error_outline You can access the new MDPI.com website here. Explore and share your feedback with us.
 
 
Sign in to use this feature.

Years

Between: -

Subjects

remove_circle_outline
remove_circle_outline
remove_circle_outline
remove_circle_outline
remove_circle_outline
remove_circle_outline
remove_circle_outline
remove_circle_outline
remove_circle_outline

Journals

remove_circle_outline
remove_circle_outline
remove_circle_outline
remove_circle_outline
remove_circle_outline
remove_circle_outline
remove_circle_outline
remove_circle_outline
remove_circle_outline
remove_circle_outline
remove_circle_outline
remove_circle_outline
remove_circle_outline
remove_circle_outline
remove_circle_outline

Article Types

Countries / Regions

remove_circle_outline
remove_circle_outline
remove_circle_outline
remove_circle_outline
remove_circle_outline
remove_circle_outline
remove_circle_outline

Search Results (1,732)

Search Parameters:
Keywords = peptide similarity

Order results
Result details
Results per page
Select all
Export citation of selected articles as:
15 pages, 1084 KB  
Article
Antigenic-Specificity and Cytokine Profile of the T-Cell Response to Human Cytomegalovirus in Transplant Recipients
by Federica Zavaglio, Paola Zelini, Asja Cera, Piera d’Angelo, Marilena Gregorini, Teresa Rampino, Lucia Del Frate, Federica Meloni, Oscar Borsani, Carlo Pellegrini, Fausto Baldanti and Daniele Lilleri
Pathogens 2026, 15(1), 53; https://doi.org/10.3390/pathogens15010053 - 5 Jan 2026
Viewed by 61
Abstract
Human cytomegalovirus (HCMV) infection is a significant complication in transplant recipients. Following HCMV reactivation, the recovery of T-cell responses serves as a key indicator of protection from HCMV disease. This study aimed to assess the HCMV-specific CD4+ and CD8+ T-cell responses [...] Read more.
Human cytomegalovirus (HCMV) infection is a significant complication in transplant recipients. Following HCMV reactivation, the recovery of T-cell responses serves as a key indicator of protection from HCMV disease. This study aimed to assess the HCMV-specific CD4+ and CD8+ T-cell responses and their cytokine production (IFNγ, TNFα, IL2) against various HCMV proteins (IE-1, pp65, gB, gH/gL/pUL128L) in solid organ transplant recipients (SOTRs) and hematopoietic stem cell transplant recipients (HSCTRs) with active HCMV infection. The cohort consisted of 16 SOTR and 16 HSCTR categorized into two groups: (i) Controllers, who spontaneously controlled the infection, and (ii) Non-Controllers, who required antiviral treatment. T-cell responses were analyzed following stimulation with peptide pools and intracellular cytokine staining. Prior to transplantation, all patients exhibited a significantly higher frequency of CD4+ T cells specific to pp65 compared to gH and gL/pUL128L. During the peak of infection, T-cell frequencies across all peptides were similar, but at infection resolution, the frequency of pp65 and gB-specific CD4+IFNγ+ T cells was significantly higher than gL/pUL128L. Additionally, pp65 and IE-1-specific CD8+IFNγ+ T-cell responses were significantly greater than those against gH and gL/pUL128L at the resolution of infection. Notably, Controllers exhibited significantly higher frequencies of monofunctional pp65-specific T cells, particularly in CD8+ T cells producing IFNγ and TNFα. The response to pp65, especially IFNγ production, may serve as a key marker for identifying patients capable of controlling HCMV infection. Full article
Show Figures

Figure 1

14 pages, 1389 KB  
Review
Liraglutide and Exenatide in Alzheimer’s Disease and Mild Cognitive Impairment: A Systematic Review and Meta-Analysis of Cognitive Outcomes
by Paula Santos, Alberto Souza Sá Filho, Vicente Aprigliano, Amanda G. Duarte, Natã Alegransi Ribeiro, Katia Marques Lombardo, James Oluwagbamigbe Fajemiroye, Artur Prediger Buchholz, Victor Renault Vaz and Gaspar R. Chiappa
Pharmaceutics 2026, 18(1), 69; https://doi.org/10.3390/pharmaceutics18010069 - 4 Jan 2026
Viewed by 226
Abstract
Background/Objective: Glucagon-like peptide-1 receptor agonists (GLP-1 RAs) exhibit neuroprotective properties in preclinical models of Alzheimer’s disease (AD), reducing amyloid accumulation, neuroinflammation, and insulin resistance within the brain. However, clinical evidence regarding their cognitive effects in AD and mild cognitive impairment (MCI) remains inconclusive. [...] Read more.
Background/Objective: Glucagon-like peptide-1 receptor agonists (GLP-1 RAs) exhibit neuroprotective properties in preclinical models of Alzheimer’s disease (AD), reducing amyloid accumulation, neuroinflammation, and insulin resistance within the brain. However, clinical evidence regarding their cognitive effects in AD and mild cognitive impairment (MCI) remains inconclusive. To evaluate the effects of GLP-1 RAs on cognitive outcomes in patients with AD or MCI due to AD. Methods: A systematic review was conducted according to PRISMA 2020 and registered in PROSPERO (CRD420251143171). Although the original registry was broad, the identification of a small set of homogeneous randomized controlled trials (RCTs) during screening, prior to data extraction, allowed for a random-effects meta-analysis of cognitive outcomes. RCTs enrolling adults with clinically or biomarker-confirmed AD or MCI were included. Interventions comprised liraglutide or exenatide compared with placebo. Standardized mean differences (SMD) in global cognitive scores were pooled using a random-effects model (restricted maximum likelihood [REML] estimator with Hartung–Knapp adjustment). Results: Three randomized trials (n = 278 participants; 51% women; mean age 68 ± 7 years) met inclusion criteria. Treatment duration ranged from 26 weeks to 18 months. Pooled analysis revealed no significant effect of GLP-1 RAs on global cognition compared with placebo −0.21 (95% CI −0.81 to 0.38; I2 = 47%; τ2 = 3.77). Sensitivity analyses restricted to liraglutide or studies ≥ 12 months yielded similar results. Conclusions: Current randomized evidence does not support cognitive improvement with GLP-1 RAs in AD or MCI. Full article
Show Figures

Figure 1

12 pages, 2150 KB  
Article
Specific Glucagon Assay System Using a Receptor-Derived Glucagon-Binding Peptide Probe
by Hajime Shigeto, Yoshio Suzuki and Shohei Yamamura
Int. J. Mol. Sci. 2026, 27(1), 515; https://doi.org/10.3390/ijms27010515 - 4 Jan 2026
Viewed by 47
Abstract
Glucagon is a peptide hormone secreted by pancreatic alpha cells which elevates blood glucose and plays a critical role in diabetes onset and homeostasis. The accurate assessment of glucagon concentration is challenging due to its structural similarity with other hormones, causing cross-reactivity in [...] Read more.
Glucagon is a peptide hormone secreted by pancreatic alpha cells which elevates blood glucose and plays a critical role in diabetes onset and homeostasis. The accurate assessment of glucagon concentration is challenging due to its structural similarity with other hormones, causing cross-reactivity in antibody-based methods. Rapid and specific glucagon detection is essential, particularly during hypoglycemia. This study aimed to develop glucagon-specific probes combining high specificity, rapid detection, and ease of operation. We designed novel peptide-based probes by screening glucagon-binding peptides from the glucagon receptor sequence using a peptide array method. This strategy, based on receptor amino acid sequences, can be applied to the identification of binding peptides for other hormones, expanding its potential utility. The screened peptides were conjugated with fluorescent dyes to create probes enabling detection within 30 min. The developed probes demonstrated superior specificity for glucagon relative to similar sequence analogs compared with conventional antibody-based methods, with detection limits in the nanomolar range. This study represents a proof-of-concept approach for rapid and highly specific glucagon detection. However, further optimization of probe sensitivity and validation under physiological conditions will be required before clinical or diagnostic application. These improvements in the probe’s properties will enable the reliable blood glucagon detection and accurate diagnostic assessment of diabetes-related diseases. Full article
(This article belongs to the Special Issue Molecular Research on Proglucagon-Derived Peptides)
Show Figures

Figure 1

21 pages, 2106 KB  
Article
Leveraging Different Distance Functions to Predict Antiviral Peptides with Geometric Deep Learning from ESMFold-Predicted Tertiary Structures
by Greneter Cordoves-Delgado, César R. García-Jacas, Yovani Marrero-Ponce, Sergio A. Aguila and Gabriel Lizama-Uc
Antibiotics 2026, 15(1), 39; https://doi.org/10.3390/antibiotics15010039 - 1 Jan 2026
Viewed by 163
Abstract
Background: Machine learning models have been shown to be a time-saving and cost-effective tool for peptide-based drug discovery. In this regard, different graph learning-driven frameworks have been introduced to exploit graph representations derived from predicted peptide structures. Such graphs are always derived by [...] Read more.
Background: Machine learning models have been shown to be a time-saving and cost-effective tool for peptide-based drug discovery. In this regard, different graph learning-driven frameworks have been introduced to exploit graph representations derived from predicted peptide structures. Such graphs are always derived by applying a Euclidean distance threshold between amino acid pairs, despite the fact that there is no evidence other than intuitive reasoning that supports the Euclidean distance as the most suitable. Objective: In this work, we examined the use of different distance functions to derive graph representations from predicted peptide structures to train deep graph learning-based models to predict antiviral peptides. Methods: To this end, we first analyzed how differently the closeness of the amino acids is characterized by different distance functions. Then, we studied the similarity between the graphs derived with several distance functions, as well as between them and random graphs. Finally, we trained several models with the best graph representations and analyzed how different they are regarding their predictions. Comparisons regarding state-of-the-art models were also performed. Results and Conclusion: We demonstrated that only using Euclidean distance thresholds is not sufficient criterion to build graphs representing structural features of predicted peptide structures, since other distance functions enabled building dissimilar graphs codifying different chemical spaces, which were useful in the construction of better discriminative models. Full article
Show Figures

Figure 1

25 pages, 21563 KB  
Article
The Discovery of Endo-Fucanases in the GH141 Family: A Novel Functional Activity Within the Family
by Nikita Konstantinovich Rubtsov, Artem Sergeevich Silchenko, Marina Petrovna Isaeva, Roman Alekseevich Shkrabov, Anastasiya Olegovna Zueva, Mikhail Igorevich Kusaykin and Svetlana Pavlovna Ermakova
Int. J. Mol. Sci. 2026, 27(1), 443; https://doi.org/10.3390/ijms27010443 - 31 Dec 2025
Viewed by 174
Abstract
Brown algae produce structurally complex sulfated fucose-containing polysaccharides known as fucoidans. These compounds are slowly degraded by marine microorganisms, leading to their accumulation in marine sediments and contributing to long-term carbon sequestration. The enzymatic mechanisms underlying fucoidan degradation remain poorly understood. GH141 family [...] Read more.
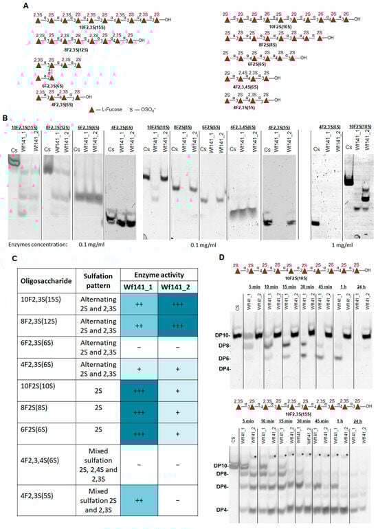
Brown algae produce structurally complex sulfated fucose-containing polysaccharides known as fucoidans. These compounds are slowly degraded by marine microorganisms, leading to their accumulation in marine sediments and contributing to long-term carbon sequestration. The enzymatic mechanisms underlying fucoidan degradation remain poorly understood. GH141 family enzymes are widely distributed among fucoidan-degrading bacteria, but their function remains hypothetical. It is assumed that during fucoidans degradation, they may act as α-L-fucosidases. We performed a biochemical and bioinformatic analysis of four recombinant enzymes, Wf141_1, Wf141_2, Wf141_3, and Wf141_4, of the GH141 family from the fucoidan-degrading cluster of the marine bacterium Wenyingzhuangia fucanilytica CZ1127T. Sequence similarity network (SSN) and Conserved Unique Peptide Pattern (CUPP) analysis of the GH141 members revealed that the Wf141s enzymes are distant from previously characterized GH141 members and belong to separate SSN clusters and CUPP branches. All four enzymes exhibited endo-fucanase activity against (1→3;1→4)-α-L-fucoidans. Wf141_1 and Wf141_2 were characterized as sulfated (1→3;1→4)-α-L-fucan endo-1→4-α-L-fucanases (EC 3.2.1.212) with distinct substrate preferences: Wf141_1 preferred [→3-α-L-Fucp2S-1→4-α-L-Fucp2S-1→]n fragments, whereas Wf141_2 favored [→3-α-L-Fucp2S-1→4-α-L-Fucp2,3S-1→]n regions. Their specificity depends on structural differences in sugar-binding subsites that recognize sulfation patterns. These enzymes were classified as endo-1→4-α-L-fucanases (EC 3.2.1.212). These findings establish a previously uncharacterized fucoidan-degrading enzymatic function within the GH141 family. Full article
(This article belongs to the Section Macromolecules)
Show Figures

Graphical abstract

23 pages, 6685 KB  
Article
Venom Proteins of the Firefly Pyrocoelia analis Revealed by Transcriptome Analysis
by Guohao Liu, Chengquan Cao, Liang Chen, Rui Huang, Long Li, Er Meng, Changjun Liu and Canwei Du
Toxins 2026, 18(1), 18; https://doi.org/10.3390/toxins18010018 - 27 Dec 2025
Viewed by 207
Abstract
Fireflies, which predominantly prey on various mollusks such as small snails and slugs, are renowned for their unique bioluminescence. Firefly toxins—particularly Lucibufagins (LBGs), which target the α-subunit of the sodium–potassium pump protein (ATPα)—play a crucial role in their survival strategies. However, the types [...] Read more.
Fireflies, which predominantly prey on various mollusks such as small snails and slugs, are renowned for their unique bioluminescence. Firefly toxins—particularly Lucibufagins (LBGs), which target the α-subunit of the sodium–potassium pump protein (ATPα)—play a crucial role in their survival strategies. However, the types and functions of venom proteins in fireflies remain to be elucidated. In this study, transcriptome sequencing was employed on the larval head of Pyrocoelia analis larvae, through which transcripts encoding several putative venom proteins were identified, including phospholipase A1/A2, 5′-nucleotidase, cysteine-rich secretory proteins (CRISPs), and insulin-like peptides. Structural comparison revealed that venom proteins in fireflies exhibited high sequence and structural similarity with venom proteins from various venomous animals (e.g., snakes, scorpions, spiders, and cone snails). These venom proteins may exert synergistic effects through multiple mechanisms, such as neurotoxicity, metabolic interference, and cytotoxicity, thereby playing an essential role in mollusk predation and defense against predators. Our study not only analyzes the complexity and uniqueness of Py. analis venom proteins but also provides a robust foundation for further exploration of the ecological adaptability and evolutionary mechanisms of these venom proteins. Full article
(This article belongs to the Section Animal Venoms)
Show Figures

Figure 1

12 pages, 481 KB  
Article
The Impact of Glucagon-like Peptide-1 Receptor Agonists on Cardiovascular–Kidney–Metabolic Health in Romanian Patients with Type 2 Diabetes: A Retrospective Study
by Niculina Lixandru, Laura Gaita, Simona Popescu, Andreea Herascu, Bogdan Timar and Romulus Timar
J. Clin. Med. 2026, 15(1), 152; https://doi.org/10.3390/jcm15010152 - 25 Dec 2025
Viewed by 255
Abstract
Background/objectives: Chronic degenerative complications of diabetes, such as atherosclerotic cardiovascular disease and chronic kidney disease, contribute to an increased morbimortality in patients with type 2 diabetes (T2D), and thus, a multifactorial approach becomes essential. Among the classes of antihyperglycemic agents with beneficial pleiotropic [...] Read more.
Background/objectives: Chronic degenerative complications of diabetes, such as atherosclerotic cardiovascular disease and chronic kidney disease, contribute to an increased morbimortality in patients with type 2 diabetes (T2D), and thus, a multifactorial approach becomes essential. Among the classes of antihyperglycemic agents with beneficial pleiotropic cardiorenal effects, the glucagon-like peptide-1 receptor agonists (GLP-1 RAs) have proven to reduce the risk of major adverse cardiovascular (CV) and renal events. This study aims to assess the impact of treatment with GLP-1 RA on CV risk factors, insulin sensitivity, and renal function in Romanian patients with T2D. Methods: In an observational retrospective study, 150 patients with T2D were evaluated at the start of therapy with a GLP-1 RA and then after 6 and 12 months. Results: After 12 months of treatment, 59.3% of patients succeeded in achieving weight loss of over 5% of their initial weight, and 24.7% of patients achieved weight loss of over 10% of their initial weight, with the most significant decrease being measured in the first 6 months. HbA1c has shown a similar profile, with a significant reduction in the first 6 months of treatment, continued at a slower rate in the following 6 months. Additionally, the lipid profile, blood pressure values, and uric acid values, alongside the triglyceride/high-density lipoprotein cholesterol (TG/HDLc) ratio and the triglyceride–glucose (TyG) index have improved in these T2D patients treated with GLP-1 RA, while their eGFR decrease was slower than the one expected for similar populations without such a pharmacologic agent in their regimen. Conclusions: Treatment with GLP-1 RA in patients with T2D is associated with an improved cardiovascular–kidney–metabolic risk profile, ameliorated glycemic control, reduced weight, lower insulin resistance, and slower kidney disease progression. Full article
(This article belongs to the Special Issue Clinical Advances in Diabetes, Obesity, and Hypertension)
Show Figures

Figure 1

19 pages, 3656 KB  
Article
Actinomycin Analogs from Soil-Derived Streptomyces sp. PSU-S4-23 with Activity Against MRSA
by Chollachai Klaysubun, Kamonnut Singkhamanan, Monwadee Wonglapsuwan, Sarunyou Chusri, Rattanaruji Pomwised and Komwit Surachat
Life 2026, 16(1), 32; https://doi.org/10.3390/life16010032 - 25 Dec 2025
Viewed by 244
Abstract
Genome-based discovery provides a powerful approach for identifying bioactive natural products. In this study, Streptomyces sp. PSU-S4-23 was isolated from soil collected in southern Thailand. Genome analysis revealed a nonribosomal peptide synthetase (NRPS) biosynthetic gene cluster highly similar to the reference actinomycin D [...] Read more.
Genome-based discovery provides a powerful approach for identifying bioactive natural products. In this study, Streptomyces sp. PSU-S4-23 was isolated from soil collected in southern Thailand. Genome analysis revealed a nonribosomal peptide synthetase (NRPS) biosynthetic gene cluster highly similar to the reference actinomycin D cluster, including canonical NRPS genes and a cytochrome P450 associated with oxidative tailoring. Genomic comparison indicated that this strain is distinct from its closest relative S. caeni CGMCC 4.7426T with ANIb and dDDH values below the species delineation thresholds. In agar diffusion assays, the crude extract exhibited antibacterial activity against Staphylococcus aureus (MSSA and MRSA), Bacillus subtilis, Bacillus cereus, Enterococcus faecalis, Staphylococcus epidermidis, as well as inhibition of Pseudomonas aeruginosa and Acinetobacter baumannii. LC–MS/MS profiling of the crude ethyl-acetate extract was performed. GNPS feature-based molecular networking revealed ions corresponding to actinomycin X2 (m/z 1269.6), D (m/z 1255.6), and I (m/z 1271.6), confirming production of multiple actinomycin analogs. These findings highlight Streptomyces sp. PSU-S4-23 as a promising actinomycin-producing strain with potential relevance to antibiotic discovery. Full article
(This article belongs to the Section Microbiology)
Show Figures

Figure 1

23 pages, 3507 KB  
Article
Dynamic Behavioral and Molecular Changes Induced by Chronic Restraint Stress Exposure in Mice
by Thomas D. Prevot, Jaime K. Knoch, Dipashree Chatterjee, Sierra Codeluppi-Arrowsmith, Keith A. Misquitta, Corey J. E. Fee, Dwight Newton, Hyunjung Oh, Etienne Sibille and Mounira Banasr
Int. J. Mol. Sci. 2026, 27(1), 167; https://doi.org/10.3390/ijms27010167 - 23 Dec 2025
Viewed by 258
Abstract
Chronic stress is a major risk factor contributing to cellular changes in the brain that precipitate the emergence of various behavioral changes, including anxiety and anhedonia—symptoms relevant to mood disorders including major depression—however the sequence and trajectory of early molecular changes is poorly [...] Read more.
Chronic stress is a major risk factor contributing to cellular changes in the brain that precipitate the emergence of various behavioral changes, including anxiety and anhedonia—symptoms relevant to mood disorders including major depression—however the sequence and trajectory of early molecular changes is poorly characterized. Using the chronic restraint stress (CRS) model in mice (N = 6–8/sex/group), we assessed the impact of 0, 7, 14, 21, 28, or 35 days of CRS at the behavioral level on the emergence of anxiety-like and anhedonia-like phenotypes. While 7 days of CRS was sufficient to induce anxiety-like behaviors in the PhenoTyper test, anhedonia-like deficits in the sucrose consumption test were only observed after 35 days of CRS. We also investigated the underlying molecular changes in the prefrontal cortex, a limbic brain region highly sensitive to stress, using Western blot and qPCR. We found that protein or RNA levels of several markers known to be implicated in the pathology of depression, and markers of synapses (post synaptic density protein 95 (PSD95), synapsin-1 (SYN1), vesicular glutamate transporter-1 (VGLUT1), and gephyrin (GPHN)); GABAergic inhibitory interneurons (somatostatin (SST), parvalbumin (PV), glutamic acid decarboxylase-67 (GAD67), and vasoactive intestinal peptide (VIP)); and astroglia (glial fibrillary acidic protein (GFAP), glutamate transporter-1 (GLT1), and glutamine synthase (GS)) were gradually reduced by CRS. Interestingly, all three astroglial markers were negatively correlated with anhedonia-like behaviors, while SYN1 and GPHN negatively correlated with anxiety-like behaviors. GLT1, VGLUT1, SYN1, and GAD67 negatively correlated with Z-emotionality scores. Exploratory between-marker correlations and integrative network analyses revealed that CRS effects might be driven by different compartments (synaptic, GABAergic and astroglial) depending on sex. Our study demonstrates that CRS induces dynamic changes that can be observed at the behavioral and molecular levels, and that male and female mice, while exhibiting similar symptoms, may experience different underlying pathologies. Full article
(This article belongs to the Special Issue Role of Glia in Human Health and Disease)
Show Figures

Figure 1

21 pages, 4884 KB  
Article
Role of the PhoP/PhoQ Two-Component Regulatory System in Biofilm Formation in Acid-Adapted Salmonella typhimurium
by Huixuan Yang, Xueqing Jiang, George-John E. Nychas, Kehui Yang, Pengcheng Dong, Yimin Zhang, Lixian Zhu and Yunge Liu
Foods 2025, 14(24), 4344; https://doi.org/10.3390/foods14244344 - 17 Dec 2025
Viewed by 302
Abstract
Salmonella typhimurium is a global foodborne pathogen, and controlling its persistence is critical for public health. This study investigated the regulatory role of the PhoP/PhoQ two-component system (TCS) in biofilm formation under the acid adaptation condition. A phoP deletion strain (ΔphoP) [...] Read more.
Salmonella typhimurium is a global foodborne pathogen, and controlling its persistence is critical for public health. This study investigated the regulatory role of the PhoP/PhoQ two-component system (TCS) in biofilm formation under the acid adaptation condition. A phoP deletion strain (ΔphoP) was constructed and compared with the wild type (WT) after acid induction (pH 5.4). Without acid adaptation, ΔphoP and WT showed similar acid tolerance and biofilm formation. However, after acid induction, ΔphoP exhibited markedly reduced biofilm formation, swimming ability, metabolic activity, and extracellular polymer production. RNA-seq analysis further revealed defects in ΔphoP under acid-induced conditions: (i) first leads to downregulation of lipopolysaccharide biosynthesis, peptidoglycan synthesis, and cationic antimicrobial peptide resistance pathways, thereby weakening the bacteria’s envelope modification capacity and structural stability; (ii) it also disrupts signal regulations in acidic environments, further impairing energy metabolism, flagellar function, and chemotaxis, thereby affecting bacterial adhesion capacity and environmental adaptability. These results demonstrate that under acid adaptation, the PhoP/PhoQ TCS is critical for coordinating cell envelope remodelling, energy metabolism, and motility to support biofilm formation in S. typhimurium. Understanding the contribution of this system to biofilm formation is essential for addressing the stress resistance and persistence of Salmonella in the food industry. Full article
(This article belongs to the Special Issue Biofilm Formation and Control in the Food Industry)
Show Figures

Figure 1

17 pages, 3263 KB  
Article
TSWV Infection Differentially Reshapes the Symbiotic Microbiome of Two Frankliniella Thrips Species
by Eeshita Mandal, Nuttapol Noirungsee, Terd Disayathanoowat and Eui-Joon Kil
Viruses 2025, 17(12), 1625; https://doi.org/10.3390/v17121625 - 16 Dec 2025
Viewed by 323
Abstract
Vectoring tomato spotted wilt virus (TSWV) by two well-known thrips species, Frankliniella occidentalis Pergande and F. intonsa Trybom (Thysanoptera: Thripidae), is facilitated in different ways. Symbiotic bacteria positively influence thrips fitness, but the interaction between these bacteria and tospovirus inside the thrips’ body [...] Read more.
Vectoring tomato spotted wilt virus (TSWV) by two well-known thrips species, Frankliniella occidentalis Pergande and F. intonsa Trybom (Thysanoptera: Thripidae), is facilitated in different ways. Symbiotic bacteria positively influence thrips fitness, but the interaction between these bacteria and tospovirus inside the thrips’ body remains unknown. Metagenomic profiling of symbionts in nonviruliferous and viruliferous Frankliniella thrips was performed to elucidate the interactions between symbiotic bacteria and the virus. A total of 97 operational taxonomic units (OTUs) were identified by profiling the microbes, where Proteobacteria was the most abundant phylum, with a high richness in Serratia spp. F. occidentalis showed lower variation in bacterial diversity between nonviruliferous and viruliferous treatments than F. intonsa. RT-qPCR validation for Serratia and Escherichia revealed opposite abundance patterns between the two thrips species. In contrast, Enterobacteriaceae and Pantoea showed similar patterns with higher abundance in nonviruliferous conditions. Wolbachia was detected exclusively in F. intonsa, with a higher bacterial titer in the viruliferous sample. Our findings suggest that TSWV association may influence the abundance of different bacterial symbionts within the thrips’ body, potentially via induction of antimicrobial peptides in response to viral invasion, and to our knowledge this is the first report addressing this tripartite interaction. These findings improve our understanding of how virus–symbiont association contributes to thrips vector competence. Full article
(This article belongs to the Special Issue Molecular Virus–Insect Interactions, 2nd Edition)
Show Figures

Figure 1

17 pages, 3134 KB  
Article
A Reproducible Sequence-Level Strategy to Enhance Peptide Immunogenicity While Preserving Wild-Type Epitope Recognition
by Chia-Hung Chen, Yu-Chi Chiu, Kai-Yao Huang, Hsiao-Hsuan Huang, Ta-Wei Kuo, Yu-Chi Liu, Hui-Ju Kao, Chen-Lin Yu, Shun-Long Weng and Kuang-Wen Liao
Antibodies 2025, 14(4), 106; https://doi.org/10.3390/antib14040106 - 12 Dec 2025
Viewed by 466
Abstract
Background: Short peptide epitopes are valuable for mechanistic studies, yet their intrinsic low immunogenicity and lack of commercial antibodies hinder rapid antibody generation. Methods: We developed a reproducible, sequence-level workflow combining cross-species/structural triage, independent MHC-I/II prioritization, and conservative heteroclitic-style substitutions to enhance predicted [...] Read more.
Background: Short peptide epitopes are valuable for mechanistic studies, yet their intrinsic low immunogenicity and lack of commercial antibodies hinder rapid antibody generation. Methods: We developed a reproducible, sequence-level workflow combining cross-species/structural triage, independent MHC-I/II prioritization, and conservative heteroclitic-style substitutions to enhance predicted MHC affinity while preserving native epitope features. Using visfatin as a model, two optimized fragments were conjugated to KLH and tested in mice for antibody titers, isotype profiles, and binding kinetics. Results: Mutant peptides improved MHC-binding prediction, elicited stronger antibody titers, and promoted isotype maturation (increased IgG1). Importantly, antibodies maintained measurable binding to wild-type sequences, indicating preserved cross-recognition. Similar effects were reproduced with additional antigens. Conclusions: This proof-of-concept study, based on small exploratory mouse cohorts (n = 3 per group), demonstrates that strategic, minimal sequence edits can significantly enhance peptide immunogenicity while preserving native epitope recognition. This streamlined workflow provides a low-barrier route to generate epitope-directed antibodies when commercial reagents are unavailable. Full article
(This article belongs to the Section Antibody Discovery and Engineering)
Show Figures

Graphical abstract

16 pages, 1174 KB  
Article
Isolation, Characterization, and Antioxidant Activity of Peptides Derived from Bangia fuscopurpurea
by Jiaying Ke, Nan Jia, Yusong Qiu and Chao Zhao
Foods 2025, 14(24), 4220; https://doi.org/10.3390/foods14244220 - 9 Dec 2025
Viewed by 330
Abstract
Oxidative stress is related to cellular damages and aging. Bioactive peptides have the potential to be a useful functional ingredient, although Bangia fuscopurpurea (red alga), a dense protein source, has not yet been exploited as a source of antioxidant peptide. The aim of [...] Read more.
Oxidative stress is related to cellular damages and aging. Bioactive peptides have the potential to be a useful functional ingredient, although Bangia fuscopurpurea (red alga), a dense protein source, has not yet been exploited as a source of antioxidant peptide. The aim of the study was to prepare, isolate, and characterize antioxidant peptide of B. fuscopurpurea and assess their protection against oxidative stress in vitro, in HepG2 cells, and in Caenorhabditis elegans. Protein of B. fuscopurpurea was subjected to hydrolysis with papain and purification of the hydrolysate was performed through multi-step chromatography and ultrafiltration. The LC-MS/MS identified peptides, which were synthesized and screened. Two new peptides, YPCW and GYPYK, were discovered and both of them had strong antioxidant properties in vitro, with the ABTS radical scavenging IC50 of 2.52 ± 0.37 µg/mL and ORAC of 5187 ± 78 µmol TE/g. Both peptides in H2O2-induced HepG2 cells significantly decreased the intracellular ROS and MDA and inhibited the activity of antioxidant enzymes (SOD, CAT, and GSH-Px). Moreover, YPCW and GYPYK increased the survival of C. elegans during oxidative stress and the similar response, altering antioxidant enzyme activities in vivo and MDA levels. These findings indicate that peptides obtained through B. fuscopurpurea can be useful as antioxidant agents, and they can be considered as a possible new active ingredient of functional foods or pharmaceuticals to counteract oxidative stress. Full article
(This article belongs to the Section Food Biotechnology)
Show Figures

Figure 1

26 pages, 2642 KB  
Review
Differences and Similarities in Protein and Nucleic Acid Structures and Their Biological Interactions
by Tsutomu Arakawa, Taiji Oyama, Tomoto Ura, Suguru Nishinami, Kentaro Shiraki and Teruo Akuta
Curr. Issues Mol. Biol. 2025, 47(12), 1019; https://doi.org/10.3390/cimb47121019 - 6 Dec 2025
Viewed by 788
Abstract
Protein and nucleic acid play central roles in biology and pharmaceuticals. Both share a similar architecture made of a backbone and side chains. Protein has a peptide backbone and various side chains, whereas nucleic acid has a phosphate backbone and aromatic side chains. [...] Read more.
Protein and nucleic acid play central roles in biology and pharmaceuticals. Both share a similar architecture made of a backbone and side chains. Protein has a peptide backbone and various side chains, whereas nucleic acid has a phosphate backbone and aromatic side chains. However, they are significantly different in the chemical properties of the backbone and side chains. The protein backbone is uncharged, while nucleic acid backbone is negatively charged. The protein side chains comprise widely different chemical properties. On the other hand, the nucleic acid side chains comprise a uniform chemical property of aromatic bases. Such differences lead to fundamentally different folding, molecular interactions and co-solvent interactions, which are the focus of this review. In regular protein secondary structures, the peptide groups form polar hydrogen bonds, making the interior hydrophilic. The side chains of different chemical properties are exposed on the outside of the protein secondary structures and participate in molecular and co-solvent interactions. On the other hand, hydrophobic/aromatic nucleobase side chains are located inside the typical double helix or quadruplex structures. The charged phosphate groups of the nucleic acid backbone are located outside, participating in electrostatic interactions. The nucleobases are also involved in molecular interactions, when exposed in breaks, hairpins, kinks and loops. These structural differences between protein and nucleic acid confer different interactions with commonly used co-solvents, such as denaturants, organic solvents and polymers. Full article
Show Figures

Figure 1

19 pages, 3072 KB  
Article
Evolution of CEACAM1 N Domain Biologically Active Sites in Primates
by Keith M. Skubitz and Wolfgang Zimmermann
Biology 2025, 14(12), 1744; https://doi.org/10.3390/biology14121744 - 5 Dec 2025
Viewed by 359
Abstract
CEACAMs are involved in a variety of physiological processes including cell adhesion, regulating the immune system, serving as entry receptors for a variety of pathogens, and regulating insulin receptor levels. Earlier studies identified five peptides from the N domain of human CEACAM1 that [...] Read more.
CEACAMs are involved in a variety of physiological processes including cell adhesion, regulating the immune system, serving as entry receptors for a variety of pathogens, and regulating insulin receptor levels. Earlier studies identified five peptides from the N domain of human CEACAM1 that have stimulatory activity on human neutrophils. We compared the CEACAM N domain sequences, and also the amino acid sequences of the five CEACAM1 N domain peptides with biological activity in human neutrophils, among selected primates. Close similarity of the N domains was observed in the primates examined. The CEACAM1 N domains were more similar within great apes, Old World monkeys, New World monkeys, and lemurs/tarsiers than between groups. Differences in the amino acid sequences of some active peptides were observed among species; some differences are predicted to result in a loss of activity in the human neutrophil system. One amino acid change in the CD66a-1 peptide region that results in the loss of neutrophil activating activity in humans was observed in bonobos but not in the closely related chimpanzee which inhabits the opposite side of the Congo river. The same amino acid change was found to be a very rare event in humans. Changes in the CD66a-2 and CD66a-3 peptide regions were also observed in select human populations, some of which were differentially present in the chimpanzee and bonobo, as well as others that were not found in the other primates studied. In addition, a haplotype involving SNPs resulting in amino acid changes immediately adjacent to peptides CD66a-1, 3, and 7 were found in select human populations. Since CEACAM1 serves as a receptor for multiple infectious agents, selective pressure of an unidentified pathogen could be responsible for these differences. Given the diverse activities of CEACAM1 in humans, variant alleles in these domains might also have diverse effects in different populations. Full article
Show Figures

Figure 1

Back to TopTop