Sign in to use this feature.

Years

Between: -

Subjects

remove_circle_outline
remove_circle_outline
remove_circle_outline
remove_circle_outline
remove_circle_outline
remove_circle_outline
remove_circle_outline
remove_circle_outline

Journals

Article Types

Countries / Regions

Search Results (64)

Search Parameters:
Keywords = panicle branching

Order results
Result details
Results per page
Select all
Export citation of selected articles as:
19 pages, 5076 KB  
Communication
Low-Temperature-Induced Changes in Rice Panicle Architectures and Their Robustness in Extremely Cold-Tolerant Cultivars
by Masato Kisara, Aisha Ahmad Abu and Atsushi Higashitani
Plants 2025, 14(17), 2759; https://doi.org/10.3390/plants14172759 - 3 Sep 2025
Viewed by 882
Abstract
Low-temperature (LT) stress remains a challenge in rice cultivation and breeding. Despite global warming, cold waves cause damage to rice plants, particularly during pollen development. LTs during early panicle formation worsen pollen formation defects, but the underlying mechanisms remain unclear. We investigated the [...] Read more.
Low-temperature (LT) stress remains a challenge in rice cultivation and breeding. Despite global warming, cold waves cause damage to rice plants, particularly during pollen development. LTs during early panicle formation worsen pollen formation defects, but the underlying mechanisms remain unclear. We investigated the effects of low temperatures (19.0 °C and 18.5 °C) throughout reproductive growth on the panicle architecture and fertility of 28 japonica rice varieties with different LT tolerances. LT-sensitive varieties like Sasanishiki and conventional LT-tolerant varieties like Hitomebore showed increased spikelet densities on basal branches, whereas extremely LT-tolerant varieties like Tohoku 234 maintained a stable panicle architecture. RNA sequencing of the early panicles revealed LT-induced expression of stress response genes in all varieties. Compared with Hitomebore and Sasanishiki, in Tohoku 234, the expression of genes involved in flowering and sugar metabolism—such as OsGI and OsTOC1—showed stepwise induction with decreasing temperatures, while the expression of genes related to the cell cycle exhibited stepwise suppression. In addition, 24 genes with variety-specific expression patterns were identified. These findings suggested that LTs during the early reproductive stage increased spikelet numbers, along with total anther numbers, which may reduce the pollen formation capacity within each anther in LT-susceptible varieties. This study offers insights into rice’s LT tolerance mechanisms. Full article
(This article belongs to the Special Issue Plant Functioning Under Abiotic Stress)
Show Figures

Figure 1

16 pages, 494 KB  
Article
Comparative Analysis of Yield and Grain-Filling Characteristics of Conventional Rice with Different Panicle Types in Response to Nitrogen Fertilization
by Nianbing Zhou, Tong Sun, Yanhong Zhang, Qiang Shi, Yu Zhou, Qiangqiang Xiong, Jinlong Hu, Shuai Wang and Jinyan Zhu
Agronomy 2025, 15(8), 1858; https://doi.org/10.3390/agronomy15081858 - 31 Jul 2025
Viewed by 715
Abstract
This study investigated the impact of nitrogen (N) fertilization on the yield and grain filling (GF) characteristics of two conventional japonica rice varieties with distinct panicle types: Yangchan 3501 (large-panicle: spikelets per panicle > 150) and Nangeng 46 (medium-panicle: [...] Read more.
This study investigated the impact of nitrogen (N) fertilization on the yield and grain filling (GF) characteristics of two conventional japonica rice varieties with distinct panicle types: Yangchan 3501 (large-panicle: spikelets per panicle > 150) and Nangeng 46 (medium-panicle: 100 < spikelets per panicle < 150). Field experiments were conducted over two growing seasons (2022–2023) with three N application rates (T1: 225 kg ha−1, T2: 270 kg ha−1, T3: 315 kg ha−1). Key measurements included tiller dynamics, panicle composition, GF parameters modeled using the Richards equation, and enzyme activities related to nitrogen metabolism (Fd-GOGAT, NR) and carbohydrate transport (α-amylase, SPS). Results showed that the yield increased with higher N levels for both varieties, with Yangchan 3501 achieving higher yields primarily through increased grains per panicle (15.65% rise under T3 vs. T1), while Nangeng 46 relied on panicle number (8.83% increase under T3 vs. T1). Nitrogen application enhanced Fd-GOGAT and NR activities, prolonging photosynthesis and improving GF rates, particularly in the inferior grains of Yangchan 3501 during middle and late stages. However, a high N reduced seed-setting rates and 1000-grain weight, with larger panicle types exhibiting a greater sensitivity to N-induced changes in branch structure and assimilate allocation. This study highlights that optimizing N management can improve nitrogen-metabolism enzyme activity and GF efficiency, especially in large-panicle rice, while medium-panicle types require higher N inputs to maximize panicle number. These findings provide actionable insights for achieving high yields and efficient nutrient use in conventional rice cultivation. Full article
(This article belongs to the Section Soil and Plant Nutrition)
Show Figures

Figure 1

24 pages, 9664 KB  
Article
Frequency-Domain Collaborative Lightweight Super-Resolution for Fine Texture Enhancement in Rice Imagery
by Zexiao Zhang, Jie Zhang, Jinyang Du, Xiangdong Chen, Wenjing Zhang and Changmeng Peng
Agronomy 2025, 15(7), 1729; https://doi.org/10.3390/agronomy15071729 - 18 Jul 2025
Viewed by 712
Abstract
In rice detection tasks, accurate identification of leaf streaks, pest and disease distribution, and spikelet hierarchies relies on high-quality images to distinguish between texture and hierarchy. However, existing images often suffer from texture blurring and contour shifting due to equipment and environment limitations, [...] Read more.
In rice detection tasks, accurate identification of leaf streaks, pest and disease distribution, and spikelet hierarchies relies on high-quality images to distinguish between texture and hierarchy. However, existing images often suffer from texture blurring and contour shifting due to equipment and environment limitations, which affects the detection performance. In view of the fact that pests and diseases affect the whole situation and tiny details are mostly localized, we propose a rice image reconstruction method based on an adaptive two-branch heterogeneous structure. The method consists of a low-frequency branch (LFB) that recovers global features using orientation-aware extended receptive fields to capture streaky global features, such as pests and diseases, and a high-frequency branch (HFB) that enhances detail edges through an adaptive enhancement mechanism to boost the clarity of local detail regions. By introducing the dynamic weight fusion mechanism (CSDW) and lightweight gating network (LFFN), the problem of the unbalanced fusion of frequency information for rice images in traditional methods is solved. Experiments on the 4× downsampled rice test set demonstrate that the proposed method achieves a 62% reduction in parameters compared to EDSR, 41% lower computational cost (30 G) than MambaIR-light, and an average PSNR improvement of 0.68% over other methods in the study while balancing memory usage (227 M) and inference speed. In downstream task validation, rice panicle maturity detection achieves a 61.5% increase in mAP50 (0.480 → 0.775) compared to interpolation methods, and leaf pest detection shows a 2.7% improvement in average mAP50 (0.949 → 0.975). This research provides an effective solution for lightweight rice image enhancement, with its dual-branch collaborative mechanism and dynamic fusion strategy establishing a new paradigm in agricultural rice image processing. Full article
(This article belongs to the Collection AI, Sensors and Robotics for Smart Agriculture)
Show Figures

Figure 1

23 pages, 4770 KB  
Article
FRPNet: A Lightweight Multi-Altitude Field Rice Panicle Detection and Counting Network Based on Unmanned Aerial Vehicle Images
by Yuheng Guo, Wei Zhan, Zhiliang Zhang, Yu Zhang and Hongshen Guo
Agronomy 2025, 15(6), 1396; https://doi.org/10.3390/agronomy15061396 - 5 Jun 2025
Cited by 2 | Viewed by 1162
Abstract
Rice panicle detection is a key technology for improving rice yield and agricultural management levels. Traditional manual counting methods are labor-intensive and inefficient, making them unsuitable for large-scale farmlands. This paper proposes FRPNet, a novel lightweight convolutional neural network optimized for multi-altitude rice [...] Read more.
Rice panicle detection is a key technology for improving rice yield and agricultural management levels. Traditional manual counting methods are labor-intensive and inefficient, making them unsuitable for large-scale farmlands. This paper proposes FRPNet, a novel lightweight convolutional neural network optimized for multi-altitude rice panicle detection in UAV images. The architecture integrates three core innovations: a CSP-ScConv backbone with self-calibrating convolutions for efficient multi-scale feature extraction; a Feature Pyramid Shared Convolution (FPSC) module that replaces pooling with multi-branch dilated convolutions to preserve fine-grained spatial information; and a Dynamic Bidirectional Feature Pyramid Network (DynamicBiFPN) employing input-adaptive kernels to optimize cross-scale feature fusion. The model was trained and evaluated on the open-access Dense Rice Panicle Detection (DRPD) dataset, which comprises UAV images captured at 7 m, 12 m, and 20 m altitudes. Experimental results demonstrate that our method significantly outperforms existing advanced models, achieving an AP50 of 0.8931 and an F2 score of 0.8377 on the test set. While ensuring model accuracy, the parameters of the proposed model decreased by 42.87% and the GFLOPs by 48.95% compared to Panicle-AI. Grad-CAM visualizations reveal that FRPNet exhibits superior background noise suppression in 20 m altitude images compared to mainstream models. This work establishes an accuracy-efficiency balanced solution for UAV-based field phenotyping. Full article
Show Figures

Figure 1

19 pages, 8136 KB  
Article
Nitrogen Fertilizer Application and Optimized Planting Density Enhance Rice Yield by Improving the Panicle Type Index and Increasing the Filling Rate of Inferior Grains
by Yanlong Gong, Yue Lei, Zhongni Wang, Hai Xu, Xiaoyi Cheng and Wenfu Chen
Plants 2025, 14(11), 1690; https://doi.org/10.3390/plants14111690 - 31 May 2025
Viewed by 902
Abstract
This study aimed to investigate the regulatory effects of nitrogen (N) application rate and plant density on panicle type index (PTI), yield, grain filling characteristics, and their correlations. The low-PTI rice variety DP128 (PTI = 0.15) was cultivated under field conditions at four [...] Read more.
This study aimed to investigate the regulatory effects of nitrogen (N) application rate and plant density on panicle type index (PTI), yield, grain filling characteristics, and their correlations. The low-PTI rice variety DP128 (PTI = 0.15) was cultivated under field conditions at four N supply levels (0 (N0), 140 (N140), 200 (N200), and 260 (N260) kg∙ha–1), and two plant densities (166,755 and 333,495 plants∙ha−1). Results showed that N application rate, planting density, and their interactions significantly influenced yield, PTI, grain number in middle/lower secondary branches, and total grain number in lower secondary branches of rice DP128. Parameters trends were consistent over two years. Under N200D10, the total grain number in lower secondary branches was minimized, while other indices were maximized. Further analysis indicates that under high PTI conditions, the maximum grain-filling rate (Gmax), mean grain-filling rate (Gmean), sucrose content, ABA/ETH ratio, and starch content in inferior grains (IGs) were all significantly elevated. Correlation analysis indicated PTI was positively correlated with yield, grain number in middle/lower secondary branches, IGs−Gmax, and IGs−Gmean and negatively correlated with the total grain number in the lower secondary branches. In summary, increasing PTI can be achieved by optimizing the distribution of secondary branch grains along the panicle axis, decreasing the number of grains on the lower secondary branches, mitigating the competition for filling materials among inferior grains, improving grain-filling capacity and, ultimately, increasing rice yield. Full article
(This article belongs to the Section Crop Physiology and Crop Production)
Show Figures

Figure 1

18 pages, 3350 KB  
Article
Optimizing Rice Yield and Heat Stress Resilience Through Nitrogen Top Dressing Before Panicle Emergence
by Shafiqullah Aryan, Gulbuddin Gulab, Safiullah Habibi, Tayebullah Zahid, Zabihullah Safi, Nasratullah Habibi, Abdul Basir Mahmoodzada, Mohammad Wasif Amin, Ijaz Ahmad Samsor and Kenji Erie
Nitrogen 2025, 6(2), 40; https://doi.org/10.3390/nitrogen6020040 - 29 May 2025
Viewed by 1052
Abstract
The increased frequency of extreme heat stress events due to climate change is adversely impacting rice yield. Nitrogen (N) is an essential element in the synthesis of chlorophyll in rice, contributing substantially to the achievement of spikelet fertility and addressing the high yields. [...] Read more.
The increased frequency of extreme heat stress events due to climate change is adversely impacting rice yield. Nitrogen (N) is an essential element in the synthesis of chlorophyll in rice, contributing substantially to the achievement of spikelet fertility and addressing the high yields. Two experiments were conducted in Japan and Afghanistan in 2020 and 2022, respectively, utilizing IR64 and Nipponbare (NPB) varieties to elucidate the efficacy of N top-dressing on spikelet fertility and yield of rice under heat stress conditions. In experiment I, the treatments involved were based on N application before panicle emergence in pots, including (1) control (fertilized at the tillering stage), (2) control + N topdressing, (3) heat stress (fertilized at the tillering stage), and (4) heat stress + N topdressing. Experiment II consisted of (1) control (basal dressing at the tillering stage) and (2) control + N topdressing, which was conducted under field conditions. Results showed that N application significantly (p < 0.05) increased SPAD values and spikelet fertility rates in both experiments. A positive correlation (range; r = 0.83–0.98) was observed between enhanced SPAD values and spikelet fertility rates in IR64 and NPB rice varieties under both ambient and heat stress conditions. Moreover, there were notable increases in photosynthetic rate (7.4% to 52.6%) and leaf transpiration. N top dressing significantly (p < 0.05) increased the panicle length, panicle weight, number of secondary branches/panicle, filled grain/panicle, total spikelets/panicle, and yield/plant. However, there was no significant difference in the number of primary branches per panicle and 1000-grain weight. In addition, the number of unfilled grains/panicle decreased from 5.5 to 49.7% with N top dressing in both experiments. Applying N as a top dressing improved the spikelet fertility percentage and other yield components, resulting in a high yield/plant. Full article
Show Figures

Figure 1

17 pages, 2269 KB  
Article
Litter and Pruning Biomass in Mango Orchards: Quantification and Nutrient Analysis
by Alan Niscioli, Constancio A. Asis, Joanne Tilbrook, Dallas Anson, Danilo Guinto, Mila Bristow and David Rowlings
Sustainability 2025, 17(10), 4452; https://doi.org/10.3390/su17104452 - 14 May 2025
Viewed by 992
Abstract
Litter and pruning biomass are integral to nutrient cycling in the plant–soil ecosystem, contributing significantly to organic matter formation and humus development through decomposition and nutrient mineralization, which ultimately influence soil fertility and health. However, the litterfall dynamics in mango orchards are not [...] Read more.
Litter and pruning biomass are integral to nutrient cycling in the plant–soil ecosystem, contributing significantly to organic matter formation and humus development through decomposition and nutrient mineralization, which ultimately influence soil fertility and health. However, the litterfall dynamics in mango orchards are not well understood, and its contribution to nutrient cycling has seldom been measured. This study aimed to estimate litterfall and pruning biomass in mango orchards and assess the nutrient contents of various biomass components. Litter and pruning biomass samples were collected from four commercial mango orchards planted with Kensington Pride (‘KP’) and ‘B74’ (‘Calypso®’) cultivars in the Darwin and Katherine regions, using litter traps placed on the orchard floors. Samples were sorted (leaves, flowers, panicles, fruits, and branches) and analyzed for nutrient contents. Results showed that most biomass abscissions occurred between late June and August, spanning approximately 100 days involving floral induction phase, fruit set, and maturity. Leaves made up most of the abscised litter biomass, while branches were the primary component of pruning biomass. The overall ranking of biomass across both regions and orchards is as follows: leaves > branches > panicles > flowers > fruits. The carbon–nitrogen (C:N) ratio of litter pruning material ranged from 30 (flowers) to 139 (branches). On a hectare basis, litter and biomass inputs contained 1.2 t carbon (C), 21.2 kg nitrogen (N), 0.80 kg phosphorus (P), 4.9 kg potassium (K), 8.7 kg calcium (Ca), 2.0 kg magnesium (Mg), 1.1 kg sulfur (S), 15 g boron (B), 13.6 g copper (Cu), 99.3 g iron (Fe), 78.6 g manganese (Mn), and 28.6 g zinc (Zn). The results indicate that annual litterfall may contribute substantially to plant nutrient supply and soil health when incorporated into the soil to undergo decomposition. This study contributes to a better understanding of litter biomass, nutrient sources, and nutrient cycling in tropical mango production systems, offering insights that support accurate nutrient budgeting and help prevent over-fertilization. However, further research is needed to examine biomass accumulation under different pruning regimes, decomposition dynamics, microbial interactions, and broader ecological effects to understand litterfall’s role in promoting plant growth, enhancing soil health, and supporting sustainable mango production. Full article
(This article belongs to the Special Issue Sustainable Management: Plant, Biodiversity and Ecosystem)
Show Figures

Figure 1

20 pages, 5150 KB  
Article
Effects of Nitrogen Application at Different Panicle Development Stages on the Panicle Structure and Grain Yield in Hybrid Indica Rice Cultivars
by Qiguang Zhang, Jie Sun, Longping Wang, Jun Chen, Jian Ke and Liquan Wu
Agronomy 2025, 15(3), 595; https://doi.org/10.3390/agronomy15030595 - 27 Feb 2025
Cited by 2 | Viewed by 862
Abstract
To increase the seed setting rate and yield of large-panicle rice varieties, one agronomic and breeding strategy is to increase the proportion of spikelets in the middle portion of the panicle as many of the lower spikelets fail to produce grains. Current nitrogen [...] Read more.
To increase the seed setting rate and yield of large-panicle rice varieties, one agronomic and breeding strategy is to increase the proportion of spikelets in the middle portion of the panicle as many of the lower spikelets fail to produce grains. Current nitrogen management during panicle development mainly focuses on fertilization at the emergence of the top fourth leaf, which increases the number of secondary branch spikelets on the lower part of the panicle. Two-year field experiments were conducted in 2021 and 2022 with two typical large-panicle hybrid indica rice cultivars, IIYM86 and JLY8612. Nitrogen was applied at the emergence of the top fifth (TL5), fourth (TL4), third (TL3), and second (TL2) leaves, with no nitrogen application as a control. This study aimed to investigate the effects of nitrogen application on the panicle structure, seed setting rate, and grain yield at different stages of panicle development. Nitrogen application at TL3 achieved the highest grain yield, followed by application at TL4, for both cultivars over the two years. TL3 did not significantly alter the number of spikelets per panicle but increased the proportion of spikelets located in the middle part of the panicle and reduced the proportions in the upper and lower parts compared to TL4. These effects were attributed to a significant increase in secondary branch spikelet differentiation in the middle part and a decrease in secondary branch spikelet differentiation in the upper and lower parts. Compared to TL4, TL3 significantly increased the seed setting rate by 9.46 and 9.48% and the grain yield by 6.86 and 8.92% in IIYM86 and JLY8612, respectively. In TL3, the significant increase in secondary branch spikelet differentiation in the middle part was primarily due to significantly reduced indole acetic acid (IAA) and an increased cytokinin/IAA ratio, which inhibited apical dominance. The significant decrease in secondary branch spikelet differentiation in the lower part of TL3 was mainly related to a significant increase in IAA and a reduction in the cytokinin/IAA ratio. Transcriptome analysis of young panicles confirmed these results, and differentially expressed genes between TL3 and TL4 were primarily enriched in plant hormone signal transduction related to IAA biosynthesis and degradation. These findings indicate that postponing nitrogen application until TL3 can improve the PTI and the seed setting rate by regulating hormonal balance, thereby optimizing nitrogen management during panicle development in large-panicle hybrid indica rice cultivars. Full article
(This article belongs to the Special Issue Molecular Mechanism of Quality Formation in Rice)
Show Figures

Figure 1

21 pages, 3802 KB  
Article
Grain Weight and Taste Quality in Japonica Rice Are Regulated by Starch Synthesis and Grain Filling Under Nitrogen–Phosphorus Interactions
by Hongfang Jiang, Yanze Zhao, Liqiang Chen, Xue Wan, Bingchun Yan, Yuzhuo Liu, Yuqi Liu, Wenzhong Zhang and Jiping Gao
Plants 2025, 14(3), 432; https://doi.org/10.3390/plants14030432 - 1 Feb 2025
Cited by 1 | Viewed by 1690
Abstract
To reveal the regulatory effects of nitrogen and phosphorus interactions on grain-filling- and starch-synthesis-related enzymes, and grain weight of superior grains (SGs) and inferior grains (IGs) and taste quality, the japonica rice cultivar Shennong 265 was grown under field conditions with three nitrogen [...] Read more.
To reveal the regulatory effects of nitrogen and phosphorus interactions on grain-filling- and starch-synthesis-related enzymes, and grain weight of superior grains (SGs) and inferior grains (IGs) and taste quality, the japonica rice cultivar Shennong 265 was grown under field conditions with three nitrogen levels (210, 178.5, and 147 kg N ha−1; N3, N2, and N1) and two phosphorus levels (105 and 73.5 kg P ha−1; P2 and P1). At the N3 level, the yield of P1 was significantly lower (by 19.26%) compared to P2; at the N2 and N1 levels, P1 yielded higher than P2, peaking at N2P1. Spikelets per panicle showed P2 exceeding P1 at the same nitrogen level, with the highest for both SGs and IGs observed at N2P2, followed by N2P1. Reductions in nitrogen and phosphorus decreased the grain-filling rate but prolonged the duration for grain-filling. N2P1 maintained grain weight by extending the grain-filling duration across the early, middle, and late stages of IGs, and the middle and late stages of SGs. Increased nitrogen enhanced the activities of soluble starch synthase (SSS) and starch branching enzyme (SBE), whereas increased phosphorus inhibited these activities in SGs but enhanced them in IGs. Reduced nitrogen and phosphorus fertilizer diminished ADP glucose pyrophosphorylase (AGPP) and granule-bound starch synthase (GBSS) activities in SGs and IGs, inhibiting amylose accumulation while enhancing taste value. Compared with N3P2, the taste value of N2P1 increased significantly by 6.93%, attributed to a higher amylopectin/amylose ratio. N2P1 (178.5 kg N ha−1 and 73.5 kg P ha−1) optimized enzyme activity, starch composition, and grain filling, balancing both yield and taste, and thus demonstrated an effective fertilization strategy for stable rice production. Full article
(This article belongs to the Collection New Trends in Plant Science in China)
Show Figures

Figure 1

19 pages, 3806 KB  
Article
Molecular Mechanisms of Grain Chalkiness Variation in Rice Panicles
by Zhong Li, Min Xi, Youzun Xu, Xueyuan Sun, Debao Tu, Yongjin Zhou, Yalan Ji and Linsheng Yang
Plants 2025, 14(2), 244; https://doi.org/10.3390/plants14020244 - 16 Jan 2025
Viewed by 1506
Abstract
Grain chalkiness adversely affects rice quality, and the positional variation of grain chalkiness within a rice panicle presents a substantial obstacle to quality improvement in China. However, the molecular mechanism underlying this variation is unclear. This study conducted a genetic and physiological analysis [...] Read more.
Grain chalkiness adversely affects rice quality, and the positional variation of grain chalkiness within a rice panicle presents a substantial obstacle to quality improvement in China. However, the molecular mechanism underlying this variation is unclear. This study conducted a genetic and physiological analysis of grains situated at distinct positions (upper, middle, and bottom primary branches of the rice panicle, denoted as Y1, Y2, and Y3) within a rice panicle using the Yangdao 6 variety. The results indicated that the percentage of chalky grains (PCG) in Y1 was the highest, i.e., 17.12% and 52.18% higher than that of Y2 and Y3, respectively. Y2 exhibited the highest degree of grain chalkiness (DGC), attributable to its greater area of endosperm chalkiness (AEC) than the others. Y3 demonstrated the lowest PCG and DGC. Additionally, Y1 and Y2 were characterized by lower amylose and protein contents, as well as looser starch granule morphology, in comparison to Y3. Compared with Y3, both the average and maximum filling rates of Y1 and Y2 increased markedly; however, the active filling duration was notably reduced by 7.10 d and 5.56 d, respectively. The analysis of genomic expression levels indicated an enrichment of starch and sucrose metabolism in Y1-vs.-Y2, Y2-vs.-Y3, and Y1-vs.-Y3, with 7 genes (5 up-regulated and 2 down-regulated), 53 genes (12 up-regulated and 41 down-regulated), and 12 genes (2 up-regulated and 10 down-regulated) in the Y1-vs.-Y2, Y2-vs.-Y3, and Y1-vs.-Y3. The majority of these genes were down-regulated, linking metabolic activity to grain filling and contributing to the occurrence of grain chalkiness in rice panicles. In conclusion, the metabolic processes associated with sucrose and starch play a crucial role in regulating grain filling and the formation of chalkiness in rice. Full article
Show Figures

Figure 1

23 pages, 3916 KB  
Article
Construction and Optimization of Integrated Yield Prediction Model Based on Phenotypic Characteristics of Rice Grown in Small–Scale Plantations
by Jihong Sun, Peng Tian, Zhaowen Li, Xinrui Wang, Haokai Zhang, Jiangquan Chen and Ye Qian
Agriculture 2025, 15(2), 181; https://doi.org/10.3390/agriculture15020181 - 15 Jan 2025
Cited by 3 | Viewed by 1868
Abstract
An intelligent prediction model for rice yield in small-scale cultivation areas can provide precise forecasting results for farmers, rice planting enterprises, and researchers, holding significant importance for agricultural industries and crop science research within small regions. Although machine learning can handle complex nonlinear [...] Read more.
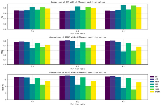
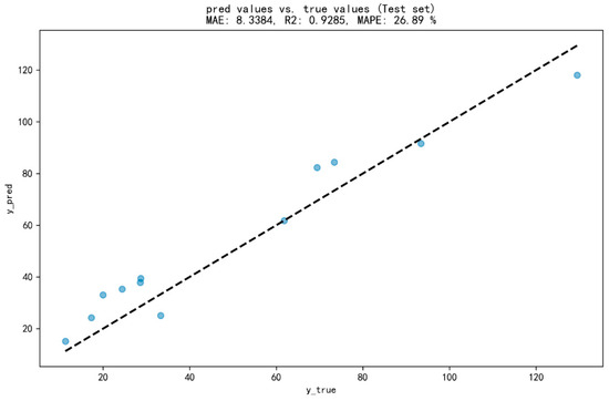
An intelligent prediction model for rice yield in small-scale cultivation areas can provide precise forecasting results for farmers, rice planting enterprises, and researchers, holding significant importance for agricultural industries and crop science research within small regions. Although machine learning can handle complex nonlinear problems to enhance prediction accuracy, further improvements in models are still needed to accurately predict rice yields in small areas facing complex planting environments, thereby enhancing model performance. This study employs four rice phenotypic traits, namely, panicle angle, panicle length, total branch length, and grain number, along with seven machine learning methods—multiple linear regression, support vector machine, MLP, random forest, GBR, XGBoost, and LightGBM—to construct a yield prediction model group. Subsequently, the top three models with the best performance in individual model predictions are integrated using voting and stacking ensemble methods to obtain the optimal integrated model. Finally, the impact of different rice phenotypic traits on the performance of the stacked ensemble model is explored. Experimental results indicate that the random forest model performs best after individual machine learning modeling, with RMSE, R2, and MAPE values of 0.2777, 0.9062, and 17.04%, respectively. After model integration, Stacking–3m demonstrates the best performance, with RMSE, R2, and MAPE values of 0.2483, 0.9250, and 6.90%, respectively. Compared to the performance after random forest modeling, the RMSE decreased by 10.58%, R2 increased by 1.88%, and MAPE decreased by 0.76%, indicating improved model performance after stacking ensemble. The Stacking–3m model, which demonstrated the best comprehensive evaluation metrics, was selected for model validation, and the validation results were satisfactory, with MAE, R2, and MAPE values of 8.3384, 0.9285, and 0.2689, respectively. The above research findings demonstrate that this integrated model possesses high practical value and fills a gap in precise yield prediction for small-scale rice cultivation in the Yunnan Plateau region. Full article
(This article belongs to the Section Artificial Intelligence and Digital Agriculture)
Show Figures

Figure 1

26 pages, 8623 KB  
Article
Prohexadione Calcium Improves Rice Yield Under Salt Stress by Regulating Source–Sink Relationships During the Filling Period
by Rui Deng, Dianfeng Zheng, Naijie Feng, Aaqil Khan, Jianqin Zhang, Zhiyuan Sun, Jiahuan Li, Jian Xiong, Linchong Ding, Xiaohui Yang, Zihui Huang and Yuecen Liao
Plants 2025, 14(2), 211; https://doi.org/10.3390/plants14020211 - 13 Jan 2025
Cited by 5 | Viewed by 1841
Abstract
Salt stress is an important factor affecting the growth and development of rice, and prohexadione calcium (Pro-Ca) plays an important role in alleviating rice salt stress and improving rice yield. However, there are few studies on how Pro-Ca improves rice yield under salt [...] Read more.
Salt stress is an important factor affecting the growth and development of rice, and prohexadione calcium (Pro-Ca) plays an important role in alleviating rice salt stress and improving rice yield. However, there are few studies on how Pro-Ca improves rice yield under salt stress by regulating the source–sink metabolism. In this study, we used Guanghong 3 (salt-tolerant variety) and Huanghuazhan (salt-sensitive variety) as experimental materials to investigate the dynamic changes in the synthesis and partitioning of nonstructural carbohydrates among source–sink, the dynamic changes in related enzyme activities, the effects of the source–sink metabolism on yield in rice under salt stress and the effect of Pro-Ca during the filling period. The results of this study showed that Pro-Ca improved photosynthetic efficiency by increasing leaf photosynthetic gas exchange parameters and other stomatal factors on the one hand and, on the other hand, promoted sugar catabolism and reduced sugar synthesis by increasing leaf sucrose synthase activity and decreasing sucrose phosphate synthase activity, alleviating the inhibitory effect of high concentrations of sugars in the leaves on photosynthesis. Meanwhile, Pro-Ca promotes the transport of sugars from source (leaves) to sink (seeds), increases the sugar content in the seeds, and promotes starch synthesis in the seeds by increasing starch phosphorylase, which promotes seed filling, thus increasing the number of solid grains on the primary and secondary branches of the panicle in rice, increasing the 1000-grain weight, and ultimately increasing the seed setting rate and yield. These results indicated that Pro-Ca alleviated the inhibitory effect of salt stress on rice leaf photosynthesis through stomatal and non-stomatal factors. Meanwhile, Pro-Ca promotes the transport of rice sugars from source to sink under salt stress, regulates the source–sink relationship during the filling period of rice, promotes starch synthesis, and ultimately improves rice yield. Full article
(This article belongs to the Section Plant Physiology and Metabolism)
Show Figures

Figure 1

13 pages, 8030 KB  
Article
ABA Affects Distinctive Rice Caryopses Physicochemical Properties on Different Branches
by Yunfei Wu, Ebenezer Ottopah Ansah, Licheng Zhu, Wenchun Fang, Leilei Wang, Dongping Zhang and Baowei Guo
Agronomy 2024, 14(11), 2632; https://doi.org/10.3390/agronomy14112632 - 8 Nov 2024
Cited by 1 | Viewed by 946
Abstract
Abscisic acid (ABA) plays an important regulatory role in the grain filling process, which in turn will affect the final yield and quality of rice. The ABA biosynthesis genes of OsNCED3 and degradation gene OsABA8ox3 affect the ABA content, and then further regulate [...] Read more.
Abscisic acid (ABA) plays an important regulatory role in the grain filling process, which in turn will affect the final yield and quality of rice. The ABA biosynthesis genes of OsNCED3 and degradation gene OsABA8ox3 affect the ABA content, and then further regulate the ABA signaling. During the development of rice panicle, compared with primary grains (superior grains) growing on primary branches, secondary grains (inferior grains) growing on secondary branches exhibit characteristics. However, little is reported on the physicochemical characteristics of starch between superior and inferior grains in ABA related transgenic lines. In this study, OsNCED3 and OsABA8ox3 transgenic plants were used as materials. The results showed that compared with the WT, the OsNCED3-RNAi lines on grain weight was consistent with the trend of superior and inferior grains, while the OsABA8ox3-RNAi lines affected superior or inferior grains. The total starch and soluble sugar content of grains decreased in both OsNCED3-RNAi and OsABA8ox3-RNAi lines, and the total starch content of superior and inferior grains in OsABA8ox3-RNAi lines decreased. The starch granule size distribution of all samples showed a bimodal and increased proportion of starch grains with large granule size, in which the influence on inferior grains was greater than that of superior grains, which eventually led to a significant increase in their average granule size. The apparent amylose content of inferior grains increased significantly in most lines. The swelling power of the superior grains decreased significantly, while that of the inferior grains increased significantly. Fourier analysis showed that the order degree of starch granule surface decreased in the superior grains of the RNAi line, while it increased in the inferior grains of the OsABA8ox3-RNAi line but decreased in the OsNCED3-RNAi lines. In the superior grains, the relative crystallinity of starch decreased in the OsNCED3-RNAi lines, but remained unchanged or increased in the OsABA8ox3-RNAi line. In inferior grains, the relative crystallinity of starch decreased in the ABA synthesis RNAi line, but increased in the OsABA8ox3-RNAi line. In summary, the influence of ABA on the physicochemical properties of inferior grains is greater than that of superior grains. Full article
(This article belongs to the Special Issue Molecular Regulatory Network of Plant Nutrition Signaling)
Show Figures

Figure 1

15 pages, 4552 KB  
Article
Non-Destructive Measurement of Rice Spikelet Size Based on Panicle Structure Using Deep Learning Method
by Ruoling Deng, Weisen Liu, Haitao Liu, Qiang Liu, Jing Zhang and Mingxin Hou
Agronomy 2024, 14(10), 2398; https://doi.org/10.3390/agronomy14102398 - 17 Oct 2024
Cited by 1 | Viewed by 1136
Abstract
Rice spikelet size, spikelet length and spikelet width, are very important traits directly related to a rice crop’s yield. The accurate measurement of these parameters is quite significant in research such as breeding, yield evaluation and variety improvement for rice crops. Traditional measurement [...] Read more.
Rice spikelet size, spikelet length and spikelet width, are very important traits directly related to a rice crop’s yield. The accurate measurement of these parameters is quite significant in research such as breeding, yield evaluation and variety improvement for rice crops. Traditional measurement methods still mainly rely on manual labor, which is time-consuming, labor-intensive and error-prone. In this study, a novel method, dubbed the “SSM-Method”, based on convolutional neural network and traditional image processing technology has been developed for the efficient and precise measurement of rice spikelet size parameters on rice panicle structures. Firstly, primary branch images of rice panicles were collected at the same height to build an image database. The spikelet detection model using convolutional neural network was then established for spikelet recognition and localization. Subsequently, the calibration value was obtained through traditional image processing technology. Finally, the “SSM-Method” integrated with a spikelet detection model and calibration value was developed for the automatic measurement of spikelet sizes. The performance of the developed SSM-Method was evaluated through testing 60 primary branch images. The test results showed that the root mean square error (RMSE) of spikelet length for two rice varieties (Huahang15 and Qingyang) were 0.26 mm and 0.30 mm, respectively, while the corresponding RMSE of spikelet width was 0.27 mm and 0.31 mm, respectively. The proposed algorithm can provide an effective, convenient and low-cost tool for yield evaluation and breeding research. Full article
(This article belongs to the Special Issue Advanced Machine Learning in Agriculture)
Show Figures

Figure 1

19 pages, 2179 KB  
Article
Mitigation of Drought Stress for Quinoa (Chenopodium quinoa Willd.) Varieties Using Woodchip Biochar-Amended Soil
by Muhammad Zubair Akram, Anna Rita Rivelli, Angela Libutti, Fulai Liu and Christian Andreasen
Plants 2024, 13(16), 2279; https://doi.org/10.3390/plants13162279 - 15 Aug 2024
Cited by 10 | Viewed by 1763
Abstract
Drought stress deteriorates agro-ecosystems and poses a significant threat to crop productivity and food security. Soil amended with biochar has been suggested to mitigate water stress, but there is limited knowledge about how biochar affects the physiology and vegetative growth of quinoa plants [...] Read more.
Drought stress deteriorates agro-ecosystems and poses a significant threat to crop productivity and food security. Soil amended with biochar has been suggested to mitigate water stress, but there is limited knowledge about how biochar affects the physiology and vegetative growth of quinoa plants under soil water deficits. We grew three quinoa (Chenopodium quinoa Willd.) varieties, Titicaca (V1), Quipu (V2), and UAFQ7 (V3) in sandy loam soil without (B0) and with 2% woodchip biochar (B2) under drought conditions. The drought resulted in significant growth differences between the varieties. V3 performed vegetatively better, producing 46% more leaves, 28% more branches, and 25% more leaf area than the other two varieties. Conversely, V2 displayed significantly higher yield-contributing traits, with 16% increment in panicle length and 50% more subpanicles compared to the other varieties. Woodchip biochar application significantly enhanced the root development (i.e., root biomass, length, surface, and projected area) and plant growth (i.e., plant height, leaf area, and absolute growth rate). Biochar significantly enhanced root growth, especially fresh and dry weights, by 122% and 127%, respectively. However, biochar application may lead to a trade-off between vegetative growth and panicle development under drought stress as shown for V3 grown in soil with woodchip biochar. However, V3B2 produced longer roots and more biomass. Collectively, we suggest exploring the effects of woodchip biochar addition to the soil on the varietal physiological responses such as stomatal regulations and mechanisms behind the increased quinoa yield under water stress conditions. Full article
Show Figures

Figure 1

Back to TopTop