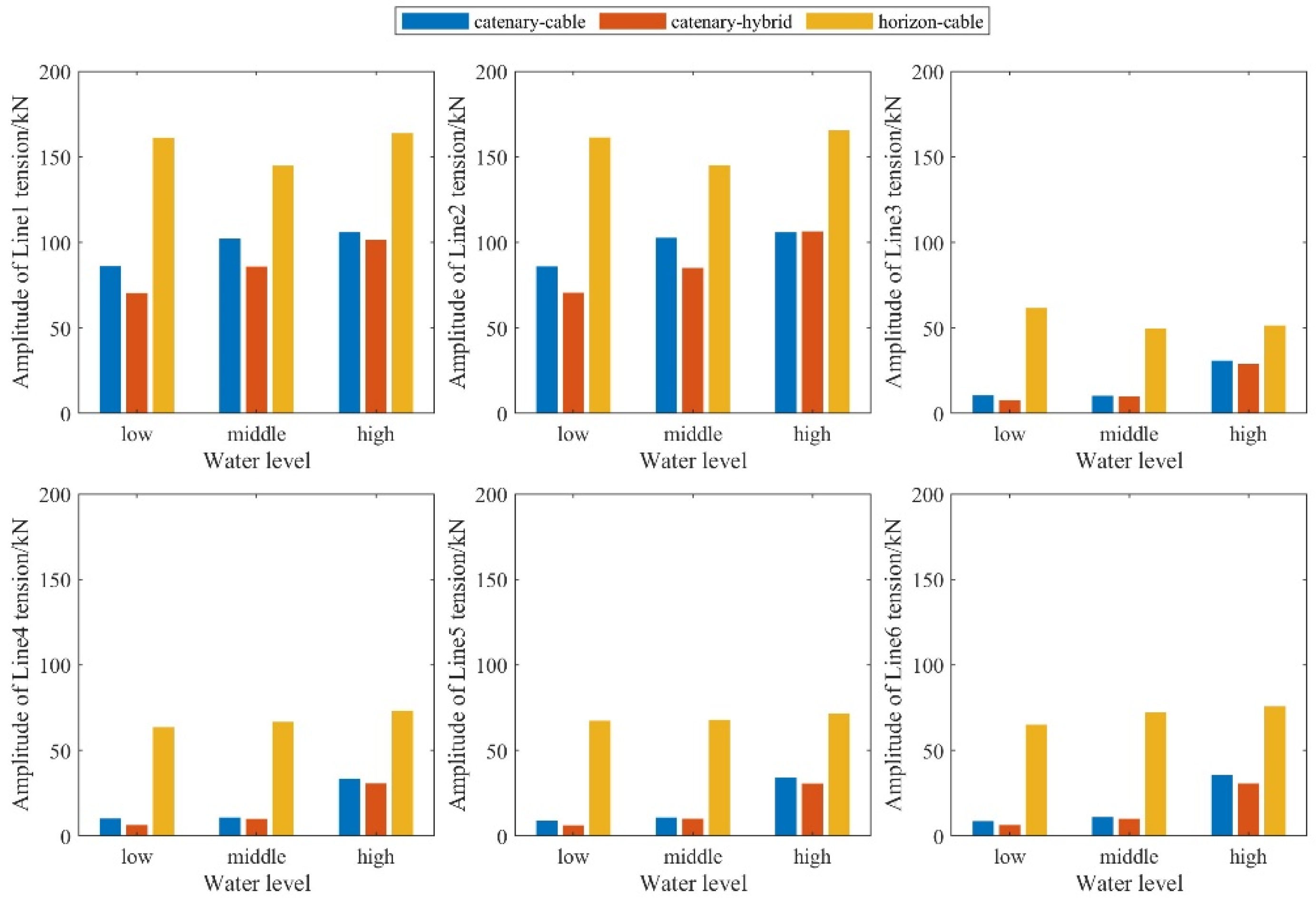
4.2.2. The Influence of Different Load Cases on the Mooring Tension of FPV
4.2.3. The Influence of Mooring Systems and Connection Schemes on the Mooring Tension of FPV
4.3. Analysis of Connection Force of FPV
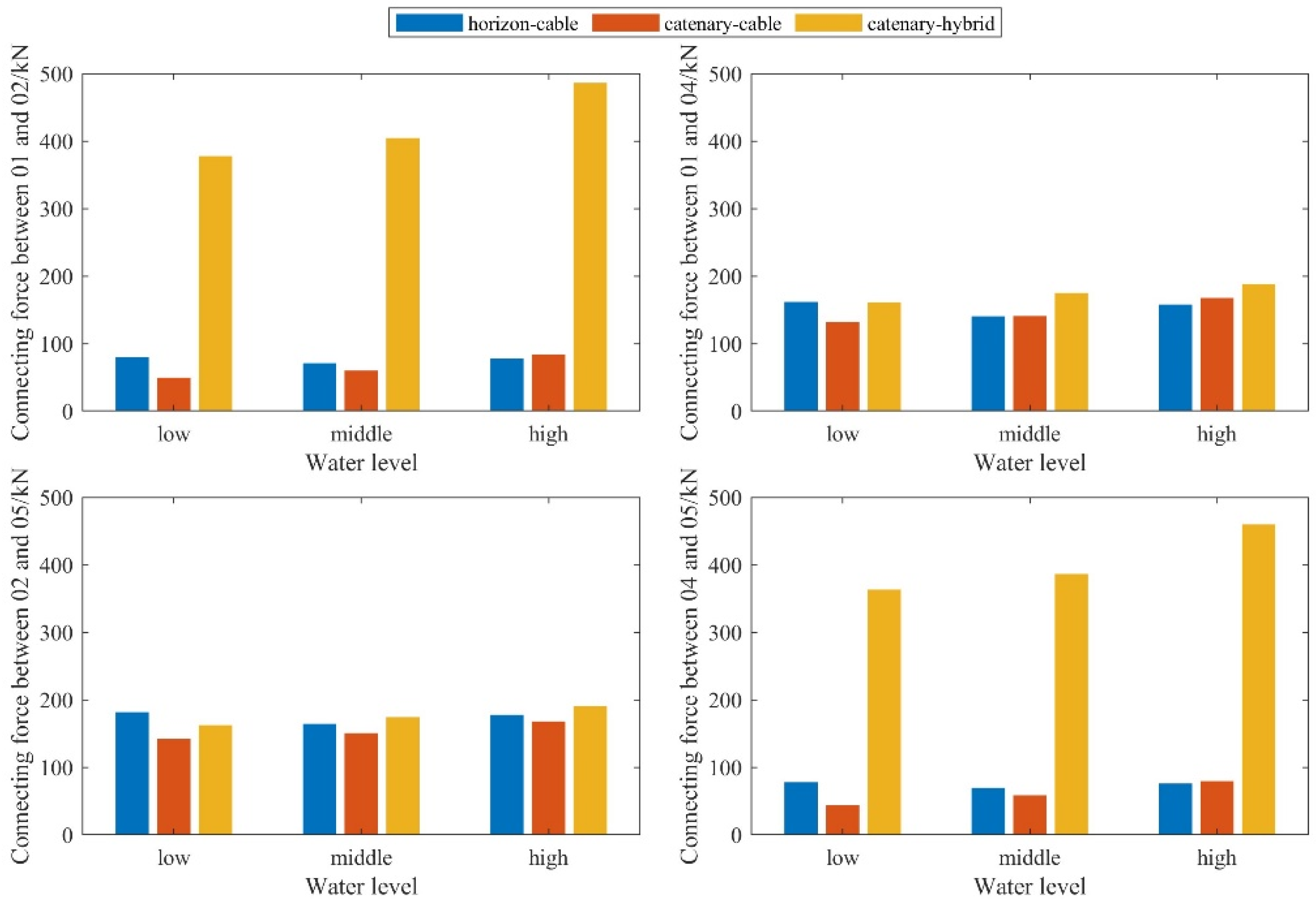
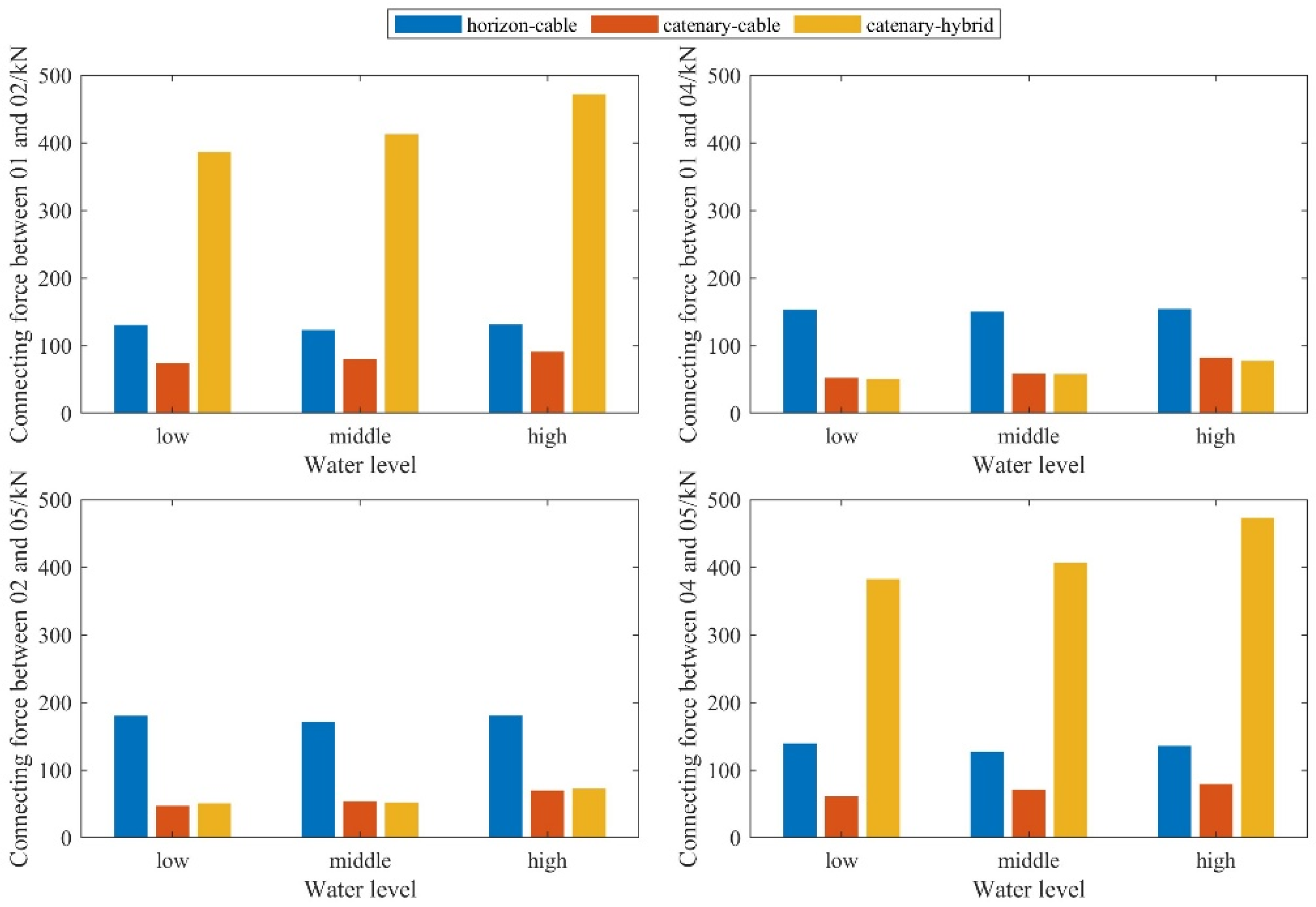
4.3.1. The Influence of Different Water Levels on the Connection Force of FPV
4.3.2. The Influence of Different Load Cases on the Connection Force of FPV
4.3.3. The Influence of Mooring Systems and Connection Schemes on the Connection Force of FPV
5. Conclusions
- (1)
- The platform motion amplitudes of the horizontal mooring system and the catenary mooring system are comparable. The catenary mooring system is characterized by smaller mooring forces and connection forces, imposing lower requirements on the safety factor of the platform structure; while the horizontal mooring system exhibits stronger feasibility to changes in water level and the direction of environmental loads.
- (2)
- The heave, roll, and pitch amplitudes of the cable connection scheme and the hybrid connection scheme are similar and relatively small in magnitude. The hybrid connection scheme has smaller mooring forces but generates extremely large connection forces, which are prone to causing significant stress concentration issues on the platform; the cable connection scheme demonstrates stronger feasibility to changes in water level and the direction of environmental loads, and also imposes lower requirements on the safety factor of the platform structure.
- (3)
- Based on a comprehensive comparison of the dynamic responses of FPV arrays under different mooring-connection schemes, it is found that the catenary mooring-cable connection scheme imposes lower requirements on the safety factor of the platform structure, while the horizontal mooring-cable connection scheme exhibits stronger feasibility to changes in water level and the direction of environmental loads. If the horizontal mooring system is adopted, local reinforcement of the platform structure should be implemented, or parameters such as mooring radius, mooring stiffness, and pre-tension should be optimized to reduce the structural forces acting on the platform.
Author Contributions
Funding
Data Availability Statement
Conflicts of Interest
References
- IRENA. Renewable Energy Statistics 2025. Available online: https://www.irena.org/ (accessed on 3 November 2025).
- Vo, T.T.E.; Ko, H.; Huh, J.; Park, N. Overview of Possibilities of Solar Floating Photovoltaic Systems in the OffShore Industry. Energies 2021, 14, 6988. [Google Scholar] [CrossRef]
- Xu, K.; Larsen, K.; Shao, Y.; Zhang, M. Design and Comparative Analysis of Alternative Mooring Systems for Floating Wind Turbines in Shallow Waters with Emphasis on Ultimate Limit State Design. Ocean Eng. 2021, 219, 108377. [Google Scholar] [CrossRef]
- Du, J.; Zhang, D.; Zhang, Y.; Xu, K. Design and Comparative Analysis of Alternative Mooring Systems for Offshore Floating Photovoltaics Arrays in Ultra-shallow Water with Significant Tidal Range. Ocean. Eng. 2024, 302, 117649. [Google Scholar] [CrossRef]
- Yu, L.; Li, R.; Shu, Z. Recent Research and Development of the Connector Design for Mobile Offshore Bases. Ocean. Eng. 2003, 21, 60–66. [Google Scholar]
- Lu, Y.; Teng, B.; Wang, Y.; Zhou, Y. Structural Design of Hinge Connector for Very Large Floating Structures. In Practical Design of Ships and Other Floating Structures; Springer: Singapore, 2021; pp. 197–208. [Google Scholar]
- Xia, S.; Xu, D.; Zhang, H.; Qi, E. On Retaining a Multi-module Floating Structure in an Amplitude Death State. Ocean Eng. 2016, 121, 134–142. [Google Scholar] [CrossRef]
- Jiang, D.; Tan, K.H.; Wang, C.M.; Dai, J. Research and Development in Connector Systems for Very Large Floating Structures. Ocean Eng. 2021, 232, 109150. [Google Scholar] [CrossRef]
- Wang, S.; Gu, X.; Chen, Y.; Geng, Y. Numerical and Experimental Studies on a 2-module VLFS with Hinged Connector. Ocean Eng. 2024, 310, 118552. [Google Scholar] [CrossRef]
- Lu, Y.; Zhang, H.; Chen, Y.; Shi, Q. A New Type Connection with Optimum Stiffness Configuration for Very Large Floating Platforms. Proc. Inst. Mech. Eng. Part M J. Eng. Marit. Environ. 2022, 236, 764–778. [Google Scholar] [CrossRef]
- Xia, S.; Yu, W.; Xu, D.; Zhang, H. Vibration Control of Multi-Modular VLFS in Random Sea Based on Stiffness-Adjustable Connectors. Appl. Sci. 2022, 12, 1117. [Google Scholar] [CrossRef]
- Liu, Y.; Ren, N.; Ou, J. Hydrodynamic Analysis of a Hybrid Modular Floating Structure System under Different Wave Directions. Appl. Ocean. Res. 2022, 126, 103264. [Google Scholar] [CrossRef]
- Amouzadrad, P.; Mohapatra, S.C.; Guedes Soares, C. Review on Sensitivity and Uncertainty Analysis of Hydrodynamic and Hydroelastic Responses of Floating Offshore Structures. J. Mar. Sci. Eng. 2025, 13, 1015. [Google Scholar] [CrossRef]
- Ormberg Hand Larsen, K. Coupled Analysis of Floater Motion and Mooring Dynamics for a Rurret-moored Ship. Appl. Ocean Res. 1998, 20, 55–67. [Google Scholar] [CrossRef]
- Ohmatsu, S. Overview: Research on Wave Loading and Responses of VLFS. Mar. Struct. 2005, 18, 149–168. [Google Scholar] [CrossRef]
- Kim, B.W.; Sung, H.G.; Hong, S.Y.; Jung, H.J. Finite Element Nonlinear Analysis for Catenary Structure Considering Elastic Deformation. Comput. Model. Eng. Sci. 2010, 63, 29–45. [Google Scholar]
- Zhao, H.; Xu, D.; Zhang, H.; Xia, S. An Optimization Method for Stiffness Configuration of Flexible Connectors for Multi-modular Floating Systems. Ocean Eng. 2019, 181, 134–144. [Google Scholar] [CrossRef]
- Ren, N.; Zhang, C.; Magee, A.R.; Hellan, O. Hydrodynamic Analysis of a Modular Multi-purpose Floating Structure System with Different Outermost Connector Types. Ocean Eng. 2019, 176, 158–168. [Google Scholar] [CrossRef]
- Wang, B.; Li, Y.; Huang, L.; Yao, Y. Dynamic Analysis of a Novel Star-type Floating Photovoltaic System with Flexible Connectors. Ocean Eng. 2024, 304, 117854. [Google Scholar] [CrossRef]
- Wang, B.; Lian, J.; Gao, X.; Liu, L. Coupled Dynamic Analysis of Polyester Flexible Connector for a Novel Lattice-type Floating Photovoltaic Array. Ocean Eng. 2025, 320, 120354. [Google Scholar] [CrossRef]
- Wang, W.; Wang, B.; Ke, S.; Zhang, T. Research on Wind-wave Induced Dynamic Responses and Energy Dissipation Mechanism of the Offshore New Floating Tube Platform with Flexible Photovoltaic Array. Ocean Eng. 2025, 318, 120077. [Google Scholar] [CrossRef]
- Amouzadrad, P.; Mohapatra, S.C.; Guedes Soares, C. Review of recent developments on the hydroelastic response and gap resonance of multi-body floating structures. Ocean Eng. 2024, 313, 119398. [Google Scholar] [CrossRef]
- Zhang, D.; Du, J.; Wang, J.; Chang, A. Probability Distribution of the Hull Motion and Mooring tension of Two Floating Systems. J. Ocean Univ. China 2020, 19, 281–297. [Google Scholar] [CrossRef]
- Zhang, D.; Du, J.; Yuan, Z.-M.; Yu, S. Motion Characteristics of Large Arrays of Modularized Floating Bodies with Hinge Connections. Phys. Fluids 2023, 35, 077107. [Google Scholar] [CrossRef]
- Song, X.; Wang, S. A Novel Spectral Moments Equivalence Based Lumping Block Method for Efficient Estimation of Offshore Structural Fatigue Damage. Int. J. Fatigue 2019, 118, 162–175. [Google Scholar] [CrossRef]
- Ding, R. The Study of Dynamic Characteristics for Chain-Type and Array-Type Floating Structures. Ph.D. Thesis, Hunan University, Changsha, China, 2021. (In Chinese). [Google Scholar]
- Zhang, D.; Yuan, Z.M.; Du, J. Hydrodynamic Modelling of Large Arrays of Modularized Floating Structures with Independent Oscillations. Appl. Ocean. Res. 2022, 129, 103371. [Google Scholar] [CrossRef]
- Zhou, Y.; Wang, S.Q.; Song, X.C. Experimental and numerical investigation on a novel lightweight offshore floating photovoltaic system with flexible inter-module connection. Ocean Eng. 2026, 343, 123568. [Google Scholar] [CrossRef]



















| Item | Length (m) | Width (m) | Height (m) | Displacement (ton) | VCG (m) | Moment of Roll Inertia (m4) | Moment of Yaw Inertia (m4) |
|---|---|---|---|---|---|---|---|
| Value | 30.0 | 30.0 | 3.00 | 60.27 | 1.19 | 3.93 × 106 | 8.48 × 106 |
| Significant Wave Height (m) | Spectral Peak Period (s) | Wind Speed (m/s) | Current Speed (m/s) |
|---|---|---|---|
| 1.21 | 3.869 | 32.6 | 1.0 |
| Item | Diameter (m) | Mass per Unit Length (kg/m) | Axial Stiffness (kN/m) | Cable Length (m) | MBL (kN) |
|---|---|---|---|---|---|
| Value | 0.043 | 1.99 | 2725 | 41.5 | 1430 |
| Item | Diameter (m) | Mass per Unit Length (kg/m) | Axial Stiffness (kN) | MBL (kN) |
|---|---|---|---|---|
| Value | 0.098 | 59.0 | 273,000 | 2110 |
| No. | Length/m | No. | Length/m | No. | Length/m | No. | Length/m |
|---|---|---|---|---|---|---|---|
| Line 01 | 48.5 | Line 07 | 48.5 | Line 13 | 48.5 | Line 19 | 48.5 |
| Line 02 | 48.5 | Line 08 | 48.5 | Line 14 | 48.5 | Line 20 | 48.5 |
| Line 03 | 48.5 | Line 09 | 48.5 | Line 15 | 48.5 | Line 21 | 61.0 |
| Line 04 | 48.5 | Line 10 | 48.5 | Line 16 | 48.5 | Line 22 | 61.0 |
| Line 05 | 48.5 | Line 11 | 48.5 | Line 17 | 48.5 | Line 23 | 61.0 |
| Line 06 | 48.5 | Line 12 | 48.5 | Line 18 | 48.5 | Line 24 | 61.0 |
| Item | Diameter (m) | Mass per Unit Length (kg/m) | Axial Stiffness (kN/m) | Cable Length (m) | MBL (kN) |
|---|---|---|---|---|---|
| Value | 0.043 | 1.99 | 2725 | 8.80 | 1430 |
| Comparison of Mooring Systems | Comparison of Connection Schemes | |
|---|---|---|
| Motion Amplitudes | Sway: Horizontal < Catenary Yaw: Horizontal > Catenary | Surge/yaw: Cross-cable > Hybrid |
| Tension | Mooring tension: Horizontal > Catenary (2–4 times that of catenary mooring) | Connection tension: Cross-cable ≈ Hybrid |
| Impact of water levels | Motion sensitivity: Catenary > Horizontal Tension variation: Horizontal (12%) < Catenary (31%) | Motion sensitivity: The two schemes exhibit different performances across different DoFs. Tension variation: Cross-cable (30%) < Hybrid (36%) |
| Impact of load cases | Motion sensitivity: Horizontal > Catenary Tension variation: Horizontal (25%) < Catenary (47%) | Motion sensitivity: The two schemes exhibit different performances across different DoFs. Tension variation: Cross-cable (56%) < Hybrid (78%) |
| Structural safty | Catenary > Horizontal | Cross-cable > Hybrid |
| Environmental adaptability | Horizontal > Catenary | Cross-cable > Hybrid |
Disclaimer/Publisher’s Note: The statements, opinions and data contained in all publications are solely those of the individual author(s) and contributor(s) and not of MDPI and/or the editor(s). MDPI and/or the editor(s) disclaim responsibility for any injury to people or property resulting from any ideas, methods, instructions or products referred to in the content. |
© 2026 by the authors. Licensee MDPI, Basel, Switzerland. This article is an open access article distributed under the terms and conditions of the Creative Commons Attribution (CC BY) license.
Share and Cite
Wang, X.; Wang, S.; Song, X.; Song, B. Coupled Responses and Performance Assessment of Mooring-Connection Systems for Floating Photovoltaic Arrays in Shallow Waters. J. Mar. Sci. Eng. 2026, 14, 117. https://doi.org/10.3390/jmse14020117
Wang X, Wang S, Song X, Song B. Coupled Responses and Performance Assessment of Mooring-Connection Systems for Floating Photovoltaic Arrays in Shallow Waters. Journal of Marine Science and Engineering. 2026; 14(2):117. https://doi.org/10.3390/jmse14020117
Chicago/Turabian StyleWang, Xiao, Shuqing Wang, Xiancang Song, and Bingtao Song. 2026. "Coupled Responses and Performance Assessment of Mooring-Connection Systems for Floating Photovoltaic Arrays in Shallow Waters" Journal of Marine Science and Engineering 14, no. 2: 117. https://doi.org/10.3390/jmse14020117
APA StyleWang, X., Wang, S., Song, X., & Song, B. (2026). Coupled Responses and Performance Assessment of Mooring-Connection Systems for Floating Photovoltaic Arrays in Shallow Waters. Journal of Marine Science and Engineering, 14(2), 117. https://doi.org/10.3390/jmse14020117
