Sign in to use this feature.

Years

Between: -

Subjects

remove_circle_outline
remove_circle_outline
remove_circle_outline
remove_circle_outline
remove_circle_outline
remove_circle_outline
remove_circle_outline
remove_circle_outline
remove_circle_outline

Journals

Article Types

Countries / Regions

Search Results (157)

Search Parameters:
Keywords = pericarp development

Order results
Result details
Results per page
Select all
Export citation of selected articles as:
21 pages, 8141 KB  
Article
Comprehensive Histological, Endogenous Hormone, and Transcriptome Analysis to Reveal the Mechanism of Hormone Regulation Mediating Pepper (Capsicum annum L.) Fruit Size
by Sijie Tang, Zekui Ou, Xiaowen Fan, Qijian Ning, Wei Liu, Xin Liu, Xingtian Long, Jiahao Zhou and Yuhua Liu
Horticulturae 2025, 11(10), 1150; https://doi.org/10.3390/horticulturae11101150 - 25 Sep 2025
Abstract
As the only harvest organ of pepper, fruit size is an important yield determinant. To elucidate the molecular mechanisms underlying pepper fruit size, we performed histological, physiological, and transcriptomic analyses on the pepper varieties QB6 (large fruit) and CXJ82 (small fruit). High contents [...] Read more.
As the only harvest organ of pepper, fruit size is an important yield determinant. To elucidate the molecular mechanisms underlying pepper fruit size, we performed histological, physiological, and transcriptomic analyses on the pepper varieties QB6 (large fruit) and CXJ82 (small fruit). High contents of auxin and cytokinin in the early stage of fruit development promoted the rapid division of fruit cells in both varieties, which provided sufficient cells for subsequent fruit enlargement. High gibberellin accumulation induced the elongation and expansion of QB6 pericarp cells. Transcriptome analysis showed that genes related to cell division, cell wall polysaccharide degradation, and photosynthesis were highly expressed in QB6 fruit, likely contributing to its larger size. In the hormone–signal transduction factor–gene interaction network, GID6, GID1, IAA12, MYC30, and SAUR36 exhibited high correlations with numerous genes related to cell division, the cell wall, and photosynthesis, emerging as key signal transduction factors for the hormone-mediated regulation of pepper fruit size. Weighted gene co-expression network analysis identified the transcription factors OFP20, HD-ZIP6, and HD-ZIP13 as fundamental for pepper fruit size regulation. Our results expand the understanding of hormone regulation of pepper fruit size, providing a foundation for the breeding and improvement of excellent pepper varieties. Full article
(This article belongs to the Special Issue Genomics and Genetic Diversity in Vegetable Crops)
Show Figures

Figure 1

14 pages, 969 KB  
Article
Overcoming Obstacles: Perspective on How Mediterranean Oaks Defend Their Acorns from Insect Seed Predators
by David A. Oropesa-Olmedo, Enrique Andivia, Michał Reut, Pablo Cisneros and Raúl Bonal
Insects 2025, 16(9), 990; https://doi.org/10.3390/insects16090990 - 22 Sep 2025
Viewed by 137
Abstract
Insect pre-dispersal seed predators attack a large proportion of the acorn crops in oak forests worldwide. Oaks (Quercus spp.) have evolved several strategies, including physical barriers, chemical defenses (e.g., tannins), and/or phenological predator avoidance, to reduce infestation rates. This study examines how [...] Read more.
Insect pre-dispersal seed predators attack a large proportion of the acorn crops in oak forests worldwide. Oaks (Quercus spp.) have evolved several strategies, including physical barriers, chemical defenses (e.g., tannins), and/or phenological predator avoidance, to reduce infestation rates. This study examines how four Mediterranean oak species cope with acorn-feeding insects. Nearly 4000 acorns were collected from five sites at two time points during the maturation period: in mid-September and mid-October. Infestation rates were higher in mid-September, when the pericarp is softer and easier to drill, but at that time, the cotyledon tannin content was higher. Q. coccifera acorns had the highest tannin concentration, which, we experimentally discovered, hampered weevil development (with longer development and a lower final larval mass). Infested acorn abscission was also more effective in Q. coccifera. Due to the smaller size and later maturation phenology of its acorns, insects depleted the cotyledons and suffered food shortages more frequently. In the end, Q. coccifera showed the lowest acorn infestation rates, although its strategy would have costs in further stages of the regeneration cycle. Tannins deter acorn dispersers, and their production is costly. Such trade-offs would favor the co-existence of different strategies evolved by Quercus spp. against pre-dispersal insect predators. Full article
(This article belongs to the Special Issue The Richness of the Forest Microcosmos)
Show Figures

Figure 1

19 pages, 42552 KB  
Article
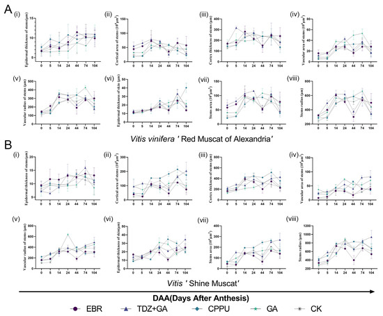
Synergistic Effects of Gibberellic Acid, Forchlorfenuron, Thidiazuron, and Brassinosteroid Combinations on Seedless Berry Development and Quality Enhancement in ‘Shine Muscat’ and ‘Red Muscat of Alexandria’ Grapes
by Pengcheng Yang, Zishu Wu, Boyang Liu, Lei Wang and Shiping Wang
Biology 2025, 14(9), 1270; https://doi.org/10.3390/biology14091270 - 15 Sep 2025
Viewed by 433
Abstract
Plant growth regulators (PGRs) are widely used to enhance table grape quality, yet cultivar-specific responses and microstructural outcomes remain insufficiently resolved. We evaluated five PGRs—gibberellic acid (GA3), 24-epibrassinolide (EBR), forchlorfenuron (CPPU), thidiazuron (TDZ), and streptomycin (SM)—in ‘Shine Muscat’ and ‘Red Muscat [...] Read more.
Plant growth regulators (PGRs) are widely used to enhance table grape quality, yet cultivar-specific responses and microstructural outcomes remain insufficiently resolved. We evaluated five PGRs—gibberellic acid (GA3), 24-epibrassinolide (EBR), forchlorfenuron (CPPU), thidiazuron (TDZ), and streptomycin (SM)—in ‘Shine Muscat’ and ‘Red Muscat of Alexandria’. Twelve combinations were applied at full bloom (D0) and 14 days post-anthesis (D14), and morphological, physiological, and histological traits were monitored over 104 days. In ‘Shine Muscat’, GA3 + TDZ and GA3 + CPPU achieved nearly 100% seedlessness, while CPPU and TDZ markedly increased berry weight and size via cortical expansion. GA3 increased berry weight but caused rachis thickening and reduced total soluble solids (TSS). EBR at concentrations ≥ 0.2 mg L−1 inhibited berry growth, and SM reduced berry size and weight. Histology showed that TDZ and CPPU enlarged cortical area and epidermal thickness, potentially strengthening pericarp robustness, whereas GA3 enlarged vascular bundle area. ‘Red Muscat of Alexandria’ showed generally weaker responses, reflecting differences between Vitis vinifera and hybrid backgrounds. These results demonstrate that combinatorial PGR strategies can be tailored to optimize berry development and quality through coordinated regulation of growth, metabolism, and microstructure. TDZ and CPPU exhibit strong production potential for enlargement, whereas GA3 and EBR require careful dose optimization to balance benefits and quality risks. Full article
(This article belongs to the Section Plant Science)
Show Figures

Figure 1

19 pages, 8100 KB  
Article
Genome-Wide Analysis of the Maize LBD Gene Family Reveals a Role for ZmLBD12 in the Development of Lateral Roots
by Shifeng Wang, Yang Wang, Jianbing Zhong, Wenlin Xu, Qingyou Gong, Lihong Zhai, Gaoke Li and Jun Huang
Plants 2025, 14(16), 2600; https://doi.org/10.3390/plants14162600 - 21 Aug 2025
Viewed by 498
Abstract
The growth and yield of the aboveground parts of maize (Zea mays L.) are closely associated with development of the root system. LBD (Lateral Organ Boundaries Domain) transcription factors are crucial for the regulation of lateral organ development in plants. However, to [...] Read more.
The growth and yield of the aboveground parts of maize (Zea mays L.) are closely associated with development of the root system. LBD (Lateral Organ Boundaries Domain) transcription factors are crucial for the regulation of lateral organ development in plants. However, to date, little information has been uncovered about the LBD gene family in maize. In this research, a genome-wide identification revealed 45 LBD gene members in maize. The subsequent phylogeny, structure, and profiles of expression were analyzed. These genes were found to be dispersed across all 10 maize chromosomes and expressed in diverse tissues, including the roots, leaves, stems, pericarp, and vegetative meristems. Notably, ZmLBD12 exhibited specific expression in roots. Subsequent over-expression of ZmLBD12 in Arabidopsis thaliana demonstrated its role in lateral root development, identifying it as a candidate gene for further investigation of root development in maize. Our findings provide a systematic analysis of ZmLBD genes and highlight ZmLBD12 as a potential target gene for developing high-yielding, lodging-resistant maize varieties. Full article
Show Figures

Figure 1

19 pages, 13626 KB  
Article
Genome-Wide Identification and Co-Expression Analysis of WRKY Genes Unveil Their Role in Regulating Anthocyanin Accumulation During Euscaphis japonica Fruit Maturation
by Bobin Liu, Qingying Wang, Dongmei He, Xiaqin Wang, Guiliang Xin, Xiaoxing Zou, Daizhen Zhang, Shuangquan Zou and Jiakai Liao
Biology 2025, 14(8), 958; https://doi.org/10.3390/biology14080958 - 29 Jul 2025
Viewed by 485
Abstract
Anthocyanins, crucial water-soluble pigments in plants, determine coloration in floral and fruit tissues, while fulfilling essential physiological roles in terms of plant growth, development, and stress adaptation. The biosynthesis of anthocyanins is transcriptionally regulated by WRKY factors, one of the largest plant-specific transcription [...] Read more.
Anthocyanins, crucial water-soluble pigments in plants, determine coloration in floral and fruit tissues, while fulfilling essential physiological roles in terms of plant growth, development, and stress adaptation. The biosynthesis of anthocyanins is transcriptionally regulated by WRKY factors, one of the largest plant-specific transcription factor families. Euscaphis japonica is an East Asian species, prized for its exceptionally persistent butterfly-shaped fruits that undergo pericarp dehiscence, overturning, and a color transition to scarlet red. This species represents an ideal system for studying anthocyanin regulation. However, the mechanisms by which WRKY transcription factors orchestrate anthocyanin accumulation during this process remain unknown. In this study, we identified 87 WRKY genes (EjaWRKYs) from the E. japonica genome. Phylogenetic analysis was used to classify these genes into three primary groups, with five subgroups, revealing conserved gene structures and motif compositions, supported by collinearity and comparative synteny analyses. Crucially, ten EjaWRKYs exhibited peak expression during the mature fruit stages, showing positive correlations with key anthocyanin biosynthesis genes. Functional validation through the use of transient transactivation assays in Nicotiana benthamiana confirmed that the five selected EjaWRKYs bind W-box elements and strongly activate reporter gene expression. Our results reveal EjaWRKYs’ regulation of anthocyanin accumulation in E. japonica fruit, provide the first comprehensive WRKY family characterization of this species, and establish a foundation for manipulating ornamental traits in horticultural breeding. Full article
(This article belongs to the Special Issue Recent Advances in Biosynthesis and Degradation of Plant Anthocyanin)
Show Figures

Figure 1

16 pages, 3034 KB  
Article
Identification of Avocado Fruit Disease Caused by Diaporthe phaseolorum and Colletotrichum fructicola in China
by Aosiqi Ma, Yuhang Xu, Hongxing Feng, Yanyuan Du, Huan Liu, Song Yang, Jie Chen and Xin Hao
J. Fungi 2025, 11(8), 547; https://doi.org/10.3390/jof11080547 - 23 Jul 2025
Viewed by 893
Abstract
Persea americana (avocado) is a healthy fruit, rich in unsaturated fatty acids, various minerals, and vitamins. As avocado cultivation continues to expand globally, its development is increasingly constrained by concomitant diseases, among which fruit rot and anthracnose have emerged as significant threats to [...] Read more.
Persea americana (avocado) is a healthy fruit, rich in unsaturated fatty acids, various minerals, and vitamins. As avocado cultivation continues to expand globally, its development is increasingly constrained by concomitant diseases, among which fruit rot and anthracnose have emerged as significant threats to fruit quality. Menglian in Yunnan Province is the largest avocado production area in China. In November 2024, fruit rot was observed on avocado fruits in Yunnan, China, characterized by reddish-brown discoloration, premature ripening, softening, and pericarp decay, with a field infection rate of 22%. Concurrently, anthracnose was detected in avocado fruits, presenting as small dark brown spots that developed into irregular rust-colored lesions, followed by dry rot depressions, ultimately leading to soft rot, peeling, or hardened dry rot, with a field infection rate of 15%. Infected fruit samples were collected, and fungal strains were isolated, purified, and inoculated via spore suspension, followed by re-isolation. The strains were conclusively identified as Diaporthe phaseolorum (SWFU20, SWFU21) and Colletotrichum fructicola (SWFU12, SWFU13) through an integrated approach combining DNA extraction, polymerase chain reaction (PCR), sequencing, phylogenetic reconstruction, and morphological characterization. This is the first report of D. phaseolorum causing fruit rot and C. fructicola causing anthracnose on avocado in China. In future research, we will test methods for the control of D. phaseolorum and C. fructicola. The identification of these pathogens provides a foundation for future disease management research, supporting the sustainable development of the avocado industry. Full article
Show Figures

Figure 1

18 pages, 6726 KB  
Article
Genome-Wide Identification and Analysis of the AHL Gene Family in Pepper (Capsicum annuum L.)
by Xiao-Yan Sui, Yan-Long Li, Xi Wang, Yi Zhong, Qing-Zhi Cui, Yin Luo, Bing-Qian Tang, Feng Liu and Xue-Xiao Zou
Int. J. Mol. Sci. 2025, 26(13), 6527; https://doi.org/10.3390/ijms26136527 - 7 Jul 2025
Cited by 1 | Viewed by 668
Abstract
AT-hook motif nuclear-localized (AHL) genes play critical roles in chromatin remodeling and gene transcription regulation, profoundly influencing plant growth, development, and stress responses. While AHL genes have been extensively characterized in multiple plant species, their biological functions in pepper (Capsicum [...] Read more.
AT-hook motif nuclear-localized (AHL) genes play critical roles in chromatin remodeling and gene transcription regulation, profoundly influencing plant growth, development, and stress responses. While AHL genes have been extensively characterized in multiple plant species, their biological functions in pepper (Capsicum annuum L.) remain largely uncharacterized. In this study, we identified 45 CaAHL genes in the pepper genome through bioinformatics approaches. Comprehensive analyses were conducted to examine their chromosomal distribution, phylogenetic relationships, and the structural and functional features of their encoded proteins. Phylogenetic clustering classified the CaAHL proteins into six distinct subgroups. Transcriptome profiling revealed widespread expression of CaAHL genes across diverse tissues—including roots, stems, leaves, flowers, seeds, pericarp, placenta, and fruits—at various developmental stages. Quantitative real-time PCR further demonstrated that CaAHL1, CaAHL33, and CaAHL23 exhibited consistently high expression throughout flower bud development, whereas CaAHL36 showed preferential upregulation at early bud development stages. Expression profiling under hormone treatments and abiotic stresses indicated that CaAHL36 and CaAHL23 are auxin-inducible but are repressed by ABA, cold, heat, salt, and drought stress. Subcellular localization assays in Nicotiana benthamiana leaf epidermal cells showed that both CaAHL36 and CaAHL23 were predominantly localized in the nucleus, with faint expression also detected in the cytoplasm. Collectively, this study provides foundational insights into the CaAHL gene family, laying the groundwork for future functional investigations of these genes in pepper. Full article
(This article belongs to the Special Issue Vegetable Genetics and Genomics, 3rd Edition)
Show Figures

Figure 1

16 pages, 5169 KB  
Article
Analysis of Walnut Source–Sink–Flow Anatomical Structure Under Source–Sink Regulation Based on Fruit-Bearing Branch Scale
by Luyu Lv, Cuifang Zhang, Zhilong Yang, Zeyun Zhao and Shiwei Wang
Appl. Sci. 2025, 15(13), 7523; https://doi.org/10.3390/app15137523 - 4 Jul 2025
Viewed by 314
Abstract
This study used Xinxin 2 (Juglans regia L. ‘Xinxin2’), a major cultivated walnut variety in Xinjiang, China, to clarify the response and adaptation mechanisms of the anatomical structures of walnut related to source–sink–flow under altered source–sink relationships. We anatomically observed the leaves, [...] Read more.
This study used Xinxin 2 (Juglans regia L. ‘Xinxin2’), a major cultivated walnut variety in Xinjiang, China, to clarify the response and adaptation mechanisms of the anatomical structures of walnut related to source–sink–flow under altered source–sink relationships. We anatomically observed the leaves, fruit stalks, and fruit of bearing branches by artificially adjusting the leaf-to-fruit ratio (LFR). The LFR substantially affected the leaf structure and thickness of the fruit-bearing branches obtained via girdled (p < 0.05). The results of the analysis of the leaf anatomy revealed that a low LFR impeded leaf growth and internal structural development while accelerating senescence, whereas a high LFR promoted leaf growth and delayed senescence. The same trend was observed for the phloem area (PA) of the fruit stalk with the increase in fruit load when the number of leaves on the fruit branch was the same. The maximum PA was reached when the number of fruits was high (except for 4L:3F). This indicates that the micro-anatomical structure of the fruit stalk is more developed under the treatment of a higher number of pinnate compound leaves and fruit level of LFRs. The cells of the 1L:3F and 2L:3F were considerably smaller in the green peel and kernel of the fruit on the branches obtained via girdled than those of 5L:1F plants (p < 0.05). No significant difference was found in the number of cells per unit area or the cross-sectional area of cells in the pericarp and kernel of the fruit under LFRs (p > 0.05); however, a large difference was noted in the microanatomical structure of the pericarp and kernel of fruit. Changes in the structural adaptation characteristics of walnut leaves (source), fruit stalk (flow), and fruit (sink) are related to source–sink regulation. A change in the LFR affects the carbohydrate synthesis in the leaves (source), transport in fruit stalks (flow), and the carbohydrate reception in fruits (sink). Full article
Show Figures

Figure 1

20 pages, 2519 KB  
Article
Slightly Acidic Electrolyzed Water Improves the Postharvest Quality of Litchi Fruit by Regulating the Phenylpropane Pathway
by Xuanjing Jiang, Xiangzhi Lin, Yuzhao Lin, Yazhen Chen, Yihui Chen and Hongbin Chen
Horticulturae 2025, 11(7), 751; https://doi.org/10.3390/horticulturae11070751 - 1 Jul 2025
Viewed by 545
Abstract
The market value of litchi fruit is declining quickly due to its susceptibility to disease and rapid pericarp browning. Slightly acidic electrolyzed water (SAEW) treatment is recognized as a safe disinfection technology that not only preserves the quality of postharvest produce, but also [...] Read more.
The market value of litchi fruit is declining quickly due to its susceptibility to disease and rapid pericarp browning. Slightly acidic electrolyzed water (SAEW) treatment is recognized as a safe disinfection technology that not only preserves the quality of postharvest produce, but also enhances disease resistance. This study assessed the efficacy of SAEW in preserving litchi fruit and boosting its resistance to disease. Litchi fruit underwent treatment with SAEW at various available chlorine concentrations (ACC) (10, 25, 50, and 75 mg/L) and subsequently stored at 25 °C for a duration of six days. The results revealed that SAEW with an ACC of 25 mg/L markedly improved the postharvest quality of litchi fruits, reduced disease incidence, and enhanced the appearance of the pericarp and nutrient levels in the arils. Additionally, this treatment enhanced the levels of disease resistance-related compounds, including lignin, flavonoids, and total phenolics, in the pericarp of litchis during the later storage stages (p < 0.05). Furthermore, in the final three days of storage, there were also noticeable increases (p < 0.01) in the activities of pericarp disease resistance enzymes (DREs), such as phenylalanine ammonialyase, cinnamate-4-hydroxylase, 4-coumarate CoA ligase, cinnamyl alcohol dehydrogenase, peroxidase, polyphenol oxidase, chitinase, and β-1,3-glucanase. Based on these results, it was concluded that SAEW triggered DRE activities and increased the accumulation of disease resistance-related compounds by regulating the phenylpropane pathway to suppress disease development, and elevated the storage quality of harvested litchi fruit. Consequently, SAEW has proven to be an effective and safe method for enhancing the storability of litchi fruit. Full article
Show Figures

Figure 1

22 pages, 953 KB  
Review
Alpha-Mangostin: A Review of Current Research on Its Potential as a Novel Antimicrobial and Anti-Biofilm Agent
by Hanna Górecka, Mateusz Guźniczak, Igor Buzalewicz, Agnieszka Ulatowska-Jarża, Kamila Korzekwa and Aleksandra Kaczorowska
Int. J. Mol. Sci. 2025, 26(11), 5281; https://doi.org/10.3390/ijms26115281 - 30 May 2025
Viewed by 2610
Abstract
Alpha-mangostin (α-MG) is a prenylated xanthone extracted from the pericarp of the mangosteen tree (Garcinia mangostana) fruit. The compound exhibits a broad range of therapeutic properties, such as anti-inflammatory, antioxidative, and antimicrobial activity. This review highlights new findings in [...] Read more.
Alpha-mangostin (α-MG) is a prenylated xanthone extracted from the pericarp of the mangosteen tree (Garcinia mangostana) fruit. The compound exhibits a broad range of therapeutic properties, such as anti-inflammatory, antioxidative, and antimicrobial activity. This review highlights new findings in antibacterial studies involving α-MG, demonstrates its potent activity against Gram-positive bacteria, including Staphylococcus and Enterococcus genera, and describes the antibacterial mechanisms involved. Most cited literature comes from 2020 to 2025, highlighting the topic’s relevance despite limited new publications in this period. The primary antibacterial mechanism of α-MG consists of the disruption of the bacterial membrane and increased bacterial wall permeability, leading to drug accumulation and cell lysis. Other mechanisms include genomic interference and enzyme activity inhibition, which impair metabolic pathways. α-MG can also disrupt biofilm formation, facilitate its removal, and prevent its maturation. Furthermore, α-MG presents strong synergistic action with common antibiotics and other phytochemicals, even against drug-resistant strains, facilitating infection treatment and allowing for reduced drug dosage. The main challenge in developing α-MG-based drugs is their low aqueous solubility; therefore, nanoformulations have been explored to improve its bioavailability and antibacterial stability. Extended research in this direction may enable the development of effective antibacterial and anti-biofilm therapies based on α-MG. Full article
(This article belongs to the Special Issue Drug Treatment for Bacterial Infections)
Show Figures

Figure 1

16 pages, 2345 KB  
Article
More than Just a Shell: Indehiscent Fruits Drive Drought-Tolerant Germination in Invasive Lepidium Species
by Said Mohammed and Klaus Mummenhoff
Plants 2025, 14(10), 1517; https://doi.org/10.3390/plants14101517 - 19 May 2025
Viewed by 957
Abstract
This study aims to assess the drought stress tolerance of germinating seeds of the invasive indehiscent fruit-producing Lepidium species, specifically Lepidium appelianum, Lepidium draba, and the invasive dehiscent fruit-producing L. campestre. Drought stress tolerance experiments were conducted using various concentrations [...] Read more.
This study aims to assess the drought stress tolerance of germinating seeds of the invasive indehiscent fruit-producing Lepidium species, specifically Lepidium appelianum, Lepidium draba, and the invasive dehiscent fruit-producing L. campestre. Drought stress tolerance experiments were conducted using various concentrations of polyethylene glycol (PEG) following standard protocols. The results revealed that seeds/fruits of L. appelianum and L. draba exhibited significantly higher drought stress tolerance compared to seeds of L. campestre. Fresh seeds and fruits of L. appelianum were capable of germinating under various drought stress treatments, while fresh and after-ripened seeds and fruits of L. draba germinated in every condition except for −0.8 MPa. Conversely, L. campestre fresh seeds did not germinate under the most severe drought stress conditions (−0.6 and −0.8 MPa). It is crucial to note that fresh fruits of L. draba displayed pericarp-mediated chemical dormancy, while fresh seeds of L. campestre demonstrated physiological dormancy. However, fresh seeds and fruits of L. appelianum did not exhibit any dormancy. This study suggests that germinating seeds and fruits of L. appelianum demonstrate the strongest tolerance to drought stress, while L. draba exhibits moderate tolerance. On the contrary, L. campestre seeds display the least tolerance to drought stress. The differences in drought stress tolerance among the studied Lepidium species reflect the climatic facets in their native distribution areas. Given the potential high invasiveness associated with the drought stress tolerance of L. appelianum and L. draba, it is imperative to develop special control strategies to manage these invasive species in the face of future climate change. Full article
(This article belongs to the Special Issue Plant Invasions across Scales)
Show Figures

Figure 1

20 pages, 3325 KB  
Article
Evaluation of Sapindus mukorossi Gaertn Flower Water Extract on In Vitro Anti-Acne Activity
by Zibing Zhao, Aohuan Zhang, Liya Song, Congfen He and Huaming He
Curr. Issues Mol. Biol. 2025, 47(5), 316; https://doi.org/10.3390/cimb47050316 - 28 Apr 2025
Cited by 2 | Viewed by 1087
Abstract
Background: Sapindus mukorossi Gaertn is a deciduous tree with saponins as the main active ingredients and has been utilized in medicine and cosmetic industries. Currently, the investigations of S. mukorossi mainly focus on the pericarp and seed kernel parts, while other parts [...] Read more.
Background: Sapindus mukorossi Gaertn is a deciduous tree with saponins as the main active ingredients and has been utilized in medicine and cosmetic industries. Currently, the investigations of S. mukorossi mainly focus on the pericarp and seed kernel parts, while other parts are yet to be studied and developed. This study aimed to investigate the anti-acne potential of S. mukorossi flower water extract (SMFW) by in vitro experiments. Methods and Results: The DPPH, ABTS, superoxide anion radical scavenging assay, and FRAP assay revealed the strong antioxidant activities of SMFW. The antibacterial activity of SMFW against Cutibacterium acnes has been evaluated with an inhibition diameter of 14.08 ± 0.63 mm. Furthermore, SMFW significantly inhibited the secretion of pro-inflammatory cytokines (TNF-α, IL-6, and IL-β) in lipopolysaccharide (LPS)-stimulated THP-1 macrophages. Transcriptome analysis showed that SMFW treatment reversed 448 LPS-upregulated DEGs and 349 LPS-downregulated DEGs, and KEGG enrichment analysis indicated that SMFW might exert its anti-inflammatory effect via NOD-like receptor and JAK-STAT signaling pathways. Conclusions: SMFW exhibited antioxidant, antibacterial, and anti-inflammatory properties in in vitro experiments. RNA-seq analysis indicated that SMFW may alleviate inflammation by regulating the NOD-like receptor and JAK-STAT signaling pathways. In summary, SMFW has shown potential for anti-acne efficacy and can be used as a natural raw material in cosmetics. Full article
(This article belongs to the Section Bioorganic Chemistry and Medicinal Chemistry)
Show Figures

Figure 1

13 pages, 2070 KB  
Article
Comparison of Essential Oil Components and In Vitro Antioxidant Activity of Zanthoxylum nitidum from Different Parts
by Yang Yang, Yanqun Li, Hanjun He, Leilei Yang, Jiaxin Zeng, Mei Bai and Hong Wu
Plants 2025, 14(8), 1194; https://doi.org/10.3390/plants14081194 - 11 Apr 2025
Viewed by 647
Abstract
Zanthoxylum nitidum is a traditional Chinese herb, but limited information is available concerning its composition and pharmacological effects of essential oils from different parts of Z. nitidum. This study examined the composition and in vitro antioxidant activity of essential oils from different [...] Read more.
Zanthoxylum nitidum is a traditional Chinese herb, but limited information is available concerning its composition and pharmacological effects of essential oils from different parts of Z. nitidum. This study examined the composition and in vitro antioxidant activity of essential oils from different parts of Z. nitidum in China. The results indicate that the highest essential oil extraction rate was obtained from the pericarps (0.42%), primarily consisting of caryophyllene oxide (15.33%), nerolidol 2 (14.03%), and spathulenol (9.64%). This was followed by the leaves (0.21%), stems (0.09%), and roots (0.05%), with the highest content in their essential oils being caryophyllene (27.03%), cadina-1(10),4-diene (25.76%), and benzyl benzoate (17.11%), respectively. Hierarchical cluster analysis (HCA) and principal component analysis (PCA) revealed that, compared with the essential oils from stems and leaves, the essential oils from roots and pericarps showed relatively smaller differences and were usually clustered into one category. The leaf essential oil has the highest in vitro antioxidant activity, followed by the root, pericarp, and stem. This study aims to provide a scientific reference for the rational development and utilization of different parts of Z. nitidum, especially the leaf essential oil. Full article
(This article belongs to the Section Phytochemistry)
Show Figures

Figure 1

22 pages, 8380 KB  
Article
Transcriptome Analysis Reveals Distinct Differences in Organic Acid Metabolism Between the Pericarp and the Pulp of Cerasus humilis During Fruit Maturation
by Bingcheng Guo, Li Zhang and Jinli Guo
Plants 2025, 14(7), 1105; https://doi.org/10.3390/plants14071105 - 2 Apr 2025
Cited by 1 | Viewed by 637
Abstract
Organic acids are key components that determine the taste and flavor of fruits, playing a crucial role in maintaining fruit quality and nutritional value. To investigate the metabolic differences of organic acids between the fruit pericarp and the pulp during the developmental maturation [...] Read more.
Organic acids are key components that determine the taste and flavor of fruits, playing a crucial role in maintaining fruit quality and nutritional value. To investigate the metabolic differences of organic acids between the fruit pericarp and the pulp during the developmental maturation of the Cerasus humilis, this experiment utilized Cerasus humilis cultivated in Inner Mongolia, China, as the experimental material. By measuring the malic acid and citric acid content, as well as the activities of the related metabolic enzymes in the fruit pericarp and the pulp at five developmental stages, this study investigated the characteristics of organic acid accumulation, changes in enzyme activities, and the expression trends of corresponding genes. Transcriptomic data were integrated to support the analysis. This study specifically analyzed the reasons for the differences in acidity between the pericarp and the pulp, and performed a correlation analysis of various indicators. The results indicated that, during development, the organic acid composition in both the pericarp and the pulp was primarily malic acid, with citric acid as a secondary component. The malic acid and citric acid content in the pericarp were significantly higher than in the pulp, resulting in greater overall acidity in the pericarp. The combined action of PEPC, NAD-MDH, and NADP-ME was identified as the primary reason for the differences in malic acid content between the pericarp and the pulp of Cerasus humilis. CS and ACO were identified as the key enzymes responsible for the lower citric acid content in the pulp compared to the pericarp. Furthermore, the expression levels of ChMDH2, ChME, ChCS2, ChCS3, ChACO1, and ChACO2 differed significantly between the fruit pericarp and the pulp, suggesting their regulatory roles in organic acid accumulation. Full article
(This article belongs to the Section Plant Genetics, Genomics and Biotechnology)
Show Figures

Figure 1

16 pages, 11495 KB  
Article
Genome-Wide Identification of the TIFY Family in Longan and Their Potential Functional Analysis in Anthocyanin Synthesis
by Haowei Qing, Ziang Wu, Xiao Mo, Jinjv Wei, Yuyu Shi, Huiqin Guo, Jiongzhi Xu, Feng Ding and Shuwei Zhang
Biology 2025, 14(4), 364; https://doi.org/10.3390/biology14040364 - 1 Apr 2025
Cited by 1 | Viewed by 810
Abstract
TIFY is one of the plant-specific transcription factors, which is extensively involved in regulating plant development, stress response, and biosynthesis of secondary metabolites. In this study, we identified 19 DlTIFY genes from the longan genome data. All of them contained the conserved TIFY [...] Read more.
TIFY is one of the plant-specific transcription factors, which is extensively involved in regulating plant development, stress response, and biosynthesis of secondary metabolites. In this study, we identified 19 DlTIFY genes from the longan genome data. All of them contained the conserved TIFY domain, and these 19 DlTIFYs were distributed on 9 out of the 15 chromosomes of longan. A phylogenetic tree was constructed based on the TIFY protein sequences from Arabidopsis, rice, orange, and grape. They were clustered into six groups, with the TIFYs from longan showing the closest homology to those from orange. Duplication events were present between DlTIFY1 and DlTIFY5, DlTIFY4 and DlTIFY6, and DlTIFY16 and DlTIFY17. There are several light-responsive elements, Abscisic Acid (ABA)-, Gibberellic Aci (GA)-, and Methyl Jasmonate (MeJA)-responsive elements, in the promoter regions of longan TIFY genes. Additionally, the flavonoid biosynthetic gene regulation elements were presented in the promoter of DlTIFY7, DlTIFY10, and DlTIFY11, suggesting their involvement in flavonoid synthesis regulation of longan. We also found that the expression of DlTIFY7 in the stem and pericarp was significantly higher than that in other tissues. Interestingly, the outer edge of the corolla exhibited a green hue with a faint reddish tint across the corolla in transgenic tobacco plants overexpressing DlTIFY7. Subcellular localization experiments confirmed that DlTIFY7 is expressed in the nucleus. These findings suggest that DlTIFY7 may serve as a novel candidate transcription factor negatively regulating anthocyanin synthesis in longan. This study provides valuable insights into the functional characterization of longan DlTIFY genes and lays a foundation for future research on their roles in regulating plant development and secondary metabolism. Full article
(This article belongs to the Special Issue Recent Advances in Biosynthesis and Degradation of Plant Anthocyanin)
Show Figures

Figure 1

Back to TopTop