Prohexadione Calcium Improves Rice Yield Under Salt Stress by Regulating Source–Sink Relationships During the Filling Period
Abstract
1. Background
2. Results
2.1. Effect of Pro-Ca on Phenogenesis in Rice Under Salt Stress
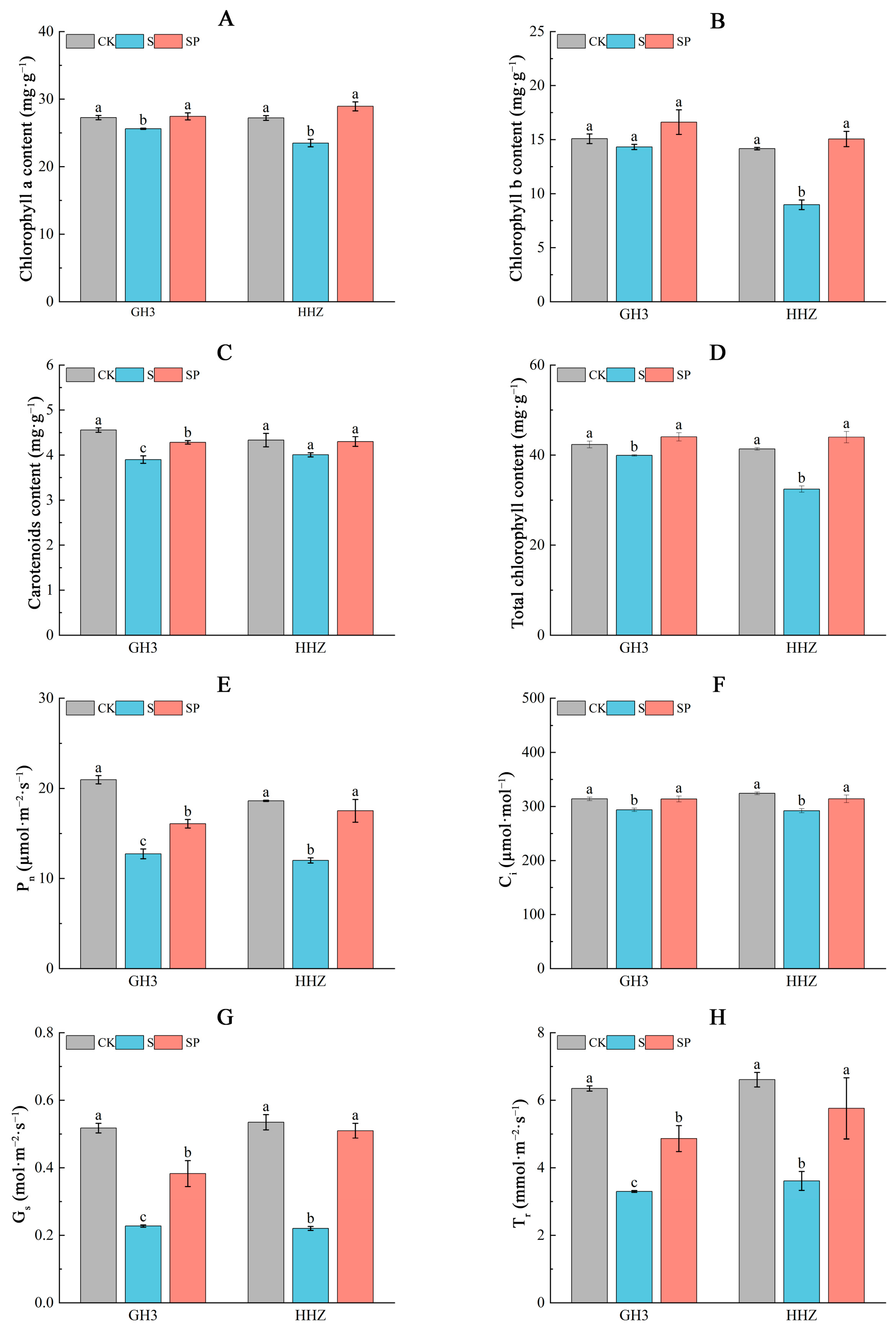
2.2. Effect of Pro-Ca on Photosynthetic Pigments and Gas Exchange Parameters of Rice Flag Leaves (Inverted Leaf) at the Filling Stage Under Salt Stress
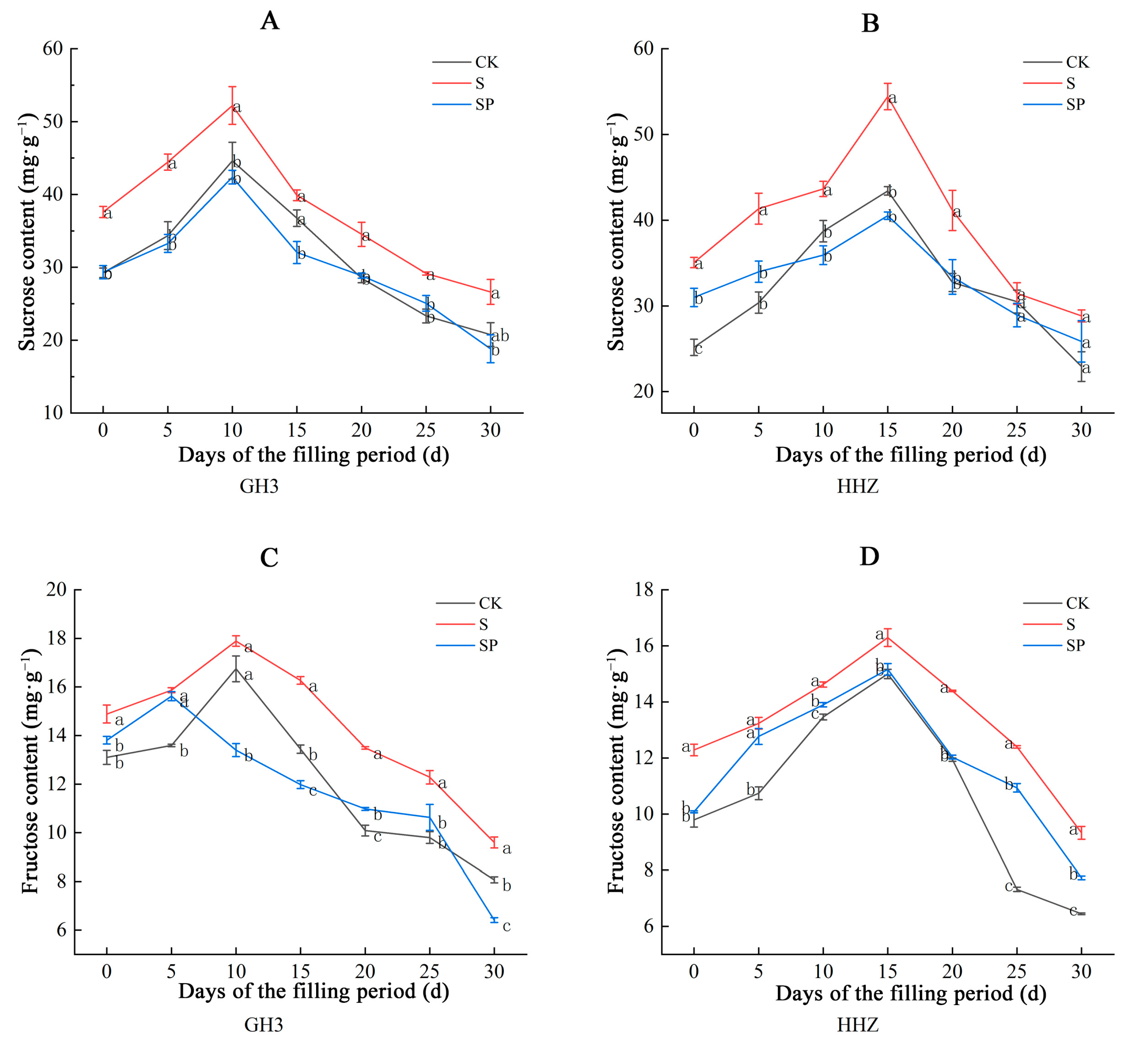
2.3. Effect of Pro-Ca on Nonstructural Carbohydrates of Rice Leaves Under Salt Stress
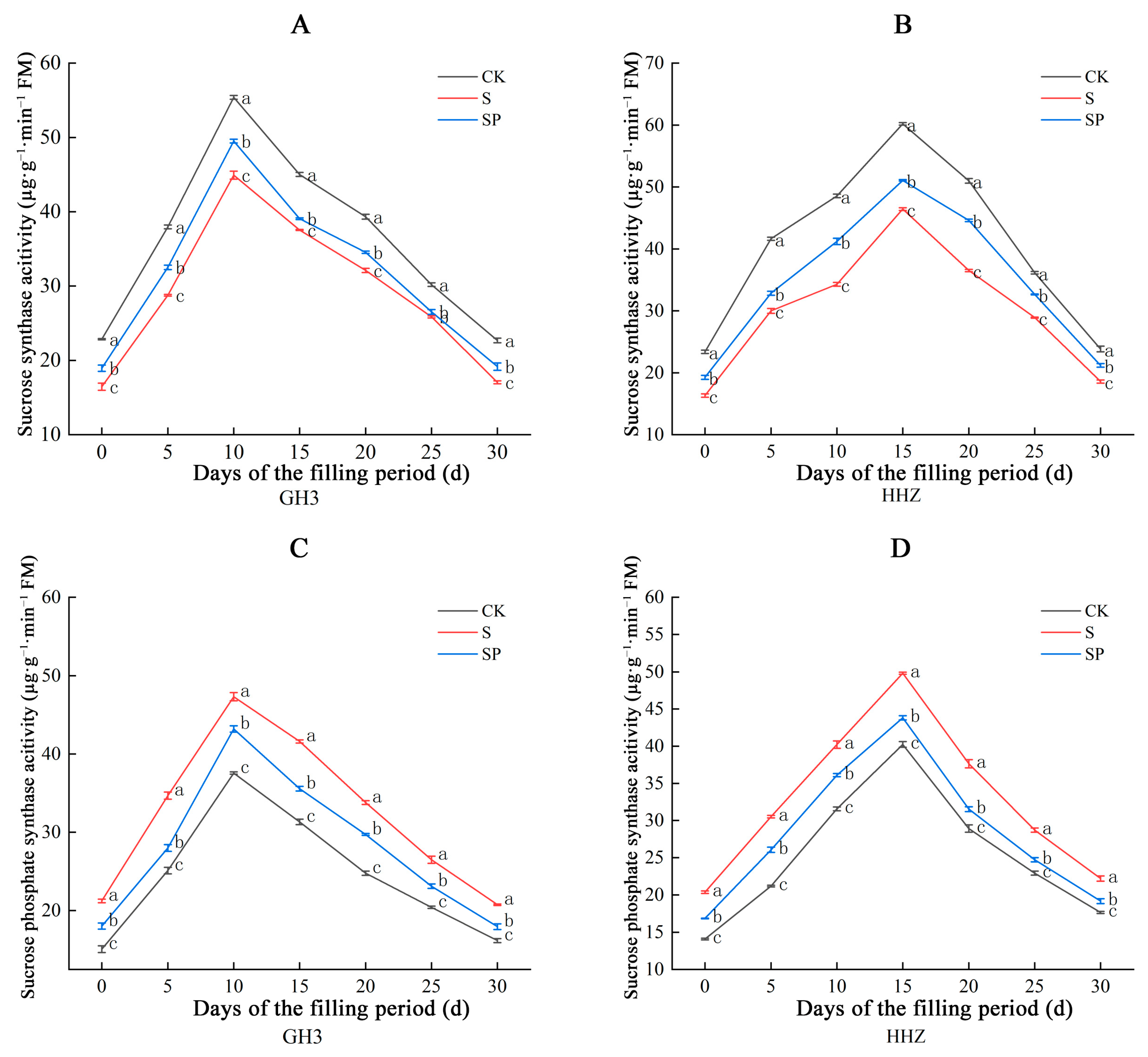
2.4. Effect of Pro-Ca on the Activities of Sugar-Related Enzymes in Rice Leaves Under Salt Stress
2.5. Effect of Pro-Ca on Nonstructural Carbohydrate Content of Rice Seeds Under Salt Stress
2.6. Effect of Pro-Ca on Starch Phosphorylase Activity of Rice Seeds Under Salt Stress
2.7. Effects of Pro-Ca on Rice Yield and Its Components Under Salt Stress
2.8. Correlation Analysis
3. Discussion
3.1. Effect of Pro-Ca on Morphogenesis in Rice Under Salt Stress
3.2. Effect of Pro-Ca on Photosynthesis in Leaves (Source Organs) Under Salt Stress
3.3. Effect of Pro-Ca on Source–Sink Metabolism Under Salt Stress
3.4. Effect of Pro-Ca on Organogenesis and Yield of Rice Reservoirs Under Salt Stress
4. Conclusions
5. Materials and Methods
5.1. Plant Materials and Experimental Design
5.2. Measurement of Growth Indices
5.3. Measurement of Photosynthetic Gas Exchange Parameters
5.4. Measurement of Photosynthetic Pigment Content
Chlorophyll b (Chl b) = 24.96 D649 − 7.32 D665
Total chlorophyll content = Chl a + Chl b
Carotenoids (Car) = (1000 D470 − 2.05 Chl a − 111.48 Chl b)/245
5.5. Measurement of Nonstructural Carbohydrate Content
5.6. Determination of Key Enzyme Indicators of Sucrose Metabolism
5.7. Measurement of Key Enzyme Indicators of Starch Metabolism
5.8. Yield and Yield Components
6. Statistical Analysis
Author Contributions
Funding
Institutional Review Board Statement
Informed Consent Statement
Data Availability Statement
Conflicts of Interest
References
- Sadak, M.S.; Dawood, M.G. Biofertilizer role in alleviating the deleterious effects of salinity on wheat growth and productivity. Gesunde Pflanz. 2023, 75, 1207–1219. [Google Scholar] [CrossRef]
- Xu, Y.; Bu, W.; Xu, Y.; Fei, H.; Zhu, Y.; Ahmad, I.; Nimir, N.E.A.; Zhou, G.; Zhu, G. Effects of Salt Stress on Physiological and Agronomic Traits of Rice Genotypes with Contrasting Salt Tolerance. Plants 2024, 13, 1157. [Google Scholar] [CrossRef] [PubMed]
- Deng, R.; Li, Y.; Feng, N.-J.; Zheng, D.-F.; Du, Y.-W.; Khan, A.; Xue, Y.-B.; Zhang, J.-Q.; Feng, Y.-N. Integrative Analyses Reveal the Physiological and Molecular Role of Prohexadione Calcium in Regulating Salt Tolerance in Rice. Int. J. Mol. Sci. 2024, 25, 9124. [Google Scholar] [CrossRef] [PubMed]
- Zheng, C.; Liu, C.; Liu, L.; Tan, Y.; Sheng, X.; Yu, D.; Sun, Z.; Sun, X.; Chen, J.; Yuan, D. Effect of salinity stress on rice yield and grain quality: A meta-analysis. Eur. J. Agron. 2023, 144, 126765. [Google Scholar] [CrossRef]
- Zahra, N.; Al Hinai, M.S.; Hafeez, M.B.; Rehman, A.; Wahid, A.; Siddique, K.H.; Farooq, M. Regulation of photosynthesis under salt stress and associated tolerance mechanisms. Plant Physiol. Biochem. 2022, 178, 55–69. [Google Scholar] [CrossRef]
- Wang, X.; Chen, Z.; Sui, N. Sensitivity and responses of chloroplasts to salt stress in plants. Front. Plant Sci. 2024, 15, 1374086. [Google Scholar] [CrossRef]
- Arruda, T.; Lima, G.; Silva, A.; Azevedo, C.; Souza, A.; Soares, L.; Gheyi, H.; Lima, V.; Fernandes, P.; Silva, F. Salicylic acid as a salt stress mitigator on chlorophyll fluorescence, photosynthetic pigments, and growth of precocious-dwarf cashew in the post-grafting phase. Plants 2023, 12, 2783. [Google Scholar] [CrossRef]
- Li, P.; Chang, T.; Chang, S.; Ouyang, X.; Qu, M.; Song, Q.; Xiao, L.; Xia, S.; Deng, Q.; Zhu, X.G. Systems model-guided rice yield improvements based on genes controlling source, sink, and flow. J. Integr. Plant Biol. 2018, 60, 1154–1180. [Google Scholar] [CrossRef]
- Seki, M.; Feugier, F.G.; Song, X.-J.; Ashikari, M.; Nakamura, H.; Ishiyama, K.; Yamaya, T.; Inari-Ikeda, M.; Kitano, H.; Satake, A. A mathematical model of phloem sucrose transport as a new tool for designing rice panicle structure for high grain yield. Plant Cell Physiol. 2015, 56, 605–619. [Google Scholar] [CrossRef]
- Schnyder, H. The role of carbohydrate storage and redistribution in the source-sink relations of wheat and barley during grain filling—A review. New Phytol. 1993, 123, 233–245. [Google Scholar] [CrossRef]
- Biswas, A.; Mondal, S. Regulation by kinetin and abcisic acid of correlative senescence in relation to grain maturation, source-sink relationship and yield of rice (Oryza sativa L.). Plant Growth Regul. 1986, 4, 239–245. [Google Scholar] [CrossRef]
- Thévenot, C.; Simond-Côte, E.; Reyss, A.; Manicacci, D.; Trouverie, J.; Le Guilloux, M.; Ginhoux, V.; Sidicina, F.; Prioul, J.-L. QTLs for enzyme activities and soluble carbohydrates involved in starch accumulation during grain filling in maize. J. Exp. Bot. 2005, 56, 945–958. [Google Scholar] [CrossRef] [PubMed]
- Guo, C.; Yuan, X.; Yan, F.; Xiang, K.; Wu, Y.; Zhang, Q.; Wang, Z.; He, L.; Fan, P.; Yang, Z. Nitrogen application rate affects the accumulation of carbohydrates in functional leaves and grains to improve grain filling and reduce the occurrence of chalkiness. Front. Plant Sci. 2022, 13, 921130. [Google Scholar] [CrossRef] [PubMed]
- Wang, H.; Gong, M.; Xin, H.; Tang, L.; Dai, D.; Gao, Y.; Liu, C. Effects of chilling stress on the accumulation of soluble sugars and their key enzymes in Jatropha curcas seedlings. Physiol. Mol. Biol. Plants 2018, 24, 857–865. [Google Scholar] [CrossRef]
- Gurrieri, L.; Merico, M.; Trost, P.; Forlani, G.; Sparla, F. Impact of drought on soluble sugars and free proline content in selected Arabidopsis mutants. Biology 2020, 9, 367. [Google Scholar] [CrossRef]
- Chen, H.-J.; Wang, S.-J. Molecular regulation of sink–source transition in rice leaf sheaths during the heading period. Acta Physiol. Plant. 2008, 30, 639–649. [Google Scholar] [CrossRef]
- Ludewig, F.; Flügge, U.-I. Role of metabolite transporters in source-sink carbon allocation. Front. Plant Sci. 2013, 4, 231. [Google Scholar] [CrossRef]
- Zhang, C.-X.; Feng, B.-H.; Chen, T.-T.; Fu, W.-M.; Li, H.-B.; Li, G.-Y.; Jin, Q.-Y.; Tao, L.-X.; Fu, G.-F. Heat stress-reduced kernel weight in rice at anthesis is associated with impaired source-sink relationship and sugars allocation. Environ. Exp. Bot. 2018, 155, 718–733. [Google Scholar] [CrossRef]
- Verma, A.K.; Upadhyay, S.; Verma, P.C.; Solomon, S.; Singh, S.B. Functional analysis of sucrose phosphate synthase (SPS) and sucrose synthase (SS) in sugarcane (Saccharum) cultivars. Plant Biol. 2011, 13, 325–332. [Google Scholar] [CrossRef]
- Stein, O.; Granot, D. An overview of sucrose synthases in plants. Front. Plant Sci. 2019, 10, 95. [Google Scholar] [CrossRef]
- Zuo, X.; Cao, S.; Ji, N.; Li, Y.; Zhang, J.; Jin, P.; Zheng, Y. High relative humidity enhances chilling tolerance of zucchini fruit by regulating sugar and ethanol metabolisms during cold storage. Postharvest Biol. Technol. 2022, 189, 111932. [Google Scholar] [CrossRef]
- Zhang, J.; Loka, D.A.; Wang, J.; Ran, Y.; Shao, C.; Tuersun, G.; Li, Y.; Wang, S.; Zhou, Z.; Hu, W. Co-occurring elevated temperature and drought stress inhibit cotton pollen fertility by disturbing anther carbohydrate and energy metabolism. Ind. Crops Prod. 2024, 208, 117894. [Google Scholar] [CrossRef]
- Zhao, M.; Meng, Y.; Wang, Y.; Sun, G.; Liu, X.; Li, J.; Wei, S.; Gu, W. Exogenous Hemin alleviates cadmium stress in maize by enhancing sucrose and nitrogen metabolism and regulating endogenous hormones. Int. J. Phytoremediation 2023, 25, 368–380. [Google Scholar] [CrossRef]
- Bilska-Kos, A.; Mytych, J.; Suski, S.; Magoń, J.; Ochodzki, P.; Zebrowski, J. Sucrose phosphate synthase (SPS), sucrose synthase (SUS) and their products in the leaves of Miscanthus × giganteus and Zea mays at low temperature. Planta 2020, 252, 23. [Google Scholar] [CrossRef]
- Meng, F.; Feng, N.; Zheng, D.; Liu, M.; Zhang, R.; Huang, X.; Huang, A.; Chen, Z. Exogenous Hemin alleviates NaCl stress by promoting photosynthesis and carbon metabolism in rice seedlings. Sci. Rep. 2023, 13, 3497. [Google Scholar] [CrossRef]
- Liu, Z.; Ma, C.; Hou, L.; Wu, X.; Wang, D.; Zhang, L.; Liu, P. Exogenous SA affects rice seed germination under salt stress by regulating Na+/K+ balance and endogenous GAs and ABA homeostasis. Int. J. Mol. Sci. 2022, 23, 3293. [Google Scholar] [CrossRef]
- Liu, M.; Feng, N.; Zheng, D.; Zhang, R. Prohexadione Calcium and Gibberellin Improve Osmoregulation, Antioxidant Response and Ion Homeostasis to Alleviate NaCl Stress in Rice Seedlings. Agronomy 2024, 14, 1318. [Google Scholar] [CrossRef]
- Huang, X.; Zheng, D.; Feng, N.; Huang, A.; Zhang, R.; Meng, F.; Jie, Y.; Mu, B.; Mu, D.; Zhou, H. Effects of prohexadione calcium spraying during the booting stage on panicle traits, yield, and related physiological characteristics of rice under salt stress. PeerJ 2023, 11, e14673. [Google Scholar] [CrossRef]
- Feng, N.; Yu, M.; Li, Y.; Jin, D.; Zheng, D. Prohexadione-calcium alleviates saline-alkali stress in soybean seedlings by improving the photosynthesis and up-regulating antioxidant defense. Ecotoxicol. Environ. Saf. 2021, 220, 112369. [Google Scholar] [CrossRef]
- Ali, S.; Xu, Y.; Jia, Q.; Ma, X.; Ahmad, I.; Adnan, M.; Gerard, R.; Ren, X.; Zhang, P.; Cai, T. Interactive effects of plastic film mulching with supplemental irrigation on winter wheat photosynthesis, chlorophyll fluorescence and yield under simulated precipitation conditions. Agric. Water Manag. 2018, 207, 1–14. [Google Scholar] [CrossRef]
- Pour-Aboughadareh, A.; Omidi, M.; Naghavi, M.R.; Etminan, A.; Mehrabi, A.A.; Poczai, P.; Bayat, H. Effect of water deficit stress on seedling biomass and physio-chemical characteristics in different species of wheat possessing the D genome. Agronomy 2019, 9, 522. [Google Scholar] [CrossRef]
- Li, Y.; Gu, X.; Li, Y.; Fang, H.; Chen, P. Ridge-furrow mulching combined with appropriate nitrogen rate for enhancing photosynthetic efficiency, yield and water use efficiency of summer maize in a semi-arid region of China. Agric. Water Manag. 2023, 287, 108450. [Google Scholar] [CrossRef]
- Zhao, H.-M.; Zheng, D.-F.; Feng, N.-J.; Zhou, G.-S.; Khan, A.; Lu, X.-T.; Deng, P.; Zhou, H.; Du, Y.-W. Regulatory effects of Hemin on prevention and rescue of salt stress in rapeseed (Brassica napus L.) seedlings. BMC Plant Biol. 2023, 23, 558. [Google Scholar] [CrossRef] [PubMed]
- Du, X.; Du, Y.; Feng, N.; Zheng, D.; Zhou, H.; Huo, J. Exogenous Uniconazole promotes physiological metabolism and grain yield of rice under salt stress. Front. Plant Sci. 2024, 15, 1459121. [Google Scholar] [CrossRef] [PubMed]
- Yang, Z.; Li, J.-L.; Liu, L.-N.; Xie, Q.; Sui, N. Photosynthetic regulation under salt stress and salt-tolerance mechanism of sweet sorghum. Front. Plant Sci. 2020, 10, 1722. [Google Scholar] [CrossRef] [PubMed]
- Zhan, C.; Hu, J.; Pang, Q.; Yang, B.; Cheng, Y.; Xu, E.; Zhu, P.; Li, Y.; Zhang, H.; Cheng, J. Genome-wide association analysis of panicle exsertion and uppermost internode in rice (Oryza sativa L.). Rice 2019, 12, 72. [Google Scholar] [CrossRef] [PubMed]
- Zhang, R.; Zheng, D.; Feng, N.; Qiu, Q.-S.; Zhou, H.; Liu, M.; Li, Y.; Meng, F.; Huang, X.; Huang, A. Prohexadione calcium enhances rice growth and tillering under NaCl stress. PeerJ 2023, 11, e14804. [Google Scholar] [CrossRef]
- Lu, X.; Ma, L.; Zhang, C.; Yan, H.; Bao, J.; Gong, M.; Wang, W.; Li, S.; Ma, S.; Chen, B. Grapevine (Vitis vinifera) responses to salt stress and alkali stress: Transcriptional and metabolic profiling. BMC Plant Biol. 2022, 22, 528. [Google Scholar] [CrossRef]
- Liang, W.; Zhang, Z.; Wen, X.; Liao, Y.; Liu, Y. Effect of non-structural carbohydrate accumulation in the stem pre-anthesis on grain filling of wheat inferior grain. Field Crops Res. 2017, 211, 66–76. [Google Scholar] [CrossRef]
- Ouyang, N.; Sun, X.; Tan, Y.; Sun, Z.; Yu, D.; Liu, H.; Liu, C.; Liu, L.; Jin, L.; Zhao, B. Senescence-specific expression of RAmy1A accelerates non-structural carbohydrate remobilization and grain filling in rice (Oryza sativa L.). Front. Plant Sci. 2021, 12, 647574. [Google Scholar] [CrossRef]
- Cao, P.; Sun, W.; Huang, Y.; Yang, J.; Yang, K.; Lv, C.; Wang, Y.; Yu, L.; Hu, Z. Effects of elevated CO2 concentration and nitrogen application levels on the accumulation and translocation of non-structural carbohydrates in japonica rice. Sustainability 2020, 12, 5386. [Google Scholar] [CrossRef]
- Jiang, Z.; Chen, Q.; Chen, L.; Yang, H.; Zhu, M.; Ding, Y.; Li, W.; Liu, Z.; Jiang, Y.; Li, G. Efficiency of sucrose to starch metabolism is related to the initiation of inferior grain filling in large panicle rice. Front. Plant Sci. 2021, 12, 732867. [Google Scholar] [CrossRef] [PubMed]
- Zhang, H.; Li, H.; Yuan, L.; Wang, Z.; Yang, J.; Zhang, J. Post-anthesis alternate wetting and moderate soil drying enhances activities of key enzymes in sucrose-to-starch conversion in inferior spikelets of rice. J. Exp. Bot. 2012, 63, 215–227. [Google Scholar] [CrossRef] [PubMed]
- Coleman, H.D.; Yan, J.; Mansfield, S.D. Sucrose synthase affects carbon partitioning to increase cellulose production and altered cell wall ultrastructure. Proc. Natl. Acad. Sci. USA 2009, 106, 13118–13123. [Google Scholar] [CrossRef] [PubMed]
- Mirajkar, S.J.; Suprasanna, P.; Vaidya, E.R. Spatial distribution and dynamics of sucrose metabolising enzymes in radiation induced mutants of sugarcane. Plant Physiol. Biochem. 2016, 100, 85–93. [Google Scholar] [CrossRef]
- Richter, J.A.; Erban, A.; Kopka, J.; Zörb, C. Metabolic contribution to salt stress in two maize hybrids with contrasting resistance. Plant Sci. 2015, 233, 107–115. [Google Scholar] [CrossRef]
- Wei, W.; Li, Q.-T.; Chu, Y.-N.; Reiter, R.J.; Yu, X.-M.; Zhu, D.-H.; Zhang, W.-K.; Ma, B.; Lin, Q.; Zhang, J.-S. Melatonin enhances plant growth and abiotic stress tolerance in soybean plants. J. Exp. Bot. 2015, 66, 695–707. [Google Scholar] [CrossRef]
- Chen, G.; Peng, L.; Gong, J.; Wang, J.; Wu, C.; Sui, X.; Tian, Y.; Hu, M.; Li, C.; He, X. Effects of water stress on starch synthesis and accumulation of two rice cultivars at different growth stages. Front. Plant Sci. 2023, 14, 1133524. [Google Scholar] [CrossRef]
- Bhat, F.M.; Riar, C.S. Effect of amylose, particle size & morphology on the functionality of starches of traditional rice cultivars. Int. J. Biol. Macromol. 2016, 92, 637–644. [Google Scholar]
- Hwang, S.-K.; Singh, S.; Cakir, B.; Satoh, H.; Okita, T.W. The plastidial starch phosphorylase from rice endosperm: Catalytic properties at low temperature. Planta 2016, 243, 999–1009. [Google Scholar] [CrossRef]
- Gerona, M.E.B.; Deocampo, M.P.; Egdane, J.A.; Ismail, A.M.; Dionisio-Sese, M.L. Physiological responses of contrasting rice genotypes to salt stress at reproductive stage. Rice Sci. 2019, 26, 207–219. [Google Scholar] [CrossRef]
- Wang, S.-Q.; Zhao, H.-H.; Zhao, L.-M.; Gu, C.-M.; Na, Y.-G.; Baosheng, X.; Cheng, S.-H.; Pan, G.-J. Application of brassinolide alleviates cold stress at the booting stage of rice. J. Integr. Agric. 2020, 19, 975–987. [Google Scholar] [CrossRef]
- Baxter, C.J.; Foyer, C.H.; Turner, J.; Rolfe, S.A.; Quick, W.P. Elevated sucrose-phosphate synthase activity in transgenic tobacco sustains photosynthesis in older leaves and alters development. J. Exp. Bot. 2003, 54, 1813–1820. [Google Scholar] [CrossRef] [PubMed]
- Serrago, R.A.; Alzueta, I.; Savin, R.; Slafer, G.A. Understanding grain yield responses to source–sink ratios during grain filling in wheat and barley under contrasting environments. Field Crops Res. 2013, 150, 42–51. [Google Scholar] [CrossRef]
- Turan, S.; Tripathy, B.C. Salt-stress induced modulation of chlorophyll biosynthesis during de-etiolation of rice seedlings. Physiol. Plant. 2015, 153, 477–491. [Google Scholar] [CrossRef]
- Kolomeichuk, L.V.; Efimova, M.V.; Zlobin, I.E.; Kreslavski, V.D.; Murgan, O.g.K.; Kovtun, I.S.; Khripach, V.A.; Kuznetsov, V.V.; Allakhverdiev, S.I. 24-Epibrassinolide alleviates the toxic effects of NaCl on photosynthetic processes in potato plants. Photosynth. Res. 2020, 146, 151–163. [Google Scholar] [CrossRef]
- Du, J.; Shu, S.; An, Y.; Zhou, H.; Guo, S.; Sun, J. Influence of exogenous spermidine on carbon–nitrogen metabolism under Ca(NO3)2 stress in cucumber root. Plant Growth Regul. 2017, 81, 103–115. [Google Scholar] [CrossRef]
- Xu, W.; Cui, K.; Xu, A.; Nie, L.; Huang, J.; Peng, S. Drought stress condition increases root to shoot ratio via alteration of carbohydrate partitioning and enzymatic activity in rice seedlings. Acta Physiol. Plant. 2015, 37, 9. [Google Scholar] [CrossRef]
- Du, Y.; Zhao, Q.; Chen, L.; Yao, X.; Zhang, W.; Zhang, B.; Xie, F. Effect of drought stress on sugar metabolism in leaves and roots of soybean seedlings. Plant Physiol. Biochem. 2020, 146, 1–12. [Google Scholar] [CrossRef]
- Kuai, J.; Liu, Z.; Wang, Y.; Meng, Y.; Chen, B.; Zhao, W.; Zhou, Z.; Oosterhuis, D.M. Waterlogging during flowering and boll forming stages affects sucrose metabolism in the leaves subtending the cotton boll and its relationship with boll weight. Plant Sci. 2014, 223, 79–98. [Google Scholar] [CrossRef]
- Wongmetha, O.; Ke, L.-S.; Liang, Y.-S. The changes in physical, bio-chemical, physiological characteristics and enzyme activities of mango cv. Jinhwang during fruit growth and development. NJAS Wagening. J. Life Sci. 2015, 72, 7–12. [Google Scholar] [CrossRef]
- Singh, A.; Roychoudhury, A.; Samanta, S.; Banerjee, A. Fluoride stress-mediated regulation of tricarboxylic acid cycle and sugar metabolism in rice seedlings in absence and presence of exogenous calcium. J. Plant Growth Regul. 2021, 40, 1579–1593. [Google Scholar] [CrossRef]












| Year | Variety | Treatment | Panicle Length (cm) | Number of Primary Branches | Number of Secondary Branches | Number of Solid Grains on Primary Branches | Number of Empty Grains on Primary Branches | Number of Solid Grains on Secondary Branches | Number of Empty Grains on Secondary Branches |
|---|---|---|---|---|---|---|---|---|---|
| 2023 | GH3 | CK | 22.22 ± 0.26 a | 12.17 ± 0.20 a | 43.67 ± 1.33 a | 52.06 ± 2.02 b | 16.94 ± 2.05 a b | 94.56 ± 3.08 a | 37.44 ± 3.92 a |
| S | 20.97 ± 0.25 b | 12.39 ± 0.27 a | 43.61 ± 1.13 a | 48.94 ± 1.79 b | 22.22 ± 2.28 a | 68.17 ± 3.44 b | 60.94 ± 2.77 b | ||
| SP | 22.18 ± 0.25 a | 12.67 ± 0.16 a | 45.67 ± 0.81 a | 59.94 ± 1.65 a | 12.39 ± 1.22 b | 90.39 ± 3.08 a | 46.06 ± 4.47 a | ||
| HHZ | CK | 24.13 ± 0.29 a | 12.22 ± 0.19 a | 38.33 ± 1.22 a | 55.89 ± 2.05 a | 11.11 ± 1.11 b | 88.72 ± 3.07 a | 27.56 ± 2.88 c | |
| S | 22.13 ± 0.38 b | 12.06 ± 0.17 a | 37.39 ± 0.65 a | 39.94 ± 1.50 b | 21.11 ± 1.29 a | 50.28 ± 1.76 b | 59.06 ± 2.20 a | ||
| SP | 24.36 ± 0.14 a | 12.11 ± 0.18 a | 39.61 ± 0.91 a | 53.33 ± 2.02 a | 12.50 ± 1.08 b | 82.33 ± 2.45 a | 40.56 ± 2.78 b | ||
| 2024 | GH3 | CK | 22.56 ± 0.58 a | 12.56 ± 0.44 a | 33.11 ± 1.82 a | 44.11 ± 2.47 a | 26.83 ± 1.21 b | 69.22 ± 5.05 a | 50.39 ± 2.48 a |
| S | 20.83 ± 0.52 b | 12.06 ± 0.45 a | 32.06 ± 1.65 a | 39.11 ± 2.04 a | 33.50 ± 1.78 a | 50.11 ± 2.32 b | 68.72 ± 2.48 b | ||
| SP | 22.29 ± 0.40 a | 12.17 ± 0.33 a | 34.94 ± 1.46 a | 44.11 ± 1.71 a | 26.17 ± 1.81 b | 66.00 ± 3.40 a | 54.17 ± 1.91 a | ||
| HHZ | CK | 23.93 ± 0.46 a | 13.00 ± 0.40 a | 33.28 ± 2.30 a | 48.78 ± 2.98 a | 20.22 ± 1.79 b | 66.50 ± 4.68 a | 36.94 ± 3.25 c | |
| S | 22.23 ± 0.32 b | 12.39 ± 0.32 a | 31.00 ± 1.09 a | 35.94 ± 2.63 b | 34.17 ± 2.77 a | 30.94 ± 2.64 b | 64.61 ± 2.31 a | ||
| SP | 23.87 ± 0.45 a | 13.11 ± 0.28 a | 34.28 ± 1.26 a | 48.78 ± 2.21 a | 23.28 ± 1.82 b | 56.89 ± 2.99 a | 48.44 ± 1.83 b |
| Year | Variety | Treatment | The Productive Panicle Number per Pot | Filled Grain Number per Panicle | Number of Grains per Panicle | 1000-Grain Weight (g) | Seed Setting Rate | Grain Yield per Pot (g) |
|---|---|---|---|---|---|---|---|---|
| 2023 | GH3 | CK | 3.39 ± 0.12 a | 107.23 ± 1.85 a | 201.00 ± 4.84 a | 20.45 ± 0.20 a | 0.72 ± 0.01 a | 7.41 ± 0.27 a |
| S | 3.06 ± 0.15 a | 79.07 ± 3.32 b | 186.39 ± 3.85 b | 18.08 ± 0.23 b | 0.59 ± 0.01 c | 4.29 ± 0.21 c | ||
| SP | 3.00 ± 0.16 a | 111.76 ± 4.32 a | 208.78 ± 4.73 a | 20.34 ± 0.29 a | 0.66 ± 0.01 b | 6.59 ± 0.16 b | ||
| HHZ | CK | 3.11 ± 0.18 a | 111.01 ± 3.75 a | 183.28 ± 4.68 b | 19.82 ± 0.27 a | 0.75 ± 0.01 a | 6.68 ± 0.30 a | |
| S | 3.00 ± 0.21 a | 63.04 ± 2.21 b | 160.22 ± 3.56 c | 17.02 ± 0.49 b | 0.53 ± 0.02 c | 3.18 ± 0.25 c | ||
| SP | 2.94 ± 0.13 a | 86.94 ± 3.50 a | 195.67 ± 4.08 a | 19.57 ± 0.27 a | 0.63 ± 0.01 b | 4.93 ± 0.21 b | ||
| 2024 | GH3 | CK | 2.33 ± 0.14 a | 100.85 ± 2.64 a | 190.56 ± 6.77 a | 26.10 ± 0.83 a | 0.62 ± 0.01 a | 5.87 ± 0.21 a |
| S | 2.28 ± 0.11 a | 86.59 ± 3.31 b | 182.56 ± 6.75 a | 22.84 ± 0.69 b | 0.51 ± 0.01 b | 4.38 ± 0.15 b | ||
| SP | 2.33 ± 0.11 a | 98.24 ± 2.96 a | 193.22 ± 5.14 a | 26.01 ± 1.1 a | 0.60 ± 0.01 a | 5.69 ± 0.28 a | ||
| HHZ | CK | 2.28 ± 0.11 a | 104.25 ± 2.31 a | 172.17 ± 7.30 a | 26.05 ± 1.07 a | 0.64 ± 0.02 a | 5.92 ± 0.23 a | |
| S | 2.22 ± 0.10 a | 71.29 ± 2.49 c | 150.11 ± 6.64 b | 21.38 ± 0.45 b | 0.50 ± 0.02 b | 3.33 ± 0.13 b | ||
| SP | 2.17 ± 0.09 a | 96.03 ± 2.62 b | 170.72 ± 5.47 a | 24.91 ± 1.05 a | 0.62 ± 0.01 a | 5.31 ± 0.35 a |
Disclaimer/Publisher’s Note: The statements, opinions and data contained in all publications are solely those of the individual author(s) and contributor(s) and not of MDPI and/or the editor(s). MDPI and/or the editor(s) disclaim responsibility for any injury to people or property resulting from any ideas, methods, instructions or products referred to in the content. |
© 2025 by the authors. Licensee MDPI, Basel, Switzerland. This article is an open access article distributed under the terms and conditions of the Creative Commons Attribution (CC BY) license (https://creativecommons.org/licenses/by/4.0/).
Share and Cite
Deng, R.; Zheng, D.; Feng, N.; Khan, A.; Zhang, J.; Sun, Z.; Li, J.; Xiong, J.; Ding, L.; Yang, X.; et al. Prohexadione Calcium Improves Rice Yield Under Salt Stress by Regulating Source–Sink Relationships During the Filling Period. Plants 2025, 14, 211. https://doi.org/10.3390/plants14020211
Deng R, Zheng D, Feng N, Khan A, Zhang J, Sun Z, Li J, Xiong J, Ding L, Yang X, et al. Prohexadione Calcium Improves Rice Yield Under Salt Stress by Regulating Source–Sink Relationships During the Filling Period. Plants. 2025; 14(2):211. https://doi.org/10.3390/plants14020211
Chicago/Turabian StyleDeng, Rui, Dianfeng Zheng, Naijie Feng, Aaqil Khan, Jianqin Zhang, Zhiyuan Sun, Jiahuan Li, Jian Xiong, Linchong Ding, Xiaohui Yang, and et al. 2025. "Prohexadione Calcium Improves Rice Yield Under Salt Stress by Regulating Source–Sink Relationships During the Filling Period" Plants 14, no. 2: 211. https://doi.org/10.3390/plants14020211
APA StyleDeng, R., Zheng, D., Feng, N., Khan, A., Zhang, J., Sun, Z., Li, J., Xiong, J., Ding, L., Yang, X., Huang, Z., & Liao, Y. (2025). Prohexadione Calcium Improves Rice Yield Under Salt Stress by Regulating Source–Sink Relationships During the Filling Period. Plants, 14(2), 211. https://doi.org/10.3390/plants14020211

