High TCR Degeneracy Enhances Antiviral Efficacy of HTLV-1-Specific CTLs by Targeting Variant Viruses in HAM Patients
Abstract
1. Introduction
2. Results
2.1. Recognition of Altered Peptide Ligands (APLs) by HTLV-1 Tax 11–19–Specific CD8+ CTLs
2.2. TCR Degeneracy Correlates Negatively with HTLV-1 PVL
2.3. Functional Avidity of CTLs Is Comparable Among Patients
2.4. Correlation Between TCR Structural Diversity and PVL
2.5. CTLs with High TCR Degeneracy Exert Strong Antiviral Pressure
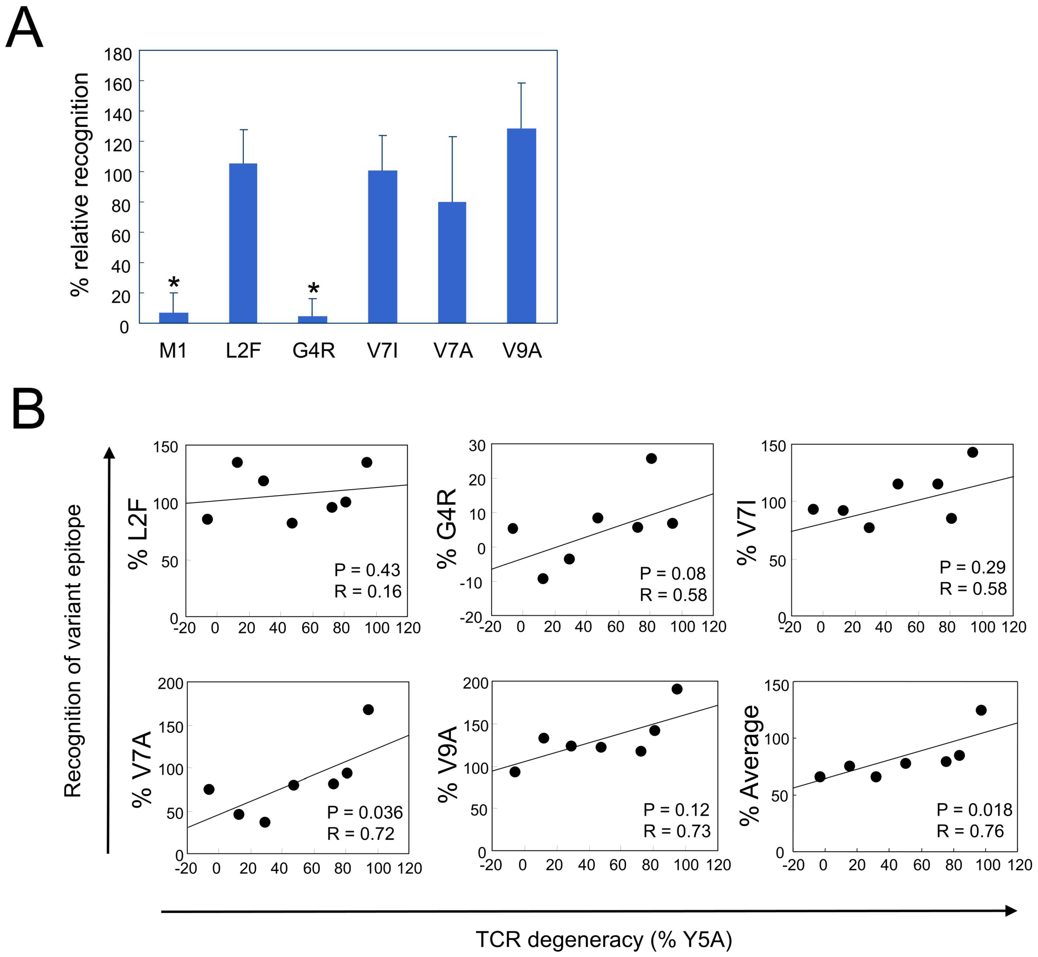
2.6. TCR Degeneracy Enhances Recognition of Naturally Occurring Variant Epitopes
3. Discussion
4. Materials and Methods
4.1. Ethics Statement
4.2. Study Subjects
4.3. Synthetic Peptides
4.4. Assessment of TCR Degeneracy by CTL Recognition of APLs
4.5. Functional T-Cell Avidity Assay
4.6. TCR BV CDR3 Spectratyping of Tax 11–19–Specific CD8+ CTLs
4.7. Quantification of HTLV-1 PVL
4.8. Sequence Analysis of the HTLV-1 Tax Gene
4.9. Estimation of Synonymous and Nonsynonymous Substitution Rates
4.10. Detection of CTL Responses to Naturally Occurring Variant Epitopes
4.11. Statistical Analysis
Supplementary Materials
Author Contributions
Funding
Institutional Review Board Statement
Informed Consent Statement
Data Availability Statement
Acknowledgments
Conflicts of Interest
References
- Hemmer, B.; Fleckenstein, B.T.; Vergelli, M.; Jung, G.; McFarland, H.; Martin, R.; Wiesmuller, K.H. Identification of high potency microbial and self ligands for a human autoreactive class II-restricted T cell clone. J. Exp. Med. 1997, 185, 1651–1659. [Google Scholar] [CrossRef]
- Gran, B.; Hemmer, B.; Vergelli, M.; McFarland, H.F.; Martin, R. Molecular mimicry and multiple sclerosis: Degenerate T-cell recognition and the induction of autoimmunity. Ann. Neurol. 1999, 45, 559–567. [Google Scholar] [CrossRef]
- Gantner, P.; Pagliuzza, A.; Pardons, M.; Ramgopal, M.; Routy, J.P.; Fromentin, R.; Chomont, N. Single-cell TCR sequencing reveals phenotypically diverse clonally expanded cells harboring inducible HIV proviruses during ART. Nat. Commun. 2020, 11, 4089. [Google Scholar] [CrossRef] [PubMed]
- Poon, M.M.L.; Byington, E.; Meng, W.; Kubota, M.; Matsumoto, R.; Grifoni, A.; Weiskopf, D.; Dogra, P.; Lam, N.; Szabo, P.A.; et al. Heterogeneity of human anti-viral immunity shaped by virus, tissue, age, and sex. Cell Rep. 2021, 37, 110071. [Google Scholar] [CrossRef]
- Eisen, H.N. Specificity and degeneracy in antigen recognition: Yin and yang in the immune system. Annu. Rev. Immunol. 2001, 19, 1–21. [Google Scholar] [CrossRef] [PubMed]
- Wooldridge, L.; Ekeruche-Makinde, J.; van den Berg, H.A.; Skowera, A.; Miles, J.J.; Tan, M.P.; Dolton, G.; Clement, M.; Llewellyn-Lacey, S.; Price, D.A.; et al. A single autoimmune T cell receptor recognizes more than a million different peptides. J. Biol. Chem. 2012, 287, 1168–1177. [Google Scholar] [CrossRef] [PubMed]
- Hemmer, B.; Vergelli, M.; Pinilla, C.; Houghten, R.; Martin, R. Probing degeneracy in T-cell recognition using peptide combinatorial libraries. Immunol. Today 1998, 19, 163–168. [Google Scholar] [CrossRef]
- Evavold, B.D.; Allen, P.M. Separation of IL-4 production from Th cell proliferation by an altered T cell receptor ligand. Science 1991, 252, 1308–1310. [Google Scholar] [CrossRef]
- Kersh, G.J.; Allen, P.M. Essential flexibility in the T-cell recognition of antigen. Nature 1996, 380, 495–498. [Google Scholar] [CrossRef]
- Mendoza, J.L.; Fischer, S.; Gee, M.H.; Lam, L.H.; Brackenridge, S.; Powrie, F.M.; Birnbaum, M.; McMichael, A.J.; Garcia, K.C.; Gillespie, G.M. Interrogating the recognition landscape of a conserved HIV-specific TCR reveals distinct bacterial peptide cross-reactivity. eLife 2020, 9, e58128. [Google Scholar] [CrossRef]
- Balamurugan, A.; Ng, H.L.; Yang, O.O. Correction for Balamurugan et al., “Cross-Reactivity against Multiple HIV-1 Epitopes Is Characteristic of HIV-1-Specific Cytotoxic T Lymphocyte Clones”. J. Virol. 2021, 95, e0139721. [Google Scholar] [CrossRef]
- Pohlmeyer, C.W.; Laskey, S.B.; Beck, S.E.; Xu, D.C.; Capoferri, A.A.; Garliss, C.C.; May, M.E.; Livingston, A.; Lichmira, W.; Moore, R.D.; et al. Cross-reactive microbial peptides can modulate HIV-specific CD8+ T cell responses. PLoS ONE 2018, 13, e0192098. [Google Scholar] [CrossRef] [PubMed]
- Ogg, G.S.; Jin, X.; Bonhoeffer, S.; Dunbar, P.R.; Nowak, M.A.; Monard, S.; Segal, J.P.; Cao, Y.; Rowland-Jones, S.L.; Cerundolo, V.; et al. Quantitation of HIV-1-specific cytotoxic T lymphocytes and plasma load of viral RNA. Science 1998, 279, 2103–2106. [Google Scholar] [CrossRef] [PubMed]
- Honeyborne, I.; Prendergast, A.; Pereyra, F.; Leslie, A.; Crawford, H.; Payne, R.; Reddy, S.; Bishop, K.; Moodley, E.; Nair, K.; et al. Control of human immunodeficiency virus type 1 is associated with HLA-B*13 and targeting of multiple gag-specific CD8+ T-cell epitopes. J. Virol. 2007, 81, 3667–3672. [Google Scholar] [CrossRef]
- Kattan, T.; MacNamara, A.; Rowan, A.G.; Nose, H.; Mosley, A.J.; Tanaka, Y.; Taylor, G.P.; Asquith, B.; Bangham, C.R. The avidity and lytic efficiency of the CTL response to HTLV-1. J. Immunol. 2009, 182, 5723–5729. [Google Scholar] [CrossRef]
- Kubota, R.; Furukawa, Y.; Izumo, S.; Usuku, K.; Osame, M. Degenerate specificity of HTLV-1-specific CD8+ T cells during viral replication in patients with HTLV-1-associated myelopathy (HAM/TSP). Blood 2003, 101, 3074–3081. [Google Scholar] [CrossRef] [PubMed]
- Richardson, J.H.; Edwards, A.J.; Cruickshank, J.K.; Rudge, P.; Dalgleish, A.G. In vivo cellular tropism of human T-cell leukemia virus type 1. J. Virol. 1990, 64, 5682–5687. [Google Scholar] [CrossRef]
- Uchiyama, T.; Yodoi, J.; Sagawa, K.; Takatsuki, K.; Uchino, H. Adult T-cell leukemia: Clinical and hematologic features of 16 cases. Blood 1977, 50, 481–492. [Google Scholar] [CrossRef]
- Gessain, A.; Barin, F.; Vernant, J.C.; Gout, O.; Maurs, L.; Calender, A.; de The, G. Antibodies to human T-lymphotropic virus type-I in patients with tropical spastic paraparesis. Lancet 1985, 2, 407–410. [Google Scholar] [CrossRef]
- Osame, M.; Usuku, K.; Izumo, S.; Ijichi, N.; Amitani, H.; Igata, A.; Matsumoto, M.; Tara, M. HTLV-I associated myelopathy, a new clinical entity. Lancet 1986, 1, 1031–1032. [Google Scholar] [CrossRef]
- Umehara, F.; Izumo, S.; Nakagawa, M.; Ronquillo, A.T.; Takahashi, K.; Matsumuro, K.; Sato, E.; Osame, M. Immunocytochemical analysis of the cellular infiltrate in the spinal cord lesions in HTLV-I-associated myelopathy. J. Neuropathol. Exp. Neurol. 1993, 52, 424–430. [Google Scholar] [CrossRef]
- Osame, M.; Matsumoto, M.; Usuku, K.; Izumo, S.; Ijichi, N.; Amitani, H.; Tara, M.; Igata, A. Chronic progressive myelopathy associated with elevated antibodies to human T-lymphotropic virus type I and adult T-cell leukemialike cells. Ann. Neurol. 1987, 21, 117–122. [Google Scholar] [CrossRef] [PubMed]
- Nagai, M.; Usuku, K.; Matsumoto, W.; Kodama, D.; Takenouchi, N.; Moritoyo, T.; Hashiguchi, S.; Ichinose, M.; Bangham, C.R.; Izumo, S.; et al. Analysis of HTLV-I proviral load in 202 HAM/TSP patients and 243 asymptomatic HTLV-I carriers: High proviral load strongly predisposes to HAM/TSP. J. Neurovirol. 1998, 4, 586–593. [Google Scholar] [CrossRef] [PubMed]
- Jacobson, S.; Shida, H.; McFarlin, D.E.; Fauci, A.S.; Koenig, S. Circulating CD8+ cytotoxic T lymphocytes specific for HTLV-I pX in patients with HTLV-I associated neurological disease. Nature 1990, 348, 245–248. [Google Scholar] [CrossRef] [PubMed]
- Kubota, R.; Kawanishi, T.; Matsubara, H.; Manns, A.; Jacobson, S. Demonstration of human T lymphotropic virus type I (HTLV-I) tax-specific CD8+ lymphocytes directly in peripheral blood of HTLV-I-associated myelopathy/tropical spastic paraparesis patients by intracellular cytokine detection. J. Immunol. 1998, 161, 482–488. [Google Scholar] [CrossRef]
- Greten, T.F.; Slansky, J.E.; Kubota, R.; Soldan, S.S.; Jaffee, E.M.; Leist, T.P.; Pardoll, D.M.; Jacobson, S.; Schneck, J.P. Direct visualization of antigen-specific T cells: HTLV-1 Tax11-19- specific CD8(+) T cells are activated in peripheral blood and accumulate in cerebrospinal fluid from HAM/TSP patients. Proc. Natl. Acad. Sci. USA 1998, 95, 7568–7573. [Google Scholar] [CrossRef]
- Matsuura, E.; Kubota, R.; Tanaka, Y.; Takashima, H.; Izumo, S. Visualization of HTLV-1-specific cytotoxic T lymphocytes in the spinal cords of patients with HTLV-1-associated myelopathy/tropical spastic paraparesis. J. Neuropathol. Exp. Neurol. 2015, 74, 2–14. [Google Scholar] [CrossRef]
- Koenig, S.; Woods, R.M.; Brewah, Y.A.; Newell, A.J.; Jones, G.M.; Boone, E.; Adelsberger, J.W.; Baseler, M.W.; Robinson, S.M.; Jacobson, S. Characterization of MHC class I restricted cytotoxic T cell responses to tax in HTLV-1 infected patients with neurologic disease. J. Immunol. 1993, 151, 3874–3883. [Google Scholar] [CrossRef]
- Garboczi, D.N.; Ghosh, P.; Utz, U.; Fan, Q.R.; Biddison, W.E.; Wiley, D.C. Structure of the complex between human T-cell receptor, viral peptide and HLA-A2. Nature 1996, 384, 134–141. [Google Scholar] [CrossRef]
- Evavold, B.D.; Sloan-Lancaster, J.; Allen, P.M. Tickling the TCR: Selective T-cell functions stimulated by altered peptide ligands. Immunol. Today 1993, 14, 602–609. [Google Scholar] [CrossRef]
- Kubota, R.; Hanada, K.; Furukawa, Y.; Arimura, K.; Osame, M.; Gojobori, T.; Izumo, S. Genetic stability of human T lymphotropic virus type I despite antiviral pressures by CTLs. J. Immunol. 2007, 178, 5966–5972. [Google Scholar] [CrossRef] [PubMed]
- Burrows, S.R.; Silins, S.L.; Khanna, R.; Burrows, J.M.; Rischmueller, M.; McCluskey, J.; Moss, D.J. Cross-reactive memory T cells for Epstein-Barr virus augment the alloresponse to common human leukocyte antigens: Degenerate recognition of major histocompatibility complex-bound peptide by T cells and its role in alloreactivity. Eur. J. Immunol. 1997, 27, 1726–1736. [Google Scholar] [CrossRef]
- Lee, J.K.; Stewart-Jones, G.; Dong, T.; Harlos, K.; Di Gleria, K.; Dorrell, L.; Douek, D.C.; van der Merwe, P.A.; Jones, E.Y.; McMichael, A.J. T cell cross-reactivity and conformational changes during TCR engagement. J. Exp. Med. 2004, 200, 1455–1466. [Google Scholar] [CrossRef] [PubMed]
- Kubota, R.; Soldan, S.S.; Martin, R.; Jacobson, S. An altered peptide ligand antagonizes antigen-specific T cells of patients with human T lymphotropic virus type I-associated neurological disease. J. Immunol. 2000, 164, 5192–5198. [Google Scholar] [CrossRef]
- Berger, C.T.; Frahm, N.; Price, D.A.; Mothe, B.; Ghebremichael, M.; Hartman, K.L.; Henry, L.M.; Brenchley, J.M.; Ruff, L.E.; Venturi, V.; et al. High-functional-avidity cytotoxic T lymphocyte responses to HLA-B-restricted Gag-derived epitopes associated with relative HIV control. J. Virol. 2011, 85, 9334–9345. [Google Scholar] [CrossRef] [PubMed]
- Mothe, B.; Llano, A.; Ibarrondo, J.; Zamarreno, J.; Schiaulini, M.; Miranda, C.; Ruiz-Riol, M.; Berger, C.T.; Herrero, M.J.; Palou, E.; et al. CTL responses of high functional avidity and broad variant cross-reactivity are associated with HIV control. PLoS ONE 2012, 7, e29717. [Google Scholar] [CrossRef]
- Sewell, A.K. Why must T cells be cross-reactive? Nat. Rev. Immunol. 2012, 12, 669–677. [Google Scholar] [CrossRef]
- Morgan, O.S.; Rodgers-Johnson, P.; Mora, C.; Char, G. HTLV-1 and polymyositis in Jamaica. Lancet 1989, 2, 1184–1187. [Google Scholar] [CrossRef]
- Nakao, K.; Ohba, N.; Isashiki, M.; Isashiki, Y.; Unoki, K.; Osame, M. Pigmentary retinal degeneration in patients with HTLV-I-associated myelopathy. Jpn. J. Ophthalmol. 1989, 33, 383–391. [Google Scholar]
- Sugimoto, M.; Nakashima, H.; Watanabe, S.; Uyama, E.; Tanaka, F.; Ando, M.; Araki, S.; Kawasaki, S. T-lymphocyte alveolitis in HTLV-I-associated myelopathy. Lancet 1987, 2, 1220. [Google Scholar] [CrossRef]
- Hanon, E.; Hall, S.; Taylor, G.P.; Saito, M.; Davis, R.; Tanaka, Y.; Usuku, K.; Osame, M.; Weber, J.N.; Bangham, C.R. Abundant tax protein expression in CD4+ T cells infected with human T-cell lymphotropic virus type I (HTLV-I) is prevented by cytotoxic T lymphocytes. Blood 2000, 95, 1386–1392. [Google Scholar] [CrossRef]
- Nagasato, K.; Nakamura, T.; Ohishi, K.; Shibayama, K.; Motomura, M.; Ichinose, K.; Tsujihata, M.; Nagataki, S. Active production of anti-human T-lymphotropic virus type I (HTLV-I) IgM antibody in HTLV-I-associated myelopathy. J. Neuroimmunol. 1991, 32, 105–109. [Google Scholar] [CrossRef] [PubMed]
- Bunce, M.; O’Neill, C.M.; Barnardo, M.C.; Krausa, P.; Browning, M.J.; Morris, P.J.; Welsh, K.I. Phototyping: Comprehensive DNA typing for HLA-A, B, C, DRB1, DRB3, DRB4, DRB5 & DQB1 by PCR with 144 primer mixes utilizing sequence-specific primers (PCR-SSP). Tissue Antigens 1995, 46, 355–367. [Google Scholar]
- Lovelace, P.; Maecker, H.T. Multiparameter intracellular cytokine staining. Methods Mol. Biol. 2011, 699, 165–178. [Google Scholar] [CrossRef] [PubMed]
- Hilburn, S.; Rowan, A.; Demontis, M.A.; MacNamara, A.; Asquith, B.; Bangham, C.R.; Taylor, G.P. In vivo expression of human T-lymphotropic virus type 1 basic leucine-zipper protein generates specific CD8+ and CD4+ T-lymphocyte responses that correlate with clinical outcome. J. Infect. Dis. 2011, 203, 529–536. [Google Scholar] [CrossRef] [PubMed]
- Saito, M.; Taylor, G.P.; Saito, A.; Furukawa, Y.; Usuku, K.; Weber, J.N.; Osame, M.; Bangham, C.R. In vivo selection of T-cell receptor junctional region sequences by HLA-A2 human T-cell lymphotropic virus type 1 Tax11-19 peptide complexes. J. Virol. 2001, 75, 1065–1071. [Google Scholar] [CrossRef][Green Version]
- Muraro, P.A.; Douek, D.C.; Packer, A.; Chung, K.; Guenaga, F.J.; Cassiani-Ingoni, R.; Campbell, C.; Memon, S.; Nagle, J.W.; Hakim, F.T.; et al. Thymic output generates a new and diverse TCR repertoire after autologous stem cell transplantation in multiple sclerosis patients. J. Exp. Med. 2005, 201, 805–816. [Google Scholar] [CrossRef]
- Yang, Z.; Kumar, S.; Nei, M. A new method of inference of ancestral nucleotide and amino acid sequences. Genetics 1995, 141, 1641–1650. [Google Scholar] [CrossRef]
- Hanada, K.; Tanaka, Y.; Mizokami, M.; Gojobori, T.; Alter, H.J. A reduction in selective immune pressure during the course of chronic hepatitis C correlates with diminished biochemical evidence of hepatic inflammation. Virology 2007, 361, 27–33. [Google Scholar] [CrossRef]






| Patient | Proviral Load a | CTL Frequency b | TCR Degeneracy c | Tax 11–19 Sequence d | Designated Variant Name e | Frequency of Variants f | Percentage of Variants |
|---|---|---|---|---|---|---|---|
| H2 | 1877 | 4.9 | 13.6 | LLFGYPVYV | 45/46 | ||
| ***R***** | G4R | 1/46 | 2.2 | ||||
| H3 | 821 | 0.4 | 2.5 | LLFGYPVYV | 44/45 | ||
| ********A | V9A | 1/45 | 2.2 | ||||
| H6 | 2230 | 0.9 | −4.7 | LLFGYPVYV | 47/48 | ||
| ******I** | V7I | 1/48 | 2.1 | ||||
| H7 | 303 | 1.9 | 48.7 | LLFGYPVYV | 47/47 | 0.0 | |
| H8 | 454 | 0.6 | 82.1 | LLFGYPVYV | 47/47 | 0.0 | |
| H9 | 458 | 3.4 | 17.7 | LLFGYPVYV | 38/38 | 0.0 | |
| H10 | 130 | 0.4 | 16.2 | LLFGYPVYV | 46/46 | 0.0 | |
| H11 | 319 | 3.0 | 18.9 | LLFGYPVYV | 41/41 | 0.0 | |
| H12 | 646 | 19.5 | 38.0 | LLFGYPVYV | 46/48 | ||
| ***R***** | G4R | 2/48 | 4.2 | ||||
| H13 | 1876 | 2.3 | 0.4 | LLFGYPVYV | 48/48 | 0.0 | |
| H14 | 1595 | 3.3 | 8.9 | LLFGYPVYV | 48/48 | 0.0 | |
| H15 | 394 | 0.5 | 16.0 | LLFGYPVYV | 43/48 | ||
| ***R***** | G4R | 4/48 | 8.3 | ||||
| ******A** | V7A | 1/48 | 2.1 | ||||
| H16 | 149 | 4.5 | 21.1 | LLFGYPVYV | 45/46 | ||
| ***R***** | G4R | 1/46 | 2.2 | ||||
| H19 | 951 | 0.43 | −14.0 | LLFGYPVYV | 44/45 | ||
| *F******* | L2F | 1/45 | 2.2 | ||||
| H20 | 224 | 0.5 | 94.0 | LLFGYPVYV | 45/45 | 0.0 | |
| H22 | 159 | 1.4 | 15.3 | LLFGYPVYV | 35/39 | ||
| ***R***** | G4R | 4/39 | 10.3 | ||||
| H23 | 606 | 5.5 | 73.7 | LLFGYPVYV | 44/45 | ||
| ******I** | V7I | 1/45 | 2.2 | ||||
| H24 | 1207 | 0.7 | 30.1 | LLFGYPVYV | 48/48 | 0.0 |
| Nn | Ns | |
|---|---|---|
| Substitutions in high TCR degeneracy | 27 | 6 |
| Substitutions in low TCR degeneracy | 17 | 14 |
Disclaimer/Publisher’s Note: The statements, opinions and data contained in all publications are solely those of the individual author(s) and contributor(s) and not of MDPI and/or the editor(s). MDPI and/or the editor(s) disclaim responsibility for any injury to people or property resulting from any ideas, methods, instructions or products referred to in the content. |
© 2025 by the authors. Licensee MDPI, Basel, Switzerland. This article is an open access article distributed under the terms and conditions of the Creative Commons Attribution (CC BY) license (https://creativecommons.org/licenses/by/4.0/).
Share and Cite
Kubota, R.; Hanada, K.; Saito, M.; Dozono, M.; Nozuma, S.; Takashima, H. High TCR Degeneracy Enhances Antiviral Efficacy of HTLV-1-Specific CTLs by Targeting Variant Viruses in HAM Patients. Int. J. Mol. Sci. 2025, 26, 6602. https://doi.org/10.3390/ijms26146602
Kubota R, Hanada K, Saito M, Dozono M, Nozuma S, Takashima H. High TCR Degeneracy Enhances Antiviral Efficacy of HTLV-1-Specific CTLs by Targeting Variant Viruses in HAM Patients. International Journal of Molecular Sciences. 2025; 26(14):6602. https://doi.org/10.3390/ijms26146602
Chicago/Turabian StyleKubota, Ryuji, Kousuke Hanada, Mineki Saito, Mika Dozono, Satoshi Nozuma, and Hiroshi Takashima. 2025. "High TCR Degeneracy Enhances Antiviral Efficacy of HTLV-1-Specific CTLs by Targeting Variant Viruses in HAM Patients" International Journal of Molecular Sciences 26, no. 14: 6602. https://doi.org/10.3390/ijms26146602
APA StyleKubota, R., Hanada, K., Saito, M., Dozono, M., Nozuma, S., & Takashima, H. (2025). High TCR Degeneracy Enhances Antiviral Efficacy of HTLV-1-Specific CTLs by Targeting Variant Viruses in HAM Patients. International Journal of Molecular Sciences, 26(14), 6602. https://doi.org/10.3390/ijms26146602

