Sign in to use this feature.

Years

Between: -

Subjects

remove_circle_outline
remove_circle_outline
remove_circle_outline
remove_circle_outline
remove_circle_outline
remove_circle_outline
remove_circle_outline

Journals

Article Types

Countries / Regions

remove_circle_outline
remove_circle_outline
remove_circle_outline

Search Results (225)

Search Parameters:
Keywords = photo–redox

Order results
Result details
Results per page
Select all
Export citation of selected articles as:
41 pages, 6896 KB  
Review
Illuminating Total Synthesis: Strategic Applications of Photochemistry in Natural Product Construction
by Pietro Capurro, Cristina Martini and Andrea Basso
Photochem 2026, 6(1), 5; https://doi.org/10.3390/photochem6010005 - 12 Jan 2026
Viewed by 180
Abstract
Synthesizing natural substances has always been a significant challenge for organic chemists. The key to a successful total synthesis lies in utilizing reactions that generate molecular complexity with high stereocontrol. Photochemical reactions offer immense potential in this regard, though their complex mechanisms require [...] Read more.
Synthesizing natural substances has always been a significant challenge for organic chemists. The key to a successful total synthesis lies in utilizing reactions that generate molecular complexity with high stereocontrol. Photochemical reactions offer immense potential in this regard, though their complex mechanisms require careful mastery. This review explores recent examples from the literature where light-mediated reactions are crucial, often irreplaceable by thermal alternatives. The manuscript is organized by different photochemical processes, each introduced with relevant background. This review does not offer a complete analysis of all recent light-assisted syntheses; rather, it offers a glimpse into the growing trend of using photo-driven transformations to address significant synthetic challenges. Full article
(This article belongs to the Special Issue Feature Review Papers in Photochemistry)
Show Figures

Graphical abstract

14 pages, 1515 KB  
Article
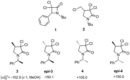
Stereoselective Cytotoxicity of Enantiopure 3,3-Dichloro-γ-lactams: Correlating In Vitro Activity with In Vivo Tolerability
by Faïza Diaba, Elisabet Teixidó and María del Carmen Morán
Molecules 2025, 30(24), 4778; https://doi.org/10.3390/molecules30244778 - 15 Dec 2025
Viewed by 405
Abstract
Enantiopure γ-lactams have emerged as promising scaffolds for anticancer drug development, yet the influence of stereochemistry on their biological activity remains insufficiently explored. In this study, we evaluated the in vitro cytotoxicity and in vivo toxicity of selected enantiopure 3,3-dichloro-γ-lactams and their corresponding [...] Read more.
Enantiopure γ-lactams have emerged as promising scaffolds for anticancer drug development, yet the influence of stereochemistry on their biological activity remains insufficiently explored. In this study, we evaluated the in vitro cytotoxicity and in vivo toxicity of selected enantiopure 3,3-dichloro-γ-lactams and their corresponding epimers, with particular focus on their selectivity toward tumor versus non-tumor cells. The compounds were synthesized through green photoredox processes and tested for cytotoxicity using MTT and NRU assays in human cancer cell lines (A431, HeLa, MCF-7) and non-tumor controls (3T3, HaCaT). Toxicity and tolerability were further assessed in vivo using zebrafish (Danio rerio) embryos. Among the series, compound 3 displayed the most favorable selectivity index, combining potent anticancer effects with reduced activity toward non-tumor cells (HaCaT). Consistent with the in vitro results, compound 3 also demonstrated superior tolerability in zebrafish embryos compared with compound 4. These findings highlight the critical role of stereochemistry in modulating the cytotoxic and safety profiles of γ-lactams. Overall, compound 3 ((R)-3,3-dichloro-4-methyl-1-((S)-1-phenylethyl)pyrrolidin-2-one) emerges as a promising candidate for further preclinical development. Full article
Show Figures

Figure 1

18 pages, 3347 KB  
Article
Hollow Conductive Polymer Nanospheres with Metal–Polyphenol Interfaces for Tunable Hydrogen Peroxide Activation and Energy Conversion
by Ruolan Du, Shuyan Liu and Yuanzhe Li
Polymers 2025, 17(24), 3305; https://doi.org/10.3390/polym17243305 - 13 Dec 2025
Viewed by 324
Abstract
Hydrogen peroxide (H2O2) is a key oxidant for green chemical processes, yet its catalytic utilization and activation efficiency remain limited by material instability and uncontrolled radical release. Here, we report a dual-functional, hollow conductive polymer nanostructure that enables selective [...] Read more.
Hydrogen peroxide (H2O2) is a key oxidant for green chemical processes, yet its catalytic utilization and activation efficiency remain limited by material instability and uncontrolled radical release. Here, we report a dual-functional, hollow conductive polymer nanostructure that enables selective modulation of H2O2 reactivity through interfacial physicochemical design. Hollow polypyrrole nanospheres functionalized with carboxyl groups (PPy@PyCOOH) were synthesized via a one-step Fe2+/H2O2 oxidative copolymerization route, in which H2O2 simultaneously served as oxidant, template, and reactant. The resulting structure exhibits enhanced hydrophilicity, rapid redox degradability (>80% optical loss in 60 min (82.5 ± 4.1%, 95% CI: 82.5 ± 10.2%), 10 mM H2O2, pH 6.5), and strong electronic coupling to reactive oxygen intermediates. Subsequent tannic acid–copper (TA–Cu) coordination produced a conformal metal–polyphenol network that introduces a controllable Fenton-like catalytic interface, achieving a 50% increase in ROS yield (1.52 ± 0.08-fold vs. control, 95% CI: 1.52 ± 0.20-fold) while maintaining stable photothermal conversion under repeated NIR cycles. Mechanistic analysis reveals that interfacial TA–Cu complexes regulate charge delocalization and proton–electron transfer at the polymer–solution boundary, balancing redox catalysis with energy dissipation. This work establishes a sustainable platform for H2O2-driven redox and photo-thermal coupling, integrating conductive polymer chemistry with eco-friendly catalytic pathways. Full article
(This article belongs to the Section Polymer Applications)
Show Figures

Figure 1

30 pages, 2987 KB  
Review
High-Entropy Materials for Photocatalysis: A Mini Review
by Wenhao Bai, Fei Chang, Kaiwen Li, Yujjie Kou and Wei Tian
Catalysts 2025, 15(12), 1152; https://doi.org/10.3390/catal15121152 - 5 Dec 2025
Viewed by 1076
Abstract
In recent years, high-entropy materials (HEMs) have emerged as a promising multifunctional material system, garnering significant interest in the field of photocatalysis due to their tunable microstructures, diverse compositions, and unique electronic properties. Owing to their multi-element synergistic effects and abundant active sites, [...] Read more.
In recent years, high-entropy materials (HEMs) have emerged as a promising multifunctional material system, garnering significant interest in the field of photocatalysis due to their tunable microstructures, diverse compositions, and unique electronic properties. Owing to their multi-element synergistic effects and abundant active sites, high-entropy photocatalysts enable precise regulation over the separation efficiency of photo-generated charge carriers and surface reaction pathways, thereby significantly enhancing photocatalytic activity and selectivity. The high configurational entropy of these materials also imparts exceptional structural stability, allowing the catalysts to maintain long-term durability under harsh conditions, such as intense light irradiation, extreme pH levels, or redox environments. This provides a potential alternative to common issues faced by traditional photocatalysts, such as rapid deactivation and short lifespans. This review highlights recent advancements in the preparations and applications of HEMs in various photocatalytic processes, including the degradation of organic pollutants, hydrogen production, CO2 reduction and methanation, H2O2 production, and N2 fixation. The emergence of high-entropy photocatalysts has paved the way for new opportunities in environmental remediation and energy conversion. Full article
(This article belongs to the Collection Catalysis in Advanced Oxidation Processes for Pollution Control)
Show Figures

Figure 1

27 pages, 3010 KB  
Review
Targeting the Reactive Proteome: Recent Advances in Activity-Based Protein Profiling and Probe Design
by Yuan-Fei Zhou, Ling Zhang, Zhuoyi L. Niu and Zhipeng A. Wang
Biomolecules 2025, 15(12), 1699; https://doi.org/10.3390/biom15121699 - 5 Dec 2025
Viewed by 1617
Abstract
Activity-based protein profiling (ABPP) has emerged as a powerful chemical proteomics approach for profiling active amino acid residues, mapping functional proteins, and guiding covalent drug development in complex biological systems. Recent methodological advances have produced several novel formats, including tandem orthogonal proteolysis-ABPP (TOP-ABPP), [...] Read more.
Activity-based protein profiling (ABPP) has emerged as a powerful chemical proteomics approach for profiling active amino acid residues, mapping functional proteins, and guiding covalent drug development in complex biological systems. Recent methodological advances have produced several novel formats, including tandem orthogonal proteolysis-ABPP (TOP-ABPP), isotopic tandem orthogonal proteolysis-ABPP (IsoTOP-ABPP), and competitive IsoTOP-ABPP, enabling broader target identification and quantitative analysis for varied experimental purposes. In parallel, chemical probe design has evolved to selectively target specific amino acid residues, such as cysteine (Cys), lysine (Lys), and histidine (His), and to incorporate photoaffinity labeling (PAL) functionalities for capturing transient or weak protein-ligand interactions. Additionally, the integration of cleavable linkers with diverse cleavage mechanisms, including acid/base-mediated, redox-mediated, and photo irradiation mechanisms, has enhanced probe versatility and downstream analytical workflows. This review summarizes recent advances in ABPP methodologies and the design of activity-based probes and PAL probes, emphasizing their implications for future work in chemical biology. Full article
Show Figures

Figure 1

7 pages, 1277 KB  
Proceeding Paper
Photoelectroactive Corrole Monomer Functionalized with a Triphenylamine–Chalcone Derivative: Synthesis, Electropolymerization, and Electrochromic Applications
by Elizabeth Bermúdez Prieto, Edwin Javier Gónzalez López, Claudia Solis, Andres Calosso, Luis Otero, Edgardo Néstor Durantini, Lorena Macor, Miguel Gervaldo and Daniel Alejandro Heredia
Chem. Proc. 2025, 18(1), 29; https://doi.org/10.3390/ecsoc-29-26913 - 13 Nov 2025
Viewed by 162
Abstract
In this work, we report the divergent synthesis of a novel corrole macrocycle with a T-shaped geometry, functionalized with triphenylamine (TPA) units. The synthetic route involved a green preparation of 5-(pentafluorophenyl)dipyrromethane, condensation with pentafluorobenzaldehyde, and DDQ oxidation to afford the target corrole. In [...] Read more.
In this work, we report the divergent synthesis of a novel corrole macrocycle with a T-shaped geometry, functionalized with triphenylamine (TPA) units. The synthetic route involved a green preparation of 5-(pentafluorophenyl)dipyrromethane, condensation with pentafluorobenzaldehyde, and DDQ oxidation to afford the target corrole. In parallel, a TPA-based chalcone derivative was obtained and introduced via regioselective nucleophilic aromatic substitution. The resulting photoactive corrole–TPA conjugate exhibited efficient electropolymerization, retaining the corrole chromophore while forming conductive TPB-linked films (TPB, tetraphenylbenzidine). Spectroelectrochemical studies confirmed reversible redox activity, color switching, and electrochromic behavior, highlighting its potential as a building block for photo- and electroactive devices. Full article
Show Figures

Graphical abstract

30 pages, 6082 KB  
Review
Metal–Organic Framework for Plastic Depolymerization and Upcycling
by Kisung Lee, Sumin Han, Minse Kim, Byoung-su Kim, Jeong-Ann Park, Kwang Suk Lim, Suk-Jin Ha and Hyun-Ouk Kim
Crystals 2025, 15(10), 897; https://doi.org/10.3390/cryst15100897 - 16 Oct 2025
Viewed by 1449
Abstract
Plastics are essential in modern life but accumulate as waste. Mechanical reprocessing reduces material quality, whereas thermochemical routes require harsh conditions and are costly to upgrade. Together, these factors hinder the large-scale recovery of plastics into equivalent materials. Metal–organic frameworks provide a programmable [...] Read more.
Plastics are essential in modern life but accumulate as waste. Mechanical reprocessing reduces material quality, whereas thermochemical routes require harsh conditions and are costly to upgrade. Together, these factors hinder the large-scale recovery of plastics into equivalent materials. Metal–organic frameworks provide a programmable platform where reticular design fixes porosity and positions well-defined Lewis, Brønsted, redox, and photoredox sites that can preconcentrate oligomers and align scissile bonds for activation. These attributes enable complementary pathways spanning hydrolysis, alcoholysis, aminolysis, photo-oxidation, electrocatalysis, and MOF-derived transformations, with adsorption-guided capture-to-catalysis workflows emerging as integrative schemes. In this review, we establish common figures of merit such as space–time yield, monomer selectivity and purity, energy intensity, site-normalized turnover, and solvent or corrosion footprints. These metrics are connected to design rules that involve active-site chemistry and transport through semi-crystalline substrates. We also emphasize durability under hot aqueous, alcoholic, or oxidative conditions as essential for producing polymer-grade products. Full article
(This article belongs to the Section Macromolecular Crystals)
Show Figures

Graphical abstract

17 pages, 1608 KB  
Article
Sludge-Derived Hercynite–Carbon as a Low-Cost Catalyst for Efficient Degradation of Refractory Pollutants in Wastewater
by Md Manik Mian, Jiaxin Zhu, Xiangzhe Jiang and Shubo Deng
Water 2025, 17(19), 2908; https://doi.org/10.3390/w17192908 - 9 Oct 2025
Viewed by 758
Abstract
Developing a robust Fenton-like catalyst through a feasible method is a significant challenge and is crucial for sustainability in wastewater treatment. Herein, we report a novel dual-phase H2O2 activation for OH generation via both heterogeneous surface-mediated reactions and homogeneous [...] Read more.
Developing a robust Fenton-like catalyst through a feasible method is a significant challenge and is crucial for sustainability in wastewater treatment. Herein, we report a novel dual-phase H2O2 activation for OH generation via both heterogeneous surface-mediated reactions and homogeneous radical propagation pathways. Mechanistic investigations revealed that the surface Fe2+/Fe3+ redox cycle was the primary driver of catalysis at pH 5. Notably, the catalyst produced fewer secondary pollutants than Fenton reactions and was effective in treating pollutants with high concentrations. The oxidative performance of the PAS-ISe was comparable to that of commercial FeSO4·7H2O in terms of chemical oxygen demand (COD) removal efficiency and reaction kinetics. Besides, the utility of the catalyst was 2-75-fold greater than that of state-of-the-art Fenton or photo-Fenton-like catalysts. A detailed techno-economic analysis confirmed the feasibility of this strategy and significant cost advantages over existing heterogeneous catalyst synthesis methods. This study concurrently proposes a low-cost approach to valorizing hazardous sludge and effectively treating industrial wastewater, which may support circular economic principles. Full article
(This article belongs to the Section Wastewater Treatment and Reuse)
Show Figures

Figure 1

42 pages, 1810 KB  
Review
Reactive Sulfur Species and Protein Persulfidation: An Emerging Redox Axis in Human Health and Disease
by Celia María Curieses Andrés, Fernando Lobo, José Manuel Pérez de la Lastra, Elena Bustamante Munguira, Celia Andrés Juan and Eduardo Pérez Lebeña
Curr. Issues Mol. Biol. 2025, 47(9), 765; https://doi.org/10.3390/cimb47090765 - 16 Sep 2025
Cited by 5 | Viewed by 2587
Abstract
Reactive sulfur species (RSS)—hydrogen sulfide (H2S), low-molecular-weight persulfides/polysulfides and protein persulfidation—constitute a third redox axis alongside ROS and RNS. Nanomolar H2S, produced by trans-sulfuration (CBS/CSE) and 3-MST, is oxidized by sulfide–quinone reductase to persulfides that fuel the respiratory chain [...] Read more.
Reactive sulfur species (RSS)—hydrogen sulfide (H2S), low-molecular-weight persulfides/polysulfides and protein persulfidation—constitute a third redox axis alongside ROS and RNS. Nanomolar H2S, produced by trans-sulfuration (CBS/CSE) and 3-MST, is oxidized by sulfide–quinone reductase to persulfides that fuel the respiratory chain while curbing superoxide. Reversible persulfidation reprograms cysteine sensors in metabolism (GAPDH), inflammation (NLRP3, p47phox) and transcription (Keap1/NRF2), linking RSS to energy balance, vasodilation, innate immunity and neuroplasticity. Disrupted sulfur signaling—deficit or overload—contributes to heart failure, sarcopenia, neurodegeneration, cancer and post-COVID syndromes. Therapeutically, slow-release donors (SG1002, GYY4137), mitochondria-targeted vectors (AP39), photo- or thiol-activated “smart” scaffolds, diet-derived polysulfides/isothiocyanates and microbiota engineering aim to restore the protective RSS window. Key challenges are a narrow therapeutic margin and real-time quantification of persulfide fluxes. Harnessing RSS therefore offers a route to rebalance redox homeostasis across diverse chronic diseases. Full article
Show Figures

Figure 1

14 pages, 2597 KB  
Article
Chemical and Isotopic Investigation of Abiotic Oxidation of Lactate Substrate in the Presence of Varied Electron Acceptors and Under Circumneutral Anaerobic Conditions
by Tsigabu A. Gebrehiwet and R. V. Krishnamurthy
Water 2025, 17(15), 2308; https://doi.org/10.3390/w17152308 - 3 Aug 2025
Viewed by 633
Abstract
Abiotic processes have ramifications in wastewater treatment, in situ degradation of organic matter, and cycling of nutrients in wetland ecosystems. Experiments were conducted to investigate abiotic oxidation of organic compounds (lactate) as a function of electron acceptors (ferric citrate and hydrous ferric oxide [...] Read more.
Abiotic processes have ramifications in wastewater treatment, in situ degradation of organic matter, and cycling of nutrients in wetland ecosystems. Experiments were conducted to investigate abiotic oxidation of organic compounds (lactate) as a function of electron acceptors (ferric citrate and hydrous ferric oxide (HFO), media composition, and pH under anaerobic conditions, using sodium bicarbonate as the buffering agent. Dissolved inorganic carbon (DIC) was used as a proxy for the oxidation of substrates. HFO media generated more DIC compared to ferric citrate containing media. Light and pH had major roles in the oxidation of lactate in the presence of ferric iron. Under dark conditions in the presence or absence of Fe(III), the DIC produced was low in all pH conditions. Inhibition of DIC production was also observed upon photo exposure when Fe (III) was absent. Isotopically, the system showed initial mixing between the bicarbonate and the carbon dioxide produced from oxidation later being dominated by carbon isotope value of lactate used. These redox conditions align with previous studies suggesting cleavage of organic compounds by hydroxyl radicals. The slower redox processes observed here, compared to previous studies, could be due to the scavenging effect of chloride ion on the hydroxyl radical. Full article
Show Figures

Figure 1

17 pages, 7820 KB  
Article
Visible Light Activation of Anatase TiO2 Achieved by beta-Carotene Sensitization on Earth’s Surface
by Xiao Ge, Hongrui Ding, Tong Liu, Yifei Du and Anhuai Lu
Catalysts 2025, 15(8), 739; https://doi.org/10.3390/catal15080739 - 1 Aug 2025
Viewed by 963
Abstract
Photocatalytic redox processes significantly contribute to shaping Earth’s surface environment. Semiconductor minerals exhibiting favorable photocatalytic properties are ubiquitous on rock and soil surfaces. However, the sunlight-responsive characteristics and functions of TiO2, an excellent photocatalytic material, within natural systems remain incompletely understood, [...] Read more.
Photocatalytic redox processes significantly contribute to shaping Earth’s surface environment. Semiconductor minerals exhibiting favorable photocatalytic properties are ubiquitous on rock and soil surfaces. However, the sunlight-responsive characteristics and functions of TiO2, an excellent photocatalytic material, within natural systems remain incompletely understood, largely due to its wide bandgap limiting solar radiation absorption. This study analyzed surface coating samples, determining their elemental composition, distribution, and mineralogy. The analysis revealed enrichment of anatase TiO2 and β-carotene. Informed by these observations, laboratory simulations were designed to investigate the synergistic effect of β-carotene on the sunlight-responsive behavior of anatase. Results demonstrate that β-carotene-sensitized anatase exhibited a 64.4% to 66.1% increase in photocurrent compared to pure anatase. β-carotene sensitization significantly enhanced anatase’s electrochemical activity, promoting rapid electron transfer. Furthermore, it improved interfacial properties and acted as a photosensitizer, boosting photo-response characteristics. The sensitized anatase displayed a distinct absorption peak within the 425–550 nm range, with visible light absorption increasing by approximately 17.75%. This study elucidates the synergistic mechanism enhancing the sunlight response between anatase and β-carotene in natural systems and its broader environmental implications, providing new insights for research on photocatalytic redox processes within Earth’s critical zone. Full article
(This article belongs to the Special Issue Advancements in Photocatalysis for Environmental Applications)
Show Figures

Graphical abstract

81 pages, 10454 KB  
Review
Glancing Angle Deposition in Gas Sensing: Bridging Morphological Innovations and Sensor Performances
by Shivam Singh, Kenneth Christopher Stiwinter, Jitendra Pratap Singh and Yiping Zhao
Nanomaterials 2025, 15(14), 1136; https://doi.org/10.3390/nano15141136 - 21 Jul 2025
Cited by 2 | Viewed by 2670
Abstract
Glancing Angle Deposition (GLAD) has emerged as a versatile and powerful nanofabrication technique for developing next-generation gas sensors by enabling precise control over nanostructure geometry, porosity, and material composition. Through dynamic substrate tilting and rotation, GLAD facilitates the fabrication of highly porous, anisotropic [...] Read more.
Glancing Angle Deposition (GLAD) has emerged as a versatile and powerful nanofabrication technique for developing next-generation gas sensors by enabling precise control over nanostructure geometry, porosity, and material composition. Through dynamic substrate tilting and rotation, GLAD facilitates the fabrication of highly porous, anisotropic nanostructures, such as aligned, tilted, zigzag, helical, and multilayered nanorods, with tunable surface area and diffusion pathways optimized for gas detection. This review provides a comprehensive synthesis of recent advances in GLAD-based gas sensor design, focusing on how structural engineering and material integration converge to enhance sensor performance. Key materials strategies include the construction of heterojunctions and core–shell architectures, controlled doping, and nanoparticle decoration using noble metals or metal oxides to amplify charge transfer, catalytic activity, and redox responsiveness. GLAD-fabricated nanostructures have been effectively deployed across multiple gas sensing modalities, including resistive, capacitive, piezoelectric, and optical platforms, where their high aspect ratios, tailored porosity, and defect-rich surfaces facilitate enhanced gas adsorption kinetics and efficient signal transduction. These devices exhibit high sensitivity and selectivity toward a range of analytes, including NO2, CO, H2S, and volatile organic compounds (VOCs), with detection limits often reaching the parts-per-billion level. Emerging innovations, such as photo-assisted sensing and integration with artificial intelligence for data analysis and pattern recognition, further extend the capabilities of GLAD-based systems for multifunctional, real-time, and adaptive sensing. Finally, current challenges and future research directions are discussed, emphasizing the promise of GLAD as a scalable platform for next-generation gas sensing technologies. Full article
Show Figures

Graphical abstract

46 pages, 3942 KB  
Review
Catalytic Fluorination with Modern Fluorinating Agents: Recent Developments and Synthetic Scope
by Muhammad Saeed Akhtar, Mohammad Aslam, Wajid Zaman, Kuppu Sakthi Velu, Seho Sun and Hee Nam Lim
Catalysts 2025, 15(7), 665; https://doi.org/10.3390/catal15070665 - 8 Jul 2025
Viewed by 7080
Abstract
Fluorinated organic molecules have become indispensable in modern chemistry, owing to the unique properties imparted by fluorine to other compounds, including enhanced metabolic stability, controlled lipophilicity, and improved bioavailability. The site-selective incorporation of fluorine atoms into organic frameworks is essential in pharmaceutical, agrochemical, [...] Read more.
Fluorinated organic molecules have become indispensable in modern chemistry, owing to the unique properties imparted by fluorine to other compounds, including enhanced metabolic stability, controlled lipophilicity, and improved bioavailability. The site-selective incorporation of fluorine atoms into organic frameworks is essential in pharmaceutical, agrochemical, and material science research. In recent years, catalytic fluorination has become an important methodology for the efficient and selective incorporation of fluorine atoms into complex molecular architectures. This review highlights advances in catalytic fluorination reactions over the past six years and describes the contributions of transition metal catalysts, photocatalysts, organocatalysts, and electrochemical systems that have enabled site-selective fluorination under a variety of conditions. Particular attention is given to the use of well-defined fluorinating agents, including Selectfluor, N-fluorobenzenesulfonimide (NFSI), AlkylFluor, Synfluor, and hypervalent iodine reagents. These reagents have been combined with diverse catalytic systems, such as AgNO3, Rh(II), Mo-based complexes, Co(II)-salen, and various organocatalysts, including β,β-diaryl serine catalysts, isothiourea catalysts, and chiral phase-transfer catalysts. This review summarizes proposed mechanisms reported in the original studies and discusses examples of electrophilic, nucleophilic, radical, photoredox, and electrochemical fluorination pathways. Recent developments in stereoselective and more sustainable protocols are also examined. By consolidating these strategies, this article provides an up-to-date perspective on catalytic fluorination and its impact on synthetic organic chemistry. Full article
(This article belongs to the Special Issue Sustainable Catalysis for Green Chemistry and Energy Transition)
Show Figures

Graphical abstract

22 pages, 2603 KB  
Review
Core–Shell Engineering of One-Dimensional Cadmium Sulfide for Solar Energy Conversion
by Rama Krishna Chava and Misook Kang
Nanomaterials 2025, 15(13), 1000; https://doi.org/10.3390/nano15131000 - 27 Jun 2025
Cited by 3 | Viewed by 1237
Abstract
Fabricating efficient photocatalysts that can be used in solar-to-fuel conversion and to enhance the photochemical reaction rate is essential to the current energy crisis and climate changes due to the excessive usage of nonrenewable fossil fuels. To attain high photo-to-chemical conversion efficiency, it [...] Read more.
Fabricating efficient photocatalysts that can be used in solar-to-fuel conversion and to enhance the photochemical reaction rate is essential to the current energy crisis and climate changes due to the excessive usage of nonrenewable fossil fuels. To attain high photo-to-chemical conversion efficiency, it is important to fabricate cost-effective and durable catalysts with high activity. One-dimensional cadmium sulfides (1D CdS), with higher surface area, charge carrier separation along the linear direction, and visible light harvesting properties, are promising candidates for converting solar energy to H2, reducing CO2 to commodity chemicals, and remediating environmental pollutants. The main disadvantage of CdS is photocorrosion due to the leaching of S2− ions during the photochemical reactions, and further charge recombination rate leads to low quantum efficiency. Therefore, the implementation of core–shell heterostructured morphology, i.e., the growth of the shell on the surface of the 1D CdS, which offers unique features such as protection of CdS from photocorrosion, a tunable interface between the core CdS and shell, and photogenerated charge carrier separation via heterojunctions, provides additional active sites and enhanced visible light harvesting. Therefore, the viability of the core–shell synthesis strategy and synergetic effects offer a new way of designing photocatalysts with enhanced stability and improved charge separation in solar energy conversion systems. This review highlights some critical aspects of synthesizing 1D CdS core–shell heterostructures, underlying reaction mechanisms, and their performance in photoredox reactions. Finally, some challenges and considerations in the fabrication of 1D CdS-based core–shell nanostructures that can overcome the current barriers in industrial applications are discussed. Full article
Show Figures

Figure 1

21 pages, 4033 KB  
Article
Nature-Inspired Redox Active Organic Molecules: Design, Synthesis, and Characterization of Pyridine Derivatives
by Gloria M. Acosta-Tejada, Martha M. Flores-Leonar, Jazmín García-Ramírez, Víctor M. Ugalde-Saldívar and Alfredo Vázquez
Chemistry 2025, 7(3), 100; https://doi.org/10.3390/chemistry7030100 - 18 Jun 2025
Cited by 1 | Viewed by 2288
Abstract
In this article, we present experimental and theoretical studies of pyridine derivatives (pyDs) inspired by natural systems to investigate the electron transfer processes occurring in aqueous media and elaborate a theoretical model that adequately predicts the behavior of new derivatives. Our results might [...] Read more.
In this article, we present experimental and theoretical studies of pyridine derivatives (pyDs) inspired by natural systems to investigate the electron transfer processes occurring in aqueous media and elaborate a theoretical model that adequately predicts the behavior of new derivatives. Our results might be relevant to scientific and technological applications, including energy storage, redox-active scaffolds for organic synthesis, photoredox catalysis, and new materials. The synthesis of eight pyDs is reported. To improve water solubility, six new compounds are hexafluorophosphate alkylammonium salts. The pyDs exhibit irreversible redox processes, with electron-donating substituents decreasing the cathodic peak potential while electron-withdrawing groups increase it; when both substituents are present, the latter effect prevails. A computational study was performed to investigate the electrochemical behavior of the synthesized compounds and design new electroactive pyDs. DFT calculations provided the predominant species’ redox potentials and acidity constants to elaborate Pourbaix diagrams for each compound. The synthesized molecules exhibit a two-electron-one-proton dismutation process in the water pH window. Beyond this range, stabilized radical species undergo one-electron exchange processes. We correlated experimental and calculated parameters, screening 22 additional derivatives to evaluate their electrochemical behavior, identifying potential candidates capable of performing a one-electron transfer process in the pH window of water, revealing new applications for pyDs. Full article
(This article belongs to the Section Molecular Organics)
Show Figures

Graphical abstract

Back to TopTop